Distributed Robust Fast Finite-Time Formation Control of Underactuated ASVs in Presence of Information Interruption
Abstract
1. Introduction
- (1)
- Considering the possible information interruptions during the navigation, the directed theory has been adopted to improve the fault-tolerant performance of the vehicle formation. Unlike the traditional leader-follower method, the proposed distributed control algorithm is designed to communicate between the networked underactuated vehicles which only required the information of partial neighbors, which can effectively enhance the robustness and reduce the over-dependence on the leader vehicle.
- (2)
- In this paper, the proposed formation control scheme is firstly developed for the underactuated ASVs based on the fast finite-time stable criterion and an improved DSC technique. Different from the existing finite time protocols, the proposed strategy has the superiority of a faster convergence rate and higher control accuracy. Moreover, the convergence time of the errors has been independent with the initial condition, and is only related to the design parameters, which are more in accordance with the practical requirements.
2. Problem for Formulation and Preliminaries
2.1. The Mathematical Model for Underactuated ASVs
2.2. Directed Graph Theory
2.3. RBF NNs
3. Roust Fast Finite-Time Controller Design
3.1. Distributed Robust Fast Finite-Time Controller Design
3.2. Distributed Robust Fast Finite-Time Control Algorithm Stability Analysis
4. Numerical Simulation
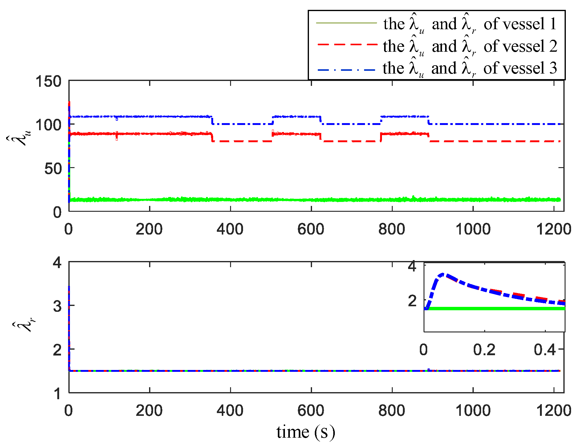
4.1. Search and Rescue Formation in Presence of Partial Information Interruption
4.2. Comparison Simulation for Individual Ship
5. Conclusions
Author Contributions
Funding
Institutional Review Board Statement
Informed Consent Statement
Data Availability Statement
Conflicts of Interest
References
- Liu, Z.; Zhang, Y.; Yu, X.; Yuan, C. Unmanned surface vehicles: An overview of developments and challenges. Annu. Rev. Control. 2016, 41, 71–93. [Google Scholar] [CrossRef]
- Nussbaum, R.D. Some remarks on a conjecture in parameter adaptive control. Syst. Control. Lett. 1983, 3, 243–246. [Google Scholar] [CrossRef]
- Lu, Y.; Zhang, G.; Sun, Z.; Zhang, W. Robust adaptive formation control of underactuated autonomous surface vessels based on MLP and DOB. Nonlinear Dyn. 2018, 94, 1–17. [Google Scholar] [CrossRef]
- Zhang, G.; Huang, C.; Li, J.; Zhang, X. Constrained coordinated path-following control for underactuated surface vessels with the disturbance rejection mechanism. Ocean Eng. 2020, 196, 106725.1–106725.10. [Google Scholar] [CrossRef]
- Huang, C.; Zhang, X.; Zhang, G. Improved decentralized finite-time formation control of underactuated USVs via a novel disturbance observer. Ocean Eng. 2019, 174, 117–124. [Google Scholar] [CrossRef]
- He, Z.; Liu, C.; Chu, X.; Negenborn, R.R.; Wu, Q. Dynamic anti-collision A-star algorithm for multi-ship encounter situations. Appl. Ocean Res. 2022, 118, 102995. [Google Scholar] [CrossRef]
- Xiao, H.; Li, Z.; Chen, C.L.P. Formation control of leader-follower mobile robots systems using model predictive control based on neural-dynamic optimization. IEEE Trans. Ind. Electron. 2016, 63, 5752–5762. [Google Scholar] [CrossRef]
- Peng, Z.; Wang, D.; Li, T.; Wu, Z. Leaderless and leader-follower cooperative control of multiple marine surface vehicles with unknown dynamics. Nonlinear Dyn. 2013, 74, 95–106. [Google Scholar] [CrossRef]
- Xu, B.; Shou, Y. Composite Learning Control of MIMO Systems With Applications. IEEE Trans. Ind. Electron. 2018, 65, 6414–6424. [Google Scholar] [CrossRef]
- Balch, T.; Arkin, R.C. Behavior-based formation control for multi-robot teams. IEEE Trans. Robot. Autom. 1998, 14, 926–939. [Google Scholar] [CrossRef]
- Peng, Z.; Dan, W.; Wang, J. Cooperative Dynamic Positioning of Multiple Marine Offshore Vessels: A Modular Design. IEEE/ASME Trans. Mechatron. 2016, 21, 1210–1221. [Google Scholar] [CrossRef]
- Fahimi, F. Sliding-Mode Formation Control for Underactuated Surface Vessels. IEEE Trans. Robot. 2007, 23, 617–622. [Google Scholar] [CrossRef]
- Xiang, X.; Lapierre, L.; Jouvencel, B. Guidance Based Collision Free and Obstacle Avoidance of Autonomous Vehicles under Formation Constraints. IFAC Proc. Vol. 2010, 43, 599–604. [Google Scholar] [CrossRef]
- Shojaei, K. Leader-follower formation control of underactuated autonomous marine surface vehicles with limited torque. Ocean Eng. 2015, 105, 196–205. [Google Scholar] [CrossRef]
- Xiao, B.; Yang, X.; Huo, X. A Novel Disturbance Estimation Scheme for Formation Control of Ocean Surface Vessels. IEEE Trans. Ind. Electron. 2017, 64, 4994–5003. [Google Scholar] [CrossRef]
- Lu, Y.; Zhang, G.; Sun, Z.; Zhang, W. Adaptive cooperative formation control of autonomous surface vessels with uncertain dynamics and external disturbances. Ocean Eng. 2018, 167, 36–44. [Google Scholar] [CrossRef]
- Chao, S.; Hu, G.; Xie, L. Fast finite-time consensus tracking for first-order multi-agent systems with unmodelled dynamics and disturbances. In Proceedings of the 2014 11th IEEE International Conference on Control & Automation (ICCA), Taichung, Taiwan, 18–20 June 2014; IEEE: Piscataway, NJ, USA, 2014. [Google Scholar]
- Xiao, Q.; Wu, Z.; Li, P. Fast Finite-Time Consensus Tracking of First-Order Multi-Agent Systems with a Virtual Leader. Appl. Mech. Mater. 2014, 596, 552–559. [Google Scholar] [CrossRef]
- Xiao, Q.; Wu, Z.; Li, P. Fast finite-time consensus tracking of heterogeneous multi-agent systems with a virtual leader. Appl. Mech. Mater. 2014, 687, 580–586. [Google Scholar] [CrossRef]
- Khoo, S.; Trinh, H.M.; Man, Z.; Shen, W. Fast finite-time consensus of a class of high-order uncertain nonlinear systems. In Proceedings of the 2010 5th IEEE Conference on Industrial Electronics and Applications (ICIEA), Taichung, Taiwan, 15–17 June 2010; IEEE: Piscataway, NJ, USA; 2010. [Google Scholar]
- Zhang, G.; Zhang, C.; Zhang, X.; Deng, Y. ESO-based path following control for underactuated vehicles with the safety prediction obstacle avoidance mechanism. Ocean Eng. 2019, 188, 106259. [Google Scholar] [CrossRef]
- Chen, W.; Jiao, L. Adaptive Tracking for Periodically Time-Varying and Nonlinearly Parameterized Systems Using Multilayer Neural Networks. IEEE Trans. Neural Netw. 2010, 21, 345–351. [Google Scholar] [CrossRef]
- Li, Y.; Shuai, S.; Tong, S. Adaptive Fuzzy Control Design for Stochastic Nonlinear Switched Systems With Arbitrary Switchings and Unmodeled Dynamics. IEEE Trans. Cybern. 2017, 47, 403–414. [Google Scholar] [CrossRef] [PubMed]
- Li, j.; Zhang, G.; Shan, Q.; Zhang, W. A Novel Cooperative Design for USV-UAV Systems: 3D Mapping Guidance and Adaptive Fuzzy Control. IEEE Trans. Control Netw. Syst. 2022. [Google Scholar] [CrossRef]
- Shang, Y.; Chen, B.; Lin, C. Fast finite-time adaptive neural control of multi-agent systems. J. Frankl. Inst. 2020, 357, 10432–10452. [Google Scholar] [CrossRef]
- Zhang, G.; Zhang, X. Concise Robust Adaptive Path-Following Control of Underactuated Ships Using DSC and MLP. IEEE J. Ocean. Eng. 2014, 39, 685–694. [Google Scholar] [CrossRef]
- Sorensen, A.J. Marine Control Systems Propulsion and Motion Control of Ships and Ocean Structures Lecture Notes; Department of Marine Technology, NTNU: Trondheim, Norway, 2012. [Google Scholar]
- Ghommam, J.; Iftekhar, L.; Saad, M. Adaptive Finite Time Path-Following Control of Underactuated Surface Vehicle With Collision Avoidance. J. Dyn. Syst. Meas. Control. 2019, 141, 121008. [Google Scholar] [CrossRef]












| Indexes | Items |
|---|---|
| Control gains | |
| Other parameters |
| Indexes | Items | The Proposed Approach | The Scheme in [28] |
|---|---|---|---|
| MAE | 0.6129 | 0.5000 | |
| 0.2712 | 0.3748 | ||
| 0.0084 | 0.0479 | ||
| MAI | |||
| AT | 2.25 | 3.86 | |
| 4.82 | 5.26 | ||
| 6.42 | 6.87 |
Publisher’s Note: MDPI stays neutral with regard to jurisdictional claims in published maps and institutional affiliations. |
© 2022 by the authors. Licensee MDPI, Basel, Switzerland. This article is an open access article distributed under the terms and conditions of the Creative Commons Attribution (CC BY) license (https://creativecommons.org/licenses/by/4.0/).
Share and Cite
Zhang, G.; Han, J.; Li, J.; Zhang, X. Distributed Robust Fast Finite-Time Formation Control of Underactuated ASVs in Presence of Information Interruption. J. Mar. Sci. Eng. 2022, 10, 1775. https://doi.org/10.3390/jmse10111775
Zhang G, Han J, Li J, Zhang X. Distributed Robust Fast Finite-Time Formation Control of Underactuated ASVs in Presence of Information Interruption. Journal of Marine Science and Engineering. 2022; 10(11):1775. https://doi.org/10.3390/jmse10111775
Chicago/Turabian StyleZhang, Guoqing, Jun Han, Jiqiang Li, and Xianku Zhang. 2022. "Distributed Robust Fast Finite-Time Formation Control of Underactuated ASVs in Presence of Information Interruption" Journal of Marine Science and Engineering 10, no. 11: 1775. https://doi.org/10.3390/jmse10111775
APA StyleZhang, G., Han, J., Li, J., & Zhang, X. (2022). Distributed Robust Fast Finite-Time Formation Control of Underactuated ASVs in Presence of Information Interruption. Journal of Marine Science and Engineering, 10(11), 1775. https://doi.org/10.3390/jmse10111775

