Next Article in Journal
Sustainable Agritourism Development in Romania’s North-West Mountain Region: A TOPSIS-Based Evaluation of Strategic Priorities
Previous Article in Journal
Efficacy of Social Networks in Promoting the Green Production Behaviors of Chinese Farmers: An Empirical Study
 
 
Font Type:
Arial Georgia Verdana
Font Size:
Aa Aa Aa
Line Spacing:
Column Width:
Background:
Article

Parameter Optimization and Experimental Study of Drum with Elastic Tooth Type Loss-Reducing Picking Mechanism of Pepper Harvester

College of Mechanical and Electrical Engineering, Shihezi University, Shihezi 832003, China
*
Author to whom correspondence should be addressed.
Agriculture 2025, 15(6), 600; https://doi.org/10.3390/agriculture15060600
Submission received: 21 January 2025 / Revised: 9 March 2025 / Accepted: 10 March 2025 / Published: 11 March 2025
(This article belongs to the Section Agricultural Technology)

Abstract

To reduce harvest losses of a pepper harvester with a drum of elastic tooth type picking mechanism, this paper proposes an optimization method using AHP (Analytic Hierarchy Process) and RSM (Response Surface Methodology), thereby identifying the optimal harvesting parameters. Based on Hertz’s contact theory and projectile motion theory, dynamic and kinematic models were established for the picking and casting stage. Key parameters influencing harvest loss were identified as drum rotational speed, operating speed, and tooth spacing. A simulation model was constructed, and solved within LS-DYNA of ANSYS Workbench. A Box–Behnken design in RSM was employed to investigate the effects of drum rotational speed, operating speed, and tooth spacing on the picking rate, breakage rate, and loss rate. The optimal parameters, obtained through RSM optimization after AHP weighting, were determined to be a drum rotational speed of 182 r/min, an operating speed of 0.42 m/s, and a tooth spacing of 40 mm. A test bench was designed for validation, with simulation results deviating from experimental results by less than 5%. With optimized parameters, the picking rate increases from 89.73% to 95.13%, the breakage rate decreases from 3.21% to 2.66%, and the loss rate decreases from 5.16% to 3.95%. This study provides a theoretical foundation and practical reference for optimizing the drum with elastic tooth type picking mechanism in pepper harvesters.

1. Introduction

Pepper is a globally important vegetable and spice crop, characterized by extensive area under cultivation, high economic value, and a well-established industrial chain [1,2,3]. It is widely used both as a fresh vegetable and condiment and serves as an excellent source of natural coloring and pharmaceutical raw materials [4,5]. In recent years, there has been significant growth in global pepper production, with China emerging as a key player in this expansion [6]. Statistical data from 2022 show that China has reached a cultivation area of 1.7375 million hectares and an annual production of 16.681 billion kilograms, consolidating its position as the world’s leading pepper producer [6]. The Chinese pepper industry has thus entered a period of accelerated development, reflecting the growing global importance of the crop [7,8,9].
Pepper harvesting is the first and most important stage in the field harvest process and has a significant impact on both yield and quality of the crop. Research on pepper harvesters in developed countries began earlier, with the United States, a leading pepper producer, initiating studies on mechanized pepper harvesting as early as the 1970s [10,11]. In 1998, a collaboration between Pik-Rite and Bucknell University led to the modification of a pepper harvester, which was a notable success and marked a significant advance in the development of pepper harvesters [12]. In 2010, the Yung-Etgar/Oxbo Institute in Israel introduced a pepper harvester with an inclined double-helix picking mechanism, producing two-row and four-row self-propelled harvesters for green and dried red peppers [13]. In 2019, McClendon developed two different harvester types for different pepper varieties: a rubber finger type for dried red peppers and an unfolding double-helix type optimized for green peppers. These harvesters can be divided into double helix, rod and bar comb, band comb finger and drum with elastic tooth type based on their harvesting principles. The choice of harvesting method depends primarily on the morphological characteristics, physical properties and growth habits of the pepper plants [14,15,16,17,18,19,20,21,22,23]. Given the diversity of local pepper types, the adaptability of the pepper harvester is critical to its effectiveness. The drum with elastic tooth is the most widely used in China due to its wide adaptability. In 2009, the Xinjiang Mechanical Research Institute developed the 4JZ-3600B Makishen self-propelled pepper harvester, integrating picking, transporting, cleaning, separating, and loading functions [24]. In 2017, Gansu Agricultural University designed a backpack-type pepper harvester with bullet teeth for better adaptability [25]. In 2022, Shihezi University introduced a tracked self-propelled small pepper harvester to tackle mechanized harvesting challenges in hilly and small plots [26,27].
The drum with elastic tooth type picking mechanism, characterized by its simple structure, continuous operation, high flexibility, operational efficiency, and minimal errors, has become a key technology in the mechanized harvesting of peppers in the country. Despite advancements, research has predominantly focused on the structural design of the entire machine and the integration of the harvest process, leaving challenges such as low picking rates, high loss rates, and high breakage rates of pepper fruits inadequately addressed. Recent studies have focused on the automation of pepper harvesting. For instance, Ning et al. explored path planning for automated pepper picking devices [28], while Liu used depth cameras and deep learning algorithms for recognition and localization during pepper picking [29], achieving high accuracy. Deng et al. developed a flexible and efficient pepper picking method using an elastic tooth drum device, which is adaptable to various pepper varieties and allows off-row picking through adjustable tooth spacing [30]. Islam et al. employed a robotic arm for pepper picking, optimizing its parameters through kinematics analysis [31], with machine vision further enhancing picking accuracy [32]. In addition, the accuracy of picking devices has been improved through motion trajectory analysis and planning [33,34]. Although these studies have improved picking accuracy and adaptability, their impact on reducing harvesting losses remains limited. To enhance the harvesting efficiency of the drum with elastic tooth type picking mechanism and minimize crop losses, researchers have integrated agro-mechanics and agronomy to optimize key components and operating parameters. Zou et al. designed a pepper harvester with nylon elastic teeth, effectively reducing fruit breakage during picking [32]. Lei et al. optimized the parameters of a 4LS-1.6 pepper harvester frame using static and dynamic sensitivity analysis, determining optimal picking parameters through performance tests [35,36]. Duan et al. investigated the breakage characteristics and mechanisms of a self-designed pepper picking device to reduce mechanical breakage during harvesting [37]. Zhang et al. proposed a method based on CEEMDAN-KPCA-SVM to identify the load state of the drum using torque signals from the drum spindle, reducing both loss rates and mechanical breakage under complex working conditions [38]. While these studies have mitigated picking losses to some extent, research specifically addressing the collision, separation, and throwing process of peppers with the drum with elastic tooth type mechanism remains scarce. Such research is essential for analyzing the key factors influencing loss reduction from a mechanical and kinematic perspective.
Computer-aided design and simulation have emerged as key research methods and have been widely used to investigate the interactions between mechanical components and crops during harvesting or separation processes [39,40]. These simulation-based approaches offer significant advantages, including the ability to overcome seasonal limitations, improve test efficiency and precision, accelerate research and development timelines, and minimize associated costs. For example, Wu et al. optimized vertical counter-roller parameters via ANSYS/LS-DYNA-based rigid-flexible coupling modeling and orthogonal simulations [41]. Similarly, Cao et al. optimized comb-clamp device structure and operational parameters through ANSYS/LS-DYNA dynamic simulations [42]. In another study, Li et al. established a finite element model of sweet sorghum cutting devices using ANSYS/LS-DYNA, optimizing blade angle, rotation speed, and forward speed through orthogonal experiments [43]. Building on these advances, this study uses simulation to investigate the interaction mechanisms between the drum with elastic tooth type picking mechanism and pepper plants. Specifically, the research focuses on analyzing the collision, separation, and ejection processes between the elastic teeth and pepper plants to mitigate harvest losses. The results aim to optimize the design parameters of the mechanism and provide valuable insights for further research aimed at reducing losses in pepper harvesting operations. The main contributions of this work are as follows:
  • The kinematic and dynamic models of the pepper picking process were established by using the projectile motion theory, the Hertz contact theory, and the von Mises criterion. The interaction mechanisms between the pepper stalks and the elastic tooth drum, and between the pepper fruits and the elastic teeth were analyzed. A kinematic model was established to determine the critical conditions for fruit detachment and breakage, while a post-picking trajectory model identified the key factors influencing picking efficiency, breakage rate, and loss rate.
  • An optimization method for the picking parameters was developed using AHP and RSM. A model of pepper stalks and fruits was created, validated by measurements, and integrated into the picking mechanism model for dynamic simulations in LS-DYNA of ANSYS Workbench. A three-factor, three-level Box–Behnken design in RSM was employed to analyze the influence of interaction terms of the factors on the target values. A multi-objective optimization model was obtained through RSM optimization after AHP weighting, which yielded optimal parameter combinations to minimize pepper loss. This method enhances factor importance reflection and optimization precision, for a multi-objective decision-making problem.
  • A pepper picking test bench with an elastic tooth drum was designed to simulate harvest operations under actual growing conditions, minimizing the effects of vibration and uncontrollable factors. The bench, fixing the picking mechanism and moving the pepper plant, was designed based on the cultivation technique. The accuracy of the bench was validated by comparing predicted values from regression equations with actual measurements, confirming the effectiveness of the loss-reducing mechanism under optimal parameters. This solution effectively reduces fruit loss by minimizing the influence of uncontrollable factors in complex environments.

2. Materials and Methods

2.1. Structure of the Whole Harvester and Working Principle

2.1.1. Cultivation Technique and Harvester Structure

Planting distance and row spacing are important parameters that reflect planting density. The current planting model for pepper production follows the pattern of wide film with four rows per film. The planting method can be either seeding or transplanting. This planting model is mainly used in low-cost production areas and is considered a form of high-density planting. Due to poor ventilation between rows, the lower pepper nodes tend to be higher, and the pepper stalks are more prone to branching. As a result, this planting model results in a relatively low agricultural yield per hectare. In Xinjiang, large-scale precision agriculture planting has been promoted. The main planting model is narrow film with two rows per film, with a film spacing of 1050 mm or 1250 mm. Both film spacings result in a similar number of plants per hectare, so there is no significant difference in yield. The 1250 mm film spacing gives better aeration, but most growers opt for the 1050 mm spacing, which can also improve aeration after ridge building and furrow opening. In practice, it has been observed that ridge building allows soil from the empty rows to accumulate on the film above the plant roots, helping to support the seedlings and prevent the pepper plants from lodging. The increased ventilation after furrow opening benefits plant growth and later stages of ripening and coloring, although there is no significant improvement in yield. About a quarter of the total area is planted using this ridge and furrow method. The planting model is shown in Figure 1. Field survey data and measurements of planting parameters are listed in Table 1.
As shown in Figure 1, the harvester consists of a picking device, first-level conveyor, traveling device, cab, second-level conveyor, and collecting device. These components enable the harvester machine to integrate four functions—harvesting, conveying, collecting, and unloading—into a single system, simplifying the harvest process. The picking device is the key component that determines the quality of the pepper harvester. It consists of the elastic tooth drum, drum hydraulic motor, ground wheels, two hydraulic lifting cylinders, cover plate, and pressing wheels. The harvester adopts a dual-row single-ridge harvesting mode, which enhances adaptability and stability during harvesting. Based on the existing pepper planting models and working conditions, the design specifications of the harvester are as follows: harvesting width of 1090 mm, span of 1100 mm, and track width of less than 400 mm.

2.1.2. Pepper Harvester Working Principle

During operation, the height of the picking unit is pre-adjusted using hydraulic lifting cylinders to ensure that the drum can effectively harvest the lowest pepper fruits. The harvester is then positioned over the designated ridge to start the harvest process. As the harvester advances, the pressing roller makes initial contact with the pepper plants. The pressing roller tilts the plants and guides them into the drum, increasing the contact area between the drum and the pepper fruits and improving harvesting efficiency. The rotating drum conveys the harvested pepper fruits to the conveyor, which then conveys them to the collection unit, completing the harvesting cycle. Once the collection unit has reached its capacity, unloading takes place by tilting the unit.

2.1.3. Pepper Harvester Technical Parameters

The main technical parameters of the developed harvester are listed in Table 2.

2.2. Analysis of the Interaction Mechanism Between Pepper Plants and Elastic Tooth Drum

The basic mechanism of the drum with elastic tooth type picking system involves comb picking and rotary material throwing. The entire picking process can be divided into three distinct operational stages, as shown in Figure 2.
Picking section (P): In this stage, the drum is positioned inside the section and the pressing roller presses against the plant. The stalks, leaves, and fruit bounce back into the section where the elastic teeth comb through the plant. Under the guidance of the elastic teeth and the constraints of the cover plate, the pepper fruits are separated from the plant and transported to the casting mouth. In the initial phase of this section, the pepper fruits tend to slide to the ground.
Casting section (C): This section is critical for the timely separation of the pepper fruits from the elastic teeth and determines the location where the fruits are ejected. Proper operation will ensure that the fruit is efficiently directed to the empty traveling section.
Empty traveling section (E): At this section, the flexible teeth should not be carrying any material. Any pepper fruit that has not been ejected in the previous stations will fall to the ground when it reaches this section, resulting in increased loss.
This structured approach ensures efficient separation and minimal loss of pepper fruit during the picking process.

2.2.1. Analysis of Stresses on Pepper Stalks

According to the movement of the pepper plant and the force, the role of the elastic tooth drum is divided into three successive processes: the elastic tooth and the pepper stalks are just in contact with the pepper stalks (the striking process), the pepper stalks and the pepper fruits are not separated by the supporting role of the drum (the stalk bending process), the pepper stalks and the pepper fruits are separated from the inertial force by the action of the rebound process.
The working trajectory of the drum during operation is expressed as follows:
x b = 1000 v y t g + r c o s φ y b = H r s i n φ
where xb is the displacement of the drum in the horizontal direction, mm; yb is the displacement of the drum in the vertical direction, mm; vy is the forward speed of harvester, m/s; tg is the drum running time, s; r is drum radius, mm; φ is angle of drum turning in tg time, rad; and H is the vertical distance between the main axis of the drum and the clamping action point of the pepper plant fixture, mm.
The trajectory of the drum curve is shown as l1 and l2 in Figure 3, where O is the center of the drum circle; O0 is the position of the center of the circle when the d enters the harvest; O1 is the position of the center of the circle when the elastic tooth reaches its lowest point; O2 is the position of the center of the drum circle after tg time of entering the harvest; ω is the angular velocity of the drum, rad/s; L is the height of the pepper stalk, mm; Δx is the range of the elastic tooth drum, mm; α is the angle of rotation of the stalk under the action of the drum, (°); N is the position of the pepper stalk; b is the forward movement of the drum, mm; and Δl is the leakage dial distance of the drum, mm.
When the drum collides with the pepper stalks, the collision force can be calculated using the continuous contact force model, which reduces the impact to the form of a nonlinear spring, treating the modulus of elasticity of the member material as the spring stiffness and the damping as the energy loss, so that the modulus of elasticity of the pepper stalks can be treated as the contact stiffness, the generalized form of which can be expressed as
F n = K δ c + ε v
where ε can be expressed as
ε = 3 K 1 e 2 4 u δ n
where Fn is normal contact force, N; K is Hertz contact rigidity, related to the radius of curvature at the contact, Poisson’s ratio of the material, and the modulus of elasticity, N/mm; δ is depth of contact penetration, mm; c is force index; ε is damping coefficient, the size is usually 0.1~1% of the rigidity, N/mm·s−1; v is relative velocity normal to the contact point, mm/s; e is elastic recovery coefficient; n is nonlinear spring force index; and u is collision velocity, mm/s.
The pepper stalk in the drum supports the bending and the pepper plant can be simplified as a cantilever beam. The pepper stalk is in a static state and the force situation is shown in Figure 3. The drum on the stalk supports force F perpendicular to the stalk; the drum relative to the stalk has upward sliding. The stalk is subject to its own gravity G along the direction of the stalk upward force Fm due to bending and deformation of the stalk inside the corresponding bending moment M. Equilibrium equations can be obtained:
F s i n α + G F m c o s α = 0 M = d F c o s α + F m s i n α
where d is the height of the elastic tooth from the ground, mm.
The deflection of the pepper stalk y is
y = F d 3 3 E I
where E is the modulus of elasticity of the pepper stalk, N, and I is the moment of inertia of the cross-section of the pepper stalk, N/mm.
The turning angle of the pepper stalk α can be approximated as the first order derivative of the deflection, and the simultaneous derivation of the left and right sides of Equation (5) gives
α = F d 2 E I
Substituting Equation (1) into Equation (4) yields
F H r s i n ω t g 2 E I + G μ F c o s F H r s i n ω t g 2 E I = 0
where μ is the friction factor.
From Equation (7), the interaction force between the drum and the pepper stalk is related to the drum height, the drum rotation speed, the modulus of elasticity of the pepper stalk, the cross-sectional moment of inertia of the stalk and other mechanical performance parameters of the stalk and the drum operating parameters. When harvesting the same variety of pepper at the right time, depending on the mechanical properties of a certain parameter, when the drum height is unchanged, the drum rotational speed is the main factor affecting the interaction force between the drum and the stalk. Some studies have also shown that changing the teeth spacing can change the interaction relationship, which in turn affects the picking rate and the breakage rate of the pepper.

2.2.2. Analysis of Stresses on Pepper Fruits in Picking Section

To study the loss mechanism of pepper fruits, the critical speed of pepper fruits falling in the picking section and the theoretical mechanical system and mathematical model of pepper fruit loss must be established, which can provide theoretical basis for reducing the loss rate of picking. In the whole pepper picking operation process, the resting state of the pepper fruits is impacted by the active force with the elastic teeth. In the context of overcoming the existence of friction with the surface of the elastic teeth and the connecting force between the pepper stalks, the mechanical effect between the fruits and the formation of a rigid plane motion is a complex process of kinematics and dynamics involving the pepper fruits. This is especially relevant in the picking section due to the interaction between the pepper fruits and elastic teeth due to the forces generated by the complex motion process. When the drum moves forward, pepper fruits are impacted by the force of the material and their own inertia force during the upward movement of the elastic tooth, and also by their co-rotation. The picking of pepper fruits involves picking and plant separation before and after the picking section, which is divided into the two stages of the initial picking section and the transport section.
Figure 4a shows the initial section of the picking, including the picking device forward motion and the pepper fruit moving along the surface of the elastic tooth in upward uniform velocity, which is subject to gravity G, inertia force F1, the inter-fruits force F2, pepper stalk connection force F3, friction Ff, the force of the elastic tooth on the pepper fruit FN (assuming that the velocity of the pepper fruit along the surface of the shovel teeth is uniform), FN and Ff composite for the total reaction force FR, and is then subject to the action of five forces and in equilibrium. The force vector equation and vector diagram can be obtained:
F R + F 1 + F 2 + F 3 + G = 0 F 1 + F 2 + F 3 = G t a n α + φ
It can be shown that in the initial stage of picking, the condition for the upward movement of the pepper fruit along the surface of the elastic tooth is
F 1 + F 2 + F 3 G t a n α + φ
The upper part of the pepper plant is folded, except for the main stalks of the plant with secondary bifurcation, the pepper fruits are generally clustered at the bifurcation point, the stalks are disorganized and more transversely bifurcated, and the fruits of the peppers grow densely at the maturity stage. Therefore, the force F2 between the pepper fruits can be continuously applied to the pepper fruits, which can cause the fruits to continuously move upwards along the surface of the elastic tooth.
When the pepper fruits are sparse, the inter-fruit force F2 = 0; then, the condition for the upward movement of the pepper fruits along the teeth of the spade is
F 1 + F 3 G t a n α + φ
It can be concluded that the smaller α′ is, the smaller the inertial force F1 required for the peppercorns to rise along the elastic tooth, and the easier the rising relative motion is.
The conditions under which a single fruit rises along the surface of the elastic tooth by inertial force must be determined. The elastic tooth to the left of the speed of movement is Vm, the pepper fruit is simplified for the mass point m, the pepper fruit initial speed is v0 = 0, and the elastic tooth common movement speed is v1 = Vm. The effect of the elastic tooth on the pepper plant force is FN, decomposed into the horizontal direction force Fx and vertical direction force Fy; according to the law of conservation of kinetic energy, the horizontal component of the work performed by the force Fx is equal to the incremental kinetic energy of the fruit, meaning that
F x s = 1 2 m v 1 2 1 2 m v 0 2 F x = m v 1 2 2 s
When the vertical component force is equal to the gravity of the pepper, the pepper fruit begins to stop moving upward along the elastic tooth. A trigonometric relationship is formed involving the horizontal direction component force Fx and vertical direction component force Fy, and Equation (11) can be obtained:
F y = F x t a n α = m g α = a r c t a n v 1 2 / 2 g s
where FN is the force of the elastic tooth on the pepper fruit, N; Fx is the horizontal component force, N; Fy is the vertical component force, N; V1 is the horizontal velocity of the fruit at the time of force equilibrium, m·s−1; V0 is the horizontal initial velocity of the fruit, m-s-1; α′ is the angle of the elastic tooth incision, rad; s′ is the horizontal distance of the fruit at the time of force equilibrium, m; s is the distance between adjacent pepper fruits, m; m is the weight of single fruit, kg; and g is the acceleration of gravity, m·s−2.
The minimum height of the pepper fruit is 320 mm, and the minimum angle of entry of the elastic tooth was measured to be 26.6° to ensure that the elastic tooth could successfully reach the lowest fruit. The weight of 100 grains of pepper fruit was measured to be 458 g. The distance between adjacent pepper fruits s was taken to be 0.01~0.15 m. To avoid affecting the upward movement of subsequent pepper fruits along the surface of the elastic tooth, s′ was taken as 0.05~0.08 m. According to Equation (12), the limit value of the operating speed Vm of the pepper picking device is about 0.7 m/s. Therefore, the pepper fruits can be moved upward along the elastic tooth when the operating speed Vm is less than 0.7 m/s.
The movement of the peppers in the transport stage is relatively complex, with the elastic tooth performing a rotational movement while moving relatively outwards along the direction of the elastic tooth. At the beginning of the transporting stage, the pepper fruit is subjected to gravity G, the friction of the elastic tooth on the pepper fruit and the reaction force FN, the centrifugal inertia force F′ common action, and the friction of the elastic tooth on the pepper fruit and reaction force composite for the total reaction force FR. The composite of the above external forces can be obtained by the combination of the external force tilted downward, as shown in Figure 5a. Therefore, at the beginning of the conveying stage, the pepper fruit rotates along the elastic tooth and slides outward along the surface of the elastic tooth.
With the clockwise rotation of the elastic tooth (Figure 5), the total counterforce FR on the pepper fruit is gradually turned to the upper right of gravity G. Assuming that the pepper fruit is in equilibrium, the force vector equation and vector diagram are established:
F R + F + G = 0
From the trigonometric relationship in Figure 5, we can obtain:
F s i n θ + φ + φ π / 2 = G s i n π / 2 φ φ F = G s i n θ t a n φ + φ c o s θ
F′ is larger than zero, so the condition can be obtained:
s i n θ t a n φ + φ c o s θ > 0 θ > π 2 φ + φ
It can be concluded that when the drum angle θ > π 2 φ φ , the pepper fruit and elastic tooth may be in relative equilibrium. Since the friction angle φ is a fixed value, φ′ is the angle between the normal line of the contact point of the pepper fruit and the elastic tooth and the vertical line of the radius of gyration; the larger φ′ is, the smaller the boundary value of the drum angle θ′ is, and the more easily the pepper fruit can reach equilibrium, so the curved elastic tooth is more suitable for the picking operation than the straight tooth. In addition, the designed elastic tooth can make it possible to effectively reduce the range value of the drum turning angle θ′, and it is easier to reach a stable state in the pepper fruit transportation stage.
According to the centrifugal inertia force equation,
F = m ω 2 r l 1
The larger the rising distance of the pepper fruit along the elastic tooth in the transporting stage, the smaller the radius of rotation of the contact point with the elastic tooth, the smaller the centrifugal inertia force, and the easier it is to equilibrate the pepper fruit in the transportation stage.
To study the breakage mechanism of pepper fruits and minimize the breakage rate of pepper fruit picking, the boundary conditions of pepper fruit breakage need to be explored and the theoretical mechanical system as well as the mathematical model of pepper fruit breakage, as well as the theoretical basis for the ideal picking and harvesting of pepper fruits must be established. The collision between pepper fruits and elastic teeth belongs to the typical rigid–flexible collision model, which can be analyzed by the Herz theory. The assumed conditions are as follows:
  • There is no interaction between pepper fruits, branches, and leaves except for the connecting force, ignoring the influence of airflow;
  • The initial velocity of pepper fruits is 0;
  • The impact force is the orthogonal direction of the impact force.
The tip of the elastic tooth has the largest radius of curvature, the highest speed of movement, and the greatest combing impact on the pepper fruits, which is the main cause of breakage. According to the von-Mises criterion for plastic materials, when the contact pressure P0 reaches the yield stress limit of the pepper fruits under unidirectional compression, a point below the surface of the contact area between the pepper fruits and the picking elastic teeth reaches the limit of the elastic state, which in turn causes plastic deformation or breakage.
From the Herz theory, two objects of general shape are in contact with each other, and the size of the contact zone c is
c = a b 1 2 = 3 P 1 R e 4 E   * 1 3
The compression δ is
δ = 9 P 1 2 16 E * 2 R e 1 3 K 2 e
The maximum pressure P1 on the contact surface is
P 0 = 3 P 1 2 π a b = 6 P 1 E   * 2 π 3 R e 2 K 2 e 2 3
included among these
R e = R R 1 2 1 R = 1 R 1 + 1 R 2 1 R = 1 R 1 + R 2
1 E * = 1 μ 1 2 E 1 + 1 μ 2 2 E 2
where P1 is the total pressure, N; R1′ and R1″ are the maximum and minimum radii of the curvature of the elastic tooth element in any normal plane in the contact zone, m; R2′ and R2″ are the maximum and minimum radii of the curvature of the pepper fruit in any normal plane in the contact area, m; E1 is the modulus of elasticity of the elastic tooth; MPa is the modulus of elasticity of the pepper fruit; μ1 is the Poisson’s ratio of the elastic tooth; μ2 is the Poisson’s ratio of the pepper; and K2(e) is the complete elliptic integral of the first type related to the elliptic eccentricity e.
During the collision between the pepper fruit and the elastic tooth, the distance between the centers of the two elements is shortened by δz due to the elastic deformation. their relative velocity is v z 2 v z 1 = d δ z d t . The force between the pepper fruit and the elastic tooth is P1(t), and can be described at any moment as
P 1 = m 1 d v z 1 d t = m 2 d v z 2 d t
where m1 is the mass of the elastic tooth, g, and m2 is the mass of the pepper fruit, g.
Letting 1 m = 1 m 1 + 1 m 2 , associating (22) and (18), and integrating over δz yields
1 2 V Z 2 d z d t 2 = 8 15 R e 1 2 E * K 2 e 3 2 δ z 5 2
where V Z = v z 2 v z 1 t = 0 is the velocity at which the pepper fruit and the bullet teeth approach each other. The moment of maximum compression yields
δ z * = 15 m V Z 2 K 2 e 3 2 16 R e 1 2 E * 2 5
Equations (23) and (24) are coupled and integrated on both sides to obtain the equation for the compression versus time curve:
t = δ z * V Z d δ z δ z * 1 δ z δ z * 5 2 1 2
At the moment of maximum compression, the mechanical properties of the pepper fruit are plastic, and according to the von Mises criterion, a point in the contact zone between the pepper fruit and the elastic tooth reaches the limit of the elastic state, forming a stress crack or crushing.
σs is the yield stress of pepper fruits under unidirectional loading. Knowing that P 0 * = 1.6 σ s , at this point t = t * , δ z = δ z 2 , P = P * , and combining Equations (17) and (20) yields
P 0 = 3 P 1 2 π 3 P 1 R e 4 E * 2 3
Joining Equations (23), (25) and (26) yields
v 2 = 126.79 σ s R e 3 m 2 E * 4 K 2 e
From Equation (27), the relative movement speed of the pepper fruit colliding with the picking elastic teeth without breakage is related to the yield stress, geometric dimensions, mass, modulus of elasticity, and other physical performance parameters of the pepper fruit, the modulus of elasticity of the picking elastic tooth, and the maximum and minimum radius of curvature at the contact point between the pepper fruit and the picking elastic tooth. The diameter of the picking teeth is 6 mm, the modulus of elasticity is 2.06 × 105 MPa, the modulus of elasticity of the pepper peel is 8 MPa, the platonic ratio is 0.45, and the mass is 4.58 g. All the parameters are inserted into Equation (27) to obtain the linear velocity of the picking teeth at the time of the collision of the pepper peel with the teeth and the plastic deformation of the picking teeth, which is 1.56 m/s. Therefore, the drum rotational speed needs to be less than 220 rad/min, which is the maximum and minimum radius of curvature of the picking teeth in contact with the tip of the picking fruit. Therefore, the rotational speed of the drum should be less than 220 rad/min to meet the requirement that the pepper fruits in contact with the tips of the elastic tooth will not be breakage.

2.2.3. Analysis of Kinematics on Pepper Fruits in Casting Section

In the actual harvest process, the pepper fruits are thrown out and then transported by the conveyor belt into the debris removal system, so the spatial distribution of the pepper fruits and the analysis of the spatial trajectory of the pepper fruits are crucial to the impact of whether the pepper fruits can fall into the secondary conveyor device smoothly and reduce the harvest loss.
In the process of picking and harvesting operations in the drum, in order to achieve the smooth separation of pepper fruits after the collision, avoid the loss of pepper fruits falling to the bottom of the drum due to the insufficient initial throwing speed, and meet the productivity and harvesting quality of the picking device, the drum needs to have a relatively high rotational speed. The high rotation speed of the drum has an impact not only on the ability to separate pepper fruits during pre-picking, but also improves the ability of the fruit to be thrown, meaning that in the moment when the pepper fruit and elastic tooth detach (the pepper fruit force situation shown in Figure 6), the pepper fruit will be subjected to the thrust of the elastic tooth as well as the effect of their own gravity. In the guide stage of the following process, the position of the pepper fruit is the result of the linear velocity of the elastic tooth. According to the law of conservation of momentum, the relationship between the throwing speed of pepper fruit and thrust is as follows:
m v p m v 0 + v h = F t t d t
where vp is pepper fruit throwing speed, m/s; v0 elastic tooth linear velocity, m/s; Ft is the elastic tooth thrust, N; and t is time, s.
Introducing the throw velocity equivalent factor ζ, so that v p + ζ v 0 + v h , Equation (28) can be expressed as:
m ζ 1 v 0 + v h = F t t d t
The research on the pepper fruit throwing process can be based on the research results of the throwing trajectory of straw particles. Considering the pepper fruit as a projectile thrown by the elastic tooth, and using the projectile theory to analyze the process of straw throwing, the following assumptions can be made: (1) the pepper fruit can be separated as a mass; (2) ignoring the rotation of the pepper fruit and the effect of its potential collision impact, the pepper fruit is only subject to its own gravity and the role of air resistance.
Pepper fruits are fed into the drum and after collision, separation, and transport, they are thrown out and fall into the collection box; the pepper fruits should have different angles of upward throwing motion trajectories. To analyze the three-dimensional spatial motion trajectory of the pepper fruits after being thrown, a Cartesian coordinate system is established, as shown in Figure 7.
When the direction of the ejection velocity of the pepper fruit and when the ejection and the initial position is different, the trajectory of the pepper fruit will change, according to the geometric relationship between the ejection velocity of the pepper fruit in the X, Y, and Z-axis of the velocity, which can be expressed as follows:
v p x 0 = 1 s e c 2 γ 1 + c o t 2 γ 2 v p v p y 0 = t a n γ 1 s e c 2 γ 1 + c o t 2 γ 2 v p v p y 0 = c o t γ 2 s e c 2 γ 1 + c o t 2 γ 2 v p
where vpx0 is the partial velocity on the X-axis, m/s; vpy0 is the partial velocity on the Y-axis, m/s; vpz0 is the partial velocity on the Z-axis, m/s; γ1 is the angle of the pepper throwing speed with the X-axis (upward angle of throwing), rad; and γ2 is the angle of the pepper throwing speed vp with the Z-axis (throwing deflection angle), rad.
The motion of the pepper fruit in the space exists in two phases—upward and downward—and the pepper fruit can be regarded as a projectile in the up-throw phase and analyzed by the projectile theory. According to the relation of motion and Newton’s second law, the space motion equation of the up-thrown pepper fruit can be obtained as follows:
m d 2 x d t p 2 + k a d x d t p 2 = 0
m d 2 y d t p 2 + 1 n k a d y d t p 2 + m g = 0
m d 2 z d t p 2 + k a d z d t p 2 = 0
where y is the horizontal direction of the pepper fruit throwing distance; tp is the throwing time, s; ka is the resistance coefficient of the pepper fruit and the air, kg/s; and n is the direction of the air resistance coefficient when the air resistance and gravity in the opposite direction (the descending stage), n = 1. When the air resistance and the direction of gravity is the same (the upward throwing stage), n = 2.
The air resistance coefficient ka describes the air resistance experienced by the peppers during the throwing process, which is related to physical parameters such as the size, shape, and mass of the peppers, and its mathematical relationship is as follows:
k a = ρ a C a A a 2 m
where ρa is the air density, kg/m3; Ca is the air damping coefficient; and Aa is the resistance area, m2.
The initial condition of the pepper fruit ejection model is that t2 = 0 will make v p x 0 = v p x 0 , v p y 0 = v p y 0 , v p z 0 = v p z 0 , x p 0 = 0 , y p 0 = 0 , and z p 0 = 0 . Using the variable separation method with integration, Equations (31)–(33) can be processed to obtain the fractional velocity model of the pepper fruit on X, Y, and Z and the corresponding motion trajectory model.
The velocity model of the pepper fruit on the X-axis vpx is
v p x = m v p x 0 m + k a v p x 0 t p
The trajectory model of the pepper fruit on the X-axis xp(tp) is
x p t p = m k a l n k a v p x 0 t p m + 1
The velocity model of the pepper fruit on the Y-axis vpy is
v p y = m g k a t a n a r c t a n k a m g v p y 0 t p g k a m ,        0 < t p < t 1 m g k a 1 e 2 g k a m t p 2 a r c t a n k a m g v p y 0 1 + e 2 g k a m t p 2 a r c t a n k a m g v p y 0 ,    t p > t 1
The trajectory model of the pepper fruit on the Y-axis yp(tp) is
y p t p = m k a l n c o s a r c t a n k a m g v p y 0 c o s a r c t a n k a m g v p y 0 t p g k a m ,       0 < t p < t 1 m k a l n 2 2 k a v p y o m g + 1 e a r c t a n k a v p y 0 m g t p g k a m 1 + e 2 a r c t a n k a v p y 0 m g t g k a m ,     t p > t 1
where t 1 = m k a g a r c t a n k a m g v p y 0 .
When v p y = 0 , y p t p = y p m a x , the velocity model of the pepper fruit on the Z-axis vpz is
v p z = m v p z 0 m + k a v p z o t p
The trajectory model of the pepper fruit on the Z-axis zp(tp) is
z p t p = m k a l n k a v p z 0 t p m + 1
From the above analysis, the range of the pepper fruit after being thrown is related to the drum rotational speed ω, the upward throwing angle γ1, and the throwing deflection angle γ2.
If the cover plate is installed, the pepper fruits are thrown diagonally upward in the process of ascending section. The upward angle γ1 > γs of the pepper fruits will collide with the cover plate, instantly ignoring the friction between the pepper fruits collision and the cover plate. After the collision of the pepper fruits in the vertical direction of the velocity (Y-axis direction velocity), an attenuation of 0 is found and the horizontal direction velocity remains unchanged. Therefore, the collision of the pepper fruit will change the original trajectory and make parabolic motion, since the ascending phase of the pepper fruit before the collision is the same as that of the pepper fruit without the collision, as analyzed in the previous section. At the same time, under the constraint of the guiding channel, the pepper fruit will not fly out of the throwing space in the Z-axis direction. Therefore, under the guide channel, the trajectory of the pepper fruit in the XOY plane is mainly analyzed (Figure 8).
From the projectile theory, there are pepper fruits in collision with the cover plate and the XOY plane trajectory model is as follows:
m d 2 x d t 2 + k a d x d t 2 = 0
m d 2 y d t 2 k a d y d t 2 + m g = 0
The initial condition of the projectile model when the fruit enters the parabolic motion is tp = t2. At this point, v p x t 2 = v p x 0 , v p y t 2 = 0 ; x p t 2 = L 4 , and y p t 2 = h 4 . Using the variable separation method with integration, Equations (34) and (35) are processed to obtain the partial velocity model of the pepper fruit on X and Y and the corresponding motion trajectory model.
The velocity model of the pepper fruit on the X-axis vpx is
v p x = m v p x 0 m + k a v p x 0 t p
The trajectory model of the pepper fruit on the X-axis xp(tp) is
x p t p = L 1 + m k a l n k a v p x 0 t p m + 1
The velocity model of the pepper fruit on the Y-axis vpy is
v p y = m g k a 1 e 2 g k a m t p 1 + e 2 g k a m t p ,   t p > t 2
The trajectory model of the pepper fruit on the Y-axis yp(tp) is
y p t p = h + m k a l n 2 e t p g k a m 1 + e 2 t p g k a m ,   t p > t 2
where L1 is the pepper fruit throwing point to the collision point with the cover plate horizontal distance, m; h is the pepper fruit throwing point to the collision point with the cover plate vertical distance, m; and t2 is the upward movement of the rising section of the time used, s.
Through the above theoretical analysis, it is found that the installation of the cover plate above the drum is an important means to realize the change in the trajectory of pepper fruits with too large an angle of upward throwing and casting.

2.3. Simulation Test Design

2.3.1. Materials and Equipment

The test peppers belonged to the Shan Zao Hong variety of line peppers, which were harvested from Longtoujing Village, Shihezi City, Bashi Division, Xinjiang Uygur Autonomous Region, and the main physical parameters are listed in Table 3. The sampling time was September 2024, which was the harvest season of pepper. The samples were selected from uniformly lighted, mature, disease and pest-free pepper plants, cut off from the roots and encapsulated in sealed bags, and the samples that were not used in time were stored in a freshness cabinet under shade and refrigeration.
In this paper, a finite element simulation of the drum and the pepper plant is used. The LS-DYNA module of ANSYS Workbench 2021R1 is used for the analysis. The mechanics model of the pepper plant is constructed using ANSYS Workbench 2021R1 and intermediate files are generated. The 3D model of the pepper picking device was built in SolidWorks 2024 software. Two models were used to construct a finite element simulation model in LS-DYNA module, and the description of the deformation and motion process of the flexible body was highly adapted to the real situation.
Based on the parameters of pepper stalks reported in the literature, the 3D model of pepper stalk was established using SolidWorks software. Due to the limitations of computer simulation performance, the pepper plant was simplified and only the main pepper stalk was retained. The pepper stalk was imported into ANSYS 2021R1, and the mechanical parameters of the stalk were set to a density of 337 kg/m3, a Young’s modulus of 564.7 MPa, and a Poisson’s ratio of 0.33. A hexahedral mesh was chosen with a mesh size of 2 mm, and one connecting point was created at the bottom of the pepper fruit. Using the LS-DYNA module of ANSYS Workbench 2021R1, a flexible body model containing parameters such as pepper stalk morphology and mechanical characteristics was generated and saved as an a.k file.
In ANSYS 2021R1 software, a flexible body of 150 mm length pepper stalk was generated, and three-point bending was simulated with a span of 80 mm and a knife blade diameter of 5 mm. The blade material was set to steel, the left and right two supports and the ground were fixed, as was the pepper stalk and the left and right support, and the type of contact between the pepper stalk and the knife blade for the flexible body and the rigid body contact were determined. The contact stiffness was set to 564.7 N/mm, the force index was 2.2, the damping coefficient was 1.545 N/(mm·s−1), the contact depth was 0.1 mm, the downward loading speed of the blade was 10 mm/min, the simulation step size was 0.01 s. The interaction force between stalk and blade in the simulated three-point bending simulation experiment is compared with the results of the bench experiment, as shown in Figure 9. The simulation does not consider the impurity rate of the pepper, so only the part of the simulated three-point bending simulation in which the force is less than the ultimate stress is taken into account, and it can be assumed that the nature of the stalks is close to the actual nature.
According to the results of material characterization tests and the phenotypic parameters and physical properties of pepper plants in the literature, a 3D model of a pepper fruit was established, which consisted of fruit stem and conical fruit body. Taking Shan Zhao Hong as an example, the mechanical parameters of pepper fruit were determined as a mass density of 978 kg/m3, a modulus of elasticity of 8 MPa, a Poisson’s ratio of 0.45, and for the consideration of computational accuracy and time, the minimum mesh edge length was defined as 2 mm to mesh the model, and one connecting point was created at the top of the pepper fruit. Using the LS-DYNA module of ANSYS Workbench 2021R1, a flexible body model containing parameters such as pepper fruit morphology and mechanical characteristics was generated and saved as an a.k file.
A model of pepper peel with dimensions of 100 mm × 15 mm × 1.2 mm was generated in ANSYS and used as a flexible body to perform the tensile experiment. During the simulation, the lower end of the peel was fixed to the lower fixture of the universal tester and the lower end was connected to the upper fixture. The fixture material was set to steel, the contact type was flexible body and rigid body contact, the contact stiffness was set to 1000 N/mm, the force index was set to 1.8, the damping coefficient was 0.8 N/(mm·s−1), the contact depth was 0.02 mm, the upper loading speed of the fruit peel was 2 mm/s, and the step length of the simulation was 0.01 s. The interaction force between the fruit peel and the fixture in the simulation experiment was compared with the bench experiment results, as shown in Figure 10.
Based on the factor coding in Table 4, three-dimensional simplified models of the drum with elastic tooth type picking mechanism with tooth spacings of 40 mm, 50 mm, and 60 mm were built in SolidWorks 2024, saved in .stp format, and then imported into LS-DYNA module of ANSYS Workbench 2021R1. A new coordinate system based on the side of the drum was created and frictionless contact between the drum and other parts was set up. The stiffness coefficient was set to 0.215 N/m using the simulation conditions established in previous studies [41,42,43].

2.3.2. Test Indicator

The purpose of this test is to study the effect of the motion and structural parameters of the picking device on the harvesting performance. In the picking operation of the pepper harvester, to ensure the harvesting performance, firstly, it is required that most of the peppers are picked cleanly; secondly, it must be ensured that the harvested peppers have a good appearance quality and that mechanical breakage caused by the picking is reduced; at the same time, it is necessary to reduce the loss of the peppers left on the ground during the picking operation. The loss rate reflects the degree of waste in the picking process, the breakage rate determines the quality of the pepper, and the picking rate affects the degree of picking peppers; they are important indexes reflecting the performance of pepper picking devices. Referring to the methods and requirements for determining the indicators of self-propelled pepper harvesters in DG/T114-2019S [44] Outline of Agricultural Machinery Popularization and Appraisal, it is determined that the picking rate Cr, the breakage rate Pr, and the loss rate Sr are used as the indicators for the test, and the calculation formulas for each indicator are as follows:
C r = M x + M c M x + M c + M y × 100 % P r = M p M x + M c + M y × 100 % S r = M c M x + M c + M y × 100 %
where Cr is the picking rate; Pr is the breakage rate; Sr is the loss rate; Mx is the total mass of pepper peppers in the collection box; Mc is the total mass of pepper peppers in the collection plate; My is the total mass of peppers left on pepper plants; and Mp is the total mass of peppers in breakage.
When conducting the simulations, it is difficult to count the fruit mass in the LS-DYNA simulation environment. Since the individual pepper fruit flexures used in the simulation had the same mass density, volume, and morphology, the fruit mass was replaced by counting the number of fruits in different regions. In finite element model generated by ANSYS software, it is difficult to realize the division of a single flexure into multiple flexures, so the mass of broken peppers was replaced by counting the number of fruits that exceeded the ultimate stress at the time of picking.

2.3.3. Test Factors and Levels

The performance of the pepper harvester is mainly influenced by the drum rotational speed, the operating speed, and the tooth spacing. The operating speed affects the trajectory of the endpoint of the picking teeth. At lower speeds, the teeth comb the plant more frequently, increasing the picking rate, but also raising the breakage rate. The tooth spacing, defined as the distance between teeth in the same row, is influenced by the pepper’s phenotypic characteristics. If the spacing is too large, the pepper may not be efficiently separated, reducing the picking rate. Conversely, if the spacing is too small, multiple teeth may simultaneously contact the same fruit, increasing the breakage rate. Therefore, the test factors were defined as drum rotational speed ω, operating speed Vm, and tooth spacing T.
According to the pepper planting mode and the results of the previous theoretical analysis, combined with the parameter settings of the same type of domestic picking devices, and based on the Box–Behnken design in RSM, the values of the test factor level were selected and the factor coding table was established, as listed in Table 4.

2.3.4. Test Program and Method

According to the actual working conditions of the barbed pepper harvester and the growth characteristics of the pepper plant, the finite element simulation model consisting of the pepper plant and the harvester is established by sequentially defining constraints, forces, and drives.
  • Contact force definition: In ANSYS Workbench 2021R1, within the contact definition in the Explicit Dynamics module, the contact type is set as FLEX TO SOLID (flexible body to rigid body). Based on the parameters of the pepper plant, the contact force parameters are set as follows: normal force type is chosen as impact, stiffness is defined as 1.5 × 105, force exponent is set to 2.0, damping is defined as 150, penetration depth is set to 0.05. The friction force is selected as static, and the friction coefficient is set to 0.3 to simulate the friction between the pepper fruit and the drum.
  • Traction force and resistance: Considering the traction force Fq and resistance Fz acting on the pepper plant during the harvest process, the total resistance Fm is defined as the combined force of both, with its magnitude being the product of the plant mass m and the friction coefficient f between the pepper fruit and the branches, i.e., F m = m f v , where v is the plant’s movement speed.
  • Drive definition: A drive is applied to the drum to define its rotational motion during the harvest process, with the rotational speed set according to the parameters in Table 4, ensuring that the actual operational state of the harvester is simulated. In addition, a slip joint is defined between the pepper plant and the ground to simulate the plant’s movement during harvesting, and a linear drive is added to achieve the forward motion of the harvester.
Based on the analysis of the pepper harvest process, three sensors are defined to simulate the motion of the plant:
  • Fruit stalk separation sensor: This sensor detects whether the pepper fruit has successfully separated from the stalk. When the sensor detects that the relative position between the fruit and the stalk is zero, it indicates that the fruit has separated from the stalk, and the harvest process is completed. This sensor allows the picking rate to be calculated in real-time.
  • Fruit stress monitoring sensor: This sensor is used to detect if the fruit is subjected to stress exceeding the threshold, thereby determining if the fruit has been broken. A breakage stress threshold is set, and once the stress on the fruit exceeds this threshold, the fruit is considered broken, allowing for the calculation of the breakage rate.
  • Fruit drop sensor: In the simulation, the sensor at the collection box entrance is used to monitor the collection of the fruit. If the fruit falls outside the collection box, it is recorded as a lost fruit, allowing the loss rate to be calculated.
By defining the above parameters, the harvest process of the pepper fruits using the barbed drum with elastic tooth type harvester can be effectively simulated, enabling further analysis of its mechanical behavior and dynamic response. The established finite element simulation model is shown in Figure 11.
In summary, to improve the performance indexes, investigate the interaction and influence law of the above test factors on the test indexes, and explore the optimal harvesting parameters under the lowest harvest loss, orthogonal experiments were carried out based on the Box–Behnken of RSM design test program with the drum rotational speed ω, operating speed Vm, and tooth spacing T as the test factors, and with the picking rate Cr, breakage rate Pr, and loss rate Sr as the target values. The experimental design scheme and results are shown in Table 5.

3. Results

3.1. Regression Modeling and Analysis of Variance

The results of the analysis of variance (ANOVA) of Y1, Y2, and Y3 using Design-Expert 13.0 software are shown in Table 6.
From the results of the ANOVA in Table 6, the p-value of the target value of the equation for the picking rate Cr simulation value is 0.006 < 0.01, indicating that the regression model is highly significant. Its coefficient of determination R2-value is 0.9117, indicating that the model fits the experimental values well. Among them, the p-value of X2 and X3 is less than 0.01, indicating that the effect on the model is extremely significant; the p-value of X1X3, X12, and X32 is less than 0.05 but greater than 0.01, indicating that the effect on the model is significant; and the p-value of the remaining sources of variance is greater than 0.05, indicating that the effect on the model is not significant, and can be disregarded in the model. According to the p-value, each parameter has a decreasing effect on the distribution of the coefficient of variation in descending order: X3, X2, X1, i.e., tooth spacing, operating speed, drum rotational speed. Removing the insignificant factors, the regression function value Y1 of the picking rate and the ternary quadratic regression equation of the drum rotational speed X1, operating speed X2, and tooth spacing X3 can be obtained as:
Y 1 = 92.08 1.31 X 2 1.55 X 3 1.02 X 1 X 3 + 0.94 X 1 2 + 1.12 X 3 2
The p-value of the target value of the breakage rate equation Pr simulation value is less than 0.0001 < 0.01, indicating that the regression model is highly significant. Its coefficient of determination R2-value is 0.9886, indicating that the model fits well with the experimental values. Among them, the p-value of X1, X2, X3, and X22 is less than 0.01, indicating that the effect on the model is extremely significant; the p-value of X1X3 is less than 0.05 but greater than 0.01, indicating that the effect on the model is significant; the p-value of the remaining sources of variance is greater than 0.05, indicating that the effect on the model is not significant, and can be disregarded in the model. According to the p-value, each parameter has a decreasing effect on the distribution of the coefficient of variation in descending order: X1, X3, X2, i.e., drum rotational speed, tooth spacing, operating speed. Removing the insignificant factors, the regression function value Y2 of the breakage rate and the ternary quadratic regression equation of the drum rotational speed X1, operating speed X2, and tooth spacing X3 can be obtained as follows:
Y 2 = 2.53 + 0.28 X 1 0.09 X 2 + 0.09 X 3 + 0.06 X 1 X 3 + 0.37 X 2 2
The p-value of the target value of the equation for the loss rate Sr simulation value is 0.0001 < 0.01, indicating that the regression model is highly significant. Its coefficient of determination R2-value is 0.9739, indicating that the model fits well with the experimental values. Among them, the p-value of X1, X2, and X12 is less than 0.01, indicating that the effect on the model is extremely significant; the p-value of X22 is less than 0.05 but greater than 0.01, indicating that the effect on the model is significant; and the p-value of the remaining sources of variance is greater than 0.05, indicating that the effect on the model is not significant, and can be ignored in the model. According to the p-value, each parameter has an effect on the distribution of the coefficient of variation in descending order: X1, X2, X3, i.e., the drum rotational speed, operating speed, tooth spacing. Removing the insignificant factors, the regression function value Y3 of the loss rate and the ternary quadratic regression equation of the drum rotational speed X1, operating speed X2, and tooth spacing X3 can be obtained as follows:
Y 3 = 4.03 0.39 X 1 0.34 X 2 + 0.89 X 1 2 + 0.21 X 2 2

3.2. Impact of Factors on Test Indicators

The two factors with the greatest influence on each target value were selected, respectively, and the response surface curves were generated using Design-Expert 13.0 software, as shown in Figure 12. The effects of the interaction factors of drum rotational speed X1, operating speed X2, and tooth spacing X3 on the target values of picking rate Y1, breakage rate Y2, and loss rate Y3 were analyzed based on the response surfaces.
Figure 12a shows the response surface curves of the interaction between drum rotational speed and tooth spacing for the picking rate when the operating speed is at the center level (0.42 m/s). From Figure 12a, when the drum rotational speed increases, the picking rate decreases and then increases, and the increase is relatively flat; the picking rate decreases as the tooth spacing increases, and the decrease gradually slows down. In the interaction between drum rotational speed and tooth spacing on picking rate, the tooth spacing has a greater effect on the interaction.
Figure 12b shows the response surface curves of the interaction between drum rotational speed and tooth spacing for breakage rate when the operating speed is at the center level (0.42 m/s). From Figure 12b, when the drum rotational speed increases, the breakage rate increases and the increase gradually decreases; the effect of the tooth spacing on the breakage rate is not significant. In the interaction between drum rotational speed and tooth spacing on the breakage rate, the drum rotational speed has a greater effect on the interaction.
Figure 12c shows the response surface curves of the interaction between drum rotational speed and operating rate for the loss rate when the tooth spacing is at the center level (50 mm). From Figure 12c, when the drum rotational speed increases, the loss decreases first and then increases, and the increase decreases first and then increases; the loss rate decreases with tooth spacing, and the decrease gradually slows down. In the interaction between drum rotational speed and operating speed on the loss rate, the drum rotational speed has a greater effect on the interaction.

3.3. Parameter Optimization and Test Validation

3.3.1. Parameter Optimization

The quality and yield of peppers are influenced by a few factors. During the harvest process, the picking rate, breakage rate, and loss rate are key indicators for assessing the quality of pepper harvesting and its economic benefits. The AHP is suitable for solving multi-objective decision-making problems and can effectively integrate the influence of various factors when there are multiple evaluation criteria. The RSM can search for optimal parameter combinations over a continuous range, rather than being limited to discrete points in the experimental design. In this study, the AHP is used to analyze the weight of these three indicators, and then the data are optimized using Design-Expert 13.0 software. In low-dimensional parameter space applications (3 variables in this study), the AHP-RSM integrated optimization method outperforms population-based metaheuristics like Genetic Algorithms in computational efficiency and engineering practicality. By substituting black-box simulations with explicit surrogate functions from RSM, it greatly reduces the number of convergence iterations. The combination of these two methods not only achieves continuous parameter optimization, but also fully considers the weight relationship between objectives, making the optimization results more scientific and reasonable.
To analyze the weight of each objective value using the AHP, it is necessary to evaluate the importance of the three indicators and construct a pairwise comparison matrix. The picking rate Y1 reflects the proportion of successful separations of the pepper fruit from the pepper stalk under the action of the tooted drum, directly reflecting the operational performance of the harvester. The breakage rate Y2 mainly affects the appearance and market value of the pepper, but the main factor influencing breakage is the combination of operational parameters of the harvesting device. The loss rate Y3 has a direct effect on the total yield, and the factors influencing the loss rate include not only the parameters of the harvester but also the settings of the guiding channel and the collection box.
In summary, the picking rate Y1 is three times more important than the breakage rate Y2, and the picking rate Y1 is four times more important than the loss rate Y3. The breakage rate Y2 is three times more important than the loss rate Y3. Based on this analysis, the pairwise comparison matrix is as follows:
A = 1 3 4 1 3 1 3 1 4 1 3 1
The sum of each column of the matrix must be calculated separately and each element must be divided by the sum of the corresponding column to obtain the normalized matrix:
A 1 = 0.631 0.692 0.5 0.211 0.231 0.375 0.158 0.077 0.125
The weights of each target value were obtained by calculating the average of each row of the normalized matrix: the picking rate was 0.6077, the breakage rate was 0.2723, and the loss rate was 0.1200. The consistency test was performed, and the consistency ratio was obtained to be less than 0.1, which indicates that the consistency of the matrix is good, and the results are reliable. The target weights calculated by AHP were linearly scaled (×10) to meet the Design-Expert software range (1–10), maintaining proportional relationships while aligning with software specifications and standardization approaches.
Referring to the relevant technical requirements of pepper harvester in DG/T114-2019S pepper harvesting needs to meet the requirements of picking rate as high as possible, and breakage rate and loss rate as low as possible. And each parameter has different effects on the target values. Therefore, to find the optimal parameter combinations of the drum with elastic tooth type picking mechanism and improve the performance of the picking operation, the parameter optimization design is carried out. Combined with the weight allocation obtained from AHP, the combination of picking parameters was optimized multi-objectively using Design-Expert 13.0 software for drum rotational speed, operating speed, and tooth spacing, with the objective function of picking rate, breakage rate, and loss rate, and the constraints were confirmed as follows:
m a x Y 1 m i n Y 2 m i n Y 3 s . t . 130 X 1 190 0.28 X 2 0.56 40 X 3 60
The optimal parameter combination was obtained by solving: drum rotational speed X1 was 182.47 r/min, operating speed X2 was 0.42 m/s, and tooth spacing X3 was 40 mm. The picking rate Y1 was predicted to be 93.36%, the breakage rate Y2 to be 2.60%, and the loss rate Y3 to be 3.99%.

3.3.2. Test Bench Design and Test Validation

The field environment has complex working conditions, including soil moisture, terrain changes, crop density, and other uncertain factors that may affect the stability of the harvester in the actual operation, thus affecting the accuracy of the test results. The design of the test bench can effectively simulate the harvest process of the pepper harvester, and its operating environment is more controllable, which largely eliminates the interference of the external environment and ensures the reliability of the data. Therefore, for the planting pattern described in the previous section, a test bench was designed with a drum with an elastic tooth type picking mechanism.
According to the operation process, the harvester can be divided into two main functions—traveling and picking—as shown in Figure 13. Therefore, to meet the above requirements, the test stand is designed with picking and conveying components. When the harvester is operating, the picking mechanism is fixed in front of the harvester, and the picking operation is completed as the harvester moves forward. When the harvester is traveling in the field, it is not only difficult to precisely control the traveling speed, but also easy to be affected by factors such as ground undulation on the test results. Different from the harvester, the relative motion between the mechanism and the pepper plants in the test stand relies on the operating of the pepper plants. The test bench makes the harvest process more stable and the operating speed more controllable through a stable conveying component.
The core mechanism of the picking component is an elastic tooth drum, which is centered on the drum and consists of two side plates and a plurality of elastic tooth mounting plates mounted between the side plates. Each mounting plate is equipped with a slot according to different spacing, in which a plurality of rigid teeth is mounted. Each group of three plates has a 20 mm difference in the distance between the first slot of each plate, which reduces the chance of missing pepper fruits. The drum is a hollow structure, which can prevent the pepper fruits from clogging. The baffle plate on both sides of the drum can prevent the pepper from splashing, and the cover plate on the top of the drum can prevent the pepper fruit from falling due to the large throwing angle. The drum is driven by the motor drive transmission device and then set in rotation.
The overall design of the conveyor is “U” shaped, which not only saves space, but also facilitates the test personnel to collect the picked pepper fruits for statistical data. A total of 15 groups of fixtures are bolted to the chain plate of the chain conveyor, and each group of fixtures is equipped with 4 fast horizontal clamps, which are evenly arranged at a spacing of 250 mm, and every 2 groups of fixtures are separated by 150 mm. According to different planting patterns, different clamps can be selected to simulate the planting position of pepper plants in the field. The chain conveyor is driven directly by the conveyor motor via a gearbox.
In conclusion, the pepper harvest device mainly consists of picking components and conveying components, as shown in Figure 13. Among them, the picking part mainly contains a picking motor, transmission system, torque sensor, rackmount, collection box, drum, pressing roller, and collection plate; the conveying component mainly includes a chain conveyor, fixture, and conveyor motor. In addition, the control system can adjust the start–stop and speed of the picking motor and conveyor motor to realize the operation parameters such as picking speed, conveyor line speed, and conveyor belt end position.
Before operating the pepper harvest device, the operator determines the row spacing and plant spacing according to the different planting patterns in each pepper growing area, so as to select the pepper plant fixture to be used and adjust the start/stop position of the conveyor. In addition, a preset range of drum rotational speeds and operating speeds are determined. During the picking process, the pepper plants pre-inserted into the fixtures advance with the conveyor belt and are subsequently fed to the picking part. Pepper plants are first bent by the pressing roller and then brushed by the high-speed rotating elastic tooth drum, the pepper fruits are separated from the stalks and thrown out by the elastic tooth guide, and the pepper fruits are thrown into the collection box under the limiting effect of the cover plate, and the lost pepper fruits fall into the collection plate trough under the drum. After picking, the pepper plants continue to move forward to the preset stopping position of the conveyor, while the drum stops rotating. After the operator has removed the picked pepper plants, the conveyor reverses back to its initial position, completing the picking process.
The pepper harvesting device is mainly used to simulate the field operation of a drum with elastic tooth type pepper harvester, and its main parameters are listed in Table 7.
A validation test for optimization of pepper picking parameters was carried out on 20 September 2024 at Shihezi University using the test bench, as shown in Figure 14. The number of elastic tooth mounting plates was 18, and the relative height of the drum to the root of the pepper plant was 52.6 mm.
The test parameters are set as follows:
  • Drum rotational speed adjustment: The drum speed is adjusted by adjusting the electromagnetic controller of the drum drive motor. The drum drive motor is a three-phase asynchronous electromagnetic AC motor; the electromagnetic controller rotates the control knob to adjust the speed and the torque sensor installed in the drum spindle reads the drum rotational speed and displays it on the computer and adjusts the knob to the predetermined speed to complete the adjustment of the drum rotational speed.
  • Operating speed adjustment: The feed speed adjustment is made by adjusting the servo control software of the conveyor drive motor. The conveyor drive motor is a servo motor; the speed is adjusted by the servo control software, the proportionality between the operating speed and the motor speed is calculated through the transmission ratio, the operating speed is calculated by combining the time used in the calibrated displacement range, and the speed of the motor in the software is set to complete the adjustment of the operating speed.
  • Tooth spacing adjustment: Replacement of tooth spacing of 40 mm, 50 mm, 60 mm, 3 specifications of the elastic tooth mounting plate. Elastic teeth are pre-installed in different specifications of the elastic tooth mounting plate.
Test equipment: test bench, one laptop computer, one weighting electronic scale (±0.01 kg).
Combined with the planting pattern of a ridge with double rows, the samples were laid out according to the arrangement of 4 plants in each group and a total of 12 groups. Each sample of 32 plants was divided into a group and numbered, and the order of the test was randomly selected by drawing lots before each group of tests, and it was ensured that the test conditions were as similar as possible during each test. At the end of the test, the peppers in the collection box, the peppers in the collection plate, the broken peppers, and the missing peppers were weighed and counted by using an electronic weighing scale.
There are five groups in the test, among which T1, T2, and T3 are the control group and T4 is the optimization group, and the test scheme and results are shown in Table 8. Based on the simulation results in the previous section, the three groups with the lowest picking rate, the highest breakage rate, and the highest loss rate are selected as the control groups T1, T2, and T3, respectively. According to the simulation and optimization results, the parameters of the optimization group T4 are set as the drum rotational speed of 182 r/min, the operating speed of 0.42 m/s, and the tooth spacing of 40 mm. The maximum relative errors between the predicted values calculated by the model and the measured values obtained from the bench test were 2.30% for the picking rate, 5.26% for the breakage rate, and 5.40% for the loss rate, so the simulation model was accurate. The optimization group T4 increased the picking rate by 5.40% compared to T1, decreased the breakage rate by 0.55% compared with T2, and decreased the loss rate by 1.50% compared with T3 in the validation test, so the parameter optimization results are accurate.

4. Discussion

4.1. Discussion of Results

In this paper, based on finite element simulation, the process of the interaction between the drum with elastic tooth type picking mechanism and the pepper plant is simulated. The optimal parameter combination is obtained by the Box–Behnken of RSM design test program. The simulation results showed an error of less than 5% compared with the bench test results, which made significant progress in reducing pepper breakage during harvesting. However, some problems were still found during the test, and these problems were analyzed, which can provide a reference for future improvement.
  • Due to the simulation accuracy and time limitations, the mutual entanglement force between pepper plants is added as a constant value force in this paper, which increases the relative error between the simulation test and the bench test. In actual harvesting, the mutual entanglement force is affected by several factors such as overlap coefficient, moisture content, friction coefficient, etc. Further research is needed to investigate the change in the pepper plant–plant interaction force in the harvest process and its impact on the quality of the harvesting operation to further improve the reliability of the simulation results.
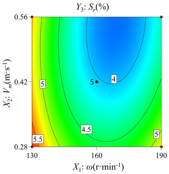
  • Based on the test results, it was found that the ratio of drum rotational speed to feed speed is an important parameter affecting the quality of the picking operation. Among them, the picking speed ratio has the most obvious effect on the picking loss rate. According to the previous simulation test results, the contour plots of drum rotational speed X1 and operating speed X2 on the target value loss rate X2 were generated using Design-Expert13 software, as shown in Figure 15.
This contour plot shows the effect of X1 and X2 on Y3. The colors and contours in each area of the graph represent different Y3 values, with the colors gradually becoming darker from red to blue, indicating that the magnitude of Y3 values varies from high to low. The change in picking speed ratio essentially reflects the relative size relationship between X1 and X2. If X1 increases or X2 decreases, the picking speed ratio will increase and vice versa. As can be seen from Figure 15, when the picking speed ratio is small, Y3 is closer to the red region and has a larger value; when the picking speed ratio is large, Y3 is closer to the yellow region, which also leads to an increase in Y3. This indicates that the optimal value of Y3 is within a moderate range of the picking speed ratio, and therefore, the parameter of the picking speed ratio can be introduced to carry out relevant impact studies.

4.2. Discussion of Bench Test

When the bench test was carried out, the picking process was filmed using a high-speed camera system, and the key frames were extracted, as shown in Figure 16. Figure 16a shows the upright state of the pepper plants before contacting the pressing roller. As can be seen in Figure 16b, the pressing roller bent the pepper plants before they were fed into the drum. During this process, the elastic potential energy is gradually accumulated as the conveyor moves forward and the pepper plants are continuously bent. As can be seen in Figure 16c, after the front row of pepper plants has passed through the pressing roller, the elastic potential energy is converted into kinetic energy and accelerates the rebound into the drum. Figure 16d shows the state of all the pepper plants being combed by the drum after completely passing through the pressing roller.
The function of the pressing roller is to produce a certain inclination angle between the pepper plant and the ground to increase the chance of contact between the elastic teeth and the pepper fruits, to achieve the purpose of improving the picking rate. However, if the parameters of the pressing roller are not set properly, the impact load of the teeth on the pepper fruits may increase, resulting in a higher breakage rate. Therefore, the effect of the operating parameters of the pressing roller on the quality of pepper picking remains to be investigated, and the interaction between the pressing roller and the pepper plants should be included in the analysis of the harvest process in the future.

4.3. Limitations and Prospects

  • Due to the time constraints of the pepper harvest period, the test samples in this paper were selected without considering factors such as the variety, fall, and growth of the pepper plants. Therefore, the test results are only applicable to peppers with good uprightness and favorable growth. The adaptive adjustment of pepper varieties, collapse, growth, and other factors and institutional parameters is also a research direction that should be considered in the future.
  • The peppers in the simulation were uniformly arranged with consistent morphological parameters. Although the pepper plants were randomly grouped to complete picking in the test bench, only plants with better growth were selected for sampling. Therefore, the effect of the fruit density of the pepper was not considered in this study. In the actual working conditions, the change in pepper growth density will cause random load fluctuation on the elastic teeth, resulting in harvest loss. Future loss reduction studies should consider the effect of pepper density.
  • The AHP-RSM integrated optimization framework adopted in this study aligns with the target dimensions and research requirements. Future studies will further validate the generalizability of the conclusions through multi-algorithm comparisons and hybrid optimization strategies, aiming to extend its applicability to complex agricultural machinery optimization scenarios.

5. Conclusions

  • Based on Hertz contact theory, the interaction between the drum and the pepper plant is analyzed, with the main influencing factors identified as drum rotational speed and tooth spacing. By combining Hertz contact theory with the von Mises criterion, the interaction between the elastic tooth drum and the pepper fruits is examined from the point of view of fruit loss and breakage mechanisms. It is found that the critical operating speed for pepper fruit detachment is 0.7 m/s, and the critical drum rotational speed for pepper fruit breakage is 220 r/min. Using projectile motion theory, a trajectory and velocity model for the pepper fruits during the ejection phase is established, showing that the drum rotational speed is the key factor affecting the pepper loss rate during the casting section.
  • A Box–Behnken multi-factor response surface simulation is performed through the LS-DYNA module of ANSYS Workbench. Variance analysis of the test results identifies the influence patterns of the interacting factors on the target values. The ranking of the factors affecting the picking rate is as follows: tooth spacing, operating speed, and drum rotational speed. The ranking of factors affecting the breakage rate is as follows: drum rotational speed, tooth spacing, and operating speed. The ranking of factors affecting loss rate is as follows: drum rotational speed, operating speed, and tooth spacing.
  • By determining the weights of each objective value through the AHP, a multi-objective optimization equation is established with RSM. The optimal harvesting parameters for minimizing pepper loss are found to be a drum rotational speed of 182 r/s, an operating speed of 0.42 m/s, and a tooth spacing of 40 mm. Under these conditions, the predicted picking rate is 93.36%, the breakage rate is 2.6%, and the loss rate is 3.99%. Bench tests show that the relative error between predicted and measured values for each target is less than 5%. Under the optimized parameter combination, the picking rate increases from 89.73% to 95.13%, the breakage rate decreases from 3.21% to 2.66%, and the loss rate decreases from 5.16% to 3.95%. Validation tests confirm the accuracy of the simulation results and the effectiveness of the optimal parameter combination.

Author Contributions

Conceptualization, B.W. and J.L.; methodology, B.W. and J.L.; software, B.W. and J.Y.; validation, B.W. and J.L.; formal analysis, B.W. and J.Z.; investigation, B.W. and J.L.; resources, B.W. and X.Q.; data curation, B.W. and L.L.; writing—original draft preparation, B.W. and J.L.; writing—review and editing, B.W., J.L. and X.Q.; visualization, B.W., Z.W. and J.L.; supervision, B.W. and J.L. All authors have read and agreed to the published version of the manuscript.

Funding

This study was supported by the National Natural Science Foundation of China (grant no. 62163032), the Financial Science and Technology Program of the XPCC (grant nos. 2024AB043, 2022CB011), and the Project of Achievement Transformation and Technology Extension of Shihezi University (grant no. CGZH202306).

Institutional Review Board Statement

Not applicable.

Data Availability Statement

The original contributions presented in this study are included in the article; further inquiries can be directed to the corresponding author.

Conflicts of Interest

The authors declare no conflicts of interest.

References

  1. Wu, Y.; Zhou, S.; Li, X. The Research Progresses on Pepper in 2019. J. China Capsicum 2020, 18, 1–11. [Google Scholar]
  2. Spence, C. Why is piquant/spicy food so popular? Int. J. Gastron. Food Sci. 2018, 12, 16–21. [Google Scholar] [CrossRef]
  3. Zhu, N. Analysis of the Comprehensive Development and Utilization Perspective of Pepper Seeds. J. China Condiment 2014, 39, 120–123. [Google Scholar]
  4. Hernández Pérez, T.; Gómez García, M.D.R.; Valverde, M.E. Capsicum annuum (hot pepper): An ancient Latin-American crop with outstanding bioactive compounds and nutraceutical potential. J. Compr. Rev. Food Sci. Food Saf. 2020, 19, 2972–2993. [Google Scholar] [CrossRef]
  5. Cao, Y.; Ma, Y.; Zhao, L. Research Progress on Pepper Seeds and Their High Value-Added Utilization. J. Technol. Food Ind. 2018, 39, 320–327. [Google Scholar]
  6. Food and Agriculture Organization of the United Nations. Available online: https://www.fao.org/faostat/en/#data/QCL (accessed on 20 September 2022).
  7. Wang, L.; Zang, B.; Zhang, Z. Status in Breeding and Production of Capsicum spp. in China During ‘The Thirteenth Five-Year Plan’ Period and Future Prospect. J. China Veg. 2021, 2, 21–29. [Google Scholar]
  8. Zou, X.; Ma, Y.; Dai, X. Spread and Industry Development of Pepper in China. J. Acta Hortic. Sin. 2020, 47, 1715–1726. [Google Scholar]
  9. Lin, Q.; Xin, Z.; Kong, L. The Current Status of Pepper Industry Development and Breeding Countermeasures in China. J. China Agric. Univ. 2023, 28, 82–95. [Google Scholar]
  10. Gentry, J.P.; Miles, J.A.; Hinz, W.W. Development of a Chili Pepper Harvester. J. Trans. ASAE 1978, 21, 52–54. [Google Scholar] [CrossRef]
  11. Marshall, D.E. Designing a Pepper for Mechanical Harvest. J. Capsicum Eggplant Newsl. 1997, 16, 15–27. [Google Scholar]
  12. Shooter, S.B.; Buffinton, K.W. Design and Development of the Pik Rite Chili Pepper Harvester: A Collaborative Project with the University, Industry, and Government. In Proceedings of the 29th ASEE/IEEE Frontiers in Education Conference, San Juan, PR, USA, 10–13 November 1999. [Google Scholar]
  13. Hawkes, J.G.; Libbin, J.D.; Eastman, R.; Diemer, J.; Jones, R. Challenges in Pepper Harvest Mechanization. In Proceedings of the Pepper Industry Conference, Las Cruces, NM, USA, 15–17 October 2000. [Google Scholar]
  14. Xue, S.; Li, Q.; Huang, Q. Analysis of Factors Affecting Mechanised Harvesting of Pepper. J. Xinjiang Agric. Mech. 2020, 4, 9–11. [Google Scholar]
  15. Meng, Q. Analysis of Production Cost and Income of Pepper in Main Production Areas in China—Based on the Investigation of Five Provinces Such as Guizhou and Hunan. Master’s Thesis, Hebei Agricultural University, Baoding, China, 2018. [Google Scholar]
  16. Xinjiang Uygur Autonomous Region Bureau of Statistics. Xinjiang Statistical Yearbook; China Statistics Press: Beijing, China, 2019.
  17. Song, W.; Wang, C.; Li, J. The Main Dried Pepper Varieties in Xinjiang and Their Adaptability. Rural Sci. Technol. 2003, 4, 31. [Google Scholar]
  18. Yang, H.; Shao, Z.; Gao, Y. Research on the Development Model of Xinjiang Agricultural Industrialization Consortium—Taking the Pepper Industry in Yanqi County as an Example. J. Anhui Agric. Sci. 2020, 648, 233–237. [Google Scholar]
  19. Gao, X. Research on the Health Function of Chili Pepper and the Development of Its Products. J. Food Res. Dev. 2004, 3, 115–116. [Google Scholar]
  20. Ding, H.; Dong, H.; Zhao, K. Talking about the Selection of Harvesting Machinery and Its Advantages and Disadvantages in the Process of Harvesting Pigmented Peppers. J. Hebei Agric. Mach. 2019, 252, 21–22. [Google Scholar]
  21. Wang, G. Discussion on the Problem of Mechanical Harvesting of Pepper. J. Rural Sci. Technol. 2014, 347, 65. [Google Scholar]
  22. Ge, J.; Yan, T.; Ouyang, W. Current Status of the Pepper Industry in Xinjiang and Suggestions for Development Strategies. J. Pepper Mag. 2010, 8, 8–10. [Google Scholar]
  23. Fan, S.; Sun, R.; Hong, X. Current Status and Research Strategies of Mechanization Technology for Pepper Harvesting in China. J. Zhongzhou Univ. 2023, 40, 116–120. [Google Scholar]
  24. Sun, G. Development of 4JZ-3600/2600 Self-Propelled Pepper Harvesting Machine. Agric. Eng. 2012, 2, 69–71. [Google Scholar]
  25. Xu, D. Design and Research of Line Pepper Harvester. Master’s Thesis, Gansu Agricultural University, Lanzhou, China, 2017. [Google Scholar]
  26. Abudulah, R. Design and Research of Tracked Miniature Pepper Harvester Hydraulic System. Master’s Thesis, Shihezi University, Shihezi, China, 2022. [Google Scholar]
  27. Yang, J.; Qin, X.; Lei, J.; Lu, L.; Zhang, J.; Wang, Z. Design and Experiment of a Crawler-Type Harvester for Red Cluster Peppers in Hilly and Mountainous Regions. J. Agric. 2024, 14, 1742. [Google Scholar] [CrossRef]
  28. Ning, Z.; Luo, L.; Ding, X.; Dong, Z.; Yang, B.; Cai, J.; Chen, W.; Lu, Q. Recognition of Sweet Peppers and Planning the Robotic Picking Sequence in High-Density Orchards. J. Comput. Electron. Agric. 2022, 196, 106878. [Google Scholar] [CrossRef]
  29. Liu, S.; Liu, M.; Chai, Y.; Li, S.; Miao, H. Recognition and Location of Pepper Picking Based on Improved Yolov5s and Depth Camera. J. Appl. Eng. Agric. 2023, 39, 179–185. [Google Scholar] [CrossRef]
  30. Deng, L.; Liu, T.; Jiang, P.; Qi, A.; He, Y.; Li, Y.; Yang, M.; Deng, X. Design and Testing of Bionic-Feature-Based 3D-Printed Flexible End-Effectors for Picking Horn Peppers. Agronomy 2023, 13, 2231. [Google Scholar] [CrossRef]
  31. Islam, M.N.; Iqbal, M.Z.; Ali, M.; Chowdhury, M.; Kabir, M.S.N.; Park, T.; Kim, Y.-J.; Chung, S.-O. Kinematic Analysis of a Clamp-Type Picking Device for an Automatic Pepper Transplanter. Agriculture 2020, 10, 627. [Google Scholar] [CrossRef]
  32. Zou, D.; Maimaiti Turson, A.; Han, C.; Li, Q.; Li, Y.; Zhang, J. Design and Experiment of Picking Platform of Pepper Harvester. J. Agric. Mech. Res. 2022, 44, 105–109. [Google Scholar]
  33. Li, X.; Li, Y.; Gao, H.; Qiu, Z.; Ma, F.; Gao, L. Bionic Threshing Process Analysis of Seed Corn Kernel. Trans. Chin. Soc. Agric. Mach. 2011, 42, 99–103. [Google Scholar]
  34. Sun, G. Study on Optimization of Snapping Roller Based on Bionic Corn Ear Picking Device. Master’s Thesis, Jilin University, Changchun, China, 2018. [Google Scholar]
  35. Lei, M.; Kong, L.; Chen, Y. Research on the Chili Picking Device of Spring Tooth Roller-Type. J. Chin. Agric. Mech. 2014, 35, 161–165. [Google Scholar]
  36. Lei, M.; Wang, F.; Wang, M. Experimental Study on Performance of Chili Picking Device Based on Spring Tooth Roller-Type. J. Agric. Mech. Res. 2018, 40, 142–146,152. [Google Scholar]
  37. Duan, Y.; Kong, L.; Chen, Y. Tine Drum Pepper Picking Device: Picking Hot Pepper Mechanical Damage Characteristics and Mechanism. J. Chin. Agric. Mech. 2014, 35, 79–82. [Google Scholar]
  38. Zhang, X.; Qin, X.; Lei, J.; Zhai, Z.; Zhang, J.; Wang, Z. A Novel Method on Recognizing Drum Load of Elastic Tooth Drum Pepper Harvester Based on CEEMDAN-KPCA-SVM. J. Agric. 2024, 14, 1114. [Google Scholar] [CrossRef]
  39. He, J.; Hu, W.; Guo, Y.F. Kinematic Simulation of No-Row Feed-in Mechanism with Guide-Rod for Corn Harvester. J. Trans. Chin. Soc. Agric. Eng. 2007, 23, 125–129. [Google Scholar]
  40. Du, Y.; Mao, E.; Song, Z. Simulation on Corn Plants in Harvest process Based on ADAMS. J. Trans. Chin. Soc. Agric. Mach. 2012, 43, 106–111. [Google Scholar]
  41. Wu, S.; Huang, W.; Yuan, X.; Li, X.; Mu, G.; Zhang, H. Design and Test of Stem-Leaf Separation Device for Salted Wakame (Undaria pinnatifida). J. Trans. Chin. Soc. Agric. Mach. 2024, 55, 348–360,+388. [Google Scholar]
  42. Cao, W.; Sun, W.; Niu, C.; Jiao, H.; Chen, B. Combed safflower picking device based on ANSYS/LS-DYNA. J. Trans. Chin. Soc. Agric. Mach. 2018, 49, 123–131. [Google Scholar]
  43. Li, X.; Fang, X.; Han, Z.; Zhang, Z.; Liu, G.; Cui, J.; Qiao, X.; Han, K. Dynamic Simulation of Sweet Sorghum Cutting Based on ANSYS/LS-DYNA. J. Trans. J. Agric. Sci. Technol. Mach. 2015, 17, 70–76. [Google Scholar]
  44. DG/T 114-2019; Agricultural Machinery Extension Appraisal Syllabus. Ministry of Agriculture and Rural Affairs of the People’s Republic of China: Beijing, China, 2019.
Figure 1. Pepper planting pattern and harvester structure: 1—Picking device; 2—First-level conveyor; 3—Traveling device; 4—Cab; 5—Second-level conveyor; 6—Collecting device; 1-1—Elastic tooth drum; 1-2—Drum hydraulic motor; 1-3—Ground wheel; 1-4—Hydraulic lifting cylinder; 1-5—Cover plate; 1-6—Pressing roller.
Figure 1. Pepper planting pattern and harvester structure: 1—Picking device; 2—First-level conveyor; 3—Traveling device; 4—Cab; 5—Second-level conveyor; 6—Collecting device; 1-1—Elastic tooth drum; 1-2—Drum hydraulic motor; 1-3—Ground wheel; 1-4—Hydraulic lifting cylinder; 1-5—Cover plate; 1-6—Pressing roller.
Agriculture 15 00600 g001
Figure 2. Elastic tooth drum section division.
Figure 2. Elastic tooth drum section division.
Agriculture 15 00600 g002
Figure 3. Drum trajectory and force on pepper stalks. (a) Curve of drum trajectory. (b) Analysis of force on pepper stalks.
Figure 3. Drum trajectory and force on pepper stalks. (a) Curve of drum trajectory. (b) Analysis of force on pepper stalks.
Agriculture 15 00600 g003
Figure 4. Pepper fruit force and motion analysis. (a) Pepper fruit force analysis. (b) Pepper fruit motion analysis.
Figure 4. Pepper fruit force and motion analysis. (a) Pepper fruit force analysis. (b) Pepper fruit motion analysis.
Agriculture 15 00600 g004
Figure 5. Carrying stage force analysis. (a) Force analysis at the beginning of the carrying stage. (b) Force analysis at the end of the carrying stage.
Figure 5. Carrying stage force analysis. (a) Force analysis at the beginning of the carrying stage. (b) Force analysis at the end of the carrying stage.
Agriculture 15 00600 g005
Figure 6. Force analysis of pepper fruit at casting section.
Figure 6. Force analysis of pepper fruit at casting section.
Agriculture 15 00600 g006
Figure 7. Trajectory of pepper fruit throwing space motion without cover plate.
Figure 7. Trajectory of pepper fruit throwing space motion without cover plate.
Agriculture 15 00600 g007
Figure 8. Trajectory of pepper fruit throwing space motion with cover plate.
Figure 8. Trajectory of pepper fruit throwing space motion with cover plate.
Agriculture 15 00600 g008
Figure 9. Comparison of three-point bending simulation and bench experiment. (a) Three-point bending bench experiment. (b) Three-point bending simulation experiment. (c) Three-point bending force-displacement curve.
Figure 9. Comparison of three-point bending simulation and bench experiment. (a) Three-point bending bench experiment. (b) Three-point bending simulation experiment. (c) Three-point bending force-displacement curve.
Agriculture 15 00600 g009
Figure 10. Comparison of peel tensile simulation and bench experiment. (a) Peel tensile bench experiment. (b) Peel tensile simulation experiment. (c) Peel tensile force-displacement curve.
Figure 10. Comparison of peel tensile simulation and bench experiment. (a) Peel tensile bench experiment. (b) Peel tensile simulation experiment. (c) Peel tensile force-displacement curve.
Agriculture 15 00600 g010
Figure 11. Simulation process of pepper picking. (a) Simplified model. (b) Pepper model. (c) Model after importing into LS-DYNA. (d) Pepper picking simulation. (e) Simulation results.
Figure 11. Simulation process of pepper picking. (a) Simplified model. (b) Pepper model. (c) Model after importing into LS-DYNA. (d) Pepper picking simulation. (e) Simulation results.
Agriculture 15 00600 g011
Figure 12. Response surface: (a) Y1 (X1, 0, X3); (b) Y2 (X1, 0, X3); (c) Y3 (X1, X2, 0).
Figure 12. Response surface: (a) Y1 (X1, 0, X3); (b) Y2 (X1, 0, X3); (c) Y3 (X1, X2, 0).
Agriculture 15 00600 g012
Figure 13. Pepper picking test bench.
Figure 13. Pepper picking test bench.
Agriculture 15 00600 g013
Figure 14. Test bench.
Figure 14. Test bench.
Agriculture 15 00600 g014
Figure 15. Contour of the effect of drum rotational speed and operating speed on loss rate.
Figure 15. Contour of the effect of drum rotational speed and operating speed on loss rate.
Agriculture 15 00600 g015
Figure 16. High-speed camera images of the picking process: (a) Upright state; (b) Bent state; (c) Rebound state; (d) Passed state.
Figure 16. High-speed camera images of the picking process: (a) Upright state; (b) Bent state; (c) Rebound state; (d) Passed state.
Agriculture 15 00600 g016
Table 1. Parameters of line pepper cultivation.
Table 1. Parameters of line pepper cultivation.
ParametersValue (mm)
Ridge width d1600
Ridge trench width d2300~500
Row spacing a1350~450
Plant spacing a2212~347
Table 2. Main design and technical parameters of the harvester with an elastic tooth drum.
Table 2. Main design and technical parameters of the harvester with an elastic tooth drum.
ItemDesign Parameters
Structure formCrawler self-propelled
Size (L × W × H) (mm × mm × mm)5138 × 1694 × 2634
Structure quality (kg)1500
Type of diesel engine4TE45
Rated power of engine (kW)39
Rated speed of engine (r·min−1)2400
Driving speed (m·s−1)0~8
Wheelbase (mm)1300
Working rows1
Working width (mm)1100
Table 3. Data statistics of some physical parameters of peppers.
Table 3. Data statistics of some physical parameters of peppers.
ParameterMaximum ValueMinimum ValueAverage Value
Culm diameter at fruiting/mm63.54.9
Plant height/mm900700780
Fruit height above ground/mm500320407
Maximum diameter/mm440200293
Pepper fruit length/mm210140176
Pepper fruit width/g221015.5
Water content of pepper fruits (%)84.2030.6053.13
Water content of pepper stalks (%)82.2526.0751.11
Table 4. Levels and codes of test factors.
Table 4. Levels and codes of test factors.
LevelsDrum Rotational Speed
ω/(r∙min−1)
Operating Speed
Vm/(m∙s−1)
Tooth Spacing
T/mm
−11300.2840
01600.4250
11900.5660
Table 5. Test design scheme and results.
Table 5. Test design scheme and results.
NO.X1 (ω)X2 (Vm)X3 (T)Y1 (Cr)Y2 (Pr)Y3 (Sr)
100092.082.534.03
201189.542.953.96
301−193.722.713.58
4−10−194.312.235.12
500092.112.504.00
60−1−196.362.844.41
7−10194.312.475.51
800092.052.544.06
90−1192.193.094.72
1000092.072.584.02
1111092.433.094.19
121−1094.953.225.04
1310191.932.924.73
1410−196.012.694.41
1500092.092.524.05
16−11090.552.475.51
17−1−1093.182.765.76
Table 6. Variance analysis of regression variance.
Table 6. Variance analysis of regression variance.
Response
Values
SourceSum of SquaresDegree of FreedomF-Valuep-Value
Y1Model47.7798.030.0060
X213.62120.610.0027
X319.31129.220.0010
X1X34.1616.300.0404
X123.7415.660.0490
X325.2617.950.0258
Residual4.637
Lack of fit4.633
Pure error0.00204
R20.9117
Cor total52.4016
Y2Model1.33967.17<0.0001
X10.62161282.64<0.0001
X20.0595127.060.0013
X30.0648129.460.0010
X1X30.013216.010.0440
X220.56251255.76<0.0001
Residual0.01547
Lack of fit0.01193
Pure error0.00354
R20.9886
Cor total1.3416
Y3Model5.95928.970.0001
X11.23153.970.0002
X20.9045139.610.0004
X123.301144.49<0.0001
X220.181717.960.0257
Residual0.15997
Lack of fit0.15763
Pure error0.00234
R20.9739
Cor total6.1116
Table 7. Main technical parameters of the test bench.
Table 7. Main technical parameters of the test bench.
ItemDesign Parameters
Drum rotational speed/(rad·s−1)0~300
Plant operating speed/(m·s−1)0~3
Power of picking/kW7.5
Power of conveying/kW2.5
Picking width/mm1050
Drum diameter/mm850
Conveyor belt length/mm12,000
Table 8. Bench test design scheme and results.
Table 8. Bench test design scheme and results.
NO.ω
/(r·min−1)
Vm
/(m·s−1)
T
/(mm)
Measured ValueProjected ValueRelative Error
Cr (%)Pr (%)Sr (%)Cr (%)Pr (%)Sr (%)Cr (%)Pr (%)Sr (%)
T11600.566089.732.963.9990.342.903.900.682.022.25
T21900.285094.713.215.1692.533.275.082.301.871.55
T31300.565090.622.435.4591.712.535.181.204.124.95
T41820.424095.132.663.9593.362.603.991.862.261.01
Disclaimer/Publisher’s Note: The statements, opinions and data contained in all publications are solely those of the individual author(s) and contributor(s) and not of MDPI and/or the editor(s). MDPI and/or the editor(s) disclaim responsibility for any injury to people or property resulting from any ideas, methods, instructions or products referred to in the content.

Share and Cite

MDPI and ACS Style

Wang, B.; Qin, X.; Lei, J.; Yang, J.; Zhang, J.; Lu, L.; Wang, Z. Parameter Optimization and Experimental Study of Drum with Elastic Tooth Type Loss-Reducing Picking Mechanism of Pepper Harvester. Agriculture 2025, 15, 600. https://doi.org/10.3390/agriculture15060600

AMA Style

Wang B, Qin X, Lei J, Yang J, Zhang J, Lu L, Wang Z. Parameter Optimization and Experimental Study of Drum with Elastic Tooth Type Loss-Reducing Picking Mechanism of Pepper Harvester. Agriculture. 2025; 15(6):600. https://doi.org/10.3390/agriculture15060600

Chicago/Turabian Style

Wang, Bingpeng, Xinyan Qin, Jin Lei, Jiaxuan Yang, Jianglong Zhang, Lijian Lu, and Zhi Wang. 2025. "Parameter Optimization and Experimental Study of Drum with Elastic Tooth Type Loss-Reducing Picking Mechanism of Pepper Harvester" Agriculture 15, no. 6: 600. https://doi.org/10.3390/agriculture15060600

APA Style

Wang, B., Qin, X., Lei, J., Yang, J., Zhang, J., Lu, L., & Wang, Z. (2025). Parameter Optimization and Experimental Study of Drum with Elastic Tooth Type Loss-Reducing Picking Mechanism of Pepper Harvester. Agriculture, 15(6), 600. https://doi.org/10.3390/agriculture15060600

Note that from the first issue of 2016, this journal uses article numbers instead of page numbers. See further details here.

Article Metrics

Back to TopTop