Abstract
With the continuous implementation of the rural revitalisation strategy, the social and economic landscape of China’s countryside has undergone significant changes and the structure and functions of rural production space have gradually become more complex and diversified. The theory of rural production space and its multifunctionality provides a new perspective for the study of rural human–land relationship patterns. Taking Western Chongqing, one of the national pilot zones for integrated urban–rural development, as an example, a scientific evaluation index system is established from the perspective of rural production space and its multifunctionality. The evaluation takes into account the consensus indicators of existing academic results, the regional characteristics of Western Chongqing, and relevant policies. On this basis, a regression model is constructed to investigate the factors influencing multifunctional regional differentiation, and a weighted clustering algorithm is used to classify the units in the study area into functional zones. The results of the study are as follows: (1) A multifunctional evaluation system with 24 indicators in five dimensions was constructed through the principle of scientific selection of indicators. (2) All functions in the rural production space of Western Chongqing have the respective geographical differentiation characteristics. In particular, the high-value and low-value agglomerations are generally distributed in strips or clusters, and the high-value and low-value agglomerations are intermingled, with each influencing factor driving the differentiation process of each function in the form of inhibition and reinforcement. (3) Western Chongqing can be divided into four types of functional areas: balanced development, lagging development–ecological recreation, urban development, and modern agriculture. Differentiated development strategies are proposed for different types of functional areas. We conclude that the study of the multifunctional spatial differentiation of rural production and functional zoning can provide a clearer analysis of the current status of rural development in Western Chongqing, and also enriches the perspective and methodology of the study of rural areas in western China.
1. Introduction
The countryside is an area outside the city with a more natural and pristine environment, where large-scale agricultural activities are carried out. The countryside has the irreplaceable functions of supplying agricultural and sideline products, providing ecological recreation in the countryside, and carrying the life and development of the agricultural population. The combination of labour, capital, and land in the countryside in different proportions constitutes a certain function of the territorial system of human–land relations, i.e., a rural production space system with economic functions and a production supply as the mainstay. The function mainly provides agricultural products, agro-processed products, and recreational services, and carries the capacity of rural social security and ecological stability [1]. In the current context of rapid urbanisation, the population, land, and capital in China’s rural areas are undergoing huge changes, which have transformed the rural spatial structure, and reconfigured the rural production space, guided by the diversification of rural land use and rural industries; this has greatly changed the rural production and management mode in the past [2,3]. In this context, the rural production space has evolved from the traditional single agricultural production space to an integrated, multifunctional space with functions such as the agriculture, industry, tourism, and leisure industry, as well as ecological services and livelihood protection. At the same time, the resources and population of the countryside are gradually siphoned off by cities and industries, resulting in the gradual hollowing out of the countryside, the abandonment of arable land, and the reduction of the efficiency of land use intensification, as well as increasing impacts of urbanisation on the ecological environment of the countryside [4]. Under the requirement of co-ordinated and sustainable regional development, the proposed strategy of rural revitalisation has brought policy help and guidance for the transformation of agricultural and rural modernisation in the majority of rural areas in China. The study of the multifunctional evaluation and functional zoning of rural production space is of great significance for improving the rural functional system, for improving the relationship between rural people and land, and for promoting the implementation of the rural revitalisation strategy.
Researchers in China and abroad have extensively and deeply studied rural production space, from the conceptual cognition of production space systems, operational mechanisms, and influencing factors and response states to the interpretation of production space functions [5,6,7]. Foreign scholars were the first to conduct research on the spatial functions of rural territories, focusing on areas such as agricultural multifunction and arable land multifunction [8]. In recent years, scholars in China have drawn on the knowledge gained by foreign research and have conducted extensive research on the multifunctional rural areas, multifunctional land use, and multifunctional agricultural land, from which they have achieved fruitful results [9,10]. The main research directions of domestic and foreign scholars include the definition of rural production space, the multiplicity, mutability, and game-playing characteristics of functions, the evaluation framework and methods of functions, the evolution of functions and geographical differentiation characteristics, the formation mechanism and influencing factors of multifunctionality, the impact of the development and co-ordination of the multifunction of rural production–living–ecological space on sustainable rural development, and the transformation of farmers’ livelihoods [11,12,13,14]. At the research scale, studies of the spatial functions of rural production have been conducted at both the micro and macro levels, and extensive research has been conducted on administrative units at the provincial, municipal, district and county, township, and village levels, revealing the types and spatial differentiation of rural functions at different scales. In terms of research methods, foreign scholars were the first to reveal the connotations, types, and operational mechanisms of rural human–land relations and regional functions by means of case studies; they established qualitative research on agricultural multifunctionality, arable land multifunctionality, and the structure and spatial characteristics of rural regional functions, with Homles and Finke establishing the paradigm of multifunctional rural studies [15,16,17]. Both qualitative and quantitative studies on the functions of the rural production–living–ecological space have now been well-established, and the evaluation and quantification of functions have become a common way of studying the relationship between people and land in the countryside. Wang, Liu, and Teresa et al. have analysed the formation, structural characteristics, and influence mechanisms of multifunctionality, and have constructed a scientific and standardised evaluation index system, on the basis of which they have extensively used the comprehensive evaluation method, entropy-TOPSIS method, four-quadrant model, and ecological niche theory to evaluate and measure multifunctionality. They have also explored the correlations and interactions between functions, to classify the types of rural dominant functions [18,19,20,21].
Due to the constraints of location, topography, and other natural conditions, as well as lagging development, the rural areas in the western region of China have reduced and more unevenly distributed populations and resources, and obvious geographical differences, which have the value and space for in-depth research on the regional characteristics of human–land relations. Wang, Yu, Wu, and Zhu et al. studied the rural production–living–ecological space and its multifunctions in provinces and cities in western China, and discussed the structural composition and spatio-temporal evolution characteristics of the rural production, ecology, and living space system and its multifunctions [3,5,20]. As rural production space is driven by the needs of multiple subjects within the system, and the constraints of the geographical environment and the interference of external factors leading to the complexity, multiplicity, mutability, and spatial heterogeneity of its structure and function, the evaluation systems of most rural territorial evaluation studies are still inadequate [22]. The methods used in most studies on the zoning and classification of rural types, such as the comparative advantage index method, the identification of dominant and short board functions, and the traditional mean clustering method, lead to less accurate and objective classification results: this is due to the single classification index, the lack of consideration of intra-group heterogeneity, excessive interference from subjective judgment, and the lack of consideration of differences in the weights of multiple characteristic dimensions. As a member of the Chongqing metropolitan area, Western Chongqing is strongly influenced by the functions of the central urban area of Chongqing. Here, urbanisation has accelerated in recent years, and the rural industry has diversified from a single agriculture to a large rural economic and social landscape. Therefore, this paper selects Western Chongqing, which is one of the national demonstration zones for integrated urban–rural development, as an example. The main research objectives of this paper are: (1) to quantitatively evaluate the multifunctionality of rural production space in the Western Chongqing on the basis of relevant research results at home and abroad, combined with the regional characteristics of the rural areas in the Western Chongqing and government policies, and to construct a scientific and perfect framework of the evaluation index system and carry out the measurement; (2) to reveal the characteristics of the geographical differentiation of multifunctionality in rural production space and explore the influencing factors and mechanisms driving the geographical differentiation of multifunctionality; and (3) to carry out functional zoning on the basis of multifunctional evaluation and distribution pattern research, and put forward corresponding proposals for rural revitalisation and transformation development for different types of functional areas, so as to better optimise the allocation of resources and improve the development environment of various types of rural areas. The contribution of this paper to the research field of rural development management is as follows: (1) it improves and optimises the multifunctional evaluation index system of rural production space; (2) it reveals the pattern of multifunctional geographical differentiation and distribution characteristics, and explores the driving mechanism behind them; and (3) it shows that optimal functional zoning is carried out based on the analysis results of the fuzzy clustering model. This paper aims to provide policy references for the differentiated rural revitalisation paths in the region, and to enrich the perspectives and methods for the study of the geographical system of rural human–land relations in the western region.
2. Materials
2.1. Study Area
Western Chongqing is one of the 11 national pilot areas for urban–rural integration development, in the earliest announcement. Its scope includes 9 districts, such as Tongnan, Hechuan, and Tongliang, accounting for about 18.6% of the total land area of the city, and 30% of the total output value and total population of the city. The National Urban–Rural Integration Development Pilot Area concept was proposed by the relevant departments of the Chinese Central Government in 2019, with the aim of selecting a group of regions with a good foundation for urban–rural integration reforms and a good background in rural development to serve as the forerunners in promoting urban–rural integration and revitalisation of the countryside. The National Urban–Rural Integration Development Pilot Areas (NURIDPAs) are selected on the basis of good urban–rural integration and are located in contiguous districts and counties on the outskirts of the metropolitan area (predominantly rural districts and counties). Governments at all levels provide financial and human resources and policy support to the National Urban–Rural Integration Development Pilot Areas in order to promote rural society and narrow the development gap between urban and rural areas, including reforms to the rural land concession system, reforms to the population migration system, and a large amount of specialised funding. Western Chongqing meets the criteria of the pilot area policy and gradually narrows the gap between urban and rural areas under the guarantee of the policy system, gradually increases the income of farmers, and improves the rural living environment. On this basis, this paper explores the current multifunctional status of the countryside in Western Chongqing, analyses the reasons behind the functional differentiation, and classifies the area into zones. Using the key support of national policies and the characteristics of various types of functional zones, the paper puts forward corresponding development suggestions for various types of functional zones, and transforms the policy advantages of the national urban–rural integrated development demonstration zone into driving efficacy in promoting the modernisation of agriculture and rural areas in Western Chongqing and the transformation and revitalisation of the countryside. In order to realise a city-driven countryside, resources are rationally allocated and sunk into the countryside, so that rural residents and urban residents can enjoy the benefits of modernisation together, and to promote the synergistic development of the countryside’s industry and economy, public resources, and human settlements.
As shown in Figure 1, Western Chongqing is dominated by low mountains and hills, with an extensive area of arable land and abundant water resources. It has always been a major agricultural and grain-producing area in Chongqing. The cultivated land area is about 7.962 million mu, and the total rural population is 4.872 million, accounting for 28% of the total population of Chongqing. The output value of agriculture, forestry, animal husbandry, and fishery, and the total grain production accounted for 36% and 33.5%, respectively, in the city. Rural per capita net income has grown rapidly, the gap between urban and rural areas has narrowed year by year, and integration has progressed rapidly. The vast rural areas in this region not only undertake the function of providing agricultural products such as grain, oil, vegetables, and fruits for urban residents, but also gradually develop agriculture-based agricultural and sideline product processing, leisure agriculture, and ecological tourism [7]. As Banan District belongs to the core area of the main city and has realised a high degree of urbanisation, its proportions of agricultural output value, agricultural population, and rural area are much smaller than those of the other eight districts and counties, so Banan District is not included in the research scope. According to China’s current administrative division and management system, the “district” and “county” units in this article are under the direct jurisdiction of the “city” unit, and the “district” and “county” are at the same level. The “district” units included in the scope of this study belong to the latter. The next level of administrative units at the “district” and “county” levels are townships, towns, and streets. Townships, towns, and streets are at the same level. “Streets” are generally the more urbanised parts of districts or counties, and these street units have low rural population, rural area, and agricultural industry; i.e., they are the central townships of districts or counties, and are classified as cities at the statistical level and the economic level, and do not fall within the scope of rural studies. On the other hand, “townships” and “towns” are generally administrative units with agriculture as the key industry, a high proportion of agriculture, low urbanisation, and a predominantly rural population. In this paper, the scale of research is at the township level, and the object of research is the multifunctionality of the countryside, so the “street” units with high urbanisation are excluded because these parts belong to the city. The unit of study selected for this paper is the predominantly rural township unit.
Figure 1.
Location and terrain of the study area.
2.2. Data Sources
The time node selected in this study is 2020, and towns (streets) are taken as the research unit. In view of the high degree of urbanisation of urban streets in districts and counties, urban streets with an urbanisation rate of more than 60% are excluded. A total of 29 main urban streets are excluded, and 168 township are selected as the research objects. The data types include socio-economic statistics and spatial data. The socio-economic data come from the 2021 statistical yearbook of each district and county and the yearbook of each district and county. Additional data were obtained from the 2021 China County Statistical Yearbook (Township volume). Finally, forest land occupation account files provided by the forestry Bureau of each district and county, forestry resource survey data statistics, evaluation data of tourists at major scenic spots collected by Ctrip and other tourism websites, annual tourist numbers at major scenic spots of each township, and township social and economic data were provided by Chongqing Center for Geographic Information and Remote Sensing Application. The spatial data come from Chongqing POI data for 2020, provided by Amad; DEM elevation data were provided by Chinese Academy of SciencesSoil data; meteorological datasets (including precipitation, temperature, and other meteorological data) were provided by the National Tibetan Plateau Science Data Center; highway network and river system network data were provided by geospatial data cloud platform; and Chongqing 3rd Land Resources Survey data were provided by Chongqing Geographic Information and Remote Sensing Application Center. All the obtained data were normalised.
2.3. Methodology
The main research steps of this paper are as follows (Figure 2): (1) construct the evaluation index system for rural production space multifunction, and use the entropy weight method to carry out measurement and evaluation; (2) explore the characteristics of multifunctional geographic differentiation, and use the multiple regression model to explore the influencing factors and mechanisms of multifunctional differentiation; and (3) use the clustering model to identify the types of functional areas, and put forward the differentiated development mode according to the characteristics of each type of functional area.
Figure 2.
Research process framework diagram.
3. Methods
3.1. Construction of Evaluation Index System
This paper deeply analyses the scientific connotation and definition of the multifunctional theory of rural production space, under the guidance of scientific theory, in accordance with the scientific principle of indicator selection, including the following main aspects:
- (1)
- The principle of scientificity in the selection of indicators. Indicators can accurately and effectively reflect the scientific principles and essential laws of things, the number of indicators should not be too many, and they should strive to streamline.
- (2)
- The principle of holistic selection of indicators. Indicator selection should take into account the various aspects of the research object; and should seek to reflect the important characteristics and content of all aspects of the subject of the study. No important indicator reflecting the essential characteristics of the object of study should be omitted.
- (3)
- The principle of operability of the selection of indicators. The indicator system can be practiced and operable, and the designed indicators can obtain reliable scientific data.
This paper draws on the indicators that have been used more frequently in previous research, combines three aspects of rural characteristics and relevant policies in Western Chongqing, and selects scientifically appropriate indicators to build the evaluation system according to the principle of suitability of indicator selection. According to that principle, scientific and appropriate indicators are selected to build an evaluation system:
- (1)
- References to previous literature. We analyse domestic and international studies from 2000 to present, most of which are selected from Chinese core journals and foreign high-level journals such as Geographical Journal, Ecological Indicators, Journal of Rural Studies, and other authoritative academic publications. The total number of references accounted for more than 30% of the studies on related topics, and the reference count of each selected index was more than 5. In total, this paper selected 25 indicators from 5 dimensions (agricultural production function, industrial and trade development function, leisure and tourism function, ecological stability maintenance function, and social security function) to represent the multifunction of rural production space in Western Chongqing. Most of the indicators selected are recognised indicators cited in combination with the research results of many studies, and include per capita grain yield, per capita cultivated land area, forest coverage, fertiliser use intensity, etc.
- (2)
- Some indicators are supplemented and optimised according to the regional characteristics of rural areas in Western Chongqing, when combined with reliable data. Western Chongqing is low-lying and flat as a whole. Compared with the vast mountainous areas in central and western China, the use of agricultural machinery tools is less difficult and the use of agricultural machinery is more commonplace. Therefore, per capita electricity consumption of agricultural machinery is chosen to measure the degree of mechanisation of agricultural production in Western Chongqing. Different from East China, the rural modernisation degree is high; education, science, culture, and health service resources are comprehensive; urban and rural population distribution is uniform; rural population outflow is less in Western Chongqing and most rural areas, due to the geographical environment restrictions; the development is slower; rural education and culture and medical resources are relatively lacking and have a heterogeneous spatial distribution; rural population loss is serious; and the rural residential population is decreasing year by year. The improvement index of rural education resources, density of medical and health facilities, and density of cultural and recreational facilities were selected to measure the rural public service ability of Western Chongqing, and the net emigration rate was selected to measure the degree of rural social decline and social attraction in Western Chongqing.
- (3)
- Some indicators are selected in combination with relevant policies. For example, Western Chongqing actively responds to and implements the policy of returning farmland to forest. All districts, counties, and towns strictly control farmland and other production land and actively compensate forestland. Chongqing Municipality and its various districts and counties have introduced a number of policies to help rural people out of poverty and migrant workers return to their hometowns to find jobs and start businesses, so as to stabilise the employment of rural farmers and boost the rural population employment rate to represent the strength of ensuring people’s livelihood. All the selected indices can effectively represent the multifunction of rural production space system in Western Chongqing, and have strong adaptability. Based on the relevant policy environment and social characteristics of the western part of Chongqing, we selected the area of returning farmland to forest and ecological afforestation as functional indicators characterising ecological restoration, and consolidation of ecological stability and sustainability. Employment of returnees was selected as an indicator to reflect the ability of the western part of Chongqing to guarantee employment for rural residents and to fulfill the basic social security capacity.
The direction of the indicator is determined according to the nature of the indicator’s effect on the object of study: the indicator plays a positive positive effect on the object of study as positive “+”, and the indicator plays a negative negative effect on the object of study as negative “−”. This link is very important for normalising the indicator data. The weights of the indicators are determined by the entropy weighting method. The evaluation index system is shown in Table 1 below.
Table 1.
The evaluation index system of rural production space multifunctions.
3.2. Index Entropy Weight Method
The entropy weight method is an objective weighting method to determine index weights based on the principle of information entropy. Quantitative weights are assigned based on the information content of the index data itself [27,32,46]. After standardising and processing the index data of each township, this study uses the entropy weight method to assign values to each index of the multifunctional evaluation of rural production space, then processes the indicators and data with abnormal weights, and, finally, obtains the scientific and objective weight allocation of the evaluation index system. The entropy weighting method is a common method of assigning weights to indicators, which is not described in detail in this paper as a key method. According to the obtained index weights and processed normalised index data, each function is weighted and summed to measure the index value of each function. In order to support the completion of the first research objective of this paper, i.e., to construct the evaluation index system and calculate the value of each function. The weighted summation formula is as follows:
where Si is the ith primary functional value of a township, Zij is the standardised value of the jth index corresponding to the functional value, and Wj is the weight of the jth index.
3.3. Spatial Autocorrelation Analysis
Spatial autocorrelation analysis is a spatial statistical method to study the spatial agglomeration characteristics of elements in a certain range, by analysing the global and local correlation of things in a certain region through statistical models such as Moran’s I [24,37]. In this study, the Global Moran’s I model was used to analyse the overall clustering of each functional value of rural production space in Western Chongqing. The results of the analysis show that the Global Moran’s I values for each function are all positive and pass the significance test. Spatial autocorrelation model running in Arcgis 10.2 software. The Global Moran’s I formula is:
where xi and xj are the functional values of the ith township and the jth township, and wij is the space weight matrix. Global Moran’s I take values in the range [–1, 1]; values closer to 1 indicate stronger agglomeration of high or low values, while values closer to −1 indicate greater dispersion. I = 0 indicates no spatial correlation.
3.4. Multiple Regression Model
In this paper, we use the stepwise regression method to establish the regression model between multifunction and each influencing factor. The stepwise regression method selects the most important explanatory variable for the dependent variable using forward or backward stepwise selection, to optimise model accuracy. First, the regression model for the dependent variable and all other variables is established, and the non-significant variables are eliminated successively according to the order of contribution, until all independent variables have been tested. Finally, the optimal multiple linear regression equations with significant independent variables and no collinearity are obtained. This paper uses stepwise regression models to explore the mechanisms influencing and driving patterns of multifunctionality in rural production spaces, with one separate regression analysis for each function, and a total of five regression models used. In this paper, multiple regression models were run using the SPSS 26 software version.
Dependent variable (response variable): This paper explores the influence mechanism of multifunctional geographic differentiation of rural production space, so five sub-functions (including agricultural production function, industrial and trade economic function, leisure and tourism function, ecological conservation function, and life protection function) are selected as the dependent variables of the five regression models. The values of each type of function in all research units were calculated according to the “2.4 Functional exponent Evaluation Model”.
Independent variables (explanatory variables). Based on the relevant literature of previous studies and the general laws and understanding of the development of socio-natural systems, as well as the empirical–empirical perspective of geography, this paper starts from the geographical location factors and socio-economic factors that affect the formation and development of the multifunction of rural production space: these are the elevation (average elevation of study unit, unit: km), slope (average slope of study unit, unit: %), location condition (straight line distance between each unit and city or central town, unit: km), soil texture (total soil silty sand content, unit: %), average annual precipitation (mm), average annual temperature (°C), water system distribution (water network density, unit: km/km2), traffic trunk road (highway network density, unit: km/km2), government-supported agricultural parks and government-supported industrial parks, and urbanisation rate (urbanisation level, unit: %), which were selected as independent variables [29,41]. Detailed explanations of the seven independent variables are given in the Table 2 below.
Table 2.
Illustrative table of independent variables for regression models.
The regression model formula is:
Equation (4) is the form of regression equation method transformed from the Cobb–Douglas function. The Cobb–Douglas production function, also known as the C–D production function, was first used to reveal the complex relationship between production, output, and inputs in regional industrial systems, and was later widely used in econometrics, spatial econometrics, and other fields, and is also generally applicable in agricultural technical and economic research. This paper adopts the logarithmic form of the Cobb–Douglas production function to carry out multiple linear regression analysis on the influencing factors of rural multifunctionality, because the logarithmic form of the C–D production function is easier to linearise and has the essential characteristics of a linear function, so that it can clearly reveal the linear or causal relationship between the variables, and the calculation of the regression coefficients can quantitatively detect the precise degree of influence and form of the effect between the variables, where functioni is the value of the ith function, β0i is the constant term estimator. β1i − β11i is the estimate of the regression coefficient of influencing factors, and is the random error term. The regression results of the multifunction and each influencing factor are shown in Table 2. The significance of each variable in the process of regression analysis in this paper has passed the model. In this paper, the significance of each variable in the regression analysis process has passed the test of the model, and there is no interference of factor covariance, and the research data meet the necessary prerequisites and conditions of the regression analysis. The results of the regression analysis in this paper are in line with the common sense and general laws of the social and natural sciences, and the results of the data analysis are scientifically reliable.
3.5. Fuzzy C-Means Clustering Algorithm Model
Clustering algorithms are unsupervised learning algorithms that classify data samples automatically, where the fuzzy clustering method introduces the concept of “maximum membership degree” for clustering iterations, overcoming the problem of rigidly dividing sample points to a certain initial cluster in general clustering methods. The algorithm introduces a membership matrix when calculating the distance from a sample point to multiple cluster centres, and calculates the corresponding membership degree to identify the optimal cluster and cluster centre, making the clustering results more accurate and quantitative than other clustering models [47,48]. When calculating the distance from sample points to cluster centres in the clustering process, differences in the degree of influence of multidimensional indicators on the overall data sample can also affect the accuracy of the final clustering results, so the weights of each indicator should be reflected in the clustering process. There have been many studies using clustering methods for classification and partitioning, but fewer studies have considered the effect of multidimensional indicator weights in the clustering process. Therefore, this study uses a fuzzy C-means clustering algorithm based on weighted Euclidean distance to classify 168 study units in Western Chongqing, dividing units with high similarity into a clustering cluster, and then into different types of functional areas, to support the completion of the third research objective, i.e., the optimal functional zoning of Western Chongqing, identifying the optimal number of classifications, and determining the classification scheme. The ordinary Euclidean distance does not reflect the difference in the degree of influence of each indicator in the clustering process, but treats the distribution characteristics of each indicator as the same. However, in practice, the degrees of influence of each indicator on the overall data, i.e., the weights, are not the same. This study, therefore, introduces the weights of multidimensional indicators when calculating the Euclidean distance between the sample points and the clustering centre:
where xik is the value of the kth feature of the ith sample point, qk is the weight of the kth feature, cj is the jth cluster centre, and dij is the weighted Euclidean distance from the sample point xi to the cluster centre cj. The fuzzy C-means clustering method starts by setting m initial clustering centres, where m is the number of classification categories. The method calculates the weighted Euclidean distance and corresponding membership degree of each sample point to each cluster centre, and constructs the membership matrix. μj(xi) is the affiliation function of sample point xi corresponding to class j. The objective function of fuzzy C-means clustering, therefore, contains two variables, the distance from the sample point to the cluster centre and the membership degree. The optimal clustering result is obtained through continuous iteration and optimisation. Fuzzy clustering model implemented to run in Python 3.10 software.The objective function is:
The derivative functions of the clustering centre and the membership degree are:
The sum of the membership matrix is 1, and b is the fuzzy index, usually taking a value of 2. By differentiating the parameters μj(xi) and cj we obtain the condition that minimises the objective function. The solution is solved iteratively until convergence is achieved and the optimal solution of the membership degree and clustering centre is obtained.
4. Results and Analysis
4.1. Analysis on the Characteristics and Influencing Factors of Regional Differentiation of Multifunctional Rural Production Space
4.1.1. Agricultural Production Function
The average agricultural production function index is 0.037. The Global Moran’s I is 0.391, with significant clustering characteristics of high and low values. As shown in Table 3, the absolute value of the regression coefficient of elevation is the largest among the factors affecting the agricultural production function, which is the most important reason for the high and low clustering of agricultural function, and the rest are, in order, the construction of a modern agricultural park, slope, location, urbanisation rate, soil texture, and water network density. As shown in Figure 3a, the high values are concentrated in the plain basin and river valley flat dam areas in the north and south of the zone. High-value areas have superior agricultural production background conditions, mostly located in the characteristic agricultural industrial zone, dense water network, abundant water resources, open and flat terrain, small slope, large-scale centralised and continuous distribution of agricultural land, easy to develop and utilise, with soil that is mostly silt and clay silt, with high fertility, and strong agricultural suitability. Flat and continuous land conditions are suitable for large-scale mechanised production and operation mode, a high degree of agricultural modernisation and industrialisation, and high agricultural output. The large-scale modern agricultural parks supported by national policies are also an important factor in determining the scale and efficiency of agricultural production. The rural territories in the high-value area have formed a modernised operation and management mode under the model of agricultural parks supported by the state, which has brought about high agricultural economic benefits. The low values are mainly located in the central and southernmost parts of the zone and in the near-urban zones of the districts and counties. Low-value areas of mountainous hills terrain is dominated by higher terrain, and steeper slopes; hilly mountainous arable land that easily experiences erosion; a serious erosion phenomenon; the soil texture of sandy coarse grains; lower fertility; and arable land by the hills and mountains cut in a more dispersed manner, presenting fragmentation, with the result that the use of the difficulty of the overall suitability for agricultural production is poor. In the production mode of the traditional scattered production and management, there is a lack of large-scale mechanised production of natural conditions and policy support, agricultural output efficiency, and lower returns for farmers. Location and urbanisation are also important factors affecting the function of agriculture. The closer to urban areas and central towns, the higher the urbanisation and the more serious the loss of rural population. The expansion of urban construction land and industrial and trade land squeezes and occupies agricultural space, and, along with the transfer of rural population and agricultural population to towns and industries, the agricultural labour force is constantly lost, and the agricultural production function is gradually weakened. The low density of the water network and the scarcity of water resources make it difficult to meet the needs of large-scale agricultural production in the region, and the lack of stable and convenient irrigation water sources is not conducive to the stable and highly productive development of agriculture.
Table 3.
The regression analysis results of factors influencing rural production space multifunctions.
Figure 3.
The characteristic of regional distributions of rural production space multifunctions.
4.1.2. Industrial and Trade Development Function
The average industrial and trade development function index is 0.045 and the Global Moran’s I is 0.294. As shown in Figure 3b, the industrial and trade development function is generally characterised by a ring of high values around the urban areas and low values at the edges of the districts and counties.As shown in Table 3, among the factors affecting the industrial and trade economic function, government policy support and location conditions are the most significant, followed by urbanisation rate and traffic arteries. The high values of industrial and trade development functions are distributed in a ring-shaped belt around the central city of each district and county. Most of the high-value areas belong to the industrial clusters and economic development zones planned by the districts and counties, which are closer to the urban areas. The transfer of industries from the urban areas, the radiation drive of large industrial parks supported by the government, and convenient transportation conditions have led to the rapid development of rural industries and productive services such as logistics, transportation, and maintenance in these areas, and the rural industrial and trade economic functions have been greatly enhanced. The lower values are concentrated in the fringe areas of the districts and counties. These areas are far from urban areas and industrial agglomerations, have a low urbanisation rate, and lag behind other townships in terms of funding policies and location and transportation, so the development of rural industry is severely restricted and accounts for a very low proportion of the rural economy.
4.1.3. Leisure and Tourism Function
The average leisure and tourism function index is 0.059, and the Global Moran’s I is 0.231. As shown in Figure 3c, the leisure and tourism function is generally characterised by a pattern with high values at the edges of the districts and counties, and low values dispersed around the periphery of the urban area. As shown in Table 3, the most significant factors affecting leisure and tourism function are urbanisation rate and location conditions, followed by elevation and water system distribution. The overall distribution leisure tourism function is roughly opposite to that of industry and trade development function, and the high values are concentrated at the edge of each district and county. Most of the high-value areas are far away from urban areas, with beautiful idyllic landscapes and natural scenery, rich tourism resources, optimal leisure and tourism facilities, and strong tourism appeal, making them the rural tourism destination of choice for most urban tourists. The low values are dispersed around the periphery of the urban area. Low-value areas lack distinctive and high-quality scenic spots, and the recreation resources are not very attractive. Constrained by the tourism resource base and investment efforts, the low-value areas have a lower degree of rural ecological recreation development and fewer visitors. Low-value areas have a high urbanisation rate and have mostly become a source of tourists.
4.1.4. Ecological Stability Maintenance Function
The average ecological stability maintenance function index is 0.082 and the Global Moran’s I is 0.407, with the distribution of high values having similar characteristics to that of the leisure and tourism function. As shown in Figure 3d, the ecological stability maintenance function is characterised by high values concentrated at the edges of the districts and counties, and low values around urban areas. As shown in Table 3, the most significant factors affecting the ecological stability maintenance function are location, policy support, and elevation, followed by urbanisation rate and distribution of water systems. Most of the high-value areas are far away from urban areas, with higher elevations, denser river networks, predominantly mountainous terrain, well-protected woodlands, and wetlands with high forest coverage, less ecological pollution, and encroachment from urbanisation, a good and stable ecological environment, and a high value of ecological services. These areas also pay attention to the protection and restoration of the environment, with a low use of pesticides and chemical fertilisers, low occupation of forest land, and significant afforestation efforts. Among them, Simianshan town has the highest ecological connotation function value of 0.153. The low values are concentrated in a ring-shaped belt around the central city. These areas are close to urban areas, with high urbanisation rates and flat terrain, where high population densities and the excessive concentration of industrial activities put greater pressure on the ecological environment. Among them, the lowest ecological content function is 0.053 in Longshui Town.
4.1.5. Social Security Function
The average social security function index is 0.053 and the Global Moran’s I is 0.256. The social security function is generally characterised by higher values in the east and west and lower values in the centre. As shown in Table 3, among the factors affecting the social security function, the most significant ones are government-supported industrial park and location conditions, followed by the urbanisation rate, government-supported construction of modern agricultural parks, elevation, slope and traffic arteries. As shown in Figure 3e. The overall distribution of social security functions is higher in the east and west, and lower in the centre. The high value areas are close to urban areas, with a generally good rural industrial base and economic level, driven by policy-supported industrial and agricultural parks, rapid growth in financial services, and rural residents’ income, high rural population employment rate, low population outflow (some strong towns are the net inflow type); rural education and culture, health care, and other public services are excellent. The low values are mostly far from urban areas and industrial clusters, and are distributed around the peripheral parts of the districts and counties, similar in form to the distribution of industrial and trade economic functions. Most of the low-value areas are dominated by traditional agriculture, with hilly terrain limiting development, difficult transportation, and weak industries. The income of the inhabitants is low, the employment channels of the rural labour force are relatively limited, educational, cultural, and medical resources are scarce, the population loss in the countryside is more serious, and the social development of the countryside is lagging behind.
4.2. Rural Functional Zoning in Western Chongqing
4.2.1. Fuzzy Clustering Model Classification Results
In the results of the multifunctional evaluation, there are obvious geographical differences in all types of functions of the rural production spatial system in Western Chongqing. On that basis, functional zoning can provide targeted development planning and policy guidance for different types of rural areas in the process of rural revitalisation. Based on the 25 indicators of the multifunctional evaluation framework of the rural production spatial system, this paper uses the weighted fuzzy clustering method to classify the 168 research units in the area and divide different types of functional areas. As the correlation among the 25 indicators will affect the accuracy of clustering, it is necessary to carry out factor dimensionality reduction on the basis of the original indicator data. Next, a smaller number of mutually independent principal components can be obtained, and the corresponding principal component factor weights can be obtained.
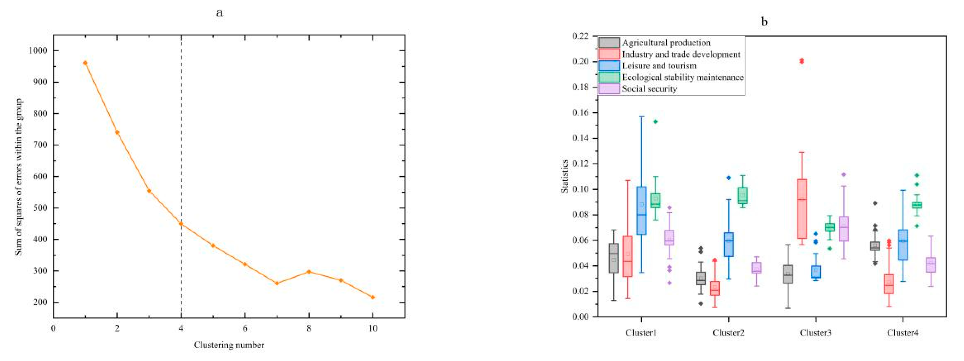
Six principal components and corresponding weights were obtained after a factor dimension reduction of 24 indices. Based on the six principal components, 168 research units in the area were clustered. The principal component was taken as a new index, and the index weight factor was added to measure the Euclidean distance between sample points, reflecting the different influences of each index in the clustering process. As shown in Figure 4, according to the calculation results of the clustering model, the inflection point effect of the total distortion degree (sum of squared errors within the group) curve is the most obvious when the clustering number is 4. The corresponding scheme is the optimal clustering scheme, and the p value of each research item is less than 0.05, passing the significance test, and indicating a significant clustering effect. Therefore, 168 villages and towns involved in the cluster were divided into four types of cluster, which were then divided into four types of functional areas according to their characteristics: balanced development type, lagging development–ecological recreation type, urban development type, and modern agriculture type. The pattern of geographical distribution of each type of functional area is shown in Figure 5. And we propose differentiated strategies and countermeasures for rural revitalization and transformational development in response to the characteristics and status of different types of functional zones, as shown in Figure 6.
Figure 4.
Clustering results of rural production space multifunctions. Subfigures (a): Plot of variation of distortion coefficient (sum of squares of total errors within groups) under different clustering schemes. Subfigures (b): Boxplot of multifunctional features of each cluster.
Figure 5.
Rural functional zones spatial distribution pattern in Western Chongqing.
Figure 6.
Revitalising suggestions for rural functional zones in Western Chongqing.
4.2.2. Rural Functional Zoning and Revitalisation Strategy
① Balanced development type (Cluster 1): This cluster exceeds the overall average value for all functions, with the leisure and tourism function (0.088) being the highest overall.As shown in Figure 5, including 25 townships. The balanced-development-type functional area has a high degree of industrial integration and co-ordination, with agriculture, rural industry, and leisure tourism all well-developed, ecological conservation in place, and social security well-developed, making it a typical model area for the integrated development of all functions. The differentiated rural revitalisation development strategy for balanced development type functional areas can start from the following aspects: (1) Land resources are abundant, but utilisation efficiency is low, the degree of scale is not high, and the potential for agricultural production is not fully realised, resulting in low agricultural yields. We should further promote the scale of agricultural industrialisation intensive development, local guidance, and inputs to encourage the village collective economic co-operation organisations such as farmers’ co-operatives, village collectives, and agribusiness co-operation organisations, in the form of co-operation to promote the scale of agricultural production, in order to centralise the production management to improve the efficiency of land use, to the scale of professional co-operatives to open up the market, and to promote the transformation of agricultural products to commodities. We should increase the commercialization rate of agricultural products, which in turn will enhance the economic efficiency of agriculture. Promote new sales models, promote local specialty agricultural products and agricultural and sideline processed products to audiences by means of online stores and live broadcasts, and expand sales channels for agricultural products. (2) It should integrate rural industries such as agriculture and agro-processing industries to build industrial clusters. It should further develop the rich tourism resources and regional culture of the countryside and introduce more regional specialties into the creation and service of rural attractions, B&Bs, farmhouses, and food. Guidance should promote the development of the rural cultural tourism industry in groups, group clusters between villages and towns adjacent to key scenic spots, build hotspot clusters of B&Bs and farmhouses such as the Tea Mountain Bamboo Sea and Shuangjiang Ancient Town, focus on improving the tourism infrastructure of the group areas, unify the development of high-standard tourism reception service requirements, and promote the previous rural tourism scattered operation to the whole village and town group development, and enhance the quality and value of tourism products. (3) There is a need to create and publicise key tourism brands, organise training for farmers in tourism services, increase the participation of farmers in tourism, and provide diverse jobs and roles for rural residents.
② Lagging development–ecological recreation type (Cluster 2): As shown in Figure 5, this cluster includes 61 townships. Its ecological content function (0.094) is the highest overall value and is the most significant function of this cluster, while the leisure and tourism function is better (0.062), and the rest of the functions are lower than the overall average. This type of functional area is characterised by lagging industrial and economic development, mainly traditional agriculture, a low degree of agricultural modernisation, the meagre income of rural residents, the lack of public service resources such as employment, medical, and education, and serious population loss. However, against the backdrop of lagging development, the ecological environment of the countryside is well-protected, and as a “water storage station” of ecological value, the ecological resources should be fully utilised to create an ecological recreation brand and expand the income of farming households. (1) Land use and development should be based on the principle of protecting the natural ecology, and agricultural development should be transformed from family-based fragmented production to moderate-scale production, integrating small plots of farmland and improving the quality of farmland to increase the total amount and efficiency of arable land production. (2) Agricultural subsidies and special funds to support agriculture should be increased and rural labour should be actively guided into production. On the premise of safeguarding food production and the nature of permanent basic farmland, we are vigorously developing special forestry and farming, adjusting the structure of agriculture, expanding the scale of cash crop cultivation, fostering a large-scale farming industry, and increasing agricultural production and output. (3) Remote mountainous villages and towns whose geography limits development should be properly relocated and merged into villages in order to facilitate the centralised use of public resources and the expansion of arable land, and to improve the production and living environment, strengthening employment guidance and assistance, actively organising diversified public welfare employment training, and making use of the urban–rural integration demonstration zone’s urban and rural population labour mobility policy to reasonably guide the transfer of employment and the export of labour, so as to easily solve the villagers’ livelihood problems.
③ Urban development type (Cluster 3): As shown in Figure 5, this cluster includes 32 townships, whose industrial and trade development function (0.081) and social security function (0.071) are the highest values overall, while the other three functions are all lower than the overall average value. Urban-development-oriented functional areas are generally the central and key towns of each district and county. As a result of favourable policies and their own industrial conditions, rural economies have become fully diversified. The prosperity of rural industries and services has brought lucrative income and employment opportunities to rural residents, while rural roads, communications, and other infrastructures are gradually modernised, and public services and social security are gradually improved. Development recommendations and strategies for the town’s developed functional areas: (1) The town development functional area can develop small town belts on the basis of industrial concentrations, develop villages and communities with strong industries, well-developed public services, and dense populations into small town clusters, promote the nodal construction of special industrial towns in Western Chongqing, and improve the new small- and medium-sized town system in Western Chongqing. (2) Development can strengthen the radiation function of industries and public services in the development-oriented functional areas of the towns, drive the economic development of the surrounding villages and towns, provide optimal and convenient public services for the surrounding rural residents, and promote the construction of urban–rural integration. There is a need to organise multi-job skill training for farmers, accept more farmers into the industrial chain, and provide employment and income security for urbanisation. (3) For small-town-type functional areas, the high-risk, low-yield model of traditional agriculture is not highly productive for villagers, and, in the context of rapid urbanisation, there should be a move towards distinctive peri-urban agriculture and high-yield urban agriculture, and the development of high-yield agriculture such as flowers, gardens, and distinctive fruit-picking gardens. (4) Rapid economic development has also brought about a series of ecological and environmental problems, and the encroachment and damage to ecological space caused by industrial activities: this should be controlled to protect the safety of ecological space.
④ Modern agricultural type (Cluster 4): As shown in Figure 5, it includes 50 townships, such as Batang Town and Guandu Town. The agricultural production function (0.056) is the highest value overall and is the most significant function of this cluster, the ecological stability maintenance function (0.087) is better, and the rest of the functions are lower than the overall average, classifying this cluster as a modern agricultural type functional area. This type of functional area has good background conditions for agricultural production and a high degree of agricultural mechanisation, and assumes and plays the function of a major grain-producing area. A proposal for a differentiated development model for modern agriculture-dominated functional zones is as follows: (1) A comprehensive agricultural industrial park should be used as a carrier to vigorously develop the special agricultural-product-processing industry and leisure agriculture, so as to boost agricultural gain with the agricultural-processing industry and leisure agriculture. Suggestions include the following: guide villages and towns to establish their own agro-industrial brands, and vigorously promoting the industrialisation of agricultural brands such as Batang cherries and Hechuan peach slices; increase policy support for agriculture; guide and help neighbouring villages and towns to build high-quality agricultural parks together; and boost the listing and financing of large agricultural enterprises. (2) Leading enterprises and large parks will drive villages and households to participate in the construction of “one village, one brand, one village, one theme” of high-quality agriculture. Organise training for farmers in production and management skills, increase the participation of farmers in agricultural industrialisation, and bring into play the economic benefits of the agricultural scale to increase the income of farmers. (3) The construction of a number of key agricultural trade centres in towns and villages, the establishment of agricultural warehousing nodes in villages, the establishment of logistics centres in townships, the promotion of rural transport infrastructure, the formation of an efficient agricultural logistics system, the improved efficiency of rural material circulation, and the overall promotion of the formation of agricultural industrialisation and modernisation.
5. Discussion
This paper studies the structure and role of the rural human–land relationship system from the perspective of the rural production space system, constructs a quantitative and optimal multifunctional evaluation system of rural production space, quantitatively analyses the characteristics and influencing factors of multifunctional geographical differentiation, and carries out functional zoning. It proposes the model trajectory of differentiated rural revitalisation, enriches the content of rural human–land relationship system research, and is a reference guide for urban–rural integration and rural revitalisation. It is highly beneficial for exploring the path of differentiated development. In terms of the selection and construction of the indicator system, this paper further innovates and improves the previous evaluation indicator system on the basis of previous studies, and explores the elements of enhancing multifunctional indicators from the geographical location environment, social characteristics, and other regional characteristics of Western Chongqing, the study also considers relevant local policies, and the evaluation system highlights the geographical uniqueness and locality of the western region. In terms of the depth of exploration of multifunctional regional differentiation, this paper further explores the influencing factors and mechanisms behind multifunctional regional differentiation using stepwise regression models and spatial overlay analysis, based on the analysis of multifunctional differentiation characteristics in previous studies. In terms of geographic partitioning and classification methods, this paper introduces the indicator weight factor of multidimensional data on the basis of traditional clustering models, and the classification results of weighted clustering are better than the traditional clustering models in previous studies, which enriches and optimises the technical methods of classification research within geographic unit feature partitioning. From the perspective of differentiated revitalisation model suggestions, unlike previous studies that discussed the overall policy of rural revitalisation from a macro perspective, this paper delves into the advantages and disadvantages of each functional area and its development characteristics, and proposes targeted and specific guidance. In terms of the use of multi-source data, this paper has a wider range of data types and sources, and tries to mine network spatio-temporal data on the basis of statistical data and open-source data used in previous studies, providing a way to obtain timely data for multi-scale rural social and land research.
From the point of view of the research scale, this paper can further reflect the spatial heterogeneity within the study area by conducting research at the township level as opposed to the previous study of rural human–land systems at the county scale. This is the scale barrier that needs to be broken through in future rural geography research. The factors and mechanisms affecting the spatial structure of rural production and its multifunctional attributes are complex, and the multifunctional changes and divergences driven by various factors within and outside the system are a long-term dynamic process. The multifunctional distribution characteristics also have a temporal trend. Combining local characteristics and multi-source data to introduce more functional elements, improve the innovation evaluation index system, and carry out micro-scale multifunctional differentiation research and time-series evolution is still a direction that needs to be further explored in the future.
6. Conclusions
This paper constructs and innovates an index system and evaluation model for the evaluation of the multifunctional rural production space, reveals the characteristics of the geographical differentiation of the multifunctional rural production space in Western Chongqing, and, on this basis, explores the influencing factors and mechanisms behind the multifunctional differentiation. The types of rural functional areas are identified and classified, and a differentiated development and revitalisation model is proposed. The aim of this paper is to combine the regional development characteristics of Western Chongqing with an accurate understanding of the structure and function of the rural production spatial system, to provide new ideas for the study of rural areas, and to provide targeted strategies for the rural modernisation of the Western Chongqing in the context of rural revitalisation. The main conclusions are as follows:
(1) The functions of the spatial system of rural production in Western Chongqing have different geographical differentiation characteristics and driving mechanisms. ① The agricultural production function is most influenced by elevation, and is mainly governed by natural geographical factors. ② The industry and trade development function is characterised by high values around urban areas and low values clustering at the edges of districts and counties. ③ The spatial differentiation of the leisure and tourism function is the opposite of that of the industrial and trade economy function, with high values concentrated at the edges of the districts and counties and low values dispersed around the periphery of the urban areas. ④ The distribution of ecological stability maintenance functions is similar to that of recreational functions, with high values concentrated on the fringes of the districts and counties. ⑤ The local distribution of the social security function is similar to that of the industry and trade development function, with the overall distribution being higher in the east and west and lower in the centre.
(2) The 168 units in the study area can be classified into a total of four types of rural functional areas, namely, balanced development, lagging development–ecological recreation, town development, and modern agriculture, according to the differences in the characteristics of each function. By analysing the characteristics and problems of each type of functional area, differentiated rural revitalisation strategies are proposed. We summarise the characteristics and development strategies of the four types of functional areas thus:
Balanced development type: 1. Land resources are abundant, but the utilisation efficiency is low and the scale is not high. Promote the scale and efficiency of agricultural production management driven by economic co-operative organisations to improve the commercialisation rate of agricultural products. 2. Agricultural and tourism integration, industrial integration, and group development of rural agricultural and tourism industries. 3. Vocational training for diversified farmers to expand diversified employment channels.
Urban development type: 1. Rational planning and layout of small towns, giving full play to the industrial and public service radiation functions of small towns such as industrial strong towns and characteristic towns, covering the surrounding villages and towns, and encouraging the transfer of farmers into the towns to promote urbanisation. 2. Promoting the transformation of the traditional agricultural production mode to high-efficiency suburban agriculture and urban characteristic agriculture. 3. Unified management of the countryside and village enterprises, and strictly restricting the ecological damage caused by the development of the industry.
Lagging development–ecological recreation type: 1. Promote land remediation work, integrate and concentrate fragmented agricultural land, renovate and improve quality, build high-standard farmland, and promote the transformation of fragmented family-type retail production to centralised and large-scale production and operation. 2. Adjust the structure of the agricultural economy, vigorously develop the characteristic forest and fruit industry and medicinal herbs, oilseeds, and other cash crops in the mountainous areas and hills, and develop characteristic ecological aquaculture, so as to improve agricultural yields and the incomes of farming households. 3. Merge villages and settlements to centralise living and production. Facilitate the sharing of convenient public services. 4. Strengthen employment guidance and assistance, and utilise policy conditions to easily solve the livelihood of villagers
Modern agriculture type: 1. Continue to play the role of the main grain- and oil-producing areas, steadily improve the quality and yield of agricultural products. 2. Use modern agricultural parks as a carrier to develop secondary and tertiary industries based on agriculture. 3. Use the parks and large-scale agribusinesses as a leader to drive farmers to participate in industrialisation and branding, safeguard the rights and interests of farmers, and improve the incomes of farmers.
Author Contributions
Conceptualization, Y.T., C.L. and Y.L.; methodology, Y.T. and C.L.; validation, C.L., Y.T. and Y.L.; formal analysis, Y.T., C.L. and Y.L.; data curation, C.L. and Y.L.; writing—original draft preparation, Y.T., C.L. and Y.L.; writing—review and editing, Y.L., Y.T. and C.L. All authors have read and agreed to the published version of the manuscript.
Funding
This research was funded by the Natural Science Foundation of Chongqing, grant number cstc2019jcyj-msxmX0290, and the Fundamental Research Funds for the Central Universities, grant number SWU021003.
Institutional Review Board Statement
Not applicable.
Data Availability Statement
The data presented in this study are available from the first author upon request.
Acknowledgments
We would like to thank Chongqing Geographic Information and Remote Sensing Application Center for providing land survey data and township socio-economic statistics for this study, which provided scientific and objective references for this study.
Conflicts of Interest
The authors declare no conflict of interest.
References
- Yang, R.; Lin, Y.C. On the digitalisation of the countryside and the transformation of rural space. Acta Geogr. Sin. 2023, 78, 456–473. (In Chinese) [Google Scholar]
- Li, H.B.; Hu, X.L.; Zhang, X. Identifying rural spaces. Prog. Geogr. 2018, 37, 591–600. (In Chinese) [Google Scholar]
- Wu, C.; Yu, Y.F.; Zhang, J.X. A study of the functional structure of the village territory in the Great Site Area from a socio-spatial perspective. Hum. Geogr. 2022, 37, 75–86. (In Chinese) [Google Scholar]
- Jia, K.; Qiao, W.; Chai, Y. Spatial distribution characteristics of rural settlements under diversified rural production functions: A case of Taizhou. China Habitat. Int. 2020, 102, 102201. [Google Scholar] [CrossRef]
- Wang, C.; Ma, X.; Tang, N. The mechanism of operation of rural production space system from the perspective of farmers’ behaviour and the insights of reconstructing it. Prog. Geogr. 2018, 37, 636–646. (In Chinese) [Google Scholar]
- Holmes, J. Impulses towards a multifunctional transition in rural Australia: Gaps in the research agenda. J. Rural. Stud. 2006, 22, 142–160. [Google Scholar] [CrossRef]
- Wang, C.; Reng, M.; Hu, Q. Scientific perception of the resilience of rural production space systems and its research domain. Prog. Geogr. 2021, 40, 85–94. (In Chinese) [Google Scholar] [CrossRef]
- Finke, H.; Bosworth, G. Exploring the character of rural businesses: Performing change and continuity. Local. Econ. 2016, 31, 619–636. [Google Scholar] [CrossRef]
- Zhuo, R.; Yu, B. Evolution of rural regional function and its influencing mechanism in China’s key agricultural areas: A case study of Jianghan Plain. Prog. Geogr. 2021, 41, 232–242. (In Chinese) [Google Scholar]
- Li, P.; Chen, C.; Chen, J. A study on the evolution of the spatial and temporal pattern of multifunctional rural areas and the factors influencing it-Jiangsu Province as an example. Sci. Geogr. Sin. 2015, 35, 845–851. (In Chinese) [Google Scholar]
- Woods, M. Precarious rural cosmopolitanism: Negotiating globalization, migration and diversity in Irish small towns. J. Rural. Stud. 2018, 64, 164–176. [Google Scholar] [CrossRef]
- Liu, Y.; Feng, J. The degree of realization of agricultural territorial functions in urban-rural areas and the trend of change—The case of Beijing. Geogr. Res. 2017, 36, 673–683. [Google Scholar]
- Holmes, J. Divergent Regional Trajectories in Australia’s Tropical Savannas: Indicators of a Multifunctional Rural Transition. Aust. Geogr. Stud. 2010, 48, 342–358. [Google Scholar] [CrossRef]
- Ma, X.; Li, X.; Hu, R. Delineation of “production-living-ecological” space for urban fringe based on rural multifunction evaluation. Prog. Geogr. 2019, 38, 1382–1392. (In Chinese) [Google Scholar] [CrossRef]
- Pugliese, P. Organic farming and sustainable rural development: A multifaceted and promising convergence. Sociol. Rural. 2001, 41, 112–130. [Google Scholar] [CrossRef]
- Potter, C.; Tilzey, M. Agricultural policy discourse in the European post-Fordist transition: Neoliberalism, neomercantilism and multifunctionality. Prog. Hum. Geogr. 2005, 29, 581–600. [Google Scholar] [CrossRef]
- Holmes, J.; Argent, N. Rural transitions in the Nambucca Valley: Socio-demographic change in a disadvantaged rural locale. J. Rural. Stud. 2016, 48, 129–142. [Google Scholar] [CrossRef]
- Wang, C.; Li, H. Conceptual and research frameworks of rural production space system. Prog. Geogr. 2017, 36, 913–923. (In Chinese) [Google Scholar]
- Liu, J.; Liu, Y.; Li, Y. Classification evaluation and spatial-temporal analysis of “production-living-ecological” spaces in China. Acta Geogr. Sin. 2017, 72, 1290–1304. (In Chinese) [Google Scholar]
- Zhu, L.; Wang, T.; Xia, D. The identification of County-Level rural territorial function types and research on rural revitalization path in Sichuan Province. Tropic Geogr. 2021, 41, 870–880. (In Chinese) [Google Scholar]
- Teresa, P.; Bas, B. New roles for farming in a differentiated countryside: The Portuguese example. Reg. Environ. Chang. 2009, 9, 143–152. [Google Scholar]
- Yang, R.; Zhang, J.; Chen, Y. Differentiation and dynamic mechanism of rural development in metropolitan fringe based on the functional perspective in Guangzhou City. Sci. Geogr. Sin. 2021, 41, 232–242. (In Chinese) [Google Scholar]
- Liu, Y.; Liu, Y.; Chen, Y. Territorial multi-functionality evaluation and decision-making mechanism at county scale in China. Acta Geogr. Sin. 2011, 66, 1379–1389. (In Chinese) [Google Scholar]
- Wang, C.; Tang, N. Spatio-temporal characteristics and evolution of rural production-living-ecological space function coupling coordination in Chongqing Municipality. Geogr. Res. 2018, 37, 1100–1114. (In Chinese) [Google Scholar]
- Scherzer, S.; Lujala, P. A community resilience index for Norway: An adaptation of the Baseline Resilience Indicators for Communities (BRIC). Int. J. Disast. Risk. Reduct. 2019, 36, 101–107. [Google Scholar] [CrossRef]
- Bao, X.; Dai, W.; Liu, S. Spatial differentiation and factors influencing the multifunctionality of rural areas in urban-rural integration zone:A case of Fuzhou eastern area. J. Nat. Resour. 2022, 37, 2688–2702. (In Chinese) [Google Scholar]
- Wang, C.; Peng, Q.; Tang, N. Spatio-temporal evolution and the synergy and trade-off relationship of cultivated land multi-function in 2005–2015: A case of Shapingba District, Chongqing City. Sci. Geogr. Sin. 2018, 38, 590–599. (In Chinese) [Google Scholar]
- Wilson, G. The spatiality of multifunctional agriculture: A human geography perspective. Geoforum 2009, 40, 269–280. [Google Scholar] [CrossRef]
- Wang, C.; He, Y. Evaluation and pattern optimization of rural production space system function: A case study of Banan District, Chongqing municipality. Econ. Geogr. 2019, 39, 162–171. (In Chinese) [Google Scholar]
- Tan, X.; Yu, S.; Chen, W. Evaluation of rural function and spatial division in Chang-Zhu-Tan urban agglomerations. Sci. Geogr. Sin. 2017, 37, 1203–1210. (In Chinese) [Google Scholar]
- Yang, R.; Luo, X. Spatial pattern and influencing factors of rural multifunctionality at county level in China. Prog. Geogr. 2019, 38, 1316–1328. (In Chinese) [Google Scholar] [CrossRef]
- Carlos, A.; Correia, P.; Teresa, P. Linking farm management and ecosystem service provision: Challenges and opportunities for soil erosion prevention in Mediterranean silvo-pastoral systems. Land Use Policy 2016, 10, 13–28. [Google Scholar]
- Fan, Y.; Jin, X.; Gan, L. Spatial identification and dynamic analysis of land use functions reveals distinct zones of multiple functions in eastern China. Sci. Total Environ. 2018, 642, 33–44. [Google Scholar] [CrossRef] [PubMed]
- Yao, L.; Liu, Y. Rural development types in peri-urban areas based on cluster analysis: A case study of conghua, Guangzhou. Tropic Geogr. 2015, 35, 427–436. (In Chinese) [Google Scholar]
- Cui, X.; Cai, T.; Deng, W. Indicators for evaluating high-quality agricultural development: Empirical Study from Yangtze River Economic Belt, China. Soc. Indic. Res. 2022, 164, 1101–1127. [Google Scholar] [CrossRef]
- Wei, C.; Lin, Q.; Yu, L. Research on sustainable land use based on production–living–ecological function: A case study of Hubei province. China. Sustainability 2021, 13, 996. [Google Scholar] [CrossRef]
- Wang, W.; Guo, H. The impact of land use change on the temporospatial variations of ecosystemsservices value in China and an optimized land use solution. Environ. Sci. Policy 2014, 44, 62–72. [Google Scholar] [CrossRef]
- Wang, J.; Liu, B.; Zhou, T. The category identification and transformation mechanism of rural regional function based on SOFM model: A case study of Central Plains Urban Agglomeration, China. Ecol. Ind. 2023, 147, 109926. [Google Scholar] [CrossRef]
- Zou, L.; Liu, Y.; Yang, J. Quantitative identification and spatial analysis of land use ecological-production-living functions in rural areas on China’s southeast coast. Habitat. Int. 2020, 100, 102182. [Google Scholar] [CrossRef]
- Clive, P. Agricultural multifunctionality in the WTO—Legitimate non-trade concern or disguised protectionism. J. Rural. Stud. 2002, 18, 35–47. [Google Scholar]
- Ma, X.; Hu, Y.; Huang, B. Spatial-temporal characteristics and influencing factors of rural green development in Jiangsu Province. Econ. Geogr. 2022, 42, 159–167. (In Chinese) [Google Scholar]
- Tan, C.; Tao, J.; Yi, L.; He, J.; Huang, Q. Dynamic Relationship between Agricultural Technology Progress, Agricultural Insurance and Farmers’ Income. Agriculture 2022, 12, 1331. [Google Scholar] [CrossRef]
- Wang, B.; Tian, J.; Wang, S. Process and mechanism of transition in regional land use function guided by policy: A case study from Northeast China. Ecol. Ind. 2022, 144, 109527. [Google Scholar] [CrossRef]
- Li, S.; Shao, Y.; Hong, M. Impact mechanisms of urbanization processes on supply-demand matches of cultivated land multifunction in rapid urbanization areas. Habitat. Int. 2023, 131, 102726. [Google Scholar] [CrossRef]
- Han, W.; Chen, J.; Yuan, Q. Rural revitalization potential and influencing factors in poor mountainous areas of Qinling Mountains from the perspective of resilience. J. Nat. Resour. 2021, 36, 2571–2584. (In Chinese) [Google Scholar] [CrossRef]
- Zhang, S.; Hu, W.; Li, M. Multiscale research on spatial supply-demand mismatches and synergic strategies of multifunctional cultivated land. J. Environ. Manag. 2021, 7, 113605. [Google Scholar] [CrossRef]
- Baumgartner, R.; Ryner, L.; Richter, W. Comparison of two exploratory data analysis methods for fmri: Fuzzy clustering vs. principal component analysis. Magn. Reson. Imaging 2000, 18, 89–94. [Google Scholar] [CrossRef]
- Fadili, M.; Ruan, S.; Bloyet, D. A Multistep Unsupervised Fuzzy Clustering Analysis of MRI Time Series. Hum. Brain. Mapp. 2015, 10, 160–178. [Google Scholar] [CrossRef]
Disclaimer/Publisher’s Note: The statements, opinions and data contained in all publications are solely those of the individual author(s) and contributor(s) and not of MDPI and/or the editor(s). MDPI and/or the editor(s) disclaim responsibility for any injury to people or property resulting from any ideas, methods, instructions or products referred to in the content. |
© 2024 by the authors. Licensee MDPI, Basel, Switzerland. This article is an open access article distributed under the terms and conditions of the Creative Commons Attribution (CC BY) license (https://creativecommons.org/licenses/by/4.0/).





