Influence of Biochar and Modified Polyglutamic Acid Co-Coated Urea on Crop Growth and Nitrogen Budget in Rice Fields
Abstract
1. Introduction
2. Materials and Methods
2.1. Preparation of Coated Urea
2.2. Characterization of Coating Materials
2.3. Description of the Rice-Leaching Column Incubation Experiment
2.4. Treatment Design of Incubation Experiment
2.5. Measurement of Fertilizer Nitrogen Loss
2.6. Determination of Biomass and Plant Nitrogen Uptake
2.7. Analysis of Soil Nitrogen Residues
2.8. Data Analysis
3. Results
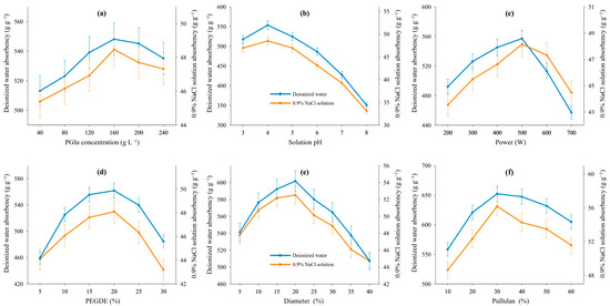
3.1. Effect of Modification on Slow-Release Fertilizer
3.2. Rice Growth and Plant Nitrogen Uptake
3.3. Fertilizer-Derived Nitrogen in Soil
3.4. Fertilizer-Derived Nitrogen Loss
4. Discussion
4.1. Enhancement of PGlu SAP Slow-Release Effect by Diatomite and Pullulan
4.2. Improvement of Crop Growth and Nitrogen Loss by Modified SAPs
5. Conclusions
Author Contributions
Funding
Institutional Review Board Statement
Data Availability Statement
Acknowledgments
Conflicts of Interest
References
- Cai, S.; Zhao, X.; Pittelkow, C.M.; Fan, M.; Zhang, X.; Yan, X. Optimal nitrogen rate strategy for sustainable rice production in China. Nature 2023, 615, 73–79. [Google Scholar] [CrossRef]
- Cui, Z.; Zhang, H.; Chen, X.; Zhang, C.; Ma, W.; Huang, C.; Zhang, W.; Mi, G.; Miao, Y.; Li, X.; et al. Pursuing sustainable productivity with millions of smallholder farmers. Nature 2018, 555, 363–366. [Google Scholar] [CrossRef]
- Yang, X.; Xiong, J.; Du, T.; Ju, X.; Gan, Y.; Li, S.; Xia, L.; Shen, Y.; Pacenka, S.; Steenhuis, T.S.; et al. Diversifying crop rotation increases food production, reduces net greenhouse gas emissions and improves soil health. Nat. Commun. 2024, 15, 198. [Google Scholar] [CrossRef]
- Raza, S.; Miao, N.; Wang, P.; Ju, X.; Chen, Z.; Zhou, J.; Kuzyakov, Y. Dramatic loss of inorganic carbon by nitrogen-induced soil acidification in Chinese croplands. Glob. Chang. Biol. 2020, 26, 3738–3751. [Google Scholar] [CrossRef]
- Xin, Y.; Wenhai, M.; Shaofu, W.; Lianghuan, W.; Jianqiu, C. Rice responses to single application of coated urea on yield, dry matter accumulation, and nitrogen uptake in Southern China. J. Plant Nutr. 2017, 40, 2181–2191. [Google Scholar] [CrossRef]
- Shi, W.; Zhang, Q.; Xie, R.; Sheng, K.; Tan, J.; Wang, Y. Blending loss-control and normal urea maximizes nitrogen utilization of summer maize by mitigating ammonia volatilization and nitrate leaching. Plant Soil. 2023, 490, 125–141. [Google Scholar] [CrossRef]
- Ning, T.Y.; Shao, G.Q.; Li, Z.J.; Han, H.F.; Hu, H.G.; Wang, Y.; Tian, S.Z.; Chi, S.Y. Effects of urea types and irrigation on crop uptake, soil residual, and loss of nitrogen in maize field on the North China Plain. Plant Soil. Environ. 2012, 58, 1–8. [Google Scholar] [CrossRef]
- Hu, H.; Ning, T.; Li, Z.; Han, H.; Zhang, Z.; Qin, S.; Zheng, Y. Coupling effects of urea types and subsoiling on nitrogen–water use and yield of different varieties of maize in northern China. Field Crop. Res. 2013, 142, 85–94. [Google Scholar] [CrossRef]
- Li, P.; Lu, J.; Wang, Y.; Wang, S.; Hussain, S.; Ren, T.; Cong, R.; Li, X. Nitrogen losses, use efficiency, and productivity of early rice under controlled-release urea. Agr. Ecosyst. Environ. 2018, 251, 78–87. [Google Scholar] [CrossRef]
- Han, X.; Chen, S.; Hu, X. Controlled-release fertilizer encapsulated by starch/polyvinyl alcohol coating. Desalination 2009, 240, 21–26. [Google Scholar] [CrossRef]
- Azeem, B.; KuShaari, K.; Man, Z.B.; Basit, A.; Thanh, T.H. Review on materials & methods to produce controlled release coated urea fertilizer. J. Control. Release 2014, 181, 11–21. [Google Scholar] [CrossRef] [PubMed]
- Ma, X.; Chen, J.; Yang, Y.; Su, X.; Zhang, S.; Gao, B.; Li, Y.C. Siloxane and polyether dual modification improves hydrophobicity and interpenetrating polymer network of bio-polymer for coated fertilizers with enhanced slow release characteristics. Chem. Eng. J. 2018, 350, 1125–1134. [Google Scholar] [CrossRef]
- Guo, J.; Shi, W.; Wang, P.; Hao, Q.; Li, J. Performance characterization of γ-poly (glutamic acid) super absorbent polymer and its effect on soil water availability. Arch. Agron. Soil Sci. 2021, 68, 1145–1158. [Google Scholar] [CrossRef]
- An, X.; Wu, Z.; Qin, H.; Liu, X.; He, Y.; Xu, X.; Li, T.; Yu, B. Integrated co-pyrolysis and coating for the synthesis of a new coated biochar-based fertilizer with enhanced slow-release performance. J. Clean. Prod. 2021, 283, 124642. [Google Scholar] [CrossRef]
- Dong, Z.; Qu, N.; Jiang, Q.; Han, Z.; Sun, L.; Zhang, T.; Liang, D.; Shi, Y.; Cheng, Z. Preparation and properties of multifunctional eco-friendly slow-release urea fertilizer encapsulated by diatomite filter aid waste-based superabsorbent. Prog. Org. Coat. 2023, 183, 107747. [Google Scholar] [CrossRef]
- Guo, J.Z.; Zhang, K.P.; Zhang, J.J.; Li, S.; Zhang, Y.K. Effects of Poly-Γ-Glutamic Acid Super Absorbent Polymer on Soil Microenvironment and Growth of Winter Wheat. Appl. Ecol. Environ. Res. 2023, 21, 2457–2475. [Google Scholar] [CrossRef]
- Zohuriaan-Mehr, M.J.; Kabiri, K. Superabsorbent polymer materials a review. Iran. Polym. J. 2008, 17, 451–477. [Google Scholar] [CrossRef]
- Guo, J.; Shi, W.; Wen, L.; Shi, X.; Li, J. Effects of a super-absorbent polymer derived from poly-γ-glutamic acid on water infiltration, field water capacity, soil evaporation, and soil water-stable aggregates. Arch. Agron. Soil Sci. 2019, 66, 1627–1638. [Google Scholar] [CrossRef]
- Guo, J.; Zhang, J.; Zhang, K.; Li, S.; Zhang, Y. Effect of γ-PGA and γ-PGA SAP on soil microenvironment and the yield of winter wheat. PLoS ONE 2023, 18, e0288299. [Google Scholar] [CrossRef] [PubMed]
- Bai, Y.; Chen, S.; Fan, L.; Yang, M.; Zou, H.; Zhang, Y. Preparation and properties of nano-SiO2 –polyvinyl alcohol–γ-polyglutamic acid composite film materials. J. Plant Nutr. Fertil. 2019, 25, 2044–2052. [Google Scholar] [CrossRef]
- Lin, W.C.; Yu, D.G.; Yang, M.C. Blood compatibility of novel poly(gamma-glutamic acid)/polyvinyl alcohol hydrogels. Colloid Surf. B 2006, 47, 43–49. [Google Scholar] [CrossRef] [PubMed]
- Lee, Y.G.; Kang, H.S.; Kim, M.S.; Son, T.I. Thermally crosslinked anionic hydrogels composed of poly(vinyl alcohol) and poly(γ-glutamic acid): Preparation, characterization, and drug permeation behavior. J. Appl. Polym. Sci. 2008, 109, 3768–3775. [Google Scholar] [CrossRef]
- Qiu, K.; Netravali, A.N. Bacterial cellulose-based membrane-like biodegradable composites using cross-linked and noncross-linked polyvinyl alcohol. J. Mater. Sci. 2012, 47, 6066–6075. [Google Scholar] [CrossRef]
- Wu, Y.; Wang, S.; Zhou, D.; Zhang, Y.; Wang, X.; Yang, R. Biodegradable polyvinyl alcohol nanocomposites made from rice straw fibrils: Mechanical and thermal properties. J. Compos. Mater. 2012, 47, 1449–1459. [Google Scholar] [CrossRef]
- Zhang, H.; Xing, L.; Liang, H.; Liu, S.; Ding, W.; Zhang, J.; Xu, C. Preparation and characterization of biochar-based slow-release nitrogen fertilizer and its effect on maize growth. Ind. Crops Prod. 2023, 203, 117227. [Google Scholar] [CrossRef]
- Yang, Y.; Liang, Z.; Zhang, R.; Zhou, S.; Yang, H.; Chen, Y.; Zhang, J.; Yin, H.; Yu, D. Research Advances in Superabsorbent Polymers. Polymers 2024, 16, 501. [Google Scholar] [CrossRef]
- Omidian, H.; Akhzarmehr, A.; Chowdhury, S.D. Advancements in Cellulose-Based Superabsorbent Hydrogels: Sustainable Solutions across Industries. Gels 2024, 10, 174. [Google Scholar] [CrossRef] [PubMed]
- Chen, X.; Chen, S.; Sun, M.; Yu, Z. High yield of poly-gamma-glutamic acid from Bacillus subtilis by solid-state fermentation using swine manure as the basis of a solid substrate. Bioresour. Technol. 2005, 96, 1872–1879. [Google Scholar] [CrossRef]
- Rampichová, M.; Kostáková, E.; Filová, E.; Prosecká, E.; Plencner, M.; Ocheretná, L.; Lytvynets, A.; Lukás, D.; Amler, E. Non-Woven PGA/PVA Fibrous Mesh as an Appropriate Scaffold for Chondrocyte Proliferation. Physiol. Res. 2010, 59, 773–781. [Google Scholar] [CrossRef]
- Souri, M.K.; Hatamian, M. Aminochelates in plant nutrition: A review. J. Plant Nutr. 2018, 42, 67–78. [Google Scholar] [CrossRef]
- Ohtake, N.; Nishiwaki, T.; Mizukoshi, K.; Minagawa, R.; Takahashi, Y.; Chinushi, T.; Ohyama, T. Amino acid composition in xylem sap of soybean related to the evaluation of N2 fixation by the relative ureide method. Soil Sci. Plant Nutr. 1995, 41, 95–102. [Google Scholar] [CrossRef]
- Chen, L.; Fei, L.; Wang, Z.; Salahou, M.K.; Liu, L.; Zhong, Y.; Dai, Z. The effects of ploy (γ-glutamic acid) on spinach productivity and nitrogen use efficiency in North-West China. Plant Soil Environ. 2018, 64, 517–522. [Google Scholar] [CrossRef]
- Xu, Z.; Wan, C.; Xu, X.; Feng, X.; Xu, H. Effect of poly (γ-glutamic acid) on wheat productivity, nitrogen use efficiency and soil microbes. J. Plant Nutr. Soil Sci. 2013, 13, 744–755. [Google Scholar] [CrossRef]
- Kenawy, E.-R.; Azaam, M.M.; El-nshar, E.M. Sodium alginate-g-poly(acrylic acid-co-2-hydroxyethyl methacrylate)/montmorillonite superabsorbent composite: Preparation, swelling investigation and its application as a slow-release fertilizer. Arab. J. Chem. 2019, 12, 847–856. [Google Scholar] [CrossRef]
- Peng, N.; Wang, Y.; Ye, Q.; Liang, L.; An, Y.; Li, Q.; Chang, C. Biocompatible cellulose-based superabsorbent hydrogels with antimicrobial activity. Carbohyd. Polym. 2016, 137, 59–64. [Google Scholar] [CrossRef] [PubMed]
- Dhand, A.P.; Galarraga, J.H.; Burdick, J.A. Enhancing Biopolymer Hydrogel Functionality through Interpenetrating Networks. Trends Biotechnol. 2021, 39, 519–538. [Google Scholar] [CrossRef]
- Dragan, E.S. Design and applications of interpenetrating polymer network hydrogels. A review. Chem. Eng. J. 2014, 243, 572–590. [Google Scholar] [CrossRef]
- Ghazali, S.; Jamar, S.; Noordin, N.; Tan, K.M. Properties of Controlled-Release-Water-Retention Fertilizer Coated with Carbonaceous-g-Poly (acrylic acid-co-acrylamide) Superabsorbent Polymer. Int. J. Chem. Eng. Appl. 2017, 8, 141–147. [Google Scholar] [CrossRef][Green Version]
- Ahmadian, M.; Jaymand, M. Interpenetrating polymer network hydrogels for removal of synthetic dyes: A comprehensive review. Coordin. Chem. Rev. 2023, 486, 215152. [Google Scholar] [CrossRef]
- Dong, D.; Li, J.; Ying, S.; Wu, J.; Han, X.; Teng, Y.; Zhou, M.; Ren, Y.; Jiang, P. Mitigation of methane emission in a rice paddy field amended with biochar-based slow-release fertilizer. Sci. Total Environ. 2021, 792, 148460. [Google Scholar] [CrossRef]
- Wang, C.; Luo, D.; Zhang, X.; Huang, R.; Cao, Y.; Liu, G.; Zhang, Y.; Wang, H. Biochar-based slow-release of fertilizers for sustainable agriculture: A mini review. Environ. Sci. Ecotechnol. 2022, 10, 100167. [Google Scholar] [CrossRef]
- Luo, D.; Wang, L.; Nan, H.; Cao, Y.; Wang, H.; Kumar, T.V.; Wang, C. Phosphorus adsorption by functionalized biochar: A review. Environ. Chem. Lett. 2022, 21, 497–524. [Google Scholar] [CrossRef]
- Ding, Y.; Liu, Y.; Liu, S.; Li, Z.; Tan, X.; Huang, X.; Zeng, G.; Zhou, L.; Zheng, B. Biochar to improve soil fertility. A review. Agron. Sustain. Dev. 2016, 36, 36. [Google Scholar] [CrossRef]
- Cheng, S.; Zeng, W.; Liu, X.; Zhao, J.; Qiu, X.; Lei, Z. Anti-evaporation Performance of Water in Soil of Superabsorbent Resin with Fast Water Absorption Rate. Water Air Soil Pollut. 2020, 231, 1–15. [Google Scholar] [CrossRef]
- Arafa, E.; Sabaa, M.; Mohamed, R.; Elzanaty, A.; Abdel-Gawad, O. Preparation of biodegradable sodium alginate/carboxymethylchitosan hydrogels for the slow-release of urea fertilizer and their antimicrobial activity. React. Funct. Polym. 2022, 174, 105243. [Google Scholar] [CrossRef]
- Jensen, E.S.; Carlsson, G.; Hauggaard-Nielsen, H. Intercropping of grain legumes and cereals improves the use of soil N resources and reduces the requirement for synthetic fertilizer N: A global-scale analysis. Agron. Sustain. Dev. 2020, 40, 5. [Google Scholar] [CrossRef]
- Craine, J.M.; Brookshire, E.N.J.; Cramer, M.D.; Hasselquist, N.J.; Koba, K.; Marin-Spiotta, E.; Wang, L. Ecological interpretations of nitrogen isotope ratios of terrestrial plants and soils. Plant Soil 2015, 396, 1–26. [Google Scholar] [CrossRef]
- Wang, H.; Hu, R.-G.; Lin, S.; Gao, H.-J.; Xu, M.-G.; Zhang, W.-J.; Wu, L. Effects of Long-term Application of Organic and Chemical Fertilizers on N2O Emissions from Black Soils. Environ. Sci. 2024, 46, 202401053. [Google Scholar] [CrossRef]
- Bradford, M.A.; Strickland, M.S.; DeVore, J.L.; Maerz, J.C. Root carbon flow from an invasive plant to belowground foodwebs. Plant Soil 2012, 359, 233–244. [Google Scholar] [CrossRef]
- De Troyer, I.; Amery, F.; Van Moorleghem, C.; Smolders, E.; Merckx, R. Tracing the source and fate of dissolved organic matter in soil after incorporation of a 13C labelled residue: A batch incubation study. Soil Biol. Biochem. 2011, 43, 513–519. [Google Scholar] [CrossRef]
- Kou, X.; Morrien, E.; Tian, Y.; Zhang, X.; Lu, C.; Xie, H.; Liang, W.; Li, Q.; Liang, C. Exogenous carbon turnover within the soil food web strengthens soil carbon sequestration through microbial necromass accumulation. Glob. Chang. Biol. 2023, 29, 4069–4080. [Google Scholar] [CrossRef]
- Blaud, A.; Lerch, T.Z.; Chevallier, T.; Nunan, N.; Chenu, C.; Brauman, A. Dynamics of bacterial communities in relation to soil aggregate formation during the decomposition of 13C-labelled rice straw. Appl. Soil Ecol. 2012, 53, 1–9. [Google Scholar] [CrossRef]
- Denk, T.R.A.; Mohn, J.; Decock, C.; Lewicka-Szczebak, D.; Harris, E.; Butterbach-Bahl, K.; Kiese, R.; Wolf, B. The nitrogen cycle: A review of isotope effects and isotope modeling approaches. Soil Biol. Biochem. 2017, 105, 121–137. [Google Scholar] [CrossRef]
- Cotrufo, M.F.; Ranalli, M.G.; Haddix, M.L.; Six, J.; Lugato, E. Soil carbon storage informed by particulate and mineral-associated organic matter. Nat. Geosci. 2019, 12, 989–994. [Google Scholar] [CrossRef]
- Gurmesa, G.A.; Wang, A.; Li, S.; Peng, S.; de Vries, W.; Gundersen, P.; Ciais, P.; Phillips, O.L.; Hobbie, E.A.; Zhu, W.; et al. Retention of deposited ammonium and nitrate and its impact on the global forest carbon sink. Nat. Commun. 2022, 13, 880. [Google Scholar] [CrossRef]
- Ma, Q.; Wen, Y.; Wang, D.; Sun, X.; Hill, P.W.; Macdonald, A.; Chadwick, D.R.; Wu, L.; Jones, D.L. Farmyard manure applications stimulate soil carbon and nitrogen cycling by boosting microbial biomass rather than changing its community composition. Soil Biol. Biochem. 2020, 144, 107760. [Google Scholar] [CrossRef]
- Tao, J.; Raza, S.; Zhao, M.; Cui, J.; Wang, P.; Sui, Y.; Zamanian, K.; Kuzyakov, Y.; Xu, M.; Chen, Z.; et al. Vulnerability and driving factors of soil inorganic carbon stocks in Chinese croplands. Sci. Total Environ. 2022, 825, 154087. [Google Scholar] [CrossRef] [PubMed]
- Mirbolook, A.; Sadaghiani, M.R.; Keshavarz, P.; Alikhani, M. New Slow-Release Urea Fertilizer Fortified with Zinc for Improving Zinc Availability and Nitrogen Use Efficiency in Maize. ACS Omega 2023, 8, 45715–45728. [Google Scholar] [CrossRef] [PubMed]
- Mukerabigwi, J.F.; Wang, Q.; Ma, X.; Liu, M.; Lei, S.; Wei, H.; Huang, X.; Cao, Y. Urea fertilizer coated with biodegradable polymers and diatomite for slow release and water retention. J. Coat. Technol. Res. 2015, 12, 1085–1094. [Google Scholar] [CrossRef]
- Li, X.; Luo, J.; Li, J.; Gao, Q. Effects of diatomite inorganic fillers on the properties of a melamine–urea–formaldehyde resin. J. Appl. Polym. Sci. 2016, 133, 44095. [Google Scholar] [CrossRef]
- Sun, Y.; Wang, R.; Liu, X.; Dai, E.; Li, B.; Fang, S.; Li, D. Synthesis and Performances of Phase Change Microcapsules with a Polymer/Diatomite Hybrid Shell for Thermal Energy Storage. Polymers 2018, 10, 601. [Google Scholar] [CrossRef] [PubMed]
- Xiu, K.; Wen, J.; Porteous, N.; Sun, Y. Controlling bacterial fouling with polyurethane/N-halamine semi-interpenetrating polymer networks. J. Bioact. Compat. Pol. 2017, 32, 542–554. [Google Scholar] [CrossRef]
- Frounchi, M.; Burford, R.P.; Chaplin, R.P. Interpenetrating polymer networks of poly(diethyleneglycol bis(allylcarbonate)) and poly(urethane acrylates). Polymer 1994, 35, 5073–5078. [Google Scholar] [CrossRef]
- Wang, M.; Jiang, J.; Liang, S.; Sui, C.; Wu, S. Functional Semi-Interpenetrating Polymer Networks. Macromol. Rapid Comm. 2024, 30, e2400539. [Google Scholar] [CrossRef] [PubMed]
- Rastogi, A.; Tripathi, D.K.; Yadav, S.; Chauhan, D.K.; Zivcak, M.; Ghorbanpour, M.; El-Sheery, N.I.; Brestic, M. Application of silicon nanoparticles in agriculture. 3 Biotech 2019, 9, 90. [Google Scholar] [CrossRef]
- Haynes, R.J. A contemporary overview of silicon availability in agricultural soils. J. Plant Nutr. Soil Sci. 2014, 177, 831–844. [Google Scholar] [CrossRef]
- Mir, R.A.; Bhat, B.A.; Yousuf, H.; Islam, S.T.; Raza, A.; Rizvi, M.A.; Charagh, S.; Albaqami, M.; Sofi, P.A.; Zargar, S.M. Multidimensional Role of Silicon to Activate Resilient Plant Growth and to Mitigate Abiotic Stress. Front. Plant Sci. 2022, 13, 819658. [Google Scholar] [CrossRef]
- Coskun, D.; Britto, D.T.; Huynh, W.Q.; Kronzucker, H.J. The Role of Silicon in Higher Plants under Salinity and Drought Stress. Front. Plant Sci. 2016, 7, 1072. [Google Scholar] [CrossRef]
- Paleckiene, R.; Sviklas, A.; Šlinkšiene, R. Physicochemical properties of a microelement fertilizer with amino acids. Russ. J. Appl. Chem. 2007, 80, 352–357. [Google Scholar] [CrossRef]
- Liu, Y.; Kong, S.; Li, Y.; Zeng, H. Novel technology for sewage sludge utilization: Preparation of amino acids chelated trace elements (AACTE) fertilizer. J. Hazard. Mater. 2009, 171, 1159–1167. [Google Scholar] [CrossRef]
- Zou, J.; Huang, Y.; Qin, Y.; Liu, S.; Shen, Q.; Pan, G.; Lu, Y.; Liu, Q. Changes in fertilizer-induced direct N2O emissions from paddy fields during. Glob. Chang. Biol. 2009, 15, 229–242. [Google Scholar] [CrossRef]
- Inamura, T.; Mukai, Y.; Maruyama, A.; Ikenaga, S.; Li, G.U.; Bu, X.; Xiang, Y.; Qin, D.; Amano, T. Effects of nitrogen mineralization on paddy rice yield under low nitrogen input conditions in irrigated rice-based multiple cropping with intensive cropping of vegetables in southwest China. Plant Soil 2009, 315, 195–209. [Google Scholar] [CrossRef]
- Ma, Y.; Wu, J.; Fan, S.; Yu, S. Towards Less Agricultural Nitrogen Use in China: Perspective from a Multi-Crop and Multi-Region Partial Equilibrium Analysis. Pol. J. Environ. Stud. 2023, 32, 4713–4723. [Google Scholar] [CrossRef]
- Kahrl, F.; Li, Y.; Su, Y.; Tennigkeit, T.; Wilkes, A.; Xu, J. Greenhouse gas emissions from nitrogen fertilizer use in China. Environ. Sci. Policy 2010, 13, 688–694. [Google Scholar] [CrossRef]
- Bai, Z.; Xie, C.; Yu, J.; Bai, W.; Pei, S.; Li, Y.; Li, Z.; Zhang, F.; Fan, J.; Yin, F. Effects of irrigation and nitrogen levels on yield and water-nitrogen-radiation use efficiency of drip-fertigated cotton in south Xinjiang of China. Field Crop. Res. 2024, 308, 109280. [Google Scholar] [CrossRef]
- Zamanian, K.; Zarebanadkouki, M.; Kuzyakov, Y. Nitrogen fertilization raises CO2 efflux from inorganic carbon: A global assessment. Glob. Chang. Biol. 2018, 24, 2810–2817. [Google Scholar] [CrossRef]
- Wu, L.; Chen, X.; Wei, W.; Liu, Y.; Wang, D.; Ni, B.J. A Critical Review on Nitrous Oxide Production by Ammonia-Oxidizing Archaea. Environ. Sci. Technol. 2020, 54, 9175–9190. [Google Scholar] [CrossRef] [PubMed]
- Guo, F.; Wang, Y.; Zhu, H.; Zhang, C.; Sun, H.; Fang, Z.; Yang, J.; Zhang, L.; Mu, Y.; Man, Y.B.; et al. Crop productivity and soil inorganic carbon change mediated by enhanced rock weathering in farmland: A comparative field analysis of multi-agroclimatic regions in central China. Agric. Syst. 2023, 210, 103691. [Google Scholar] [CrossRef]
- Lassaletta, L.; Billen, G.; Grizzetti, B.; Anglade, J.; Garnier, J. 50 year trends in nitrogen use efficiency of world cropping systems: The relationship between yield and nitrogen input to cropland. Environ. Res. Lett. 2014, 9, 105011. [Google Scholar] [CrossRef]
- Guo, Y.; Chen, Y.; Searchinger, T.D.; Zhou, M.; Pan, D.; Yang, J.; Wu, L.; Cui, Z.; Zhang, W.; Zhang, F.; et al. Air quality, nitrogen use efficiency and food security in China are improved by cost-effective agricultural nitrogen management. Nat. Food 2020, 1, 648–658. [Google Scholar] [CrossRef]
- Lu, J.; Hu, T.; Zhang, B.; Wang, L.; Yang, S.; Fan, J.; Yan, S.; Zhang, F. Nitrogen fertilizer management effects on soil nitrate leaching, grain yield and economic benefit of summer maize in Northwest China. Agric. Water Manag. 2021, 247, 106739. [Google Scholar] [CrossRef]









| Full Name | Abbreviation | Source | Description |
|---|---|---|---|
| γ-polyglutamic acid | PGlu | Nanjing Xinkai Biotechnology Co., Ltd. (Nanjing, China) | Molecular weight = 1.1 million Da, analytical purity > 95% |
| Pullulan polysaccharide | Diatomite | Sinopharm Chemical Reagent Co., Ltd. (Shanghai, China) | Median particle size = 22 μm, BET specific surface area = 36.7 m2 g−1, analytical purity > 99% |
| Pullulan | Pullulan | Sinopharm Chemical Reagent Co., Ltd. | Molecular weight = 0.3 million Da, analytical purity > 99% |
| Poly (ethylene glycol) diglycidyl ether | PEGDE | Sinopharm Chemical Reagent Co., Ltd. | Molecular weight = 1000 Da, analytical purity > 99% |
| Biochar | Biochar | Self-made with rice straw | Biochar was prepared using rice straw pyrolyzed for 4 h at a temperature of 550 °C and a heating rate of 4 °C min−1 |
| Urea | Urea | Sinopharm Chemical Reagent Co., Ltd. | Analytical purity > 99.8% (Guaranteed Reagent) |
| 15N-Urea | 15N-Urea | Wuhan Newradar Trade Company Limited (Wuhan, China) | CAS: 2067-80-3, Analytical purity > 99.5% (Analytical Reagent), 15N abundance = 99 atoms % |
| Treatment | Plant FDN Uptake (g m−2) | FDN Soil Residue (g m−2) | FDN Loss (g m−2) | Recovery Ratio (%) | ||
|---|---|---|---|---|---|---|
| Leaching | N2O | NH3 | ||||
| U | 5.46 b ± 0.7 | 9.63 b ± 2.1 | 7.29 a ± 2.2 | 3.12 a ± 0.85 | 2.04 a ± 0.72 | 91.8 a ± 12.3 |
| PU | 5.79 b ± 1.4 | 10.8 ab ± 1.6 | 6.69 a ± 1.7 | 3.27 a ± 0.57 | 1.56 a ± 0.38 | 91.3 a ± 10.7 |
| PDU | 5.88 ab ± 1.3 | 10.38 ab ± 2.0 | 6.51 a ± 1.5 | 3.18 a ± 1.12 | 1.26 ab ± 0.52 | 90.7 a ± 12.8 |
| PDPU | 6.36 ab ± 1.4 | 10.86 a ± 1.5 | 5.43 bc ± 1.8 | 3.36 a ± 0.48 | 1.02 b ± 0.41 | 90.1 a ± 15.0 |
| BPCU | 6.27 ab ± 2.1 | 10.41 ab ± 1.8 | 6.06 ab ± 1.5 | 2.88 a ± 0.57 | 1.06 b ± 0.73 | 88.9 a ± 11.8 |
| BPDCU | 6.48 a ± 1.3 | 10.92 a ± 2.3 | 5.31 bc ± 1.9 | 3.15 a ± 0.90 | 0.99 b ± 0.43 | 89.5 a ± 11.5 |
| BPDPCU | 6.69 a ± 1.5 | 11.28 a ± 2.2 | 4.86 c ± 1.8 | 3.02 a ± 0.69 | 0.79 b ± 0.25 | 88.8 a ± 14.7 |
Disclaimer/Publisher’s Note: The statements, opinions and data contained in all publications are solely those of the individual author(s) and contributor(s) and not of MDPI and/or the editor(s). MDPI and/or the editor(s) disclaim responsibility for any injury to people or property resulting from any ideas, methods, instructions or products referred to in the content. |
© 2024 by the authors. Licensee MDPI, Basel, Switzerland. This article is an open access article distributed under the terms and conditions of the Creative Commons Attribution (CC BY) license (https://creativecommons.org/licenses/by/4.0/).
Share and Cite
Wei, L.; Cheng, L.; Guo, F.; Wu, F.; Wang, Y. Influence of Biochar and Modified Polyglutamic Acid Co-Coated Urea on Crop Growth and Nitrogen Budget in Rice Fields. Agriculture 2024, 14, 2212. https://doi.org/10.3390/agriculture14122212
Wei L, Cheng L, Guo F, Wu F, Wang Y. Influence of Biochar and Modified Polyglutamic Acid Co-Coated Urea on Crop Growth and Nitrogen Budget in Rice Fields. Agriculture. 2024; 14(12):2212. https://doi.org/10.3390/agriculture14122212
Chicago/Turabian StyleWei, Lei, Lin Cheng, Fuxing Guo, Fuyong Wu, and Yanping Wang. 2024. "Influence of Biochar and Modified Polyglutamic Acid Co-Coated Urea on Crop Growth and Nitrogen Budget in Rice Fields" Agriculture 14, no. 12: 2212. https://doi.org/10.3390/agriculture14122212
APA StyleWei, L., Cheng, L., Guo, F., Wu, F., & Wang, Y. (2024). Influence of Biochar and Modified Polyglutamic Acid Co-Coated Urea on Crop Growth and Nitrogen Budget in Rice Fields. Agriculture, 14(12), 2212. https://doi.org/10.3390/agriculture14122212

