Hyperspectral Remote Sensing Combined with Ground Vegetation Surveys for the Study of the Age of Rodent Mounds
Abstract
1. Introduction
2. Research Methodology
2.1. Overview of the Study Area
2.2. Research Methodology Flowchart
2.3. Field Investigation
2.3.1. Sample Plot Selection and Ground Survey
2.3.2. Spectral Data Acquisition
2.4. Data Processing
2.5. Vegetation Index Selection
2.6. Data Analysis
3. Results and Analysis
3.1. Vegetation Characteristics Survey of Rodent Mounds Across Different Successional Stages
3.2. Original Spectra of Rodent Mounds of Different Ages
3.3. Hyperspectral Classification of Rodent Mounds of Different Ages
3.3.1. Relevance Analysis
3.3.2. Hyperspectral Classification Model Comparison
Multiple Stepwise Regression Model
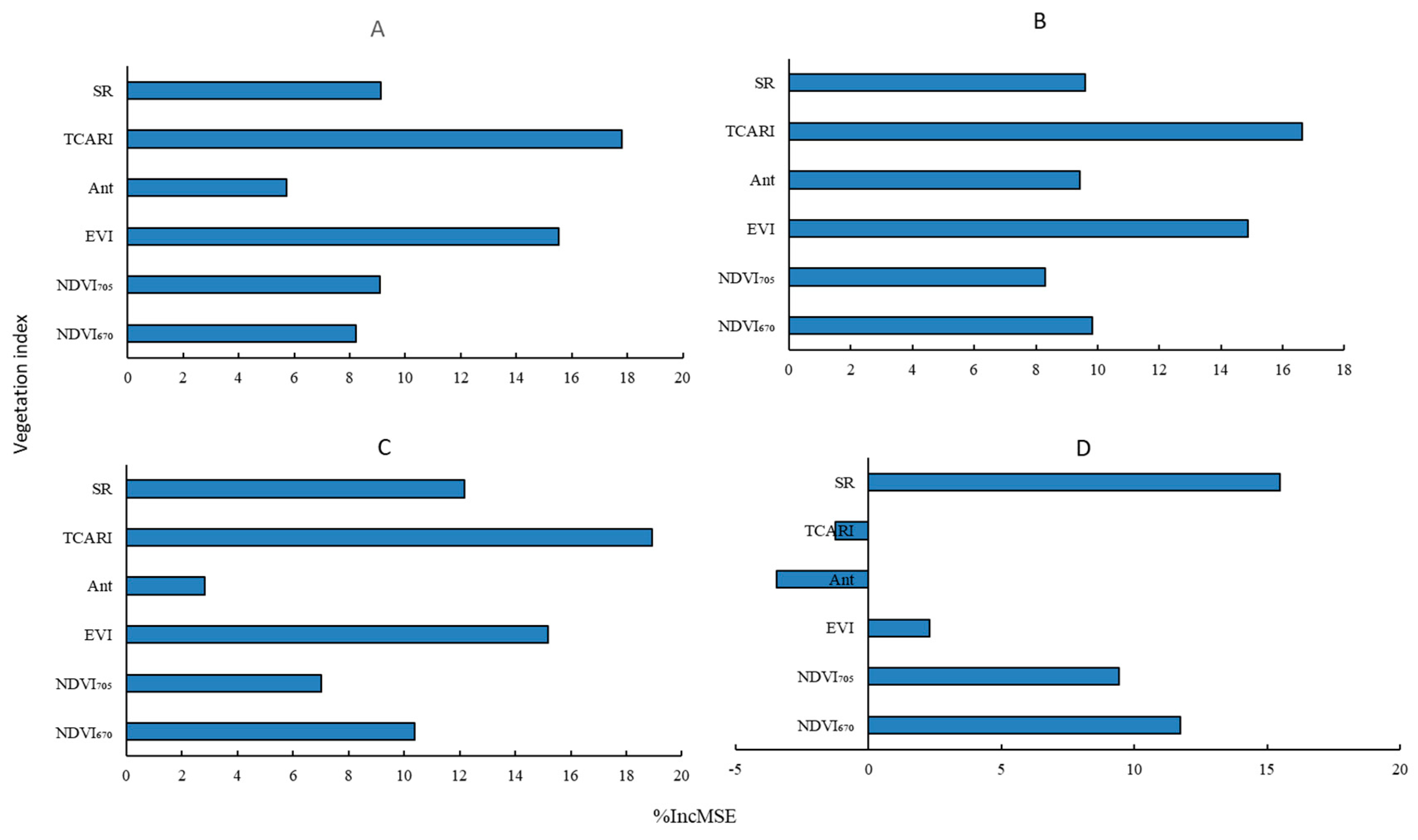
Random Forest Model
3.3.3. Rodent Mound Classification
Classification Based on Vegetation Feature Indicators
Classification Using Vegetation Indices
4. Discussion
4.1. Vegetation Characteristics of Rodent Mounds of Different Ages
4.2. Original Spectral Characteristics of Rodent Mounds of Different Ages
4.3. Hyperspectral Classification of Rodent Mounds of Different Ages
5. Conclusions
- (1)
- The formation and presence of rodent mounds hold significant ecological importance for alpine meadow ecosystems. They not only promote increased plant community diversity and biomass but also contribute to the maintenance and enhancement of ecosystem stability and vitality.
- (2)
- The vegetation indices SR (simple ratio) and TCARI (transformed chlorophyll absorption in reflectance index) were identified as having the most significant impact on the classification of rodent mounds.
- (3)
- By employing vegetation indices in Random Forest modeling to analyze the age of rodent mounds, the precision of remote sensing interpretation of rodent mound ages is enhanced. This improves both the accuracy and stability of classification, facilitating faster analysis for determining the ages of rodent mounds and enabling the formulation of more targeted restoration measures.
Author Contributions
Funding
Institutional Review Board Statement
Data Availability Statement
Acknowledgments
Conflicts of Interest
References
- Dong, G.; Xian, W.; Shao, H.; Shao, Q.; Qi, J. Performance of Multiple Models for Estimating Rodent Activity Intensity in Alpine Grassland Using Remote Sensing. Remote Sens. 2023, 15, 1404. [Google Scholar] [CrossRef]
- Wang, Y.; Yuan, H.; Zhang, X.; Sun, Y.; Chang, S.; Li, G.; Hou, F. Tibetan sheep grazing modifies rodent density and their interactions affect GHG emissions of alpine meadows. Sci. Rep. 2019, 9, 17066. [Google Scholar]
- Zhang, Q.; Lu, Y.; Zhang, C.; Yao, B.; Su, J. Effect of moderate livestock grazing on soil and vegetation characteristics in zokor mounds of different ages. Sci. Rep. 2023, 13, 12459. [Google Scholar] [CrossRef] [PubMed]
- Niu, Y.; Yang, S.; Zhu, H.; Zhou, J.; Chu, B.; Ma, S.; Hua, R.; Hua, L. The cyclic formation of zokor mounds promotes plant diversity and renews plant communities in alpine meadows on the Tibetan Plateau. Plant Soil 2020, 446, 65–79. [Google Scholar] [CrossRef]
- Xiang, Z.; Bhatt, A.; Tang, Z.; Peng, Y.; Wu, W.; Zhang, J.; Wang, J.; Gallacher, D.; Zhou, S. Disturbance of plateau zokor-made mound stimulates plant community regeneration in the Qinghai-Tibetan Plateau, China. J. Arid Land 2021, 13, 1054–1070. [Google Scholar] [CrossRef]
- Wang, Y.; Zhang, X.; Sun, Y.; Chang, S.; Wang, Z.; Li, G.; Hou, F. Pika burrow and zokor mound density and their relationship with grazing management and sheep production in alpine meadow. Ecosphere 2020, 11, e03088. [Google Scholar] [CrossRef]
- Yang, Y.B.; Xin, X.J.; Ai, D.X.C.; Yang, X.; Wang, S.; Chu, C.; Ren, Z.; Wang, G. Changes in species diversity during the vegetation restoration succession of zokor mounds. Acta Prataculturae Sin. 2010, 19, 14–20. [Google Scholar]
- Zhang, Q.; Yang, J.; Yao, B.; Cai, Z.; Sun, X.; Wang, C.; Guo, H.; Tan, Y.; Su, J. Effects of grazing management mode on community succession of zokor mounds in alpine meadows. J. Ecol. 2020, 40, 2802–2811. [Google Scholar]
- Bao, J.; Chi, M.; Benediktsson, J.A. Benediktsson, Spectral Derivative Features for Classification of Hyperspectral Remote Sensing Images: Experimental Evaluation. IEEE J. Sel. Top. Appl. Earth Obs. Remote Sens. 2013, 6, 594–601. [Google Scholar] [CrossRef]
- Eismann, M.T. Hyperspectral Remote Sensing; SPIE Press: Bellingham, WA, USA, 2012; pp. 133–198. [Google Scholar]
- Zhang, T.; Bi, Y.; Hao, F.; Du, J.; Zhu, X.; Gao, X. Transformer attention network and unmanned aerial vehicle hyperspectral remote sensing for grassland rodent pest monitoring research. J. Appl. Remote Sens. 2022, 16, 044525. [Google Scholar] [CrossRef]
- Gao, X.; Bi, Y.; Du, J. Identification of Ratholes in Desert Steppe Based on UAV Hyperspectral Remote Sensing. Appl. Sci. 2023, 13, 7057. [Google Scholar] [CrossRef]
- Yan, D.; Chu, Y.; Li, L.; Liu, D. Hyperspectral remote sensing image classification with information discriminative extreme learning machine. Multimed. Tools Appl. 2018, 77, 5803–5818. [Google Scholar] [CrossRef]
- Laurin, G.V.; Puletti, N.; Hawthorne, W.; Liesenberg, V.; Corona, P.; Papale, D.; Chen, Q.; Valentini, R. Discrimination of tropical forest types, dominant species, and mapping of functional guilds by hyperspectral and simulated multispectral Sentinel-2 data. Remote Sens. Environ. 2016, 176, 163–176. [Google Scholar] [CrossRef]
- Wen, T.; Liu, X.; Ji, T.; Yang, D.; Qiao, H.; Jiang, J.; Pan, D. Research on plant classification and identification method of Sanjiangyuan alpine grassland based on vegetation index. J. Grassl. Sci. 2022, 30, 1811–1818. [Google Scholar]
- Feng, H.; Feng, Z.; Feng, H. A new method for estimating vegetation coverage based on UAV hyperspectral data. Spectrosc. Spectr. Anal. 2017, 37, 3573–3578. [Google Scholar]
- Miao, C.; Fu, S.; Liu, J.; Gao, J.; Gao, H.; Bao, X.; Feng, Q.; Liang, T.; He, J.; Qian, D. Aboveground biomass of alpine meadows based on UAV imaging hyperspectral images—A case study of Haibei experimental area. Grassl. Sci. 2022, 39, 1992–2004. [Google Scholar]
- Zhang, Z.; Shi, L.; Cao, F.; Sun, H.; Wu, Y.; Gao, Q. Reflections on ecological environmental protection and high-quality development of the Yellow River Basin in the Gannan Plateau. Environ. Prot. 2022, 50, 62–65. [Google Scholar]
- Liang, H. Exploration of Gansu’s position and focus in the national strategy of ecological protection and high-quality development of the Yellow River Basin. Soc. Sci. 2021, 36, 69–72. [Google Scholar]
- Mao, A.; Mao, H.; Li, X.; Wu, Q. Research on the construction of water conservation areas in the upper reaches of the Yellow River in Gannan. Resour. Conserv. Environ. Prot. 2021, 4, 37–40. [Google Scholar]
- Andrey, A.; Humbert, J.; Pernollet, C.; Arlettaz, R. Experimental evidence for the immediate impact of fertilization and irrigation upon the plant and invertebrate communities of mountain grasslands. Ecol. Evol. 2014, 4, 2610–2623. [Google Scholar] [CrossRef]
- Bao, Y. Research on the Current Situation of the Occurrence of Major Rodents in Gannan Grassland and Its Prevention and Control Technology; Gansu Agricultural University: Lanzhou, China, 2019. [Google Scholar]
- Zhang, Y. Effects of Years of Zokor Mounds on Plant Functional Characteristics and Productivity in Alpine Meadow; Lanzhou University: Lanzhou, China, 2014. [Google Scholar]
- Ma, K. Biological Community Diversity Measurement Method; China Science and Technology Press: Beijing, China, 1994. [Google Scholar]
- Gregorius, H.-R.; Gillet, E.M. The Concept of Evenness/Unevenness: Less Evenness or More Unevenness. Acta Biotheor. 2020, 70, 3. [Google Scholar] [CrossRef] [PubMed]
- Vos, C.C.; Verboom, J.; Opdam, P.F.; Braak, C.J.T. Toward ecologically scaled landscape indices. Am. Nat. 2001, 157, 24–41. [Google Scholar] [CrossRef] [PubMed]
- Wang, B.; Liu, X.; Wang, H.; Wang, C.; Zhang, D.; Ji, T. Spectral characteristics of six shrub plants in alpine shrubland of Eastern Qilian Mountains. Spectrosc. Spectr. Anal. 2019, 39, 1509–1516. [Google Scholar]
- Ji, T.; Wang, B.; Yang, J.; Li, Q.; Liu, Z.; Guan, W.; He, G.; Pan, D.; Liu, X. Establishment of chlorophyll hyperspectral inversion model for alpine grassland plant communities at the eastern edge of Qilian Mountains. Grassl. Turf 2021, 41, 25–33. [Google Scholar]
- Ji, T.; Wang, B.; Yang, J.; Liu, X.; Wang, H.; Wang, C.; Pan, D.; Xu, J. Simulation and estimation of chlorophyll content of turf grass based on hyperspectral. Spectrosc. Spectr. Anal. 2020, 40, 2571–2577. [Google Scholar]
- Sun, H.; Liu, W.; Wang, Y.; Yuan, S. Evaluation of Typical Spectral Vegetation Indices for Drought Monitoring in the North China Plain. IEEE J. Sel. Top. Appl. Earth Obs. Remote Sens. 2017, 10, 5404–5411. [Google Scholar] [CrossRef]
- Proshkin, Y.A.; Smirnov, A.A.; Semenova, N.A.; Dorokhov, A.S.; Burynin, D.A.; Ivanitskikh, A.S.; Panchenko, V.A. Assessment of Ultraviolet Impact on Main Pigment Content in Purple Basil (Ocimum basilicum L.) by the Spectrometric Method and Hyperspectral Images Analysis. Appl. Sci. 2021, 11, 8804. [Google Scholar] [CrossRef]
- Kahar, Y.; Kasmu, N.; Tashvlati, N.; Zhang, F.; Bu, A.; Shi, Q.; Su, B. Estimation of chlorophyll content of spring wheat canopy in Xinjiang based on an optimized spectral index. J. Wheat Crops 2019, 39, 225–232. [Google Scholar]
- Hu, L.; Zi, H.; Ade, L.; Lerdau, M.; Wang, C. Effects of zokors (Myospalax bailey) on the plant, on abiotic and biotic soil characteristic of an alpine meadow. Ecol. Eng. 2017, 103, 95–105. [Google Scholar] [CrossRef]
- Ye, G.; Chu, B.; Tang, Z.; Zhang, F.Y.; Hua, X.Z.; Zhou, F.F.; Hua, L.M. Disturbance of plateau zokor (Eospalax bailey) mounds increase plant and soil macroinvertebrate richness by offering a diversified microenvironment. Ecol. Eng. 2022, 183, 106754. [Google Scholar] [CrossRef]
- Yang, Y.; Weiner, J.; Wang, G.; Ren, Z. Convergence of community composition during secondary succession on Zokor rodent mounds on the Tibetan Plateau. J. Plant Ecol. 2018, 11, 453–464. [Google Scholar] [CrossRef]
- Xie, T.; Ma, Y.-J. Simulation of Soil Temperature under Plateau Zokor’s (Eospalax baileyi) Disturbance in the Qinghai Lake Watershed, Northeast Qinghai–Tibet Plateau. Animals 2023, 13, 2703. [Google Scholar] [CrossRef] [PubMed]
- Liu, W.; Sun, C.; Zhao, Y.; Xu, F.; Song, Y.; Fan, J.; Zhou, Y.; Xu, X. Monitoring of Wheat Powdery Mildew under Different Nitrogen Input Levels Using Hyperspectral Remote Sensing. Remote Sens. 2021, 13, 3753. [Google Scholar] [CrossRef]
- Havaux, M.; Ksas, B. Imaging of Lipid Peroxidation-Associated Chemiluminescence in Plants: Spectral Features, Regulation and Origin of the Signal in Leaves and Roots. Antioxidants 2022, 11, 1333. [Google Scholar] [CrossRef] [PubMed]
- Liu, Z.; Guan, W.; He, G.; Pu, X.; Ji, T.; Yang, J.; Li, Q.; Liu, X. Spectral characterization and identification of five alpine plants at the source of the Yellow River. Grassl. Turf 2022, 42, 23–30. [Google Scholar]
- Zhang, W.; Luo, G.; Zheng, H.; Wang, H.; Hamdi, R.; He, H.; Cai, P.; Chen, C. Analysis of vegetation index changes and driving forces in the inland arid zone based on the random forest model: A case study of the middle part of the northern slope of the Northern Tien Shan. J. Plant Ecol. 2020, 44, 1113–1126. [Google Scholar] [CrossRef]
- Meng, Q.; Dong, H.; Qin, Q.; Wang, J.; Zhao, J. A vegetation index MTCARI for monitoring vegetation chlorophyll content based on hyperspectral remote sensing. Spectrosc. Spectr. Anal. 2012, 32, 2218–2222. [Google Scholar]
- Wu, H.; Ding, J. Abiotic and Biotic Determinants of Plant Diversity in Aquatic Communities Invaded by Water Hyacinth [Eichhornia crassipes (Mart.) Solms]. Front. Plant Sci. 2020, 11, 1306. [Google Scholar] [CrossRef]
- Guan, C.; Chen, N.; Dong, X.; Wei, X.; Zhao, C. Responses of biological soil crusts to different types of vegetation restoration on the Chinese Loess Plateau: A case study. Restor. Ecol. 2022, 31, e13805. [Google Scholar] [CrossRef]
- Caiwen, D.; Xie, X.; Zhang, J.; Sun, H. A study on the effect of overtopping of plateau sage-grouse mounds on the reconstruction of vegetation on the mounds. J. Grassl. 2019, 27, 1615–1621. [Google Scholar]
- Gu, X.; Zhang, Y.; Sang, H.; Zhai, L.; Li, S. Research on Crop Classification Method based on Sentinel-2 Time Series Combined Vegetation Index. Remote Sens. Technol. Appl. 2020, 35, 702–711. [Google Scholar]










| Type | Age of the Mound | Character of Mound | State of Vegetation |
|---|---|---|---|
| 1 | Mounds through the first winter | Less compaction soil | Total cover is more than 20%, and annual plants account for more than 90% of the total |
| 2 | Mounds through the second winter | More compaction soil | Total cover is more than 60%, and perennial Gramineae plants account for less than 15% of the total |
| 3 | Mounds through the third winter | Compaction soil | Total cover is more than 75%, and annual plants account for less than 10% of the total |
| 4 | Mounds through the fourth winter or more | Compaction soil | The total cover is more than 85% |
| 5 | Natural vegetation | Compaction soil | The total cover is more than 90% |
| Instrument Name | Spectral Band | Test Time | Weather Requirements | Assay Requirements |
|---|---|---|---|---|
| Field Spec® 4 Hi-Res ASD | 300~2500 nm | 10:00~14:00 | Dry, windless, clear and cloudless | Whiteboard correction is carried out in time after measurement |
| Vegetation Indices | Name | Calculation Formula |
|---|---|---|
| GI | Greenness vegetation index | R554/R667 |
| ARVI | Atmospheric impedance vegetation index | (R810 − (2R680 − R480))/(R810 + (2R680 − R480) |
| VARI | Visual barometric impedance index | (R555 − R680)/(R555 + R680 − R480) |
| NDVI705 | Normalized vegetation index 705 | (R750 − R705)/(R750 + R705) |
| MSR705 | Improved red-edge ratio vegetation index | (R705 − R445)/(R705 + R445) |
| NDVI670 | Normalized vegetation index 670 | (R800/R670)/(R800 + R670) |
| CI | Chlorophyll index | (R750/R705) − 1 |
| PSRI | Vegetation attenuation index | (R680 − R500)/R750 |
| RGI | Relative green index | R690/R550 |
| EVI | Enhanced vegetation index | (2.5 × (R782 − R675)/(R782 + 6R675 − 7.5R445 + 1) |
| RVI | Vegetation index | R800/R760 |
| SAVI | Soil-adjusted vegetation index | 1.5 × ((R800 − R760)/(R800 + R760 + 0.5)) |
| MCARI | Chlorophyll absorption correction index | ((R700 − R670) − 0.2 × (R700 − R550)) × (R700/R670) |
| TCARI | Improved chlorophyll absorption vegetation index | 3 × ((R700 − R670) − 0.2 × (R700 − R550)) × (R700/R670) |
| OSAVI | Soil-regulated vegetation index | 1.16 × ((R800 − R670)/(R800 + R670 + 0.16)) |
| CIrededge | Red-edge chlorophyll index | (R700 − R800)/(R690 − R720) − 1 |
| PRI | Photochemical vegetation index | (R570 − R531)/(R570 + R531) |
| CRI | Carotenoid reflex index | (1/R510) − (1/R550) |
| ANT | Anthocyanin reflection index | ((1/R550) − (1/R700)) |
| SR | The NIR/R ratio is called the simple ratio | R900/R680 |
| Vegetation Composition | Plant Statistics | |||
|---|---|---|---|---|
| ZM0 | ZM1 | ZM2 | ZMM | |
| Coverage/% | 21.62 | 60.54 | 72.12 | 88.73 |
| 1, 2-year-old plants | whitefly Lap pula myosotis V. Wolf | Whitefly Lap pula myosotis V. Wolf | Whitefly Lap pula myosotis V. Wolf | Whitefly Lap pula myosotis V. Wolf |
| microporous grass (botany) Microula sikkimensis Hems | microporous grass (botany) Microula sikkimensis Hems | chard (Beta vulgaris), a foliage beet Potentilla chinensis Ser | microporous grass (botany) Microula sikkimensis Hems | |
| chard (Beta vulgaris), a foliage beet Potentilla chinensis Ser | chard (Beta vulgaris), a foliage beet Potentilla chinensis Ser | Rice hip celery Ammi majus L. | chard (Beta vulgaris), a foliage beet Potentilla chinensis Ser | |
| Amaranth Artemisia Portulaca oleracea L. | Amaranth Artemisia Portulaca oleracea L. | |||
| Rice hip celery Ammi majus L. | Rice hip celery Ammi majus L. | |||
| Plantain Plantago asiatica L. | ||||
| Perennial herbaceous plant | Gentian Gentiana scabra Bunge | Gentian Gentiana scabra Bunge | Gentian Gentiana scabra Bunge | Gentian Gentiana scabra Bunge |
| Buttercup Ranunculus japonicus Thunb | Buttercup Ranunculus japonicus Thunb | Buttercup Ranunculus japonicus Thunb | Buttercup Ranunculus japonicus Thunb | |
| Lris Iris tectorum Maxim | Lris Iris tectorum Maxim | Lris Iris tectorum Maxim | Lris Iris tectorum Maxim | |
| Flat beans Melissitus ruthenicus (L.) Peschkoua | Echinococcus beans Oxytropis DC | Echinococcus beans Oxytropis DC | Echinococcus beans Oxytropis DC | |
| Beaded tooth Polygonum viviparum Linn | Flat beans Melissitus ruthenicus Peschkoua | Artemisia cold Artemisia frigida Willd. Sp. Pl | Artemisia cold Artemisia frigida Willd. Sp. Pl. | |
| Gentiana G. macrophylla | Beaded tooth Polygonum viviparum Linn | Flat beans Melissitus ruthenicus Peschkoua | Flat beans Melissitus ruthenicus (L.) Peschkoua | |
| Siberian butterfly Polygonum sibiricum Laxm | Gentiana G. macrophylla | Beaded tooth Polygonum viviparum Linn | Beaded tooth Polygonum viviparum Linn | |
| Siberian butterfly Polygonum sibiricum Laxm | Gentiana G. macrophylla | Gentiana G. macrophylla | ||
| Dandelion Taraxacum mongolicum | Siberian butterfly Polygonum sibiricum Laxm | Dandelion Taraxacum mongolicum | ||
| Dwarf grass Kobresia humilis Sergievskaya | Dwarf grass Kobresia humilis Sergievskaya | Dwarf grass Kobresia humilis Sergievskaya | ||
| Arrowroots Carumcarvi | Arrowroots Carumcarvi | Arrowroots Carumcarvi | ||
| Anemone Anemone catharsis Kitag | Anemone Anemone catharsis Kitag | Anemone Anemone catharsis Kitag | ||
| Oriental strawberry Fragaria orientalis Losinsk | ||||
| Gramineae | Rough shadow grass Cleistogenes squarrosa Keng | Draped grass Elymus dahuricus Turcz | Precocious grass Poa Annual | |
| Precocious grass Poa Annual | ||||
| Perennial weeds | Ask Jing Equisetum arvense L. | Ask Jing Equisetum arvense L. | Ask Jing Equisetum arvense L. | Ask Jing Equisetum arvense L. |
| Vegetation Indicators | Modeling | R2 | RMSE |
|---|---|---|---|
| Patrick | Y = 20.039X(NDVI705) − 18.139X(NDVI670) + 24.190X(TCARI) − 0.187X(SR) + 9.635X(EVI) − 0.976X(Ant) + 5.844 | 0.388 | 1.888 |
| Shannon–Wiener | Y = 12.559X(NDVI705) − 9.603X(NDVI670) + 17.918X(TCARI) − 0.021X(SR) − 1.480X(EVI) + 0.029X(Ant) + 1.967 | 0.482 | 0.284 |
| Pielou | Y = 3.652X(NDVI705) − 2.769X(NDVI670) + 4.790X(TCARI) + 0.001X(SR) − 0.780X(EVI) + 0.048X(Ant) + 1.09 | 0.342 | 0.049 |
| Total coverage | Y = 405.711X(NDVI705) − 319.057X(NDVI670) + 2668.599X(TCARI) + 4.102X(SR) − 424.667X(EVI) − 17.812X(Ant) + 71.715 | 0.704 | 18.663 |
| Biomass | Y = 682.292X(NDVI705) − 518.034X(NDVI670) + 1285.846X(TCARI) + 5.645X(SR) − 314.295X(EVI) − 8.066X(Ant) + 71.183 | 0.477 | 24.151 |
| Vegetation Indicators | The Mean of Squared Residuals | %Var Explained | R2 | RMSE |
|---|---|---|---|---|
| Patrick | 2.9786 | 46.6 | 0.4617 | 1.7258 |
| Shannon–Wiener | 0.0776 | 47.23 | 0.474 | 0.2787 |
| Pielou | 0.0035 | −9.06 | 0.069 | 0.0598 |
| Total coverage | 339.9304 | 64.72 | 0.6485 | 18.4372 |
| Biomass | 475.728 | 51.33 | 0.5192 | 21.8112 |
| ZM0 | ZM1 | ZM2 | ZMM | CK | Error Rate | |
|---|---|---|---|---|---|---|
| ZM0 | 4 | 4 | 0 | 0 | 0 | 0.5 |
| ZM1 | 2 | 13 | 0 | 1 | 0 | 0.1875 |
| ZM2 | 0 | 2 | 0 | 3 | 0 | 1 |
| ZMM | 0 | 1 | 3 | 4 | 0 | 0.5 |
| CK | 0 | 0 | 0 | 1 | 8 | 0.110 |
| ZM0 | ZM1 | ZM2 | ZMM | CK | Error Rate | |
|---|---|---|---|---|---|---|
| ZM0 | 4 | 4 | 0 | 0 | 0 | 0.5 |
| ZM1 | 1 | 14 | 1 | 0 | 0 | 0.125 |
| ZM2 | 0 | 1 | 3 | 1 | 0 | 0.4 |
| ZMM | 0 | 0 | 2 | 5 | 1 | 0.375 |
| CK | 0 | 0 | 0 | 0 | 9 | 0 |
Disclaimer/Publisher’s Note: The statements, opinions and data contained in all publications are solely those of the individual author(s) and contributor(s) and not of MDPI and/or the editor(s). MDPI and/or the editor(s) disclaim responsibility for any injury to people or property resulting from any ideas, methods, instructions or products referred to in the content. |
© 2024 by the authors. Licensee MDPI, Basel, Switzerland. This article is an open access article distributed under the terms and conditions of the Creative Commons Attribution (CC BY) license (https://creativecommons.org/licenses/by/4.0/).
Share and Cite
Qi, H.; Liu, X.; Ji, T.; Ma, C.; Shi, Y.; He, G.; Huang, R.; Wang, Y.; Yang, Z.; Lin, D. Hyperspectral Remote Sensing Combined with Ground Vegetation Surveys for the Study of the Age of Rodent Mounds. Agriculture 2024, 14, 2142. https://doi.org/10.3390/agriculture14122142
Qi H, Liu X, Ji T, Ma C, Shi Y, He G, Huang R, Wang Y, Yang Z, Lin D. Hyperspectral Remote Sensing Combined with Ground Vegetation Surveys for the Study of the Age of Rodent Mounds. Agriculture. 2024; 14(12):2142. https://doi.org/10.3390/agriculture14122142
Chicago/Turabian StyleQi, Hao, Xiaoni Liu, Tong Ji, Chenglong Ma, Yafei Shi, Guoxing He, Rong Huang, Yunjun Wang, Zhuoli Yang, and Dong Lin. 2024. "Hyperspectral Remote Sensing Combined with Ground Vegetation Surveys for the Study of the Age of Rodent Mounds" Agriculture 14, no. 12: 2142. https://doi.org/10.3390/agriculture14122142
APA StyleQi, H., Liu, X., Ji, T., Ma, C., Shi, Y., He, G., Huang, R., Wang, Y., Yang, Z., & Lin, D. (2024). Hyperspectral Remote Sensing Combined with Ground Vegetation Surveys for the Study of the Age of Rodent Mounds. Agriculture, 14(12), 2142. https://doi.org/10.3390/agriculture14122142
