Abstract
Crop diversification is becoming increasingly important for preserving soil and ecosystems’ health and, subsequently, crop productivity and sustainability. Intercropping practices adopted in monocultural woody crops, with herbaceous crops covering the otherwise bare alleyways, foster ecological interactions and can provide both environmental and economic advantages. In this study, intercropping practices were implemented in a traditional mandarin orchard in south-eastern Spain, which was monitored for three years to assess their impact on the environmental footprint and profitability. The footprint was quantified with a cradle-to-gate life cycle assessment (LCA), while the costs and revenues assessment was based on materials, labor, and machinery used in the trial. The calculated LCA indicators evidenced that, although the cultivated surface area increases with the integration of the intercrops (fava bean, purslane, cowpea, and barley/vetch mix), this does not imply any additional detrimental effects (resource depletion, acidification, eutrophication, global warming). The economic analysis showed that while intercrops may involve additional production costs, the correct choice of intercrops, purslane, and fava bean, in this case, can reduce the market risks for farmers. Overall, this study shows that positive environmental and economic impacts are to be expected of co-integrated herbaceous crops within the same field as mandarin trees.
1. Introduction
In recent decades, agricultural practices in Europe have been focused on increasing yield, maximizing human labor efficiency, and reducing costs. Traditional cultivation systems have been displaced by intensive and specialized farming systems, which rely on external sources of agro-chemicals and energy [1]. Intensive monocrop systems have brought many negative impacts such as biodiversity loss, water pollution, high greenhouse-gas (GHG) emissions, soil degradation, and reductions in agroecosystem services [2]. As a consequence, in order to preserve farming sustainability, Europe must address the current environmental challenges, whilst ensuring that enough agricultural products of a good quality at a fair price are produced. In fact, climate change mitigation, the sustainable management of resources, enhancement of ecosystem services, and preservation of habitats and landscapes, along with supporting viable farm income and competitiveness, are key objectives for the upcoming common agricultural policy (CAP) 2023-27, in consonance with the European Green Deal and the Farm to Fork and Biodiversity strategies [3].
Many approaches have been proposed for improving the environmental and economic performance of agricultural systems. These include precision agriculture, organic production, mixed crop-livestock farming, conservation tillage, biological pest control, cultivar selection, and catch and cover crops [4,5,6,7,8]. Another alternative to intensive monoculture is crop diversification, in which different crops are combined in space and/or time, fostering ecological interactions and providing economic advantages [9,10,11,12]. Moreover, diverse agroecosystems have better endurance to the stress caused by extreme weather and pest outbreaks [13,14,15]. There are several crop diversification strategies, such as rotations, intercropping, and agroforestry practices, to improve or at least maintain environmental quality and agroecosystem services [9,16]. Among them, intercropping, which involves at least two different crops being grown at the same time in the same field, has been reported to provide ecological improvements, such as higher biodiversity, pest and weed control, soil conservation, and nutrient optimization. Intercropping also brings economic benefits, including improved profitability with fewer risks and lower agrochemical costs [17,18,19].
Within intercropping practices, agro-silvicultural systems, which combine the production of tree crops with herbaceous crops, have been reported to provide the following benefits: (i) enhancement of the fresh water supply; (ii) favoring the nutrient cycling and soil health; (iii) reduction in pests, weeds, and diseases; (iv) improvement of pollination; (v) reduction in GHG emissions and climate regulation support; (vi) carbon sequestration; (vii) promoting a safe habitat for associated biodiversity, and (viii) fostering recreational, aesthetic, and cultural heritage values [20,21,22,23,24,25,26,27]. However, despite the current land and ecosystem degradation and soil and water depletion and pollution [28,29] caused by intensive monocrops, intercropping practices have been barely adopted in the Mediterranean region. The reason for this is the misconception that intercrops may negatively affect the trees’ production, as herbaceous crops in the alleyways are perceived as no more than competitors for water and nutrients [30,31]. In addition, many of the rewards of intercropping are not exchanged in the market and, hence, farmers may lack financial incentives and therefore opt to neglect voluntary green measures [12,32,33].
Fortunately, such perceptions seem to be changing nowadays, with farmers and society becoming increasingly aware that moving toward more environmentally friendly farming systems is strongly necessary. There is a rising social demand for more sustainable cropping systems in general, and for intercropping practices in particular [34], which is reflected in the high willingness to pay for both agroecological and socio-cultural benefits [12,35]. Moreover, the new design of environmental payments in the CAP 2023-27, based on performance rather than the former compliance-based approach, is expected to be more efficient and better-targeted at achieving the environmental, climate, and ecosystem welfare objectives [3,36].
In this context, the H2020 Diverfarming project is developing and testing different diversified cropping systems in six European pedoclimatic regions, under low-input practices, with the aim of increasing land productivity and crop quality, and reducing machinery, fertilizer, pesticide, energy, and water demands. In particular, intercropping in mandarin orchards has been assessed, given its socio-economic importance in the Mediterranean and the reported potential benefits of intercropping in citrus crops [25,37,38,39]. Mandarin demand is growing in global markets, about 60% in the last ten years, and Spain accounts for over 50% of the world’s exports of fresh mandarins [40].
In acknowledgement of the fact that the adoption of environmentally friendly practices depends on both environmental and socio-economic potential benefits [41], the present study assesses the viability of the different intercropping practices trialed in mandarin orchards in south-eastern Spain from both perspectives, within the framework of Diverfarming. The mandarin orchards with herbaceous intercrops crops have already been reported to improve the annual soil carbon balance in the short-term [25], but potential detrimental environmental impacts have not been previously assessed. Therefore, on the one hand, this study quantifies the environmental footprint of the intercropping systems versus the traditional monocrop by conducting a Life Cycle Assessment (LCA), which is a reference method to quantitatively evaluate the environmental impact of agri-food systems [42]. The novelty of this LCA is the fact that, to the best of our knowledge, although LCA has been used to estimate the footprint of mandarin and herbaceous crops separately, it has not been performed together nor with the same methodology. On the other hand, this study evaluates the potential profitability of intercropping systems, accounts for their sensitivity to the variation in the crop market value and irrigation water price, and assesses how intercropping could influence the market risks for farmers. Our results add weight to the growing body of evidence that the adoption of intercropping practices can potentially bring both environmental and economic benefits.
2. Materials and Methods
2.1. Experimental Farm
The trial was carried out on a commercial citrus farm of 2.3 ha located in the Region of Murcia in south-eastern Spain (37°57′31″ N; 0°56′17″ W, altitude 152 m a.s.l) from 2018 to 2021. The orchard contained 970 mandarin trees (Citrus reticulata Blanco var. Clemenvilla), which were planted in 2000, with a planting pattern of 6 × 4 m (between rows and trees, respectively) and was provided with a drip irrigation system. The farm soil is a Calcaric Regosol with a silt loam texture, bulk density of 1.20 g cm−3, pH of 7.56, total organic carbon of 3.12 g kg−1, total nitrogen of 1.27 g kg−1, phosphorus of 1.49 mg kg−1, and potassium of 0.96 cmol kg−1. The climate in the study area is Mediterranean semiarid with hot and dry summers, mild-temperature winters, an average rainfall of 350 mm/year (with most rainfall concentrated in autumn), and a potential evapotranspiration rate of 1300 mm year−1.
2.2. Intercropping Practices and Irrigation Treatments
Three different cropping systems with specific irrigation treatments were evaluated (Figure 1):
Figure 1.
Schematic representation of the three intercropping practices: Mandarin monoculture (CTL), Diversification 1 (D1), and Diversification 2 (D2).
- -
- Control (CTL). Traditional mandarin monoculture, with bare alleys and irrigated to fully satisfy crop evapotranspiration.
- -
- Diversification 1 (D1). Mandarin with intercrop rotation 1 and regulated deficit irrigation. In the alleyways, fava bean (Vicia faba L.) was grown from September to December–February, and a mix (1:3 ratio) of barley/vetch (Hordeum vulgare L./Vicia sativa L.) from January–February to June each year.
- -
- Diversification 2 (D2). Mandarin with intercrop rotation 2 and regulated deficit irrigation. In the alleyways, fava bean (Vicia faba L.) was grown from September 2018 to January 2019, purslane (Portulaca oleracea) from May to July 2019, and cowpea (Vigna unguiculata) from June to September 2020.
For each intercropping practice, there were three replicates of 12 m × 24 m, which included three rows of six trees. Due to the semiarid conditions of the study area, water is very limited and drip irrigation and regulated deficit irrigation are common and well-known practices [43,44]. The irrigation needs of the CTL were estimated from the calculation of crop evapotranspiration (ETc) according to the FAO methodology [45], with the crop coefficients provided by the Agricultural Information System of Murcia (http://siam.imida.es, accessed on 24 March 2022) for this area, and considering the amounts of daily rainfall recorded in the closest station (MU52, details provided in Table S1). Meteorological data of temperature, relative humidity, radiation, wind, and precipitation were also obtained from the automatic weather station MU52 (Table S1). Mandarin plots under regulated deficit irrigation (D1 and D2) were irrigated as per the CTL, except for the post-harvest period when they were irrigated at 50% CTL, in order to keep the stem water potential above −2 MPa, to preserve water while minimally impacting the production. The water saved was then used to irrigate the alleyways. Tillage up to 30 cm was performed to prepare the soil before manually sowing the intercrops, and after harvest to incorporate the crop residues into the soil. For D1, barley/vetch seeds were sown covering the entire alley surface and fava bean seeds in three rows in each alley with a planting pattern of 1 × 0.4 m. For D2, fava bean seeds were sown as in D1, purslane plants were planted in three rows in each alley with a planting pattern of 1 × 1 m, and cowpea seeds were sown in three rows in each alley with a planting pattern of 1 × 0.2 m. Mandarin, fava bean, purslane, and cowpea were harvested for food, whilst barley/vetch was for feed. Sowing and harvesting dates and the water and fertilizers applied are detailed in Tables S2 and S3 (Supplementary Materials).
2.3. Life Cycle Assessment Methodology
The present LCA follows the guidelines and specific requirements of the International Organization for Standardization 14040/44 standard series (ISO 14040 and ISO 14044 [46,47]).
2.3.1. Goal and Scope Definition of the LCA Study
The aim of this LCA was to evaluate and compare the environmental impacts of the intercropping practices for mandarin and intercrop production. The scope of the LCA study was the ‘cradle-to-gate’ production of mandarin with and without the intercrops. All the input and output flows of materials and energy up to the farm gate were considered. The specific data regarding the three production systems studied (CTL, D1, and D2) are detailed in Tables S3 and S4.
2.3.2. Functional Units
Functional units (FUs) provide the reference to which all data in the system are normalized for the interpretation of the environmental results and the comparison of the performance of the production systems. The following FUs, commonly used for agricultural studies, were selected:
- 1 hectare of cultivated area (1 ha), which enabled the comparison of mandarin monoculture (CTL) and mandarin with intercrops (D1 and D2).
- 1 kg of harvest (mandarin, fava-bean, purslane, cowpea, or barley/vetch), to compare the performance of the same crops in different intercropping strategies.
2.3.3. System Boundaries
All the processes of the production chain of mandarin fruit and intercrops from the extraction of raw materials to the farm gate are within the system boundaries, as shown in Figure 2. The background system comprises the processes that take place before the farm stage whilst all the field operations are included in the foreground system (Table S3).
Figure 2.
System boundaries for ‘cradle-to-gate’ production of mandarin and intercrops.
The agricultural subsystems in the background (1–5) and foreground (6) are the following:
- (1)
- Plantlet production. Farmers in the study area do not graft mandarin trees nor do they produce seeds of the intercrops considered. Therefore, the energy and materials used at the nurseries and for the transport to the fields were accounted for, as in [48,49,50]. In the mandarin nursery, rootstocks and vegetative buds are grown and grafting takes place. For this activity, agricultural machinery, mineral and organic fertilizers, pesticides, and ground cultivation are required. In the case of the purslane plantlets, they are planted manually in seedling growing trays and placed in greenhouses for about 30 days, prior to being moved to the field. In the case of fava-beans, cowpea, and barley/vetch, seeds from local storehouses were used.
- (2)
- Irrigation subsystem. The following components were considered for the mandarin production: (i) the manufacture and transport of the irrigation infrastructure including head, filters, fertilizer tanks, electro-valves, irrigation programmer, PVC, and PE pipes; (ii) the construction of the shelters for the farm machinery and the fertigation head and the on-farm irrigation reservoir; (iii) the water and energy required for irrigation; and (iv) the extraction, production, and transport of electricity. The same components (i–iv) were considered for the intercrops along with the additional PE pipes and electricity required for the irrigation of the alleyways.
- (3)
- Production of machinery. This included the manufacture, transport, maintenance, repair, and waste management of the machinery used for field operations of each crop. All the crops required a tractor, tillage implements, and transport trailers. The mandarin crop additionally required an air-blast sprayer and a boom sprayer for pest control and a chipper for pruning.
- (4)
- Production of pesticides. This included the transport of primary and secondary materials to the production plants, the synthesis of the chemical components, and the waste management and disposal.
- (5)
- Production of synthetic fertilizers. This covered the manufacturing of nitrogen (N), phosphate (P2O5), and potash (K2O), as well as the packaging and transport of materials to the production plants.
- (6)
- Field operations. These included tillage, planting, fertigation, harvesting, and transporting for all crops. For the case of mandarin, pruning and chipping were also accounted for. Pesticides were only applied in fava bean and mandarin.
2.3.4. Life Cycle Impact Assessment (LCIA) Methodology and Types of Impacts
The impact categories assessed were five mid-point impact categories defined according to the CML 2001 (April 2013 version) impact assessment method [51]: abiotic depletion elements (ADe, kg Sb eq); abiotic depletion fossil fuels (ADf, MJ); acidification (AC, kg SO2 eq); eutrophication (EU, kg PO4 eq); and global warming (GW, kg CO2 eq). Additionally, the use of water was evaluated, considering its relevance in the water-stressed study region.
The software used for the LCA was SimaPro version 9.1.0.8 (Pre Sustainability, 2020). The emission factors for the operations were taken from the ecoinvent database (v.3.7.1), except for the on-farm emissions of fertilizers, which were taken from the following models, as they were considered more realistic and representative: (i) N-emissions to air: NH3 emissions = 3% total Napplied [52], N2O emissions = 1.25% total Napplied [52], and NOx emissions = 10% total N2O emissions [53]; and (ii) NO3− emissions to water: 5% total Napplied [54].
2.3.5. Data Quality
The primary data used in this LCA, collected in the experimental plots, were the type and amount of fertilizers, agrochemicals, fuel, electricity, water, irrigation materials, and infrastructure and machinery used for crop production. In addition, secondary data from the ecoinvent database were used to calculate the materials and sources of energy used. The quality of the input data was evaluated following the ILCD requirements [55]. All primary data used for the study were classified as ‘high-quality’ (Table S5) and the secondary data from ecoinvent as ‘basic-quality’ (Table S6).
2.3.6. Assumptions
For the transport of raw materials (pesticides, fertilizers, plantlets, etc.) from the local storehouse to the farm, typical standard cargo transport (EURO 6, ecoinvent database) was assumed to be used. The average transport distances were estimated to be 50 km for the raw materials, as well as for the disposal of waste and the transport of pesticide and herbicide containers to the recycling center.
2.3.7. Life Cycle Inventory Analysis (LCI)
The data collection covered three cultivation seasons between 2018 and 2021. All farming activities concerning the three systems studied (CTL, D1, and D2) were inventoried for each experimental plot in order to build the database. The values used for the LCA from each crop and year are shown in Table S3 and the detailed inventory for the infrastructure can be found in Table S4.
2.3.8. Statistical Analysis
For the comparison of environmental impacts between CTL, D1, and D2, a one-way analysis of variance (ANOVA) was carried out with the statistical package Statgraphics Plus V5.1. The results were used to test the hypothesis of equal means of the environmental impacts for the different systems at a significance level of p < 0.05.
2.3.9. Sensitivity Analysis
A sensitivity analysis was performed to evaluate the variation in the impact indicators with different fertilizer doses in the mandarin crop, which was identified as one of the most influential variables for this system. This is particularly relevant due to the identified tendency toward excessive crop fertilization [56] and as the European Union has set a goal to reduce fertilizer use by 20% and fertilizer diffuse pollution by 50% by 2030 [57]. We considered two different scenarios for this analysis with a 10 and 20% reduction in fertilizer doses.
2.4. Economic Assessment Methodology
2.4.1. Costs and Revenues
Costs and revenues, following the definition established by Fernández et al. [58], were calculated for each system (CTL, D1, and D2) on the basis of raw material, labor, and machinery used during the experimental period.
Revenues were calculated as the market value of the yield, considering the official crop prices published by the Government of the Region of Murcia [59] and the Spanish Ministry of Agriculture, Fisheries and Food [60]. The 10-year average prices for the period 2011–2020, deflated with the national averaged consumer price index, were taken to avoid the effect of price volatility and inflation. The average price for mandarin was EUR 0.33/kg, and for the intercrops, they were EUR 0.13, 1.50, 1.00, and 1.93/kg for vetch/barley, fava bean, purslane, and cowpea, respectively.
The total farming costs included the following costs:
- Fixed costs (FC), invariant with respect to the yield, included yearly costs incurred due to assets depreciation, the start-up costs associated with the initial nonproductive period of the orchard (2 years), and the insurance and taxes paid by the farm. The annual assets depreciation was obtained from the allocation of the initial investment costs over the assets’ lifespan. The investment costs were estimated to be EUR 120,704 for a 10 ha farm with a water reservoir with capacity for 25,000 m3, of which EUR 4185/ha corresponded to soil preparation and plantation and EUR 4290/ha to the drip irrigation system [61]. Extra drip irrigation costs in the case of diversifications D1 and D2 were EUR 63/ha. The lifespan of the orchard was assumed to be 25 years, whilst a specific lifespan was applied to each individual asset.
- Variable costs (VC) were the costs for each growing season, which included fertilizers, water, labor, fuel, and energy, according to the farm operational activities for each system and required inputs (Table S3).
- Opportunity costs (OC) were defined as the foregone benefits due to the implementation of the systems over other feasible economic alternatives. They mainly included renting the land, priced according to the officially published regional data [59], and the interest from the fixed and variable capital, which was assumed to be 3%.
Finally, the profit was calculated per hectare of cultivated area as the difference between revenues and FC, VC, and OC.
2.4.2. Statistical Analysis
As in the case of the LCA, an ANOVA was carried out to check for statistically significant differences in revenues, costs, and profit among the different systems. When significant differences among cropping practices were found, a Tukey’s post hoc test was used to determine which practices were different at a significance level of p < 0.05.
2.4.3. Sensitivity Analysis
In the study area, important fluctuations have been reported in the financial profitability of citrus orchards driven by changes in the market price of the fruit and the price of irrigation water [62,63]. Therefore, a sensitivity analysis was carried out to assess how the variation in the price of mandarin and irrigation water could impact profitability, and whether or not the crop diversifications enabled the market risks for farmers to be reduced. Apart from exploring D1 and D2, an alternative diversification was proposed (Dp) with purslane and fava bean as intercrops, as they were observed to be the most profitable intercrops during the trial.
3. Results
3.1. Environmental Assessment
3.1.1. Impact Indicators
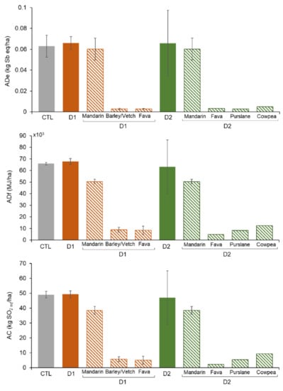
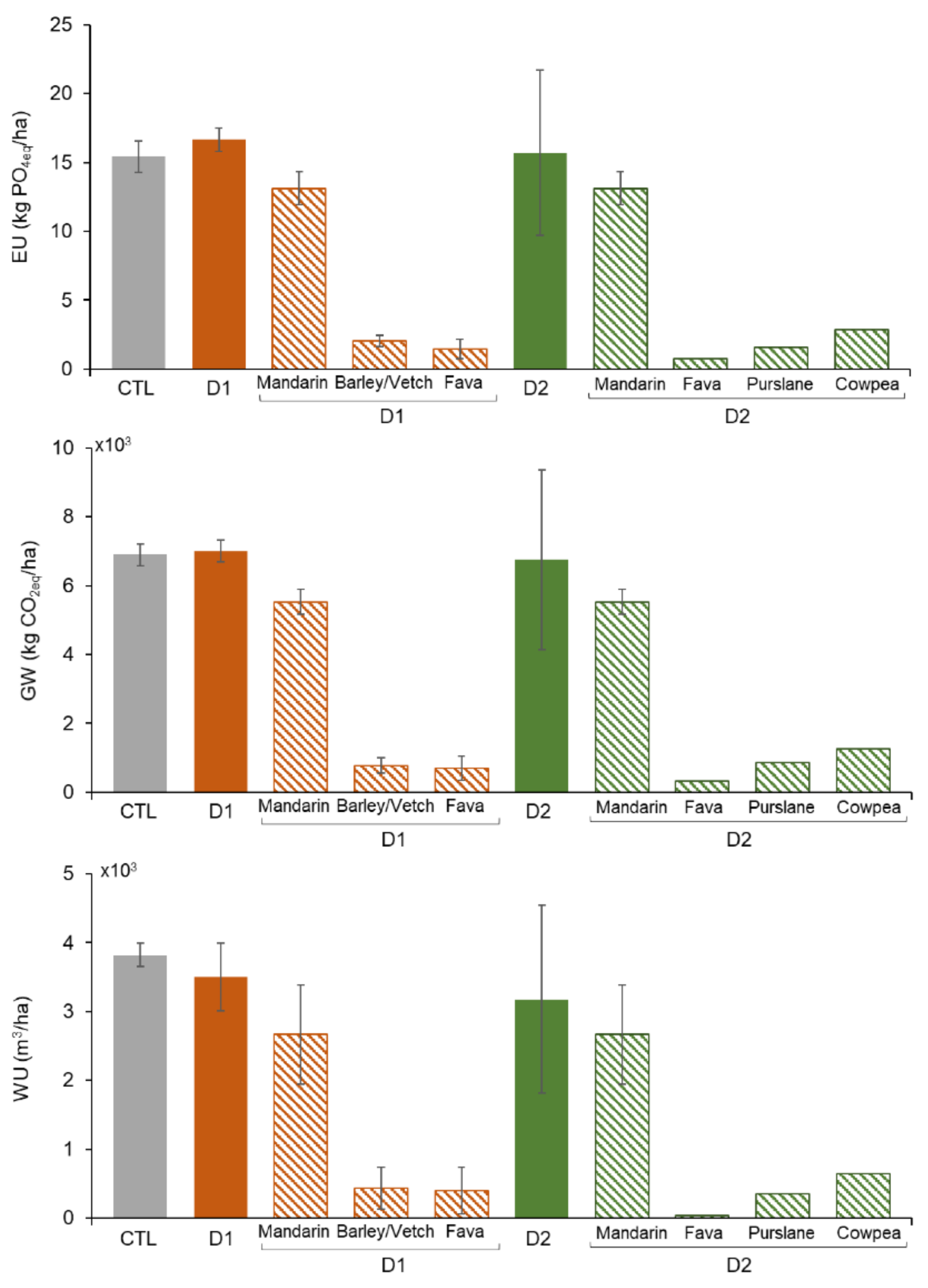
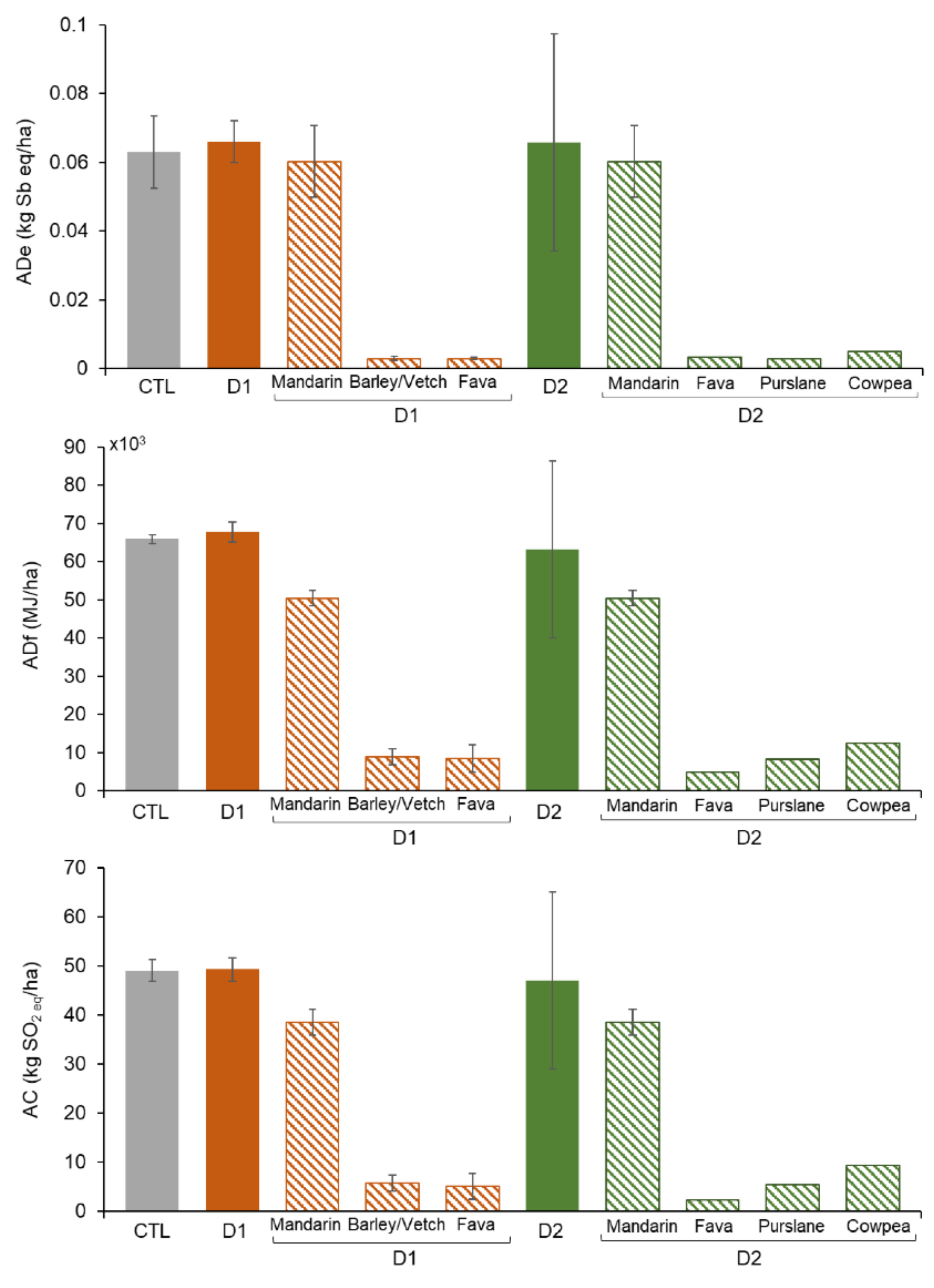
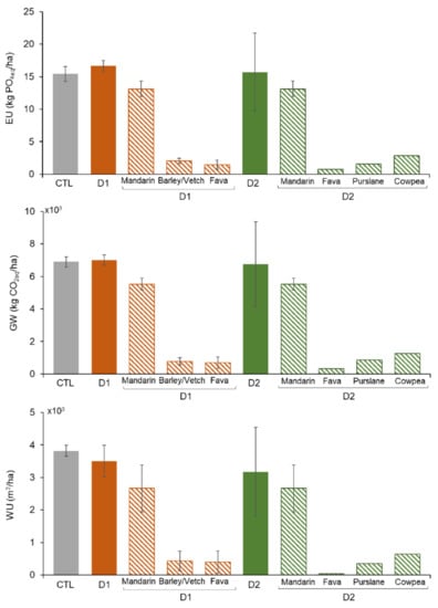
The values of the environmental impact indicators per hectare of cultivated area for the mandarin monocrop CTL, and the diversifications D1 and D2 are shown in Figure 3 (and Table S7). The disaggregated values for each crop in D1 and D2 are also given in Figure 3 (bars with diagonal line pattern). The values of the environmental impact indicators per kg of product harvested are presented in Table S8. The most remarkable findings were:

Figure 3.
Mean value and standard deviation of the environmental impact indicators per unit of area. The bars with solid patterns present the total values per hectare of cultivated area for mandarin monoculture (CTL), diversification 1 (D1), and diversification 2 (D2). The bars with diagonal line patterns correspond to the disaggregated values for each crop in D1 and D2. Impact categories: Abiotic depletion elements (ADe); Abiotic depletion fossil fuels (ADf); Acidification (AC); Eutrophication (EU); Global warming (GW); and Water use (WU).
- No significant differences between the CTL and diversifications D1 and D2 were observed in any of the five mid-point impact categories analyzed (Table S7). Only water use was observed to gradually decrease from the CTL to D1 to D2 (3820, 3351, and 3007 m3/ha, respectively), although the differences were not statistically significant, due to the high variability in the data collected in D2. Note that, in D2, the higher variability is related to fact that there was a different intercrop each year, unlike in the CTL and D1.
- Looking at the environmental footprint of the mandarin crop alone, it may seem from the data per ha shown in Figure 3 that the footprint was higher in the CTL. However, this was just an artifact caused by the fact that the production of mandarin was lower when the intercrops were introduced (Figure S1). In fact, the footprint per kg of harvested fruit in the CTL (GW: 0.35 kg CO2 eq/kg) was very similar to both D1 (GW: 0.38 kg CO2 eq/kg) and D2 (GW: 0.38 kg CO2 eq/kg) (Table S8).
- Barley-vetch and fava bean in D1 showed similar levels of impacts in all categories and a significantly lower impact than the mandarin crop with deficit irrigation.
- In contrast with D1, the environmental impacts of intercrops in D2 showed a progressive increase in environmental impacts in the following order: fava bean, purslane, and cowpea, due to the corresponding higher fertilizer needs.
The values of the environmental impacts separated by subsystems were also analyzed (Figure S2). For all categories and for all systems studied (CTL, D1, D2), the field work, the production of fertilizers, and the irrigation subsystem dominated (more than 80% together) the footprint in the ADf, AC, EU, and GW categories. A higher weight of the irrigation subsystem in ADf, AC, and GW was observed, which was mainly associated with the fact that the electricity mix in Spain still relies largely on the use of fossil fuels. The production of fertilizers was the main contributor (34%) to the EU impact in CTL and D2, while in D1, it was the field work (31%) because of the higher diesel fuel consumption used in tillage practices for the two annual crops (barley-vetch and fava bean).
3.1.2. Sensitivity Analysis
The potential impact of reducing fertilizer doses by 10 and 20% was studied in this analysis. A 10% (20%) reduction in fertilizers decreased the environmental impact of all the studied systems by 2 to 4% (4 to 9%) depending on the impact category (Table S9). Overall, fertilizers contribute to all the impact categories, as they consume resources and emit pollutants to the air, water, and soils during their manufacture, transport, and application.
3.2. Economic Assessment
3.2.1. Costs and Revenues
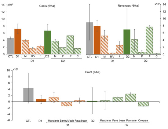
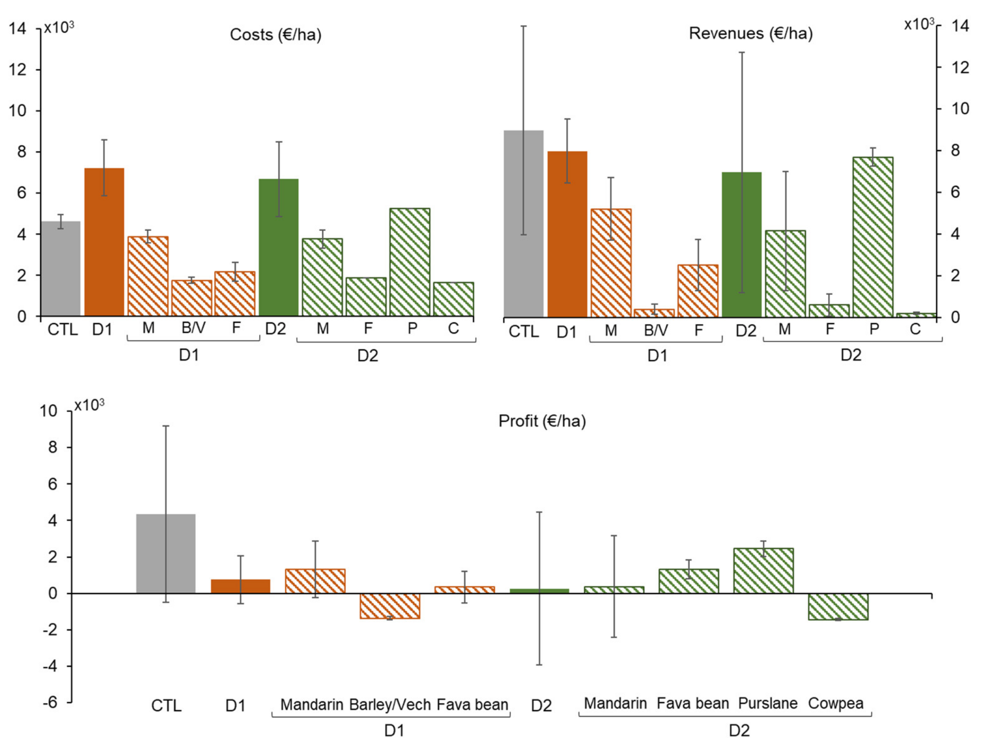
Figure 4 summarizes the costs, revenues, and profit per hectare of cultivated area for CTL, D1, and D2. The values for each of the crops in D1 and D2 are also shown in Figure 4. The disaggregation of fixed, variable, and opportunity costs along with the values of gross and net margins are provided in Table S10. The most relevant facts from the economic assessment were:
Figure 4.
Mean value and standard deviation of the annual costs, revenues, and profit per unit of area. The bars with solid patterns show the total values per hectare of cultivated area for mandarin (CTL), diversification D1 (D1), and diversification D2 (D2). The bars with diagonal line patterns correspond to the disaggregated values for each crop in D1 and D2.
- The total costs of diversifications D1 and D2 were very similar and higher than that of the CTL. This was mainly caused by the higher labor needs for harvesting and planting/sowing of intercrops, which caused a significant increase (four-fold) in labor costs with regard to the monocrop. The rest of the variable costs were similar in all three systems (Table S10). The presence of intercrops barely affected the cost of the use of machinery and raw materials, and the implementation of deficit irrigation in D1 and D2 served to compensate the irrigation over-costs of the intercrops.
- The average revenues of the diversifications were lower than those of the monocrop, but considering the high variability of the harvests in the experimental period, the differences were not statistically significant. It is worth noting that in D2, purslane provided higher revenues than the mandarin itself and had lower variability. Fava bean also provided reasonable revenues and moderate variability in the diversifications. Consequently, these intercrops could partially compensate for the reduction in productivity of the main crop. Furthermore, they may help to reduce revenue variability, thereby reducing the economic risk for farmers.
- Overall, albeit not statistically significant, profits were lower in the studied diversifications D1 and D2 than in the mandarin monocrop. However, some intercrops (purslane and fava bean) were observed to be profitable and presented a potential opportunity to increase revenues and to control the interannual volatility of revenue, as presented in the next section.
3.2.2. Sensitivity Analysis
The existence of different co-integrated crops within the same field reduces the economic dependence on only one crop and may enable the market risk for farmers to be reduced. Figure 5 shows the results of the sensitivity analysis, in which we explored whether the diversifications helped to reduce the market risk when there were fluctuations in the price of the main crop (mandarin) and of irrigation water. As stated in the methods, the proposed diversification Dp, with purslane and fava bean as intercrops, was included in the analysis, given the observed promising profitability of these intercrops.
Figure 5.
Sensitivity analysis of the annual profit (EUR/ha) to the variation in the price of mandarin and irrigation water, in mandarin monoculture (CTL), diversification D1 (D1), diversification D2 (D2), and diversification Dp (purslane and fava bean as intercrops).
The analysis of profit when the market price of mandarin varied from EUR 0 to 1.5/kg (Figure 5) revealed that D1 and D2 were unable to reduce the market risk. Conversely, Dp lowered the risk and outperformed the CTL, reducing the break-even point from EUR 0.17/kg in CTL to EUR 0.06/kg in Dp. However, it is important to note that the CTL remained more profitable for mandarin market values over EUR 0.4/kg.
The results presented in Figure 5 also show that diversifications D1 and D2 were substantially more sensitive to changes in the irrigation water price than the CTL. However, Dp showed a very similar pattern to the CTL and the same break-even point as the CTL at EUR 1.36/m3. Considering that the latter figure is about five times higher than the current water price paid by farmers in the area, Dp can help to tolerate substantial fluctuations in the water price.
4. Discussion
In the present study, we assessed if the studied intercropping practices, which can potentially bring a wide array of benefits to the soils and ecosystems [25,64,65], may also imply detrimental effects on the environment (namely: resource depletion, acidification, eutrophication, global warming). Our results showed that there were no significant differences between the CTL and diversifications D1 and D2 in any environmental impact indicator per land area unit or mass unit. Therefore, the intercropping practices were not found to cause additional pollution or other detrimental effects on the environment. It is important to highlight that the present LCA only looked at indicators of potential harm to the environment. The benefits of intercropping in woody crops with annual crops, such as an increase in soil organic carbon and nitrogen content [18] or reduced soil erosion and runoff [25], were not accounted for in the LCA. Therefore, considering all the reported potential benefits in previous studies, the diversified systems studied here are expected to be more environmentally friendly than traditional orchards.
The environmental impact indicators of mandarin crop and intercrops of this study were compared to previous similar studies. When carrying out comparisons, it is important to bear in mind that many factors affect the LCA results, including, but not limited to, the type and quantities of inputs (water and energy for irrigation, fertilizer doses, or diesel consumption for field operations). In conventional orange production, similar values of GW have been reported by De Luca et al. [66] in Italy and Aguilera et al. [67] in Spain (6800 and 6520 kg CO2 eq/ha, respectively), whilst [68] estimated values 36% higher (9830 kg CO2 eq/ha). The latter could be attributed to their more intensive use of pesticides and manure. It should be noted that, as the trials of this study were conducted within the Diverfarming project, lower-input practices were used, such as deficit irrigation and controlled fertilization. In fact, the results of the present study compared to a previous footprint assessment of citrus in the same area [69] show that a reduction in inputs can effectively lead to a significant decrease not only in GW (4.46 × 10−1 vs. 3.5 × 10−1 kg CO2 eq/kg FU) but in all the impact indicators: ADe (3.39 × 10−6 vs. 3.26 × 10−6 kg Sbeq/kg FU), ADf (5.33 vs. 3.34 MJ/kg FU), AC (2.61 × 10−3 vs. 2.46 × 10−3 kg SO2 eq/kg FU), and EU (1.13 × 10−3 vs. 7.69 × 10−4 kg PO43− eq/kg FU). Lower footprints have also been reported in other studies of orange production, i.e., [70], who estimated AP to be half that of our study, but for very different reasons. These lower values could be explained by the reference period used (50 years) and the fact that both productive and unproductive periods were included. Regarding the footprint of the intercrops, when comparing the environmental impact of legumes (fava bean and cowpea) versus the literature, our GW values were in the range of the green beans category (0.24–1.55 kg CO2 eq/kg FU) of previous comparable studies [71].
In this study, we also proposed to mitigate the environmental footprint by reducing the use of synthetic fertilizers as previously suggested by other studies [23]. Our results are well aligned with prior studies reporting that the use of fertilizers was critical from an environmental perspective, with a reduction of 30% in fertilizers enabling decreases of up to 15% in the EU, 10% in the GW, and 12% in the AC [69,72]. In addition, the replacement of synthetic fertilizers by organic fertilizers in citrus, apart from reducing the footprint, is key to maintaining healthy levels of soil organic carbon [18].
From the economic perspective, the results show that diversifications may imply additional production costs, which, in our case, were mainly related to the higher labor demand, compared with monoculture. The over-cost derived from intercrops may not be recovered by the farmers in the short term, but it is likely to be outbalanced in the long term [19], due to the many unaccounted potential benefits, mainly derived from the expected improvement in the environmental and soil quality conditions [73,74]. In addition, the present study has shown how the correct choice of intercrops (Dp) can reduce the market risk. In this line, Martins et al. [75] determined that the use of cowpea as an alley crop provides a good environmental and economic performance for citrus orchards in Northeastern Brazil. However, their results contrast with ours in terms of the potential economic benefits. This difference may arise from the combination of relatively low farming labor costs together with a greater demand and prices for cowpea in Brazil. In consonance with [75], Yan et al. [76] also showed that the intercropping of ferns and mandarin trees provides positive economic returns compared with a mandarin monocrop in Hunan Province (China). Conversely, Srivastava et al. [77] revealed that only legume-based intercropped mandarin orchards provided greater yields, in comparison with other types of intercropping practices. Therefore, the optimal intercropping practices are to be determined, depending on regional crop market values and conditions.
Crop diversification practices also bring benefits to the society, associated with ecosystem services provided by agroecosystems [27]. Farms with high diversity, apart from providing an opportunity for farmers to diversify their incomes, have an added aesthetic value that can attract tourism to rural areas [78]. There is in fact a reported strong social demand for more sustainable and diverse cropping systems. Alcon et al. [12] and Latvala et al. [35] identified strong preferences for intercropping systems in the Mediterranean region and Finland, respectively. From their surveys, it was clear that consumers are willing to pay for nonmarket values such as biodiversity, conservation of soils and ecosystems, and mitigation of pollution. They estimated the value of the social demand at EUR 900–1400 and 245/ha year, respectively, which, in some cases, can even be comparable to the market value of agricultural production.
5. Concluding Remarks and Future Research Directions
This study compared the environmental footprint and economic performance of traditional Mediterranean mandarin monoculture versus mandarin crop with intercrops in the alleyways and controlled deficit irrigation. The calculated LCA indicators of potential harm to the environment showed that the integration of the intercrops (fava bean, purslane, cowpea, and barley/vetch mix) does not imply any additional pollution compared to the monocrop. The economic assessment evidenced that intercropping may involve additional production costs, mostly related to higher labor demand compared with monoculture. However, the correct choice of intercropping practices can bring economic advantages. In fact, our results showed that mandarin crop with purslane and fava bean as intercrops could be profitable and reduce the farmer’s risk to crop price volatility. Consequently, considering all the potential environmental and economic benefits of the intercropping practices reported in the literature, the studied diversified systems are recommended to move toward more sustainable but still profitable agricultural systems.
Further and longer-term research is still needed to identify the optimal intercropping practices for woody crops, which depend on regional cropping conditions and possibilities, as well as the ever-changing crop markets. On the one hand, future research can help to curb labor costs by adapting farm machinery to the specific intercropping tasks, together with a coordinated design of the alley crop plantations. On the other hand, the adoption of intercropping practices by farmers needs to be encouraged by agricultural stakeholders and alongside the food value chain. The valorization of greener agricultural products by the consumer and the design of new farm business models based on intercropping practices supported by funding schemes (e.g., direct subsidies to farmers who implement intercropping) are key aspects to boost the adoption of these practices.
Supplementary Materials
The following supporting information can be downloaded at: https://www.mdpi.com/article/10.3390/agriculture12050574/s1, Figure S1: Mandarin fruit yield and standard error; Figure S2: Subsystem contributions to selected impact categories for mandarin monoculture (CTL), diversification 1 (D1), and diversification 2 (D2); Table S1: Monthly meteorological data during the study period from MU52 weather station (37°58′39″; 0°59′1″; 125 m a.s.l.) of the Agricultural Information System of Murcia (http://siam.imida.es, accessed on 24 March 2022). Table S2: Sowing and harvesting dates in mandarin monoculture (CTL) and diversification treatments (D1 and D2) during three crop cycles; Table S3: Primary input/output data for mandarin monoculture (CTL) and mandarin with intercrops D1 and D2 during three crop cycles; Table S4: Primary input data used for the irrigation subsystem for mandarin monoculture (CTL) and mandarin with intercrops D1 and D2; Table S5: Quality evaluation of the primary input data. Self-evaluation against the ILCD data quality indicators of EC-JRC; Table S6: Quality evaluation of the input data from ecoinvent database. Self-evaluation against the ILCD data quality indicators of EC-JRC; Table S7: Mean values of impact categories per unit of area (ha) in mandarin monoculture (CTL), diversification 1 (D1), and diversification 2 (D2); Table S8: Mean value and standard deviation for the potential environmental impacts per kg of product harvested in mandarin monoculture (CTL), diversification 1 (D1), and diversification 2 (D2) by crop; Table S9: Contributions to reduction in fertilizer doses versus the reference situation by impact category in mandarin monoculture (CTL), diversification 1 (D1), and diversification 2 (D2); Table S10: Average 2018-20 values for costs, revenues, and gross margins for the mandarin monoculture (CTL), diversification 1 (D1), and diversification 2 (D2).
Author Contributions
Conceptualization, B.M.-G., F.A. and J.F.M.-V.; methodology, B.M.-G., J.A.Z., V.S.-N. and B.G.-E.; formal analysis, B.M.-G., B.G.-E., F.A. and J.F.M.-V.; investigation, all authors; data collection, J.A.Z., V.S.-N. and V.M.-G.; data curation, J.A.Z., V.S.-N. and V.M.-G.; writing—original draft preparation, B.M.-G., J.A.Z., V.S.-N. and B.G.-E.; writing—review and editing, all authors; visualization, J.A.Z., B.G.-E. and V.M.-G.; supervision, F.A. and J.F.M.-V. All authors have read and agreed to the published version of the manuscript.
Funding
This research and the APC were funded by the European Commission, Horizon 2020 Diverfarming project, grant agreement 728003. B. Gallego-Elvira acknowledges the support from the Spanish Ministry of Universities (‘Beatriz Galindo’ Fellowship BEAGAL18/00081).
Institutional Review Board Statement
Not applicable.
Informed Consent Statement
Not applicable.
Data Availability Statement
Data supporting the reported results can be found in the Zenodo repository through the following publicly accessible link: https://doi.org/10.5281/zenodo.6343346 (accessed on 24 March 2022).
Acknowledgments
The authors acknowledge the support given by the farming company Ferbal Agrícola S. L., enabling the trial to be conducted in their orchard at “Finca Canteras” (Spain).
Conflicts of Interest
The authors declare no conflict of interest. The funders had no role in the design of the study; in the collection, analyses, or interpretation of data; in the writing of the manuscript, or in the decision to publish the results.
References
- Bommarco, R.; Kleijn, D.; Potts, S.G. Ecological intensification: Harnessing ecosystem services for food security. Trends Ecol. Evol. 2013, 28, 230–238. [Google Scholar] [CrossRef]
- Wezel, A.; Goris, M.; Bruil, J.; Felix, G.F.; Peeters, A.; Barberi, P.; Bellon, S.; Migliorini, P. Challenges and Action Points to Amplify Agroecology in Europe. Sustainability 2018, 10, 1598. [Google Scholar] [CrossRef] [Green Version]
- European Council. Council Adopts Fairer, Greener and More Performance-Based Farming Policy for 2023–2027. 2021. Available online: https://www.consilium.europa.eu/en/press/press-releases/2021/12/02/council-adopts-fairer-greener-and-more-performance-based-farming-policy-for-2023-2027/ (accessed on 24 March 2022).
- Gebbers, R.; Adamchuk, V.I. Precision Agriculture and Food Security. Science 2010, 327, 828–831. [Google Scholar] [CrossRef]
- Eyhorn, F.; Muller, A.; Reganold, J.P.; Frison, E.; Herren, H.R.; Luttikholt, L.; Mueller, A.; Sanders, J.; Scialabba, N.E.-H.; Seufert, V.; et al. Sustainability in global agriculture driven by organic farming. Nat. Sustain. 2019, 2, 253–255. [Google Scholar] [CrossRef] [Green Version]
- Schut, A.G.T.; Cooledge, E.C.; Moraine, M.; Van de Ven, G.W.J.; Jones, D.L.; Chadwick, D.R. Reintegration of crop-livestock systems in europe: An overview. Front. Agric. Sci. Eng. 2021, 8, 111–129. [Google Scholar] [CrossRef]
- Liu, H.; Meng, J.; Bo, W.; Cheng, D.; Li, Y.; Guo, L.; Li, C.; Zheng, Y.; Liu, M.; Ning, T.; et al. Biodiversity management of organic farming enhances agricultural sustainability. Sci. Rep. 2016, 6, 23816. [Google Scholar] [CrossRef] [PubMed]
- Sanden, T.; Spiegel, H.; Stueger, H.P.; Schlatter, N.; Haslmayr, H.P.; Zavattaro, L.; Grignani, C.; Bechini, L.; D’Hose, T.; Molendijk, L.; et al. European long-term field experiments: Knowledge gained about alternative management practices. Soil Use Manag. 2018, 34, 167–176. [Google Scholar] [CrossRef]
- Francaviglia, R.; Alvaro-Fuentes, J.; Di Bene, C.; Gai, L.; Regina, K.; Turtola, E. Diversified Arable Cropping Systems and Management Schemes in Selected European Regions Have Positive Effects on Soil Organic Carbon Content. Agriculture 2019, 9, 261. [Google Scholar] [CrossRef] [Green Version]
- Van Asten, P.J.A.; Wairegi, L.W.I.; Mukasa, D.; Uringi, N.O. Agronomic and economic benefits of coffee-banana intercropping in Uganda’s smallholder farming systems. Agric. Syst. 2011, 104, 326–334. [Google Scholar] [CrossRef]
- Wood, S.A.; Karp, D.S.; DeClerck, F.; Kremen, C.; Naeem, S.; Palm, C.A. Functional traits in agriculture: Agrobiodiversity and ecosystem services. Trends Ecol. Evol. 2015, 30, 531–539. [Google Scholar] [CrossRef] [Green Version]
- Alcon, F.; Marin-Minano, C.; Zabala, J.A.; de-Miguel, M.-D.; Martinez-Paz, J.M. Valuing diversification benefits through intercropping in Mediterranean agroecosystems: A choice experiment approach. Ecol. Econ. 2020, 171, 106593. [Google Scholar] [CrossRef]
- Malezieux, E.; Crozat, Y.; Dupraz, C.; Laurans, M.; Makowski, D.; Ozier-Lafontaine, H.; Rapidel, B.; de Tourdonnet, S.; Valantin-Morison, M. Mixing plant species in cropping systems: Concepts, tools and models. A review. Agron. Sustain. Dev. 2009, 29, 43–62. [Google Scholar] [CrossRef] [Green Version]
- Lin, B.B. Resilience in Agriculture through Crop Diversification: Adaptive Management for Environmental Change. Bioscience 2011, 61, 183–193. [Google Scholar] [CrossRef] [Green Version]
- Hei, Z.; Xiang, H.; Zhang, J.; Liang, K.; Zhong, J.; Li, M.; Ren, X. Intercropping of Rice and Water Mimosa (Neptunia oleracea Lour.): A Novel Model to Control Pests and Diseases and Improve Yield and Grain Quality while Reducing N Fertilizer Application. Agriculture 2022, 12, 13. [Google Scholar] [CrossRef]
- Wezel, A.; Casagrande, M.; Celette, F.; Vian, J.-F.; Ferrer, A.; Peigne, J. Agroecological practices for sustainable agriculture: A review. Agron. Sustain. Dev. 2014, 34, 1–20. [Google Scholar] [CrossRef] [Green Version]
- Cuartero, J.; Pascual, J.; Vivo, J.; Özbolat, O.; Sánchez-Navarro, V.; Egea-Cortines, M.; Zornoza, R.; Mena, M.M.; Garcia, E.; Ros, M. A first-year melon/cowpea intercropping system improves soil nutrients and changes the soil microbial community. Agric. Ecosyst. Environ. 2022, 328, 107856. [Google Scholar] [CrossRef]
- Morugan-Coronado, A.; Linares, C.; Gomez-Lopez, M.D.; Faz, A.; Zornoza, R. The impact of intercropping, tillage and fertilizer type on soil and crop yield in fruit orchards under Mediterranean conditions: A meta-analysis of field studies. Agric. Syst. 2020, 178, 102736. [Google Scholar] [CrossRef]
- Rosa-Schleich, J.; Loos, J.; Musshoff, O.; Tscharntke, T. Ecological-economic trade-offs of Diversified Farming Systems—A review. Ecol. Econ. 2019, 160, 251–263. [Google Scholar] [CrossRef]
- Glover, J.D.; Reganold, J.P.; Cox, C.M. Plant perennials to save Africa’s soils. Nature 2012, 489, 359–361. [Google Scholar] [CrossRef]
- Tang, Y.-L.; Yu, L.-L.; Guan, A.-M.; Zhou, X.-Y.; Wang, Z.-G.; Gou, Y.-G.; Wang, J.-W. Soil mineral nitrogen and yield-scaled soil N2O emissions lowered by reducing nitrogen application and intercropping with soybean for sweet maize production in southern China. J. Integr. Agric. 2017, 16, 2586–2596. [Google Scholar] [CrossRef] [Green Version]
- Kuyah, S.; Dietz, J.; Muthuri, C.; van Noordwijk, M.; Neufeldt, H. Allometry and partitioning of above- and below-ground biomass in farmed eucalyptus species dominant in Western Kenyan agricultural landscapes. Biomass Bioenergy 2013, 55, 276–284. [Google Scholar] [CrossRef]
- Aguilera, E.; Lassaletta, L.; Sanz-Cobena, A.; Garnier, J.; Vallejo, A. The potential of organic fertilizers and water management to reduce N2O emissions in Mediterranean climate cropping systems: A review. Agric. Ecosyst. Environ. 2013, 164, 32–52. [Google Scholar] [CrossRef] [Green Version]
- Constantin, J.; Mary, B.; Laurent, F.; Aubrion, G.; Fontaine, A.; Kerveillant, P.; Beaudoin, N. Effects of catch crops, no till and reduced nitrogen fertilization on nitrogen leaching and balance in three long-term experiments. Agric. Ecosyst. Environ. 2010, 135, 268–278. [Google Scholar] [CrossRef]
- Martinez-Mena, M.; Boix-Fayos, C.; Carrillo-Lopez, E.; Diaz-Pereira, E.; Zornoza, R.; Sanchez-Navarro, V.; Acosta, J.A.; Martinez-Martinez, S.; Almagro, M. Short-term impact of crop diversification on soil carbon fluxes and balance in rainfed and irrigated woody cropping systems under semiarid Mediterranean conditions. Plant Soil 2021, 467, 499–514. [Google Scholar] [CrossRef]
- Haggar, J.; Pons, D.; Saenz, L.; Vides, M. Contribution of agroforestry systems to sustaining biodiversity in fragmented forest landscapes. Agric. Ecosyst. Environ. 2019, 283, 106567. [Google Scholar] [CrossRef]
- Kremen, C.; Miles, A. Ecosystem Services in Biologically Diversified versus Conventional Farming Systems: Benefits, Externalities, and Trade-Offs. Ecol. Soc. 2012, 17, 40. [Google Scholar] [CrossRef]
- Ibrikci, H.; Cetin, M.; Karnez, E.; Fluegel, W.A.; Tilkici, B.; Bulbul, Y.; Ryan, J. Irrigation-induced nitrate losses assessed in a Mediterranean irrigation district. Agric. Water Manag. 2015, 148, 223–231. [Google Scholar] [CrossRef]
- Parras-Alcantara, L.; Lozano-Garcia, B.; Keesstra, S.; Cerda, A.; Brevik, E.C. Long-term effects of soil management on ecosystem services and soil loss estimation in olive grove top soils. Sci. Total Environ. 2016, 571, 498–506. [Google Scholar] [CrossRef]
- Ramos, M.E.; Benitez, E.; Garcia, P.A.; Robles, A.B. Cover crops under different managements vs. frequent tillage in almond orchards in semiarid conditions: Effects on soil quality. Appl. Soil Ecol. 2010, 44, 6–14. [Google Scholar] [CrossRef]
- Cerda, A.; Rodrigo-Comino, J.; Gimenez-Morera, A.; Keesstra, S.D. Hydrological and erosional impact and farmer’s perception on catch crops and weeds in citrus organic farming in Canyoles river watershed, Eastern Spain. Agric. Ecosyst. Environ. 2018, 258, 49–58. [Google Scholar] [CrossRef]
- Was, A.; Malak-Rawlikowska, A.; Zavalloni, M.; Viaggi, D.; Kobus, P.; Sulewski, P. In search of factors determining the participation of farmers in agri-environmental schemes—Does only money matter in Poland? Land Use Policy 2021, 101, 105190. [Google Scholar] [CrossRef]
- Dupraz, P.; Guyomard, H. Environment and Climate in the Common Agricultural Policy. Eurochoices 2019, 18, 18–25. [Google Scholar] [CrossRef] [Green Version]
- Himanen, S.J.; Maekinen, H.; Rimhanen, K.; Savikko, R. Engaging Farmers in Climate Change Adaptation Planning: Assessing Intercropping as a Means to Support Farm Adaptive Capacity. Agriculture 2016, 6, 34. [Google Scholar] [CrossRef] [Green Version]
- Latvala, T.; Regina, K.; Lehtonen, H. Evaluating Non-Market Values of Agroecological and Socio-Cultural Benefits of Diversified Cropping Systems. Environ. Manag. 2021, 67, 988–999. [Google Scholar] [CrossRef] [PubMed]
- Cagliero, R.; Legnini, M.; Licciardo, F. Evaluating the New Common Agricultural Policy: Improving the Rules. Eurochoices 2021, 20, 27–33. [Google Scholar] [CrossRef]
- Arantes, A.C.C.; Cotta, S.R.; da Conceicao, P.M.; Meneghin, S.P.; Martinelli, R.; Prospero, A.G.; Boaretto, R.M.; Andreote, F.D.; Mattos, D.; de Azevedo, F.A. Implication of Urochloa spp. Intercropping and Conservation Agriculture on Soil Microbiological Quality and Yield of Tahiti Acid Lime in Long Term Orchard Experiment. Agriculture 2020, 10, 491. [Google Scholar] [CrossRef]
- Dubey, S.K.; Sharma, N.; Sharma, J.P.; Sharma, A.; Kishore, N. Assessing citrus (lemon) based intercropping in the irrigated areas of northern plains of Haryana. Indian J. Hortic. 2016, 73, 441–444. [Google Scholar] [CrossRef]
- Zhang, Y.; Ni, J.P.; Yang, J.; Zhang, T.; Xie, D.T. Citrus stand ages regulate the fraction alteration of soil organic carbon under a citrus/Stropharua rugodo-annulata intercropping system in the Three Gorges Reservoir area, China. Environ. Sci. Pollut. Res. 2017, 24, 18363–18371. [Google Scholar] [CrossRef]
- FAOSTAT. Value of Agricultural Production. Available online: https://www.fao.org/faostat/en/#data/QV (accessed on 24 March 2022).
- Tan, D.; Adedoyin, F.F.; Alvarado, R.; Ramzan, M.; Kayesh, M.S.; Shah, M.I. The effects of environmental degradation on agriculture: Evidence from European countries. Gondwana Res. 2022, 106, 92–104. [Google Scholar] [CrossRef]
- Soussana, J.-F. Research priorities for sustainable agri-food systems and life cycle assessment. J. Clean. Prod. 2014, 73, 19–23. [Google Scholar] [CrossRef]
- Conesa, M.R.; de la Rosa, J.M.; Fernandez-Trujillo, J.P.; Domingo, R.; Perez-Pastor, A. Deficit irrigation in commercial mandarin trees: Water relations, yield and quality responses at harvest and after cold storage. Span. J. Agric. Res. 2018, 16, e1201. [Google Scholar] [CrossRef] [Green Version]
- Gonzalez-Dugo, V.; Ruz, C.; Testi, L.; Orgaz, F.; Fereres, E. The impact of deficit irrigation on transpiration and yield of mandarin and late oranges. Irrig. Sci. 2018, 36, 227–239. [Google Scholar] [CrossRef]
- Allen, R.G.; Pereira, L.S.; Raes, D.; Smith, M. Crop Evapotranspiration. Guidelines for Computing Crop Water Requirements; FAO Irrigation and Drainage Paper No. 56; FAO: Rome, Italy, 1998. [Google Scholar]
- ISO 14040; Environmental Management—Life Cycle Assessment—Principles and Framework. ISO: Geneva, Switzerland, 2006.
- ISO 14044; Environmental Management—Life Cycle Assessment—Requirements and Guidelines. ISO: Geneva, Switzerland, 2006.
- Cerutti, A.K.; Galizia, D.; Bruun, S.; Mellano, G.M.; Beccaro, G.L.; Bounous, G. Assessing environmental sustainability of different apple supply chains in Northern Italy. In Towards Life Cycle Sustainability Management; Springer: Dordrecht, The Netherlands, 2011; pp. 341–348. [Google Scholar]
- Bessou, C.; Basset-Mens, C.; Tran, T.; Benoist, A. LCA applied to perennial cropping systems: A review focused on the farm stage. Int. J. Life Cycle Assess. 2013, 18, 340–361. [Google Scholar] [CrossRef] [Green Version]
- Perrin, A.; Basset-Mens, C.; Gabrielle, B. Life cycle assessment of vegetable products: A review focusing on cropping systems diversity and the estimation of field emissions. Int. J. Life Cycle Assess. 2014, 19, 1247–1263. [Google Scholar] [CrossRef]
- Guinee, J. Handbook on life cycle assessment—Operational guide to the ISO standards. Int. J. Life Cycle Assess. 2001, 6, 255. [Google Scholar] [CrossRef]
- Brentrup, F.; Kuesters, J.; Lammel, J.; Kuhlmann, H. Methods to Estimate On-Field Nitrogen Emissions from Crop Production as an Input to LCA Studies in the Agricultural Sector. Int. J. Life Cycle Assess. 2000, 5, 349–357. [Google Scholar] [CrossRef]
- Audsley, E.; Alber, S.; Clift, R.; Cowell, S.; Crettaz, P.; Gaillard, G. Harmonisation of Environmental Life Cycle Assessment for Agriculture; Final Report, Concerted Action AIR3-CT94-2028; European Commission DG VI Agriculture: Brussels, Belgium, 1997; 139p. [Google Scholar]
- Martinez-Alcantara, B.; Quinones, A.; Forner-Giner, M.A.; Iglesias, D.J.; Primo-Millo, E.; Legaz, F. Impact of fertilizer-water management on nitrogen use efficiency and potential nitrate leaching in citrus trees. Soil Sci. Plant Nutr. 2012, 58, 659–669. [Google Scholar] [CrossRef]
- European Commission-Joint Research Centre (EC-JRC). Handbook e Recommendations for Life Cycle Impact. Assessment in the European Context; European Commission-Joint Research Centre: Luxemburg, 2011. [Google Scholar]
- Berbel, J.; Martinez-Dalmau, J. A Simple Agro-Economic Model for Optimal Farm Nitrogen Application under Yield Uncertainty. Agriculture 2021, 11, 1107. [Google Scholar] [CrossRef]
- European Commission. A Farm to Fork Strategy: For a Fair, Healthy and Environmentally-Friendly Food System; COM (2020) 381 Final; European Commission: Brussels, Belgium, 2020. [Google Scholar]
- Fernandez, J.E.; Alcon, F.; Diaz-Espejo, A.; Hernandez-Santana, V.; Cuevas, M.V. Water use indicators and economic analysis for on-farm irrigation decision: A case study of a super high density olive tree orchard. Agric. Water Manag. 2020, 237, 106074. [Google Scholar] [CrossRef]
- CARM. Estadística agraria. Precios Agrarios. Comunidad Autónoma de la Región de Murcia. 2021. Available online: http://www.carm.es/web/pagina?IDCONTENIDO=1396&IDTIPO=100&RASTRO=c1415$m1174 (accessed on 24 March 2022).
- MAPA. Índice y Precios Percibidos Agrarios. Ministerio de Agricultura, Pesca y Alimentación, 2021. Available online: https://www.mapa.gob.es/es/estadistica/temas/estadisticas-agrarias/economia/precios-percibidos-pagados-salarios/precios-percibidos-por-los-agricultores-y-ganaderos/default.aspx (accessed on 24 March 2022).
- Alcon, F.; Martin-Ortega, J.; Pedrero, F.; Alarcon, J.J.; de Miguel, M.D. Incorporating Non-market Benefits of Reclaimed Water into Cost-Benefit Analysis: A Case Study of Irrigated Mandarin Crops in southern Spain. Water Resour. Manag. 2013, 27, 1809–1820. [Google Scholar] [CrossRef]
- Caballero, P.; Carmona, B.; Alcon, F.; Fernandez-Zamudio, M.A.; de-Miguel, M.D. Trends in Varietal Composition in Spanish Citrus-Growing and Underlying Variables. In Proceedings of the XII International Citrus Congress—International Society of Citriculture, Valencia, Spain, 18–23 November 2012. [Google Scholar]
- Alcon, F.; Angeles Fernandez-Zamudio, M.; Lopez-Becerra, E.I.; Dolores de-Miguel, M. Survival analysis of orange tree varieties in Spain. Span. J. Agric. Res. 2019, 17, e0103. [Google Scholar] [CrossRef] [Green Version]
- Bossio, D.A.; Cook-Patton, S.C.; Ellis, P.W.; Fargione, J.; Sanderman, J.; Smith, P.; Wood, S.; Zomer, R.J.; von Unger, M.; Emmer, I.M.; et al. The role of soil carbon in natural climate solutions. Nat. Sustain. 2020, 3, 391–398. [Google Scholar] [CrossRef]
- Tamburini, G.; Bommarco, R.; Wanger, T.C.; Kremen, C.; van der Heijden, M.G.A.; Liebman, M.; Hallin, S. Agricultural diversification promotes multiple ecosystem services without compromising yield. Sci. Adv. 2020, 6, eaba1715. [Google Scholar] [CrossRef] [PubMed]
- De Luca, A.; Falcone, G.; Stillitano, T.; Strano, A.; Gulisano, G. Sustainability assessment of quality-oriented citrus growing systems in Mediterranean area. Calitatea 2014, 15, 103. [Google Scholar]
- Aguilera, E.; Guzman, G.; Alonso, A. Greenhouse gas emissions from conventional and organic cropping systems in Spain. I. Herbaceous crops. Agron. Sustain. Dev. 2015, 35, 713–724. [Google Scholar] [CrossRef] [Green Version]
- Ribal, J.; Ramirez-Sanz, C.; Estruch, V.; Clemente, G.; Sanjuan, N. Organic versus conventional citrus: Impact assessment and variability analysis in the Comunitat Valenciana (Spain). Int. J. Life Cycle Assess. 2017, 22, 571–586. [Google Scholar] [CrossRef]
- Martin-Gorriz, B.; Gallego-Elvira, B.; Martinez-Alvarez, V.; Maestre-Valero, J.F. Life cycle assessment of fruit and vegetable production in the Region of Murcia (south-east Spain) and evaluation of impact mitigation practices. J. Clean. Prod. 2020, 265, 121656. [Google Scholar] [CrossRef]
- Pergola, M.; D’Amico, M.; Celano, G.; Palese, A.M.; Scuderi, A.; Di Vita, G.; Pappalardo, G.; Inglese, P. Sustainability evaluation of Sicily’s lemon and orange production: An energy, economic and environmental analysis. J. Environ. Manag. 2013, 128, 674–682. [Google Scholar] [CrossRef] [Green Version]
- Clune, S.; Crossin, E.; Verghese, K. Systematic review of greenhouse gas emissions for different fresh food categories. J. Clean. Prod. 2017, 140, 766–783. [Google Scholar] [CrossRef] [Green Version]
- Torrellas, M.; Anton, A.; Lopez, J.C.; Baeza, E.J.; Parra, J.P.; Munoz, P.; Ignacio Montero, J. LCA of a tomato crop in a multi-tunnel greenhouse in Almeria. Int. J. Life Cycle Assess. 2012, 17, 863–875. [Google Scholar] [CrossRef]
- Gottwald, T.R.; Hall, D.G.; Kriss, A.B.; Salinas, E.J.; Parker, P.E.; Beattie, G.A.C.; Nguyen, M.C. Orchard and nursery dynamics of the effect of interplanting citrus with guava for huanglongbing, vector, and disease management. Crop Prot. 2014, 64, 93–103. [Google Scholar] [CrossRef]
- Li, H.; Zhu, N.; Wang, S.; Gao, M.; Xia, L.; Kerr, P.G.; Wu, Y. Dual benefits of long-termecological agricultural engineering: Mitigation of nutrient losses and improvement of soil quality. Sci. Total Environ. 2020, 721, 137848. [Google Scholar] [CrossRef] [PubMed]
- Martins, C.R.; Rodrigues, G.S.; de Barros, I. Assessment of economic and environmental performance in citrus-based intercropping systems. Rev. Bras. Frutic. 2021, 43, e463. [Google Scholar] [CrossRef]
- Yan, Y.; Yang, J.; Guo, Y.; Yang, J.; Wan, X.; Zhao, C.; Guo, J.; Chen, T. Potential evaluation of different intercropping remediation modes based on remediation efficiency and economic benefits—A case study of arsenic-contaminated soil. Int. J. Phytoremediation 2022, 24, 25–33. [Google Scholar] [CrossRef] [PubMed]
- Srivastava, A.K.; Huchche, A.D.; Ram, L.; Singh, S. Yield prediction in intercropped versus monocropped citrus orchards. Sci. Hortic. 2007, 114, 67–70. [Google Scholar] [CrossRef]
- Brandth, B.; Haugen, M.S. Farm diversification into tourism—Implications for social identity? J. Rural Stud. 2011, 27, 35–44. [Google Scholar] [CrossRef] [Green Version]
Publisher’s Note: MDPI stays neutral with regard to jurisdictional claims in published maps and institutional affiliations. |
© 2022 by the authors. Licensee MDPI, Basel, Switzerland. This article is an open access article distributed under the terms and conditions of the Creative Commons Attribution (CC BY) license (https://creativecommons.org/licenses/by/4.0/).