Metabolic Syndrome Resolved within Two Years is Still a Risk Factor for Kidney Cancer
Abstract
1. Introduction
2. Material and Methods
2.1. Data Source and Study Population
2.2. End Point and Definitions
2.3. Statistical Analyses
2.4. Ethics Approval and Consent to Participate
3. Results
3.1. Clinical Characteristics of the Participants
3.2. Association between Metabolic Syndrome and Kidney Cancer Development
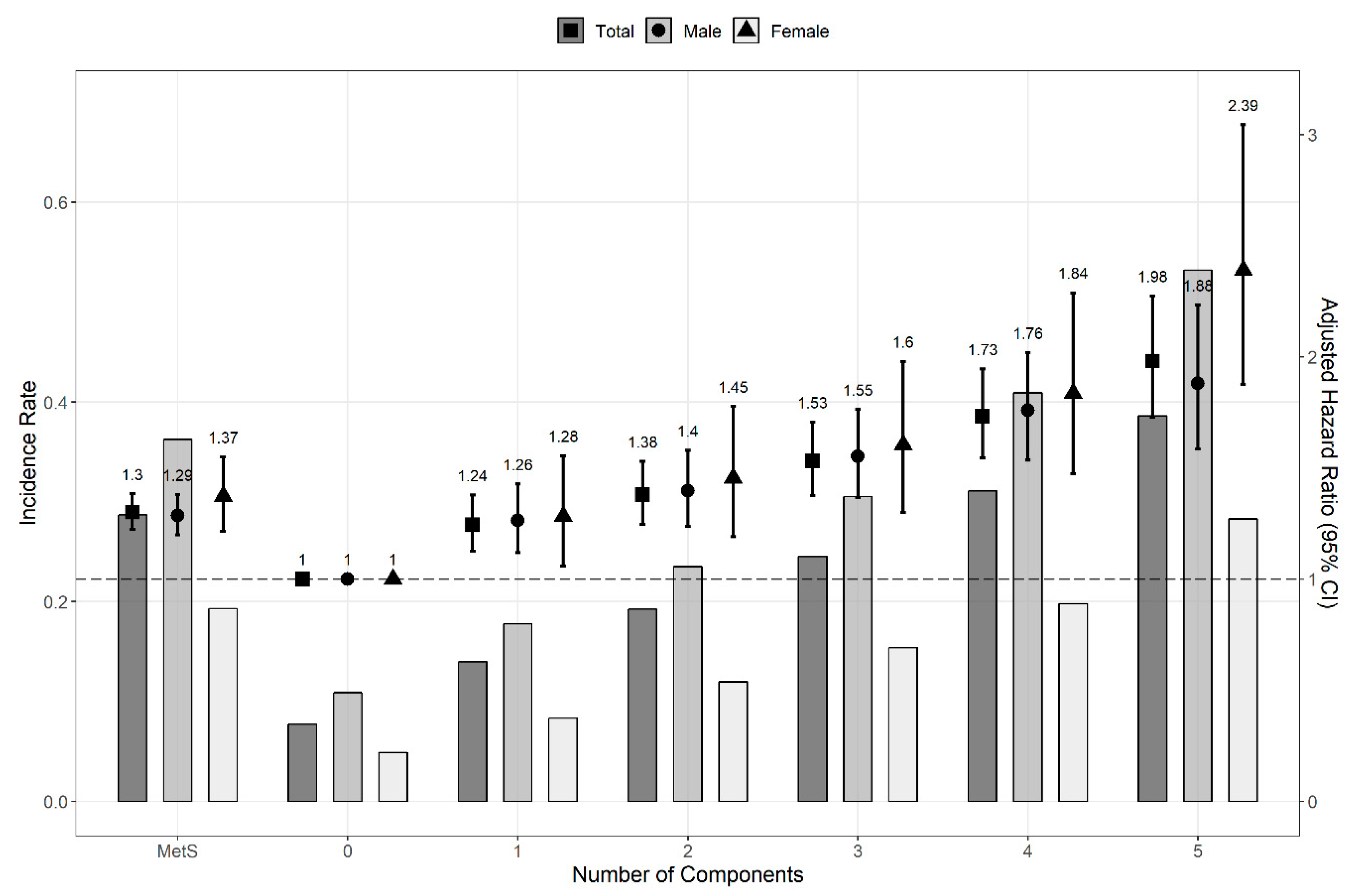
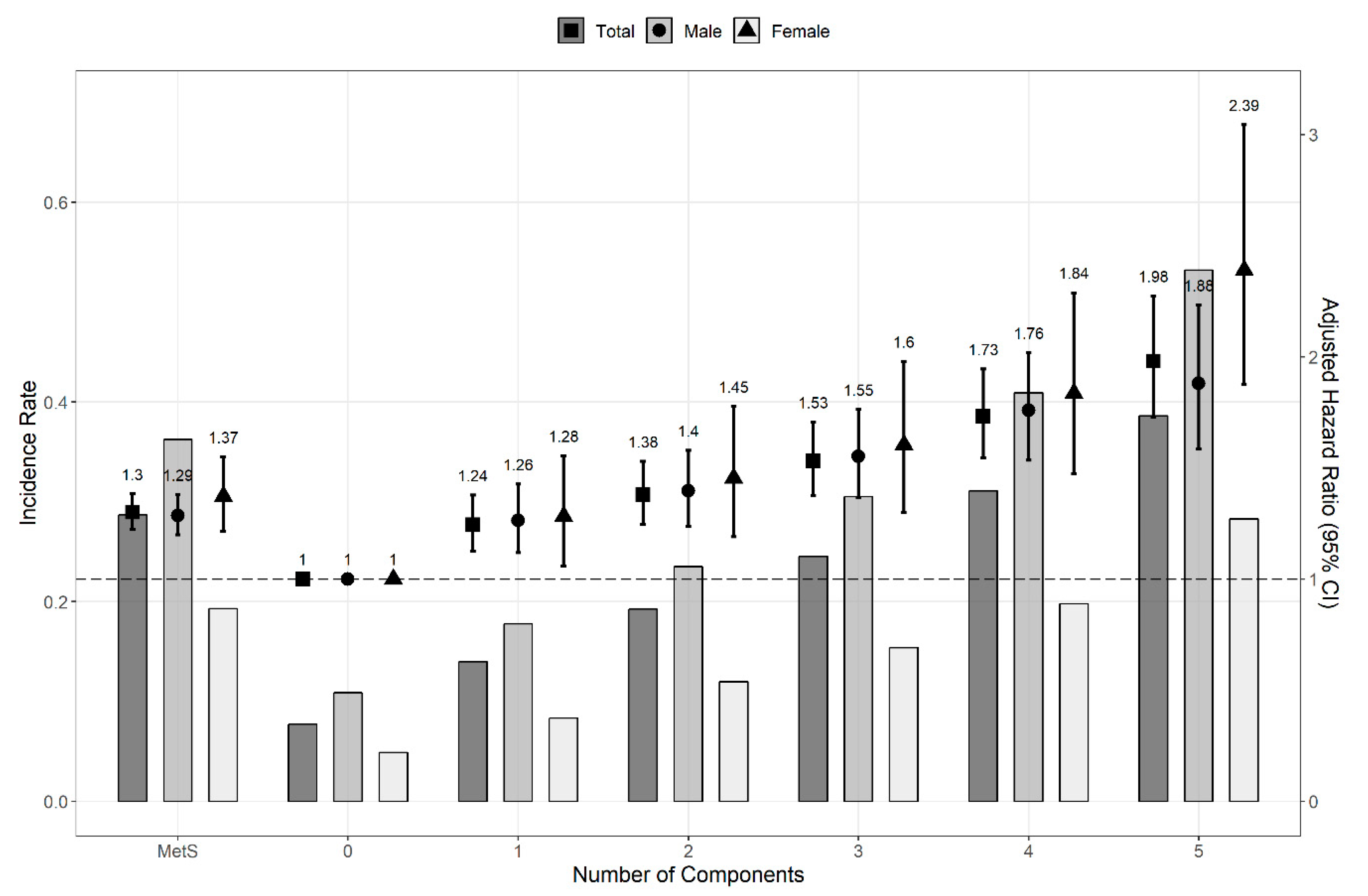
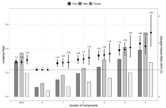
3.3. Risk of Kidney Cancer by Combinations of Metabolic Syndrome Components
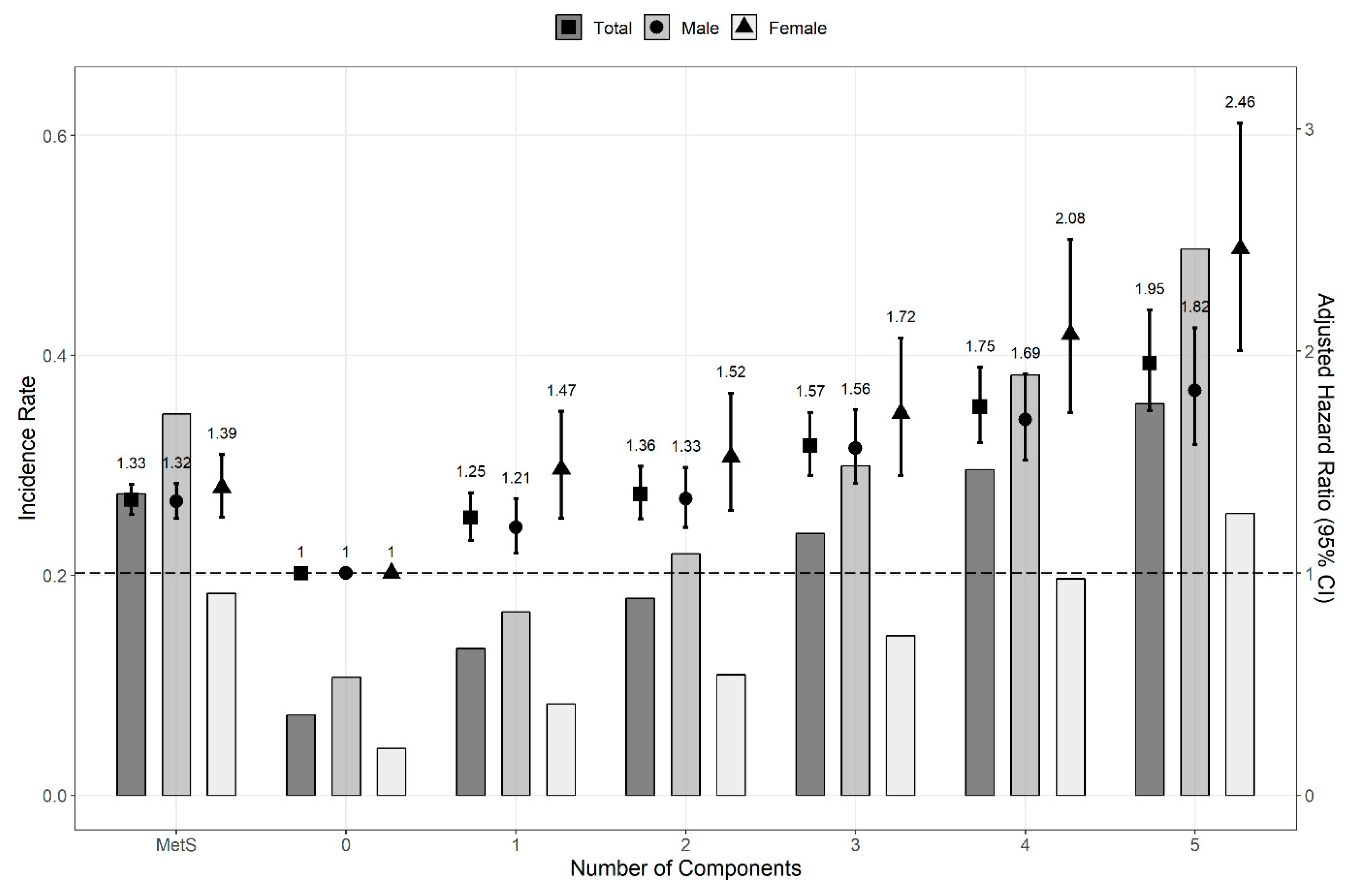
3.4. Subgroup Analysis by Recovery from Metabolic Syndrome
4. Discussion
5. Conclusions
Supplementary Materials
Author Contributions
Funding
Conflicts of Interest
References
- Bray, F.; Ferlay, J.; Soerjomataram, I.; Siegel, R.L.; Torre, L.A.; Jemal, A. Global cancer statistics 2018: GLOBOCAN estimates of incidence and mortality worldwide for 36 cancers in 185 countries. CA Cancer J. Clin. 2018, 68, 394–424. [Google Scholar] [CrossRef] [PubMed]
- Koo, K.C.; Chung, B.H. Epidemiology and Treatment Patterns of Urologic Cancers in Korea. Korean J. Urol. Oncol. 2015, 13, 51–57. [Google Scholar]
- Flaherty, K.T.; Fuchs, C.S.; Colditz, G.A.; Stampfer, M.J.; Speizer, F.E.; Willett, W.C.; Curhan, G.C. A Prospective Study of Body Mass Index, Hypertension, and Smoking and the Risk of Renal Cell Carcinoma (United States). Cancer Causes Control 2005, 16, 1099–1106. [Google Scholar] [CrossRef] [PubMed]
- Häggström, C.; Rapp, K.; Stocks, T.; Manjer, J.; Bjørge, T.; Ulmer, H.; Engeland, A.; Almqvist, M.; Concin, H.; Selmer, R.; et al. Metabolic Factors Associated with Risk of Renal Cell Carcinoma. PLoS ONE 2013, 8, e57475. [Google Scholar] [CrossRef] [PubMed]
- Kocher, N.J.; Rjepaj, C.; Robyak, H.; Lehman, E.; Raman, J.D. Hypertension is the primary component of metabolic syndrome associated with pathologic features of kidney cancer. World J. Urol. 2017, 35, 67–72. [Google Scholar] [CrossRef] [PubMed]
- Chen, L.; Li, H.; Gu, L.; Ma, X.; Li, X.; Gao, Y.; Zhang, Y.; Shen, D.; Fan, Y.; Wang, B.; et al. The Impact of Diabetes Mellitus on Renal Cell Carcinoma Prognosis: A Meta-Analysis of Cohort Studies. Medicine 2015, 94, e1055. [Google Scholar] [CrossRef] [PubMed]
- Lim, S.; Shin, H.; Song, J.H.; Kwak, S.H.; Kang, S.M.; Won Yoon, J.; Choi, S.H.; Cho, S.I.; Park, K.S.; Lee, H.K.; et al. Increasing prevalence of metabolic syndrome in Korea: The Korean National Health and Nutrition Examination Survey for 19982–007. Diabetes Care 2011, 34, 1323–1328. [Google Scholar] [CrossRef] [PubMed]
- Esposito, K.; Chiodini, P.; Colao, A.; Lenzi, A.; Giugliano, D. Metabolic syndrome and risk of cancer: A systematic review and meta-analysis. Diabetes Care 2012, 35, 2402–2411. [Google Scholar] [CrossRef] [PubMed]
- Stocks, T.; Bjørge, T.; Ulmer, H.; Manjer, J.; Häggström, C.; Nagel, G.; Engeland, A.; Johansen, D.; Hallmans, G.; Selmer, R.; et al. Metabolic risk score and cancer risk: Pooled analysis of seven cohorts. Int. J. Epidemiol. 2015, 44, 1353–1363. [Google Scholar] [CrossRef] [PubMed]
- Esposito, K.; Chiodini, P.; Capuano, A.; Bellastella, G.; Maiorino, M.I.; Rafaniello, C.; Panagiotakos, D.B.; Giugliano, D. Colorectal cancer association with metabolic syndrome and its components: A systematic review with meta-analysis. Endocrine 2013, 44, 634–647. [Google Scholar] [CrossRef] [PubMed]
- Bjørge, T.; Lukanova, A.; Jonsson, H.; Tretli, S.; Ulmer, H.; Manjer, J.; Stocks, T.; Selmer, R.; Nagel, G.; Almquist, M.; et al. Metabolic syndrome and breast cancer in the me-can (metabolic syndrome and cancer) project. Cancer Epidemiol. Biomark. Prev. 2010, 19, 1737–1745. [Google Scholar] [CrossRef] [PubMed]
- Jee, S.H.; Yun, J.E.; Park, E.J.; Cho, E.R.; Park, I.S.; Sull, J.W.; Ohrr, H.; Samet, J.M. Body mass index and cancer risk in Korean men and women. Int. J. Cancer 2008, 123, 1892–1896. [Google Scholar] [CrossRef] [PubMed]
- Jee, S.H. Fasting Serum Glucose Level and Cancer Risk in Korean Men and Women. JAMA 2005, 293, 194. [Google Scholar] [CrossRef] [PubMed]
- Kitahara, C.M.; De González, A.B.; Freedman, N.D.; Huxley, R.; Mok, Y.; Jee, S.H.; Samet, J.M. Total Cholesterol and Cancer Risk in a Large Prospective Study in Korea. J. Clin. Oncol. 2011, 29, 1592–1598. [Google Scholar] [CrossRef] [PubMed]
- Lee, J.; Lee, J.S.; Park, S.H.; Shin, S.A.; Kim, K. Cohort Profile: The National Health Insurance Service-National Sample Cohort (NHIS-NSC), South Korea. Int. J. Epidemiol. 2017, 46, e15. [Google Scholar] [CrossRef]
- Lee, Y.-H.; Kim, J.E.; Roh, Y.H.; Choi, H.R.; Rhee, Y.; Kang, D.R.; Lim, S.-K. The Combination of Vitamin D Deficiency and Mild to Moderate Chronic Kidney Disease Is Associated with Low Bone Mineral Density and Deteriorated Femoral Microarchitecture: Results from the KNHANES 2008–2011. J. Clin. Endocrinol. Metab. 2014, 99, 3879–3888. [Google Scholar] [CrossRef] [PubMed]
- Tyack, P.L.; Calambokidis, J.; Friedlaender, A.; Goldbogen, J.; Southall, B. Formal Comment on Schorr GS, Falcone EA, Moretti DJ, Andrews RD (2014) First Long-Term Behavioral Records from Cuvier’s Beaked Whales (Ziphius cavirostris) Reveal Record-Breaking Dives. PLoS ONE 9(3): e92633, doi:10.1371/journal.pone.0092633. PLoS ONE 2015, 10, e0142287. [Google Scholar] [CrossRef]
- Lee, S.Y.; Park, H.S.; Kim, D.J.; Han, J.H.; Kim, S.M.; Cho, G.J.; Kim, D.Y.; Kwon, H.S.; Kim, S.R.; Lee, C.B.; et al. Appropriate waist circumference cutoff points for central obesity in Korean adults. Diabetes Res. Clin. Pract. 2007, 75, 72–80. [Google Scholar] [CrossRef]
- Chow, W.-H.; Gridley, G.; Fraumeni, J.F.; Järvholm, B. Obesity, Hypertension, and the Risk of Kidney Cancer in Men. N. Engl. J. Med. 2000, 343, 1305–1311. [Google Scholar] [CrossRef]
- Bergström, A.; Hsieh, C.-C.; Lindblad, P.; Lu, C.-M.; Cook, N.R.; Wolk, A. Obesity and renal cell cancer—A quantitative review. Br. J. Cancer 2001, 85, 984–990. [Google Scholar] [CrossRef]
- Wang, G.; Hou, J.; Ma, L.; Xie, J.; Yin, J.; Xu, D.; Chang, W.; Tan, X.; Su, T.; Zhang, H.; et al. Risk factor for clear cell renal cell carcinoma in Chinese population: A case—Control study. Cancer Epidemiol. 2012, 36, 177–182. [Google Scholar] [CrossRef] [PubMed]
- Colt, J.S.; Schwartz, K.; Graubard, B.I.; Davis, F.; Ruterbusch, J.; DiGaetano, R.; Purdue, M.; Rothman, N.; Wacholder, S.; Chow, W.-H. Hypertension and risk of renal cell carcinoma among white and black americans. Epidemiology 2011, 22, 797–804. [Google Scholar] [CrossRef] [PubMed]
- Lindblad, P.; Chow, W.H.; Chan, J.; Bergström, A.; Wolk, A.; Gridley, G.; McLaughlin, J.K.; Nyrén, O.; Adami, H.O. The role of diabetes mellitus in the aetiology of renal cell cancer. Diabetologia 1999, 42, 107–112. [Google Scholar] [CrossRef] [PubMed]
- Joh, H.-K.; Willett, W.C.; Cho, E. Type 2 Diabetes and the Risk of Renal Cell Cancer in Women. Diabetes Care 2011, 34, 1552–1556. [Google Scholar] [CrossRef] [PubMed]
- Van Hemelrijck, M.; Garmo, H.; Hammar, N.; Jungner, I.; Walldius, G.; Lambe, M.; Holmberg, L. The interplay between lipid profiles, glucose, BMI and risk of kidney cancer in the Swedish AMORIS study. Int. J. Cancer 2012, 130, 2118–2128. [Google Scholar] [CrossRef] [PubMed]
- Ahn, J.; Lim, U.; Weinstein, S.J.; Schatzkin, A.; Hayes, R.B.; Virtamo, J.; Albanes, D. Prediagnostic total and high-density lipoprotein cholesterol and risk of cancer. Cancer Epidemiol. Biomark. Prev. 2009, 18, 2814–2821. [Google Scholar] [CrossRef] [PubMed]
- Horiguchi, A.; Ito, K.; Sumitomo, M.; Kimura, F.; Asano, T.; Hayakawa, M. Decreased Serum Adiponectin Levels in Patients with Metastatic Renal Cell Carcinoma. Jpn. J. Clin. Oncol. 2008, 38, 106–111. [Google Scholar] [CrossRef]
- Ibrahim, Y.H.; Yee, D. Insulin-like growth factor-I and cancer risk. Growth Horm. IGF Res. 2004, 14, 261–269. [Google Scholar] [CrossRef]
- Feve, B.; Bastard, J.-P. The role of interleukins in insulin resistance and type 2 diabetes mellitus. Nat. Rev. Endocrinol. 2009, 5, 305–311. [Google Scholar] [CrossRef]
- Akash, M.S.H.; Rehman, K.; Liaqat, A. Tumor Necrosis Factor-Alpha: Role in Development of Insulin Resistance and Pathogenesis of Type 2 Diabetes Mellitus. J. Cell. Biochem. 2018, 119, 105–110. [Google Scholar] [CrossRef]
- Ho, M.-Y.; Tang, S.-J.; Chuang, M.-J.; Cha, T.-L.; Li, J.-Y.; Sun, G.-H.; Sun, K.-H. TNF- Induces Epithelial-Mesenchymal Transition of Renal Cell Carcinoma Cells via a GSK3 -Dependent Mechanism. Mol. Cancer Res. 2012, 10, 1109–1119. [Google Scholar] [CrossRef] [PubMed]
- Kamińska, K.; Czarnecka, A.M.; Escudier, B.; Lian, F.; Szczylik, C. Interleukin-6 as an emerging regulator of renal cell cancer. Urol. Oncol. Semin. Orig. Investig. 2015, 33, 476–485. [Google Scholar] [CrossRef] [PubMed]
- Bolduc, C.; LaRose, M.; Lafond, N.; Yoshioka, M.; Rodrigue, M.-A.; Morissette, J.; Labrie, C.; Raymond, V.; St-Amand, J.; St-Amand, J. Adipose Tissue Transcriptome by Serial Analysis of Gene Expression. Obes. Res. 2004, 12, 750–757. [Google Scholar] [CrossRef] [PubMed]
- Li, J.; Wang, G.; Chu, Y.; Rong, R.; Zhu, T. The clinical application of COX-2 inhibitors may strengthen the sensitivity of renal cell carcinoma to immunotherapy. Med. Hypotheses 2008, 71, 527–529. [Google Scholar] [CrossRef] [PubMed]
- Chan, P.-C.; Liao, M.-T.; Hsieh, P.-S. The Dualistic Effect of COX-2-Mediated Signaling in Obesity and Insulin Resistance. Int. J. Mol. Sci. 2019, 20, 3115. [Google Scholar] [CrossRef] [PubMed]
- Hsieh, P.-S.; Jin, J.-S.; Chiang, C.-F.; Chan, P.-C.; Chen, C.-H.; Shih, K.-C. COX-2-mediated Inflammation in Fat Is Crucial for Obesity-linked Insulin Resistance and Fatty Liver. Obesity 2009, 17, 1150–1157. [Google Scholar] [CrossRef]
- Cawthorn, W.P.; Sethi, J.K. TNF-alpha and adipocyte biology. FEBS Lett. 2008, 582, 117–131. [Google Scholar] [CrossRef]
- Sugiyama, M.; Takahashi, H.; Hosono, K.; Endo, H.; Kato, S.; Yoneda, K.; Nozaki, Y.; Fujita, K.; Yoneda, M.; Wada, K.; et al. Adiponectin inhibits colorectal cancer cell growth through the AMPK/mTOR pathway. Int. J. Oncol. 2009, 34, 339–344. [Google Scholar]
- Brakenhielm, E.; Veitonmaki, N.; Cao, R.; Kihara, S.; Matsuzawa, Y.; Zhivotovsky, B.; Funahashi, T.; Cao, Y. Adiponectin-induced antiangiogenesis and antitumor activity involve caspase-mediated endothelial cell apoptosis. Proc. Natl. Acad. Sci. USA 2004, 101, 2476–2481. [Google Scholar] [CrossRef]
- Barak, Y.; Nelson, M.C.; Ong, E.S.; Jones, Y.Z.; Ruiz-Lozano, P.; Chien, K.R.; Koder, A.; Evans, R.M. PPAR gamma is required for placental, cardiac, and adipose tissue development. Mol. Cell 1999, 4, 585–595. [Google Scholar] [CrossRef]
- Rosen, E.D.; Sarraf, P.; Troy, A.E.; Bradwin, G.; Moore, K.; Milstone, D.S.; Spiegelman, B.M.; Mortensen, R.M. PPAR gamma is required for the differentiation of adipose tissue in vivo and in vitro. Mol. Cell 1999, 4, 611–617. [Google Scholar] [CrossRef]
- Vidal-Puig, A.; Jimenez-Linan, M.; Lowell, B.B.; Hamann, A.; Hu, E.; Spiegelman, B.; Flier, J.S.; Moller, D.E. Regulation of PPAR gamma gene expression by nutrition and obesity in rodents. J. Clin. Investig. 1996, 97, 2553–2561. [Google Scholar] [CrossRef] [PubMed]
- Inoue, K.-I.; Kawahito, Y.; Tsubouchi, Y.; Kohno, M.; Yoshimura, R.; Yoshikawa, T.; Sano, H. Expression of Peroxisome Proliferator-Activated Receptor γ in Renal Cell Carcinoma and Growth Inhibition by Its Agonists. Biochem. Biophys. Res. Commun. 2001, 287, 727–732. [Google Scholar] [CrossRef] [PubMed]
- Yang, F.-G.; Zhang, Z.-W.; Xin, D.-Q.; Shi, C.-J.; Wu, J.-P.; Guo, Y.-L.; Guan, Y.-F. Peroxisome proliferator-activated receptor γ ligands induce cell cycle arrest and apoptosis in human renal carcinoma cell lines. Acta Pharmacol. Sin. 2005, 26, 753–761. [Google Scholar] [CrossRef] [PubMed]
- Wang, B.; Wood, I.S.; Trayhurn, P. Dysregulation of the expression and secretion of inflammation-related adipokines by hypoxia in human adipocytes. Pflügers Arch. Eur. J. Physiol. 2007, 455, 479–492. [Google Scholar] [CrossRef] [PubMed]
- Girgis, C.M.; Cheng, K.; Scott, C.H.; Gunton, J.E. Novel links between HIFs, type 2 diabetes, and metabolic syndrome. Trends Endocrinol. Metab. 2012, 23, 372–380. [Google Scholar] [CrossRef] [PubMed]
- Cheng, K.; Ho, K.; Stokes, R.; Scott, C.; Lau, S.M.; Hawthorne, W.J.; O’Connell, P.J.; Loudovaris, T.; Kay, T.W.; Kulkarni, R.N.; et al. Hypoxia-inducible factor-1α regulates β cell function in mouse and human islets. J. Clin. Investig. 2010, 120, 2171–2183. [Google Scholar] [CrossRef]
- Gunton, J.E.; Kulkarni, R.N.; Yim, S.; Okada, T.; Hawthorne, W.J.; Tseng, Y.-H.; Roberson, R.S.; Ricordi, C.; O’Connell, P.J.; Gonzalez, F.J.; et al. Loss of ARNT/HIF1β Mediates Altered Gene Expression and Pancreatic-Islet Dysfunction in Human Type 2 Diabetes. Cell 2005, 122, 337–349. [Google Scholar] [CrossRef]
- Kondo, Y.; Hamada, J.; Kobayashi, C.; Nakamura, R.; Suzuki, Y.; Kimata, R.; Nishimura, T.; Kitagawa, T.; Kunimoto, M.; Imura, N.; et al. Over expression of hypoxia-inducible factor-1α in renal and bladder cancer cells increases tumorigenic potency. J. Urol. 2005, 173, 1762–1766. [Google Scholar] [CrossRef]
- Effect of Intensive Therapy on the Microvascular Complications of Type 1 Diabetes Mellitus. JAMA 2002, 287, 2563–2569. [CrossRef]
- Sustained effect of intensive treatment of type 1 diabetes mellitus on development and progression of diabetic nephropathy: The Epidemiology of Diabetes Interventions and Complications (EDIC) study. JAMA 2003, 290, 2159–2167. [CrossRef] [PubMed]
- Nishikawa, T.; Edelstein, D.; Du, X.L.; Yamagishi, S.-I.; Matsumura, T.; Kaneda, Y.; Yorek, M.A.; Beebe, D.; Oates, P.J.; Hammes, H.-P.; et al. Normalizing mitochondrial superoxide production blocks three pathways of hyperglycaemic damage. Nature 2000, 404, 787–790. [Google Scholar] [CrossRef] [PubMed]
- Ceriello, A.; Ihnat, M.A.; Thorpe, J.E. Clinical review 2: The “metabolic memory”: Is more than just tight glucose control necessary to prevent diabetic complications? J. Clin. Endocrinol. Metab. 2009, 94, 410–415. [Google Scholar] [CrossRef] [PubMed]
- Goldin, A.; Beckman, J.A.; Schmidt, A.M.; Creager, M.A. Advanced glycation end products: Sparking the development of diabetic vascular injury. Circulation 2006, 114, 597–605. [Google Scholar] [CrossRef] [PubMed]
- Reddy, M.A.; Zhang, E.; Natarajan, R. Epigenetic mechanisms in diabetic complications and metabolic memory. Diabetologia 2015, 58, 443–455. [Google Scholar] [CrossRef] [PubMed]
- Pirola, L.; Balcerczyk, A.; Okabe, J.; El-Osta, A. Epigenetic phenomena linked to diabetic complications. Nat. Rev. Endocrinol. 2010, 6, 665–675. [Google Scholar] [CrossRef] [PubMed]
- Wegner, M.; Neddermann, D.; Piorunska-Stolzmann, M.; Jagodzinski, P.P. Role of epigenetic mechanisms in the development of chronic complications of diabetes. Diabetes Res. Clin. Pract. 2014, 105, 164–175. [Google Scholar] [CrossRef] [PubMed]
- Brasacchio, D.; Okabe, J.; Tikellis, C.; Balcerczyk, A.; George, P.; Baker, E.K.; Calkin, A.C.; Brownlee, M.; Cooper, M.E.; El-Osta, A. Hyperglycemia Induces a Dynamic Cooperativity of Histone Methylase and Demethylase Enzymes Associated with Gene-Activating Epigenetic Marks That Coexist on the Lysine Tail. Diabetes 2009, 58, 1229–1236. [Google Scholar] [CrossRef] [PubMed]
- Miao, F.; Gonzalo, I.G.; Lanting, L.; Natarajan, R. In VivoChromatin Remodeling Events Leading to Inflammatory Gene Transcription under Diabetic Conditions. J. Biol. Chem. 2004, 279, 18091–18097. [Google Scholar] [CrossRef]
- Al-Haddad, R.; Karnib, N.; Assaad, R.A.; Bilen, Y.; Emmanuel, N.; Ghanem, A.; Younes, J.; Zibara, V.; Stephan, J.S.; Sleiman, S.F. Epigenetic changes in diabetes. Neurosci. Lett. 2016, 625, 64–69. [Google Scholar] [CrossRef]
- Greene, T. Randomized and Observational Studies in Nephrology: How Strong Is the Evidence? Am. J. Kidney Dis. 2009, 53, 377–388. [Google Scholar] [CrossRef] [PubMed]
- Ehdaie, B.; Kluth, L.A.; Gild, P. Effect of obesity on bladder cancer and renal cell carcinoma incidence and survival. Curr. Opin. Urol. 2017, 27, 409–414. [Google Scholar]




| Combination of Components | No. of Patients | Events | Duration (Person-Year) | IR | HR (95% CI) | |||||
|---|---|---|---|---|---|---|---|---|---|---|
| ↑WC | ↑BP | ↑Glu | ↑TG | ↓HDL | Model 1 | Model 2 | ||||
| - | - | - | - | - | 2,004,634 | 882 | 11,999,208 | 0.1 | 1 (ref.) | 1 (ref.) |
| + | - | - | - | - | 149,029 | 134 | 891,292 | 0.2 | 1.626 (1.356, 1.95) | 1.305 (1.083, 1.573) |
| - | + | - | - | - | 773,460 | 798 | 4,634,552 | 0.2 | 1.477 (1.34, 1.628) | 1.401 (1.271, 1.545) |
| - | - | + | - | - | 425,976 | 297 | 2,541,016 | 0.1 | 1.139 (0.998, 1.3) | 1.103 (0.966, 1.258) |
| - | - | - | + | - | 325,136 | 189 | 1,966,854 | 0.1 | 1.017 (0.869, 1.19) | 0.951 (0.812, 1.114) |
| - | - | - | - | + | 281,701 | 147 | 1,677,871 | 0.1 | 1.306 (1.096, 1.556) | 1.26 (1.057, 1.501) |
| + | + | - | - | - | 170,219 | 300 | 1,015,406 | 0.3 | 2.339 (2.049, 2.671) | 1.82 (1.58, 2.096) |
| + | - | + | - | - | 61,976 | 63 | 367,964 | 0.2 | 1.47 (1.138, 1.899) | 1.164 (0.898, 1.51) |
| + | - | - | + | - | 74657 | 61 | 449,502 | 0.1 | 1.419 (1.094, 1.839) | 1.11 (0.852, 1.445) |
| + | - | - | - | + | 38,079 | 28 | 226,804 | 0.1 | 1.465 (1.006, 2.135) | 1.155 (0.791, 1.688) |
| - | + | + | - | - | 384,905 | 518 | 2,283,741 | 0.2 | 1.545 (1.382, 1.727) | 1.443 (1.29, 1.614) |
| - | + | - | + | - | 256,457 | 259 | 1,548,799 | 0.2 | 1.404 (1.221, 1.614) | 1.275 (1.108, 1.468) |
| - | + | - | - | + | 119,524 | 147 | 710,634 | 0.2 | 1.9 (1.593, 2.266) | 1.74 (1.458, 2.077) |
| - | - | + | + | - | 142,295 | 105 | 853,799 | 0.1 | 1.091 (0.891, 1.336) | 1.002 (0.818, 1.228) |
| - | - | + | - | + | 63,570 | 47 | 376,141 | 0.1 | 1.38 (1.029, 1.851) | 1.291 (0.962, 1.732) |
| - | - | - | + | + | 260,763 | 177 | 1,563,409 | 0.1 | 1.165 (0.991, 1.369) | 1.076 (0.915, 1.266) |
| + | + | + | - | - | 134,501 | 260 | 794,356 | 0.3 | 2.143 (1.861, 2.467) | 1.65 (1.421, 1.917) |
| + | + | - | + | - | 112,618 | 161 | 676,676 | 0.2 | 2.01 (1.698, 2.379) | 1.531 (1.283, 1.827) |
| + | + | - | - | + | 44,562 | 83 | 265,050 | 0.3 | 2.661 (2.122, 3.338) | 2.034 (1.612, 2.565) |
| + | - | + | + | - | 47,450 | 54 | 283,290 | 0.2 | 1.662 (1.262, 2.188) | 1.288 (0.974, 1.703) |
| + | - | + | - | + | 16,061 | 17 | 94,825 | 0.2 | 1.733 (1.072, 2.801) | 1.343 (0.829, 2.177) |
| + | - | - | + | + | 67,816 | 78 | 406,884 | 0.2 | 1.856 (1.472, 2.34) | 1.443 (1.139, 1.828) |
| - | + | + | + | - | 203,258 | 302 | 1,213,205 | 0.2 | 1.775 (1.555, 2.026) | 1.597 (1.397, 1.826) |
| - | + | + | - | + | 63,859 | 123 | 374,632 | 0.3 | 2.435 (2.012, 2.947) | 2.204 (1.82, 2.67) |
| - | + | - | + | + | 311,316 | 456 | 1,857,688 | 0.2 | 1.886 (1.68, 2.117) | 1.692 (1.505, 1.902) |
| - | - | + | + | + | 142,669 | 153 | 849,343 | 0.2 | 1.54 (1.296, 1.83) | 1.404 (1.181, 1.67) |
| + | + | + | + | - | 122,496 | 234 | 727,740 | 0.3 | 2.306 (1.993, 2.667) | 1.749 (1.497, 2.043) |
| + | + | + | - | + | 37,517 | 68 | 220,440 | 0.3 | 2.22 (1.731, 2.846) | 1.675 (1.299, 2.161) |
| + | + | - | + | + | 164,708 | 302 | 982,987 | 0.3 | 2.32 (2.031, 2.649) | 1.756 (1.522, 2.026) |
| + | - | + | + | + | 56,178 | 72 | 334,718 | 0.2 | 1.785 (1.403, 2.272) | 1.377 (1.077, 1.761) |
| - | + | + | + | + | 313,617 | 588 | 1,853,865 | 0.3 | 2.129 (1.912, 2.371) | 1.896 (1.699, 2.115) |
| + | + | + | + | + | 242,858 | 561 | 1,435,002 | 0.4 | 2.656 (2.381, 2.962) | 1.991 (1.761, 2.25) |
© 2019 by the authors. Licensee MDPI, Basel, Switzerland. This article is an open access article distributed under the terms and conditions of the Creative Commons Attribution (CC BY) license (http://creativecommons.org/licenses/by/4.0/).
Share and Cite
Oh, T.R.; Han, K.-D.; Choi, H.S.; Kim, C.S.; Bae, E.H.; Ma, S.K.; Kim, S.W. Metabolic Syndrome Resolved within Two Years is Still a Risk Factor for Kidney Cancer. J. Clin. Med. 2019, 8, 1329. https://doi.org/10.3390/jcm8091329
Oh TR, Han K-D, Choi HS, Kim CS, Bae EH, Ma SK, Kim SW. Metabolic Syndrome Resolved within Two Years is Still a Risk Factor for Kidney Cancer. Journal of Clinical Medicine. 2019; 8(9):1329. https://doi.org/10.3390/jcm8091329
Chicago/Turabian StyleOh, Tae Ryom, Kyung-Do Han, Hong Sang Choi, Chang Seong Kim, Eun Hui Bae, Seong Kwon Ma, and Soo Wan Kim. 2019. "Metabolic Syndrome Resolved within Two Years is Still a Risk Factor for Kidney Cancer" Journal of Clinical Medicine 8, no. 9: 1329. https://doi.org/10.3390/jcm8091329
APA StyleOh, T. R., Han, K.-D., Choi, H. S., Kim, C. S., Bae, E. H., Ma, S. K., & Kim, S. W. (2019). Metabolic Syndrome Resolved within Two Years is Still a Risk Factor for Kidney Cancer. Journal of Clinical Medicine, 8(9), 1329. https://doi.org/10.3390/jcm8091329

