Predicting One-Year Mortality after Discharge Using Acute Heart Failure Score (AHFS)
Abstract
1. Introduction
2. Material and Methods
Statistical Analysis
3. Results
3.1. Study Population and Baseline Characteristics
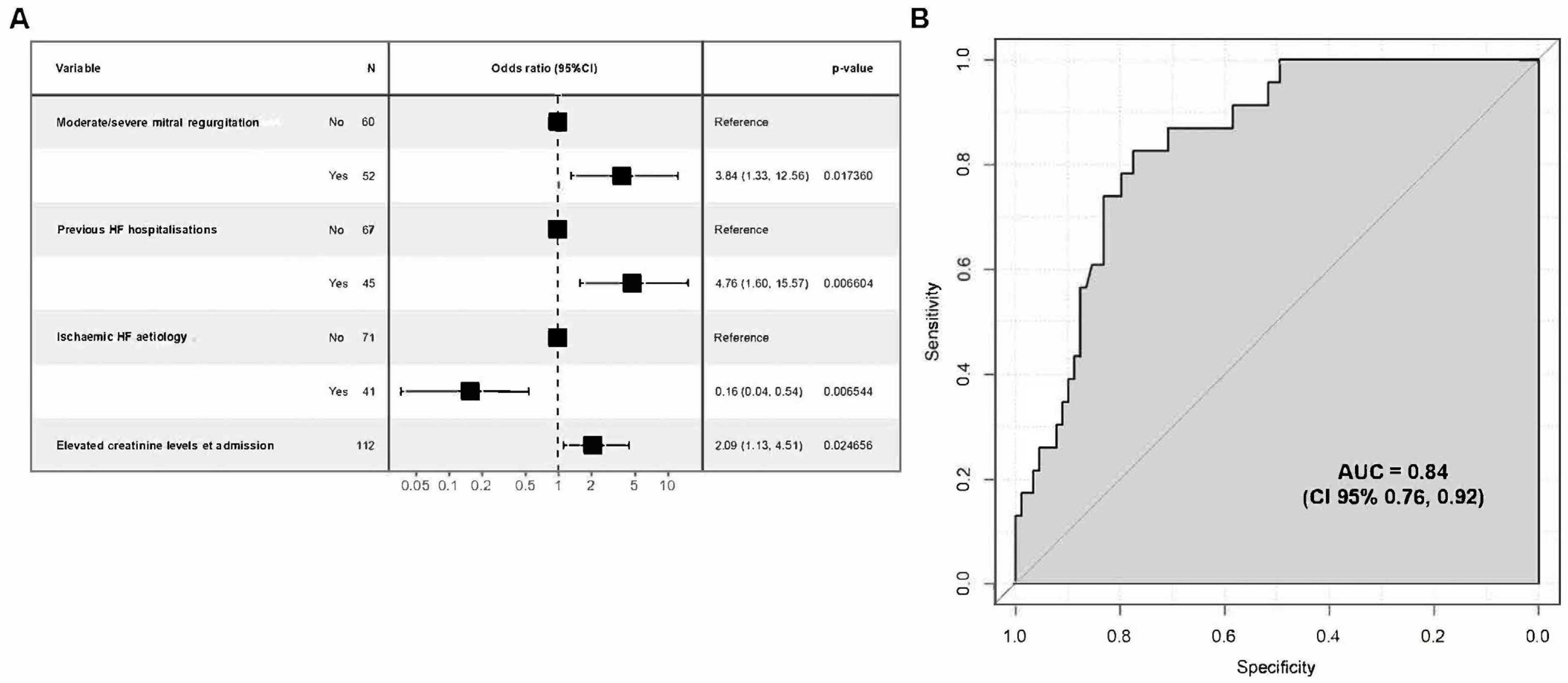
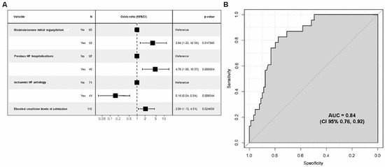
3.2. One-Year Mortality Analysis
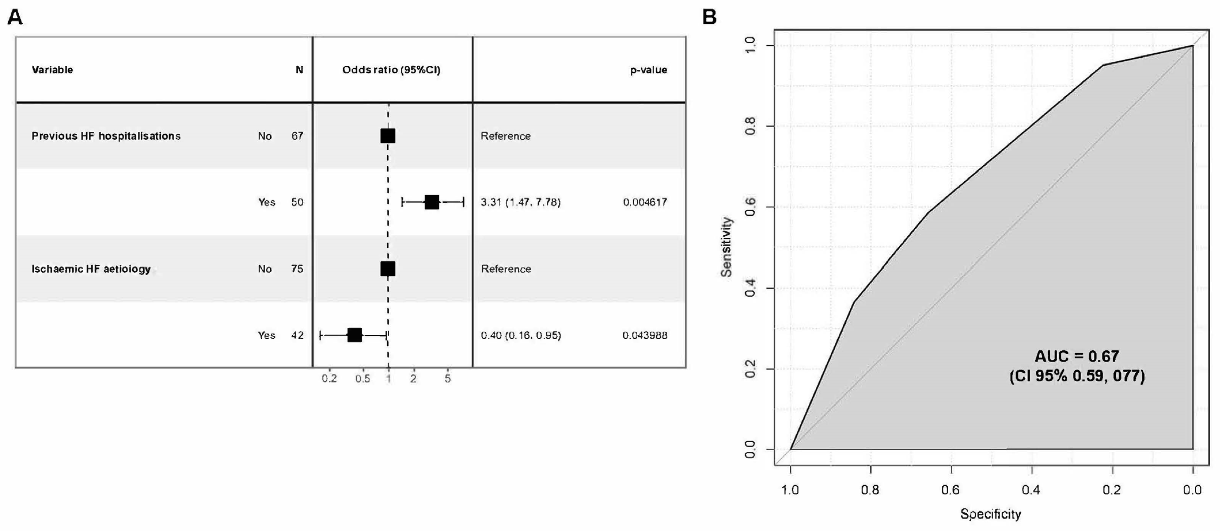
3.3. One-Year Mortality and/or Rehospitalisation Combined Event Risk Score and Validation
4. Study Limitations
5. Discussion
6. Conclusions
Supplementary Materials
Author Contributions
Funding
Institutional Review Board Statement
Informed Consent Statement
Data Availability Statement
Acknowledgments
Conflicts of Interest
References
- Savarese, G.; Becher, P.M.; Lund, L.H.; Seferovic, P.; Rosano, G.M.C.; Coats, A.J.S. Global burden of heart failure: A comprehensive and updated review of epidemiology. Cardiovasc. Res. 2023, 118, 3272–3287. [Google Scholar] [CrossRef] [PubMed]
- Mosterd, A.; Hoes, A.W. Clinical epidemiology of heart failure. Heart 2007, 93, 1137–1146. [Google Scholar] [CrossRef] [PubMed]
- Bozkurt, B.; Coats, A.J.S.; Tsutsui, H.; Abdelhamid, C.M.; Adamopoulos, S.; Albert, N.; Anker, S.D.; Atherton, J.; Böhm, M.; Butler, J.; et al. Universal definition and classification of heart failure: A report of the Heart Failure Society of America, Heart Failure Association of the European Society of Cardiology, Japanese Heart Failure Society and Writing Committee of the Universal Definition of Heart Failure: Endorsed by the Canadian Heart Failure Society, Heart Failure Association of India, Cardiac Society of Australia and New Zealand, and Chinese Heart Failure Association. Eur. J. Heart Fail. 2021, 23, 352–380. [Google Scholar] [PubMed]
- Ponikowski, P.; Voors, A.A.; Anker, S.D.; Bueno, H.; Cleland, J.G.F.; Coats, A.J.S.; Falk, V.; González-Juanatey, J.R.; Harjola, V.P.; Jankowska, E.A.; et al. ESC Scientific Document Group. 2016 ESC Guidelines for the diagnosis and treatment of acute and chronic heart failure: The Task Force for the diagnosis and treatment of acute and chronic heart failure of the European Society of Cardiology (ESC)Developed with the special contribution of the Heart Failure Association (HFA) of the ESC. Eur Heart J. 2016, 37, 2129–2200. [Google Scholar] [PubMed]
- McDonagh, T.A.; Metra, M.; Adamo, M.; Gardner, R.S.; Baumbach, A.; Böhm, M.; Burri, H.; Butler, J.; Čelutkienė, J.; Chioncel, O.; et al. ESC Scientific Document Group. 2021 ESC Guidelines for the diagnosis and treatment of acute and chronic heart failure. Eur. Heart J. 2021, 42, 3599–3726. [Google Scholar] [CrossRef]
- Nieminen, M.S.; Böhm, M.; Cowie, M.R.; Drexler, H.; Filippatos, G.S.; Jondeau, G.; Hasin, Y.; Lopez-Sendon, J.; Mebazaa, A.; Metra, M.; et al. Executive summary of the guidelines on the diagnosis and treatment of acute heart failure: The Task Force on Acute Heart Failure of the European Society of Cardiology. Eur. Heart J. 2005, 26, 384–416. [Google Scholar]
- Njoroge, J.N.; Teerlink, J.R. Pathophysiology and Therapeutic Approaches to Acute Decompensated Heart Failure. Circ. Res. 2021, 128, 1468–1486. [Google Scholar] [CrossRef] [PubMed]
- Adams, K.F., Jr.; Fonarow, G.C.; Emerman, C.L.; LeJemtel, T.H.; Costanzo, M.R.; Abraham, W.T.; Berkowitz, R.L.; Galvao, M.; Horton, D.P.; ADHERE Scientific Advisory Committee and Investigators. Characteristics and outcomes of patients hospitalized for heart failure in the United States: Rationale, design, and preliminary observations from the first 100,000 cases in the Acute Decompensated Heart Failure National Registry (ADHERE). Am. Heart J. 2005, 149, 209–216. [Google Scholar] [CrossRef] [PubMed]
- Arrigo, M.; Jessup, M.; Mullens, W.; Reza, N.; Shah, A.M.; Sliwa, K.; Mebazaa, A. Acute heart failure. Nat. Rev. Dis. Primers 2020, 6, 16. [Google Scholar] [CrossRef]
- Ambrosy, A.P.; Fonarow, G.C.; Butler, J.; Chioncel, O.; Greene, S.J.; Vaduganathan, M.; Nodari, S.; Lam, C.S.P.; Sato, N.; Shah, A.N.; et al. The global health and economic burden of hospitalizations for heart failure: Lessons learned from hospitalized heart failure registries. J. Am. Coll. Cardiol. 2014, 63, 1123–1133. [Google Scholar] [CrossRef]
- Zannad, F.; Mebazaa, A.; Juillière, Y.; Cohen-Solal, A.; Guize, L.; Alla, F.; Rougé, P.; Blin, P.; Barlet, M.H.; Paolozzi, L.; et al. Clinical profile, contemporary management and one-year mortality in patients with severe acute heart failure syndromes: The EFICA study. Eur. J. Heart Fail 2006, 8, 697–705. [Google Scholar] [CrossRef] [PubMed]
- Siirilä-Waris, K.; Lassus, J.; Melin, J.; Peuhkurinen, K.; Nieminen, M.S.; Harjola, V.P.; FINN-AKVA Study Group. Characteristics, outcomes, and predictors of 1-year mortality in patients hospitalized for acute heart failure. Eur. Heart J. 2006, 27, 3011–3017. [Google Scholar] [CrossRef] [PubMed]
- Teerlink, J.R.; Alburikan, K.; Metra, M.; Rodgers, J.E. Acute decompensated heart failure update. Curr. Cardiol. Rev. 2015, 11, 53–62. [Google Scholar] [CrossRef] [PubMed]
- Fonarow, G.C.; Adams, K.F., Jr.; Abraham, W.T.; Yancy, C.W.; Boscardin, W.J.; ADHERE Scientific Advisory Committee, Study Group, and Investigators. Risk stratification for in-hospital mortality in acutely decompensated heart failure: Classification and regression tree analysis. JAMA 2005, 293, 572–580. [Google Scholar] [CrossRef] [PubMed]
- Rahimi, K.; Bennett, D.; Conrad, N.; Williams, T.M.; Basu, J.; Dwight, J.; Woodward, M.; Patel, A.; McMurray, J.; MacMahon, S. Risk prediction in patients with heart failure: A systematic review and analysis. JACC Heart Fail. 2014, 2, 440–446. [Google Scholar] [CrossRef] [PubMed]
- Cameli, M.; Pastore, M.C.; De Carli, G.; Henein, M.Y.; Mandoli, G.E.; Lisi, E.; Cameli, P.; Lunghetti, S.; D’Ascenzi, F.; Nannelli, C.; et al. ACUTE HF score, a multiparametric prognostic tool for acute heart failure: A real-life study. Int. J. Cardiol. 2019, 296, 103–108. [Google Scholar] [CrossRef] [PubMed]
- Ketchum, E.S.; Levy, W.C. Establishing Prognosis in Heart Failure: A Multimarker Approach. Prog. Cardiovasc. Dis. 2011, 54, 86–96. [Google Scholar] [CrossRef]
- Rossello, X.; Bueno, H.; Gil, V.; Jacob, J.; Javier Martín-Sánchez, F.; Llorens, P.; Herrero Puente, P.; Alquézar-Arbé, A.; Raposeiras-Roubín, S.; López-Díez, M.P.; et al. MEESSI-AHF risk score performance to predict multiple post-index event and post-discharge short-term outcomes. Eur. Heart J. Acute Cardiovasc. Care. 2021, 10, 142–152. [Google Scholar] [CrossRef]
- Spinar, J.; Jarkovsky, J.; Spinarova, L.; Mebazaa, A.; Gayat, E.; Vitovec, J.; Linhart, A.; Widimsky, P.; Miklik, R.; Zeman, K.; et al. AHEAD score—Long-term risk classification in acute heart failure. Int. J. Cardiol. 2016, 202, 21–26. [Google Scholar] [CrossRef]
- Huet, F.; Nicoleau, J.; Dupuy, A.M.; Curinier, C.; Breuker, C.; Castet-Nicolas, A.; Lotierzo, M.; Kalmanovich, E.; Zerkowski, L.; Akodad, M.; et al. STADE-HF (sST2 As a help for management of HF): A pilot study. ESC Heart Fail. 2020, 7, 774–778. [Google Scholar] [CrossRef]
- Fonarow, G.C.; Abraham, W.T.; Albert, N.M.; Gattis, W.A.; Gheorghiade, M.; Greenberg, B.; O’Connor, C.M.; Yancy, C.W.; Young, J. Organized Program to Initiate Lifesaving Treatment in Hospitalized Patients with Heart Failure (OPTIMIZE-HF): Rationale and design. Am. Heart J. 2004, 148, 43–51. [Google Scholar] [CrossRef] [PubMed]
- Collins, S.P.; Pang, P.S. ACUTE Heart Failure Risk Stratification. Circulation 2019, 139, 1157–1161. [Google Scholar] [CrossRef] [PubMed]
- Bayes-Genis, A.; de Antonio, M.; Galán, A.; Sanz, H.; Urrutia, A.; Cabanes, R.; Cano, L.; González, B.; Díez, C.; Pascual, T.; et al. Combined use of high-sensitivity ST2 and NTproBNP to improve the prediction of death in heart failure. Eur. J. Heart Fail. 2012, 14, 32–38. [Google Scholar] [CrossRef] [PubMed]
- Riccardi, M.; Myhre, P.L.; Zelniker, T.A.; Metra, M.; Januzzi, J.L.; Inciardi, R.M. Soluble ST2 in Heart Failure: A Clinical Role beyond B-Type Natriuretic Peptide. J. Cardiovasc. Dev. Dis. 2023, 10, 468. [Google Scholar] [CrossRef] [PubMed]
- Setoguchi, S.; Stevenson, L.W.; Schneeweiss, S. Repeated hospitalizations predict mortality in the community population with heart failure. Am. Heart J. 2007, 154, 260–266. [Google Scholar] [CrossRef] [PubMed]
- Lorlowhakarn, K.; Arayakarnkul, S.; Trongtorsak, A.; Leesutipornchai, T.; Kewcharoen, J.; Sinphurmsukskul, S.; Siwamogsatham, S.; Puwanant, S.; Ariyachaipanich, A. Outcomes and predictors of one-year mortality in patients hospitalized with Acute Heart Failure. Int. J. Cardiol. Heart Vasc. 2022, 43, 101159. [Google Scholar] [CrossRef]
- Akita, K.; Kohno, T.; Kohsaka, S.; Shiraishi, Y.; Nagatomo, Y.; Goda, A.; Mizuno, A.; Sujino, Y.; Fukuda, K.; Yoshikawa, T.; et al. Prognostic Impact of Previous Hospitalization in Acute Heart Failure Patients. Circ. J. 2019, 83, 1261–1268. [Google Scholar] [CrossRef] [PubMed]
- Dabrowska, K.; Wojcicki, K.; Chruscicki, D.; Plonka, W.; Giet, M.; Borys, D.; Krzypkowska, M.; Pelc, M.; Klimek, M.; Malaka, E.; et al. Comparative analysis of ischemic and non-ischemic etiology of acute heart failure–analysis from the “OP-AHF” registry. Eur. Heart J. Acute Cardiovasc. Care 2023, 12 (Suppl. 1), zuad036.026. [Google Scholar]
- Vicent, L.; Guerra, J.; Vazquez-García, R.; Gonzalez-Juanatey, J.R.; Dolz, L.M.; Segovia, J.; Pascual-Figal, D.; Bover, R.; Worner, F.; Delgado, J.; et al. Ischemic Etiology and Prognosis in Men and Women with Acute Heart Failure. J. Clin. Med. 2021, 10, 1713. [Google Scholar] [CrossRef]
- Ruigómez, A.; Michel, A.; Martín-Pérez, M.; García Rodríguez, L.A. Heart failure hospitalization: An important prognostic factor for heart failure re-admission and mortality. Int. J. Cardiol. 2016, 220, 855–861. [Google Scholar] [CrossRef] [PubMed]
- Smith, G.L.; Vaccarino, V.; Kosiborod, M.; Lichtman, J.H.; Cheng, S.; Watnick, S.G.; Krumholz, H.M. Worsening renal function: What is a clinically meaningful change in creatinine during hospitalization with heart failure? J. Card. Fail. 2003, 9, 13–25. [Google Scholar] [CrossRef]
- O’Connor, C.M.; Abraham, W.T.; Albert, N.M.; Clare, R.; Gattis Stough, W.; Gheorghiade, M.; Greenberg, B.H.; Yancy, C.W.; Young, J.B.; Fonarow, G.C. Predictors of mortality after discharge in patients hospitalized with heart failure: An analysis from the Organized Program to Initiate Lifesaving Treatment in Hospitalized Patients with Heart Failure (OPTIMIZE-HF). Am. Heart J. 2008, 156, 662–673. [Google Scholar] [CrossRef] [PubMed]
- Okazaki, H.; Shirakabe, A.; Hata, N.; Yamamoto, M.; Kobayashi, N.; Shinada, T.; Tomita, K.; Tsurumi, M.; Matsushita, M.; Yamamoto, Y.; et al. New scoring system (APACHE-HF) for predicting adverse outcomes in patients with acute heart failure: Evaluation of the APACHE II and Modified APACHE II scoring systems. J. Cardiol. 2014, 64, 441–449. [Google Scholar] [CrossRef] [PubMed]
- Metra, M.; Nodari, S.; Parrinello, G.; Bordonali, T.; Bugatti, S.; Danesi, R.; Fontanella, B.; Lombardi, C.; Milani, P.; Verzura, G.; et al. Worsening renal function in patients hospitalised for acute heart failure: Clinical implications and prognostic significance. Eur. J. Heart Fail. 2008, 10, 188–195. [Google Scholar] [CrossRef] [PubMed]
- Maggioni, A.P.; Dahlström, U.; Filippatos, G.; Chioncel, O.; Crespo Leiro, M.; Drozdz, J.; Fruhwald, F.; Gullestad, L.; Logeart, D.; Fabbri, G.; et al. EURObservational Research Programme: Regional differences and 1-year follow-up results of the Heart Failure Pilot Survey (ESC-HF Pilot). Eur. J. Heart Fail. 2013, 15, 808–817. [Google Scholar] [CrossRef] [PubMed]
- Palazzuoli, A.; Evangelista, I.; Nuti, R. Congestion occurrence and evaluation in acute heart failure scenario: Time to reconsider different pathways of volume overload. Heart Fail. Rev. 2020, 25, 119–131. [Google Scholar] [CrossRef] [PubMed]
- Kristjánsdóttir, I.; Thorvaldsen, T.; Lund, L.H. Congestion and Diuretic Resistance in Acute or Worsening Heart Failure. Card. Fail. Rev. 2020, 6, e25. [Google Scholar] [CrossRef] [PubMed]
- Pagnesi, M.; Adamo, M.; Ter Maaten, J.M.; Beldhuis, I.E.; Cotter, G.; Davison, B.A.; Felker, G.M.; Filippatos, G.; Greenberg, B.H.; Pang, P.S.; et al. Impact of mitral regurgitation in patients with acute heart failure: Insights from the RELAX-AHF-2 trial. Eur. J. Heart Fail. 2023, 25, 541–552. [Google Scholar] [CrossRef] [PubMed]
- Vajapey, R.; Kwon, D. Guide to functional mitral regurgitation: A contemporary review. Cardiovasc. Diagn. Ther. 2021, 11, 781–792. [Google Scholar] [CrossRef]
- Kajimoto, K.; Sato, N.; Takano, T. Functional mitral regurgitation at discharge and outcomes in patients hospitalized for acute decompensated heart failure with a preserved or reduced ejection fraction. Eur. J. Heart Fail. 2016, 18, 1051–1059. [Google Scholar] [CrossRef]
- Kataria, R.; Castagna, F.; Madan, S.; Kim, P.; Saeed, O.; Adjepong, Y.A.; Melainis, A.A.; Taub, C.; Garcia, M.J.; Latib, A.; et al. Severity of Functional Mitral Regurgitation on Admission for Acute Decompensated Heart Failure Predicts Long-Term Risk of Rehospitalization and Death. J. Am. Heart Assoc. 2022, 11, e022908. [Google Scholar] [CrossRef]
- Postmus, D.; van Veldhuisen, D.J.; Jaarsma, T.; Luttik, M.L.; Lassus, J.; Mebazaa, A.; Nieminen, M.S.; Harjola, V.P.; Lewsey, J.; Buskens, E.; et al. The COACH risk engine: A multistate model for predicting survival and hospitalization in patients with heart failure. Eur. J. Heart Fail. 2012, 14, 168–175. [Google Scholar] [CrossRef] [PubMed]




| Variable | n | Total Population | n | Deceased Patients | n | Alive Patients | p | 
|---|---|---|---|---|---|---|---|
| Age (years), median (Q1; Q3) | 117 | 78.00 (66.00; 84.00) | 23 | 83.00 (72.00; 87.00) | 94 | 75.50 (65.00; 84.00) | 0.0485 | 
| Sex, n (%) | 117 | 23 | 94 | 0.2493 | |||
| Female | 48 (41.03) | 7 (30.43) | 41 (43.62) | ||||
| Male | 69 (58.97) | 16 (69.57) | 53 (56.38) | ||||
| BMI (kg/m2), median (Q1; Q3) | 111 | 27.18 (23.59; 30.86) | 22 | 27.51 (24.26; 29.96) | 89 | 27.18 (23.43; 30.86) | 0.6977 | 
| Non-ischaemic aetiology of HF, (%) | 117 | 75 (64.10) | 23 | 19 (82.61) | 94 | 56 (59.57) | 0.0390 | 
| Soluble suppression of tumourigenicity 2 (sST2) (ng/mL), median (Q1; Q3) | 117 | 95.50 (51.40; 222.00) | 23 | 184.00 (112.00; 251.00) | 94 | 80.65 (50.90; 194.00) | 0.0055 | 
| N-terminus pro-brain natriuretic peptide (NT-proBNP) (pg/mL), median (Q1; Q3) | 117 | 4004.00 (2310; 7788) | 23 | 7217.00 (4418; 21,694) | 94 | 3739.00 (2099; 6945) | 0.0036 | 
| Serum creatinine (µmol/L), median (Q1; Q3) | 117 | 108.00 (89.00; 141.00) | 23 | 127.00 (108.00; 180.00) | 94 | 105.50 (86.00; 135.00) | 0.0132 | 
| Haemoglobin (g/dL), median (Q1; Q3) | 116 | 12.55 (11.00; 14.20) | 23 | 12.00 (10.70; 13.10) | 93 | 12.60 (11.00; 14.40) | 0.1383 | 
| LVEF (%), n (%) | 112 | 44.00 (30.00; 51.00) | 23 | 40.00 (28.00; 52.00) | 89 | 45.00 (30.00; 50.00) | 0.7831 | 
| Glomerular filtration rate (GFR) (mL/min/1.73 m2), median (Q1; Q3) | 117 | 54.00 (38.00; 67.00) | 23 | 43.00 (28.00; 57.00) | 94 | 55.00 (41.00; 71.00) | 0.0249 | 
| Valvular heart disease (VHD), n (%) | 112 | 86 (76.79) | 23 | 20 (86.96) | 89 | 66 (74.16) | 0.1950 | 
| Moderate–severe mitral regurgitation, n (%) | 112 | 52 (46.43) | 23 | 16 (69.57) | 89 | 36 (40.45) | 0.0126 | 
| Previous HF hospitalisation, n (%) | 117 | 50 (42.74) | 23 | 14 (60.87) | 94 | 36 (38.30) | 0.0498 | 
| Variable | n | Alive or No Rehospitalisation during First Year | n | Death or Rehospitalisation during First Year | p | 
|---|---|---|---|---|---|
| Age (years), median (Q1; Q3) | 76 | 74.00 (65.50; 83.50) | 41 | 80.00 (72.00; 87.00) | 0.0624 | 
| Sex, n (%) | 76 | 41 | 0.4733 | ||
| Female | 33 (43.42) | 15 (36.59) | |||
| Male | 43 (56.58) | 26 (63.41) | |||
| BMI (kg/m2), median (Q1; Q3) | 73 | 27.26 (23.67; 31.02) | 38 | 27.11 (23.59; 29.70) | 0.6060 | 
| Non-ischaemic aetiology of HF | 76 | 45 (59.21) | 41 | 30 (73.17) | 0.1331 | 
| Soluble suppression of tumourigenicity 2 (sST2) (ng/mL), median (Q1; Q3) | 76 | 88.10 (50.95; 203.50) | 41 | 117.00 (57.00; 250.00) | 0.1772 | 
| (N-terminus pro-brain natriuretic peptide) NT-proBNP (pg/mL), median (Q1; Q3) | 76 | 3585.00 (2100.00; 7050.00) | 41 | 5733.00 (3032.00; 11,347.00) | 0.0423 | 
| Serum creatinine (µmol/L), median (Q1; Q3) | 76 | 105.50 (89.00; 140.00) | 41 | 113.00 (94.00; 147.00) | 0.3930 | 
| Haemoglobin (Hb) (g/dL), median (Q1; Q3) | 76 | 12.60 (11.00; 14.65) | 40 | 12.25 (11.05; 13.65) | 0.3511 | 
| Glomerular filtration rate (GFR) (mL/min/1.73 m2), median (Q1; Q3) | 76 | 54.00 (39.50; 70.00) | 41 | 47.00 (30.00; 65.00) | 0.6093 | 
| LVEF (%) median (Q1; Q3) | 71 | 43.00 (30.00; 50.00) | 41 | 45.00 (32.00; 60.00) | 0.5079 | 
| Valvular heart disease, n (%) | 71 | 52 (73.24) | 41 | 34 (82.93) | 0.2421 | 
| Moderate–severe mitral regurgitation, n (%) | 71 | 28 (39.44) | 41 | 24 (58.54) | 0.0509 | 
| Previous HF hospitalisation, n (%) | 76 | 26 (34.21) | 41 | 24 (58.54) | 0.0112 | 
| Disclaimer/Publisher’s Note: The statements, opinions and data contained in all publications are solely those of the individual author(s) and contributor(s) and not of MDPI and/or the editor(s). MDPI and/or the editor(s) disclaim responsibility for any injury to people or property resulting from any ideas, methods, instructions or products referred to in the content. | 
© 2024 by the authors. Licensee MDPI, Basel, Switzerland. This article is an open access article distributed under the terms and conditions of the Creative Commons Attribution (CC BY) license (https://creativecommons.org/licenses/by/4.0/).
Share and Cite
Magaldi, M.; Nogue, E.; Molinari, N.; De Luca, N.; Dupuy, A.-M.; Leclercq, F.; Pasquie, J.-L.; Roubille, C.; Mercier, G.; Cristol, J.-P.; et al. Predicting One-Year Mortality after Discharge Using Acute Heart Failure Score (AHFS). J. Clin. Med. 2024, 13, 2018. https://doi.org/10.3390/jcm13072018
Magaldi M, Nogue E, Molinari N, De Luca N, Dupuy A-M, Leclercq F, Pasquie J-L, Roubille C, Mercier G, Cristol J-P, et al. Predicting One-Year Mortality after Discharge Using Acute Heart Failure Score (AHFS). Journal of Clinical Medicine. 2024; 13(7):2018. https://doi.org/10.3390/jcm13072018
Chicago/Turabian StyleMagaldi, Mariarosaria, Erika Nogue, Nicolas Molinari, Nicola De Luca, Anne-Marie Dupuy, Florence Leclercq, Jean-Luc Pasquie, Camille Roubille, Grégoire Mercier, Jean-Paul Cristol, and et al. 2024. "Predicting One-Year Mortality after Discharge Using Acute Heart Failure Score (AHFS)" Journal of Clinical Medicine 13, no. 7: 2018. https://doi.org/10.3390/jcm13072018
APA StyleMagaldi, M., Nogue, E., Molinari, N., De Luca, N., Dupuy, A.-M., Leclercq, F., Pasquie, J.-L., Roubille, C., Mercier, G., Cristol, J.-P., & Roubille, F. (2024). Predicting One-Year Mortality after Discharge Using Acute Heart Failure Score (AHFS). Journal of Clinical Medicine, 13(7), 2018. https://doi.org/10.3390/jcm13072018
 
        



 
       