Effects of Iron, Copper, Zinc, and Magnesium on Chronic Widespread Pain: A Two-Sample Mendelian Randomization
Abstract
1. Introduction
2. Methods
2.1. Data Source
2.2. Genetic Instrument Selection
2.3. Statistical Analysis
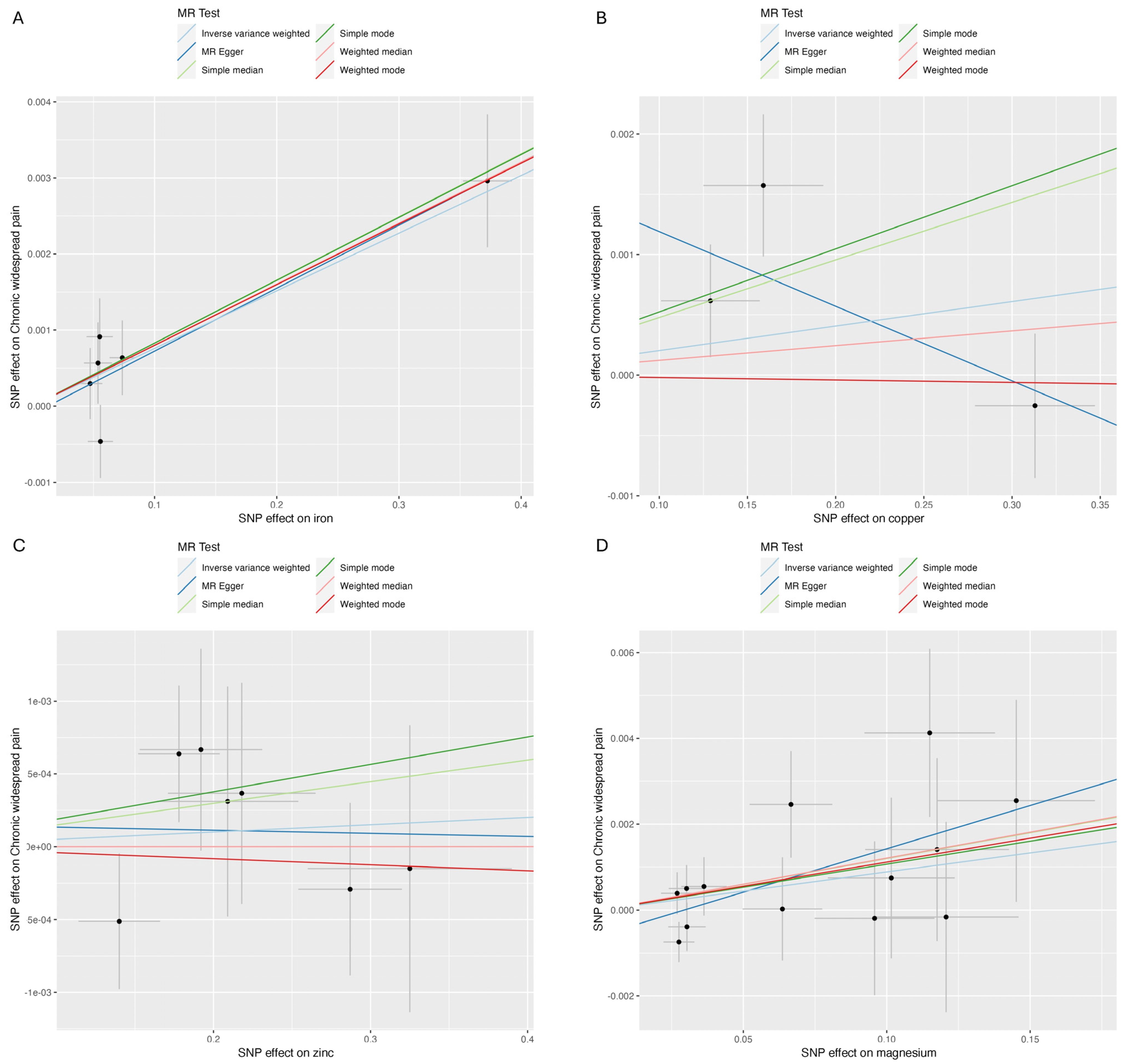
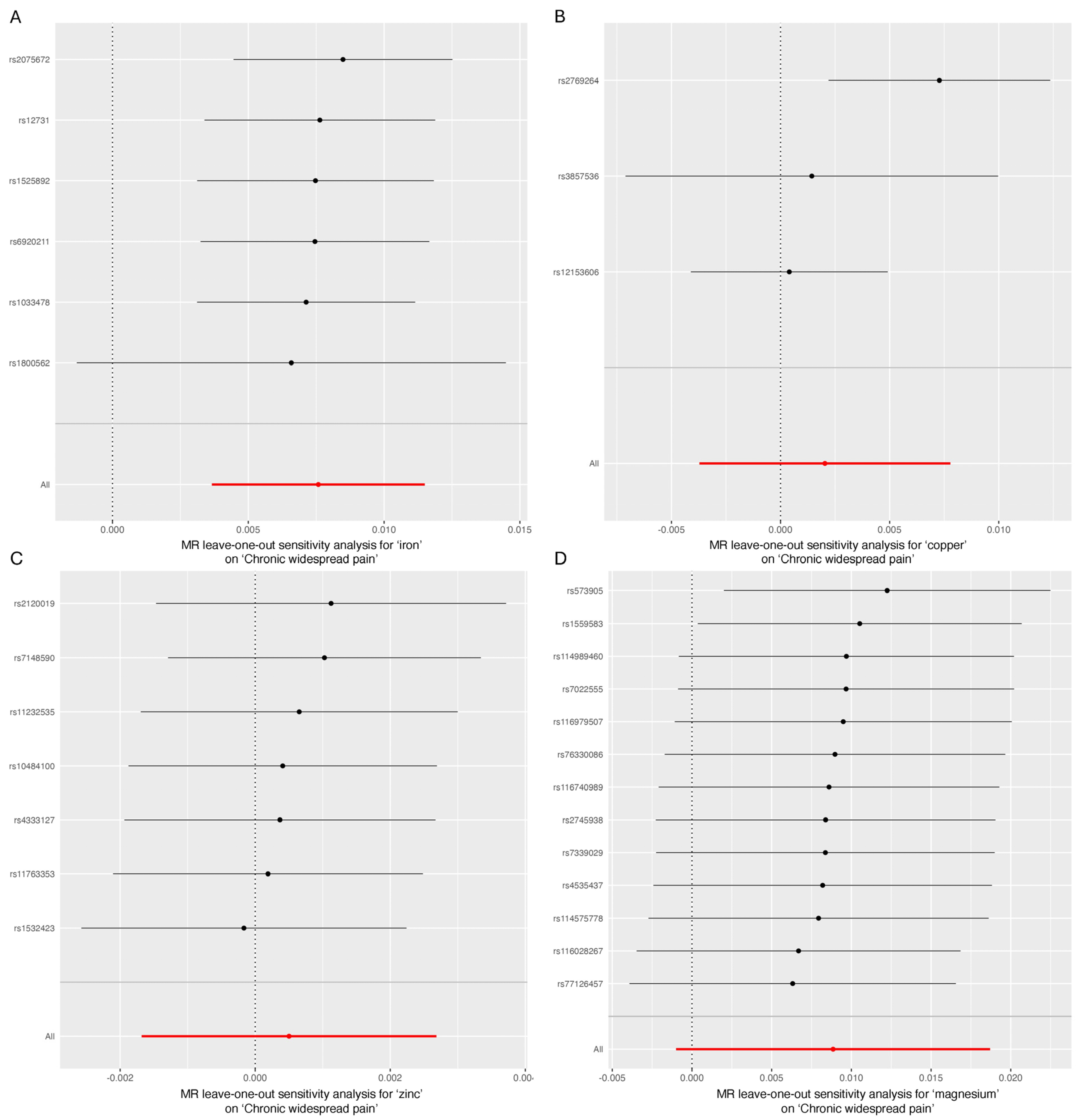
3. Results
3.1. Genetic Instrument Selection
3.2. MR Analysis
4. Discussion
5. Conclusions
Supplementary Materials
Author Contributions
Funding
Institutional Review Board Statement
Informed Consent Statement
Data Availability Statement
Acknowledgments
Conflicts of Interest
References
- Mills, S.E.E.; Nicolson, K.P.; Smith, B.H. Chronic pain: A review of its epidemiology and associated factors in population-based studies. Br. J. Anaesth. 2019, 123, e273–e283. [Google Scholar] [CrossRef] [PubMed]
- Sarzi-Puttini, P.; Giorgi, V.; Marotto, D.; Atzeni, F. Fibromyalgia: An update on clinical characteristics, aetiopathogenesis and treatment. Nat. Rev. Rheumatol. 2020, 16, 645–660. [Google Scholar] [CrossRef]
- Siracusa, R.; Paola, R.D.; Cuzzocrea, S.; Impellizzeri, D. Fibromyalgia: Pathogenesis, Mechanisms, Diagnosis and Treatment Options Update. Int. J. Mol. Sci. 2021, 22, 3891. [Google Scholar] [CrossRef] [PubMed]
- Collins, J.F. Copper nutrition and biochemistry and human (patho)physiology. Adv. Food Nutr. Res. 2021, 96, 311–364. [Google Scholar] [PubMed]
- Aliev, G.; Li, Y.; Chubarev, V.N.; Lebedeva, S.A.; Parshina, L.N.; Trofimov, B.A.; Sologova, S.S.; Makhmutova, A.; Avila-Rodriguez, M.F.; Klochkov, S.G.; et al. Application of Acyzol in the Context of Zinc Deficiency and Perspectives. Int. J. Mol. Sci. 2019, 20, 2104. [Google Scholar] [CrossRef]
- Aal-Hamad, A.H.; Al-Alawi, A.M.; Kashoub, M.S.; Falhammar, H. Hypermagnesemia in Clinical Practice. Medicina 2023, 59, 1190. [Google Scholar] [CrossRef]
- Bautista, A.; Lee, J.; Delfino, S.; LaPreze, D.; Abd-Elsayed, A. The Impact of Nutrition on Pain: A Narrative Review of Recent Literature. Curr. Pain Headache Rep. 2024, 28, 1059–1066. [Google Scholar] [CrossRef]
- Elma, Ö.; Yilmaz, S.T.; Deliens, T.; Coppieters, I.; Clarys, P.; Nijs, J.; Malfliet, A. Do Nutritional Factors Interact with Chronic Musculoskeletal Pain? A Systematic Review. J. Clin. Med. 2020, 9, 702. [Google Scholar] [CrossRef]
- Domitrz, I.; Cegielska, J. Magnesium as an Important Factor in the Pathogenesis and Treatment of Migraine-From Theory to Practice. Nutrients 2022, 14, 1089. [Google Scholar] [CrossRef]
- Ma, Y.; Zhang, X.; Fan, D.; Xia, Q.; Wang, M.; Pan, F. Common trace metals in rheumatoid arthritis: A systematic review and meta-analysis. J. Trace Elem. Med. Biol. 2019, 56, 81–89. [Google Scholar] [CrossRef]
- Davies, N.M.; Holmes, M.V.; Davey Smith, G. Reading Mendelian randomisation studies: A guide, glossary, and checklist for clinicians. bmj 2018, 362, k601. [Google Scholar] [CrossRef] [PubMed]
- Ko, D.S.; Kim, Y.H. Mendelian Randomization Studies in Atherosclerotic Cardiovascular Diseases. J. Lipid Atheroscler. 2024, 13, 281–290. [Google Scholar] [CrossRef] [PubMed]
- Zeitoun, T.; El-Sohemy, A. Using Mendelian Randomization to Study the Role of Iron in Health and Disease. Int. J. Mol. Sci. 2023, 24, 13458. [Google Scholar] [CrossRef] [PubMed]
- Benyamin, B.; Esko, T.; Ried, J.S.; Radhakrishnan, A.; Vermeulen, S.H.; Traglia, M.; Gögele, M.; Anderson, D.; Broer, L.; Podmore, C.; et al. Novel loci affecting iron homeostasis and their effects in individuals at risk for hemochromatosis. Nat. Commun. 2014, 5, 4926. [Google Scholar] [CrossRef] [PubMed]
- Evans, D.M.; Zhu, G.; Dy, V.; Heath, A.C.; Madden, P.A.; Kemp, J.P.; McMahon, G.; St Pourcain, B.; Timpson, N.J.; Golding, J.; et al. Genome-wide association study identifies loci affecting blood copper, selenium and zinc. Hum. Mol. Genet. 2013, 22, 3998–4006. [Google Scholar] [CrossRef]
- Rahman, M.S.; Winsvold, B.S.; Chavez Chavez, S.O.; Børte, S.; Tsepilov, Y.A.; Sharapov, S.Z.; Aulchenko, Y.S.; Hagen, K.; Fors, E.A.; Hveem, K.; et al. Genome-wide association study identifies RNF123 locus as associated with chronic widespread musculoskeletal pain. Ann. Rheum. Dis. 2021, 80, 1227–1235. [Google Scholar] [CrossRef]
- Ni, J.J.; Xu, Q.; Yan, S.S.; Han, B.X.; Zhang, H.; Wei, X.T.; Feng, G.J.; Zhao, M.; Pei, Y.F.; Zhang, L. Gut Microbiota and Psychiatric Disorders: A Two-Sample Mendelian Randomization Study. Front. Microbiol. 2021, 12, 737197. [Google Scholar] [CrossRef]
- Dan, Y.L.; Wang, P.; Cheng, Z.; Wu, Q.; Wang, X.R.; Wang, D.G.; Pan, H.F. Circulating adiponectin levels and systemic lupus erythematosus: A two-sample Mendelian randomization study. Rheumatology 2021, 60, 940–946. [Google Scholar] [CrossRef]
- Mukamal, K.J.; Stampfer, M.J.; Rimm, E.B. Genetic instrumental variable analysis: Time to call mendelian randomization what it is. The example of alcohol and cardiovascular disease. Eur. J. Epidemiol. 2020, 35, 93–97. [Google Scholar] [CrossRef]
- Burgess, S.; Dudbridge, F.; Thompson, S.G. Combining information on multiple instrumental variables in Mendelian randomization: Comparison of allele score and summarized data methods. Stat. Med. 2016, 35, 1880–1906. [Google Scholar] [CrossRef]
- Chen, Y.; Shen, J.; Wu, Y.; Ni, M.; Deng, Y.; Sun, X.; Wang, X.; Zhang, T.; Pan, F.; Tang, Z. Tea consumption and risk of lower respiratory tract infections: A two-sample mendelian randomization study. Eur. J. Nutr. 2023, 62, 385–393. [Google Scholar] [CrossRef]
- Meisinger, C.; Linseisen, J.; Leitzmann, M.; Baurecht, H.; Baumeister, S.E. Association of physical activity and sedentary behavior with type 2 diabetes and glycemic traits: A two-sample Mendelian randomization study. BMJ Open Diabetes Res. Care 2020, 8, e001896. [Google Scholar] [CrossRef] [PubMed]
- Petrovská, N.; Prajzlerová, K.; Vencovský, J.; Šenolt, L.; Filková, M. The pre-clinical phase of rheumatoid arthritis: From risk factors to prevention of arthritis. Autoimmun. Rev. 2021, 20, 102797. [Google Scholar] [CrossRef] [PubMed]
- Burgess, S.; Davey Smith, G.; Davies, N.M.; Dudbridge, F.; Gill, D.; Glymour, M.M.; Hartwig, F.P.; Kutalik, Z.; Holmes, M.V.; Minelli, C.; et al. Guidelines for performing Mendelian randomization investigations: Update for summer 2023. Wellcome Open Res. 2019, 4, 186. [Google Scholar] [CrossRef] [PubMed]
- Cai, Y.; Zhang, G.; Liang, J.; Jing, Z.; Zhang, R.; Lv, L.; Dang, X. Causal Relationships Between Osteoarthritis and Senile Central Nerve System Dysfunction: A Bidirectional Two-Sample Mendelian Randomization Study. Front Aging Neurosci. 2021, 13, 793023. [Google Scholar] [CrossRef] [PubMed]
- Qu, Z.; Yang, F.; Hong, J.; Wang, W.; Li, S.; Jiang, G.; Yan, S. Causal relationship of serum nutritional factors with osteoarthritis: A Mendelian randomization study. Rheumatology 2021, 60, 2383–2390. [Google Scholar] [CrossRef]
- Bowden, J.; Davey Smith, G.; Haycock, P.C.; Burgess, S. Consistent Estimation in Mendelian Randomization with Some Invalid Instruments Using a Weighted Median Estimator. Genet. Epidemiol. 2016, 40, 304–314. [Google Scholar] [CrossRef]
- Hemani, G.; Zheng, J.; Elsworth, B.; Wade, K.H.; Haberland, V.; Baird, D.; Laurin, C.; Burgess, S.; Bowden, J.; Langdon, R.; et al. The MR-Base platform supports systematic causal inference across the human phenome. Elife 2018, 7, e34408. [Google Scholar] [CrossRef]
- Yang, M.; Wan, X.; Zheng, H.; Xu, K.; Xie, J.; Yu, H.; Wang, J.; Xu, P. No Evidence of a Genetic Causal Relationship between Ankylosing Spondylitis and Gut Microbiota: A Two-Sample Mendelian Randomization Study. Nutrients 2023, 15, 1057. [Google Scholar] [CrossRef]
- Huang, G.; Zhong, Y.; Li, W.; Liao, W.; Wu, P. Causal Relationship Between Parathyroid Hormone and the Risk of Osteoarthritis: A Mendelian Randomization Study. Front. Genet. 2021, 12, 686939. [Google Scholar] [CrossRef]
- Yoo, J.J.; Hayes, M.; Serafin, E.K.; Baccei, M.L. Early-Life Iron Deficiency Persistently Alters Nociception in Developing Mice. J. Pain 2023, 24, 1321–1336. [Google Scholar] [CrossRef] [PubMed]
- Sarayloo, F.; Dionne-Laporte, A.; Catoire, H.; Rochefort, D.; Houle, G.; Ross, J.P.; Akçimen, F.; Barros Oliveira, R.; Turecki, G.; Dion, P.A.; et al. Mineral absorption is an enriched pathway in a brain region of restless legs syndrome patients with reduced MEIS1 expression. PLoS ONE 2019, 14, e0225186. [Google Scholar] [CrossRef] [PubMed]
- Kucuk, A.; Baykara, R.A.; Tuzcu, A.; Omma, A.; Cure, M.C.; Cure, E.; Acet, G.K.; Dogan, E. Could ferritin, vitamin B(12) and vitamin D play a role in the etiopathogenesis of fibromyalgia syndrome? Rom. J. Intern. Med. 2021, 59, 384–393. [Google Scholar] [PubMed]
- Yao, W.C.; Chen, H.J.; Leong, K.H.; Chang, K.L.; Wang, Y.T.; Wu, L.C.; Tung, P.Y.; Kuo, C.F.; Lin, C.C.; Tsai, S.Y. The risk of fibromyalgia in patients with iron deficiency anemia: A nationwide population-based cohort study. Sci. Rep. 2021, 11, 10496. [Google Scholar]
- Bastian, T.W.; Rao, R.; Tran, P.V.; Georgieff, M.K. The Effects of Early-Life Iron Deficiency on Brain Energy Metabolism. Neurosci. Insights 2020, 15, 2633105520935104. [Google Scholar] [CrossRef]
- Nguyen, C.D.; Morel, V.; Pierache, A.; Lion, G.; Cortet, B.; Flipo, R.M.; Canva-Delcambre, V.; Paccou, J. Bone and joint complications in patients with hereditary hemochromatosis: A cross-sectional study of 93 patients. Ther. Adv. Musculoskelet. Dis. 2020, 12, 1759720x20939405. [Google Scholar] [CrossRef]
- Kröner, P.T.; Mareth, K.F.; Wijarnpreecha, K.; Palmer, W.C. Hereditary hemochromatosis is associated with increased use of joint replacement surgery: Results of a nationwide analysis. Semin. Arthritis Rheum. 2020, 50, 360–365. [Google Scholar] [CrossRef] [PubMed]
- Anderson, G.J.; Bardou-Jacquet, E. Revisiting hemochromatosis: Genetic vs. phenotypic manifestations. Ann. Transl. Med. 2021, 9, 731. [Google Scholar] [CrossRef] [PubMed]
- Calori, S.; Comisi, C.; Mascio, A.; Fulchignoni, C.; Pataia, E.; Maccauro, G.; Greco, T.; Perisano, C. Overview of Ankle Arthropathy in Hereditary Hemochromatosis. Med. Sci. 2023, 11, 51. [Google Scholar] [CrossRef]
- Cai, C.; Hu, W.; Chu, T. Interplay Between Iron Overload and Osteoarthritis: Clinical Significance and Cellular Mechanisms. Front. Cell Dev. Biol. 2021, 9, 817104. [Google Scholar] [CrossRef]
- Karim, A.; Bajbouj, K.; Qaisar, R.; Hall, A.C.; Hamad, M. The role of disrupted iron homeostasis in the development and progression of arthropathy. J. Orthop. Res. 2022, 40, 1243–1250. [Google Scholar] [CrossRef] [PubMed]
- Holbein, B.E.; Lehmann, C. Dysregulated Iron Homeostasis as Common Disease Etiology and Promising Therapeutic Target. Antioxidants 2023, 12, 671. [Google Scholar] [CrossRef] [PubMed]
- Ji, R.R.; Nackley, A.; Huh, Y.; Terrando, N.; Maixner, W. Neuroinflammation and Central Sensitization in Chronic and Widespread Pain. Anesthesiology 2018, 129, 343–366. [Google Scholar] [CrossRef] [PubMed]
- Hines, M.R.; Goetz, J.E.; Gomez-Contreras, P.C.; Rodman, S.N., 3rd; Liman, S.; Femino, E.L.; Kluz, P.N.; Wagner, B.A.; Buettner, G.R.; Kelley, E.E.; et al. Extracellular biomolecular free radical formation during injury. Free Radic. Biol. Med. 2022, 188, 175–184. [Google Scholar] [CrossRef]
- Elma, Ö.; Brain, K.; Dong, H.J. The Importance of Nutrition as a Lifestyle Factor in Chronic Pain Management: A Narrative Review. J. Clin. Med. 2022, 11, 5950. [Google Scholar] [CrossRef]
- Pingault, J.B.; O’Reilly, P.F.; Schoeler, T.; Ploubidis, G.B.; Rijsdijk, F.; Dudbridge, F. Using genetic data to strengthen causal inference in observational research. Nat. Rev. Genet. 2018, 19, 566–580. [Google Scholar] [CrossRef]




| GWAS ID | Trait | Sample size | Population | |
|---|---|---|---|---|
| exposure | ieu-a-1049 | Iron | 23,986 | European |
| exposure | ieu-a-1073 | Copper | 2603 | European |
| exposure | ieu-a-1079 | Zinc | 2603 | European |
| exposure | ukb-b-7372 | Magnesium | 64,979 | European |
| Exposure | IVW Heterogeneity Test | MR-Egger Pleiotropy Test | |||
|---|---|---|---|---|---|
| Q | p Value | Intercept | SE | p Value | |
| Iron | 4.936 | 0.552 | −0.0002 | 0.0003 | 0.591 |
| Copper | 7.289 | 0.026 | 0.002 | 0.001 | 0.386 |
| Zinc | 4.427 | 0.619 | 0.0002 | 0.0009 | 0.866 |
| Magnesium | 12.146 | 0.434 | −0.0006 | 0.0004 | 0.192 |
Disclaimer/Publisher’s Note: The statements, opinions and data contained in all publications are solely those of the individual author(s) and contributor(s) and not of MDPI and/or the editor(s). MDPI and/or the editor(s) disclaim responsibility for any injury to people or property resulting from any ideas, methods, instructions or products referred to in the content. |
© 2024 by the authors. Licensee MDPI, Basel, Switzerland. This article is an open access article distributed under the terms and conditions of the Creative Commons Attribution (CC BY) license (https://creativecommons.org/licenses/by/4.0/).
Share and Cite
Kim, H.; Ko, D.S. Effects of Iron, Copper, Zinc, and Magnesium on Chronic Widespread Pain: A Two-Sample Mendelian Randomization. J. Clin. Med. 2024, 13, 5908. https://doi.org/10.3390/jcm13195908
Kim H, Ko DS. Effects of Iron, Copper, Zinc, and Magnesium on Chronic Widespread Pain: A Two-Sample Mendelian Randomization. Journal of Clinical Medicine. 2024; 13(19):5908. https://doi.org/10.3390/jcm13195908
Chicago/Turabian StyleKim, Hyunjik, and Dai Sik Ko. 2024. "Effects of Iron, Copper, Zinc, and Magnesium on Chronic Widespread Pain: A Two-Sample Mendelian Randomization" Journal of Clinical Medicine 13, no. 19: 5908. https://doi.org/10.3390/jcm13195908
APA StyleKim, H., & Ko, D. S. (2024). Effects of Iron, Copper, Zinc, and Magnesium on Chronic Widespread Pain: A Two-Sample Mendelian Randomization. Journal of Clinical Medicine, 13(19), 5908. https://doi.org/10.3390/jcm13195908

