The Effect of Lower Limb Pressotherapy Treatment on Selected Rheological and Biochemical Indices of Blood in Young, Healthy Women
Abstract
1. Introduction
2. Materials and Methods
2.1. Participant Characteristics
2.2. Measuring Tools
2.3. Description of the Intervention
- Gradient: 1 mmHg (a pressure drop in each subsequent chamber by 1 mmHg from the set initial pressure for the first chamber),
- Hold: 3 s (the time the chambers maintain the maximum, set pressure),
- Interval: 3 s (the time between filling each subsequent chamber),
- Output pressure individually selected to suit the participants’ feelings [mmHg] (without pain, maximum tolerated pressure).
2.4. Ethics Approval and Informed Consents
2.5. Statistical Analysis
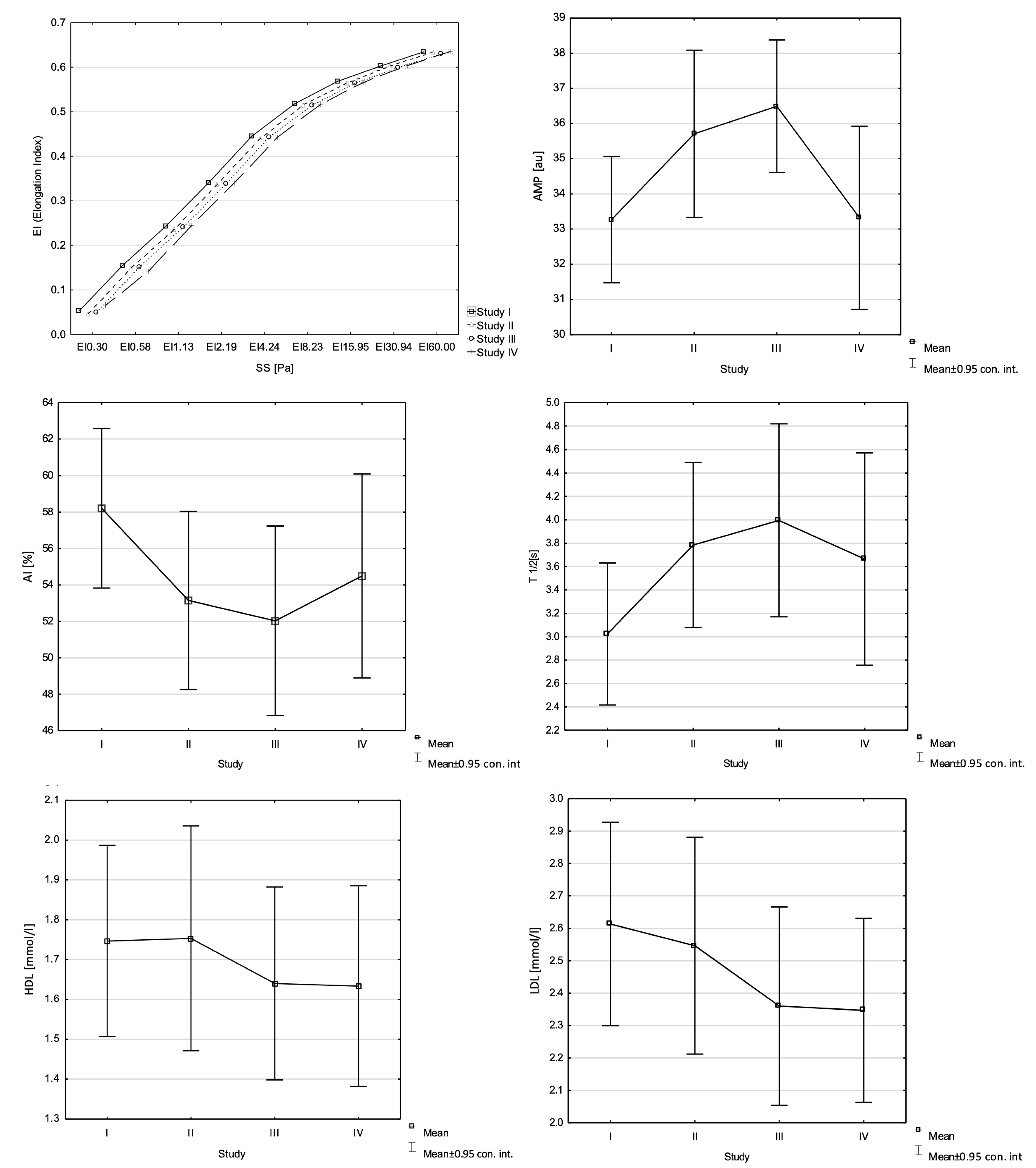
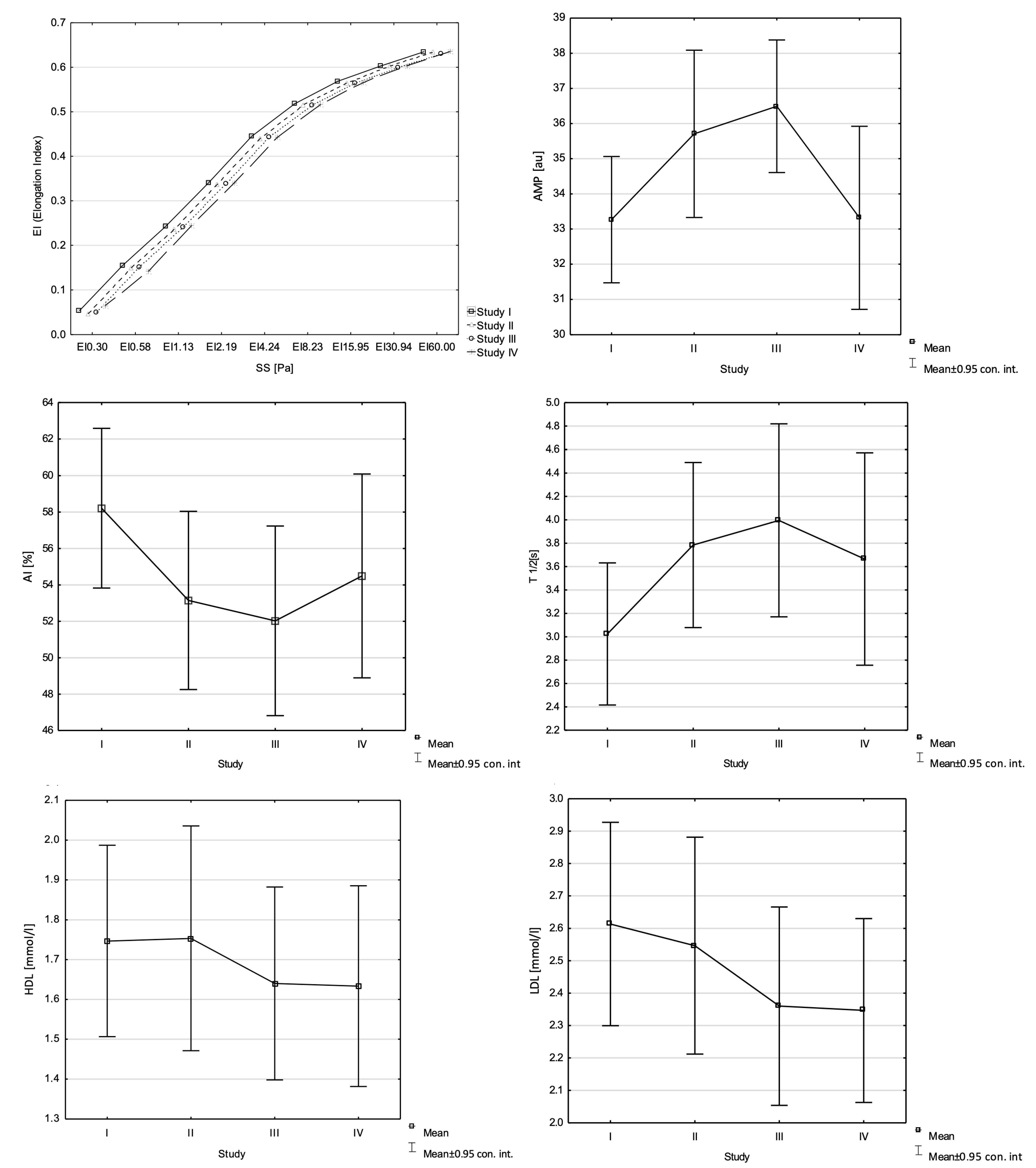
3. Results
- Decrease: RBC (F = 7.96, p = 0.00), HGB (F = 6.46, p = 0.00), MCHC (F = 3.03, p = 0.04), MCV (F = 14.65, p = 0.00), MCH (F = 34.22, p = 0.00), EI 0.58 (F = 8.87, p = 0.00), EI 4.24 (F = 3.36, p = 0.03), EI 15.95 (F = 4.76, p = 0.01), AI (F = 4.00, p = 0.01), blood viscosity (F = 19.84, p = 0.00), EI 1.13 (F = 5.31, p = 0.00), EI 30.94 (F = 5.50, p = 0.00), EI 60.00 (F = 7.5, p = 0.00), AMP (F = 6.19, p = 0.00), HDL (F = 4.69; p = 0.01), LDL (F = 4.08; p = 0.01);
- Increase: MCV (F = 14.65, p = 0.00), MCH (F = 34.22, p = 0.00), EI 0.30 (F = 8.19, p = 0.00), EI 8.23 (F = 4.09, p = 0.01), T1/2 (F = 4.22, p = 0.01), blood viscosity (F = 19.84, p = 0.00), EI 1.13 (F = 5.31, p = 0.00), EI 30.94 (F = 5.50, p = 0.00), EI 60.00 (F = 7.5, p = 0.00), AMP (F = 6.19, p = 0.00) (Table 1 and Figure 1).
4. Discussion
5. Conclusions
- The application of a series of 10 lower limb pressotherapy treatments has a beneficial effect on a decrease in blood viscosity and the aggregation index, and an increase in the elongation index at shear stress levels from 0.30 [Pa] to 8.23 [Pa] in young, healthy women. A series of 10 lower limb pressotherapy treatments may affect a decrease in values at high shear stress forces of 30.95 [Pa] and from 60.00 [Pa] in young, healthy women.
- The use of a series of 10 pressotherapy treatments of the lower limbs increases the values of HGB, MCVm and MCHC, and also reduces the values of RBC and MCH and the concentration of LDL and HDL cholesterol fractions in young, healthy women.
- The application of a series of 10 lower limb pressotherapy treatments has no effect on renal profile parameters creatinine, urea, and eGFR index in young, healthy women (it also does not cause any adverse changes).
- The use of pressotherapy of the lower limbs seems to be an effective element of multi-component prevention of circulatory system diseases.
Author Contributions
Funding
Institutional Review Board Statement
Informed Consent Statement
Data Availability Statement
Conflicts of Interest
References
- Śmiłowska, A.; Skorupińska, A.; Gromek, K. Does intermittent compression therapy in home care program more reduce phlebolymphedema than manual lymph drainage applied in physical therapy outpatient unit? Practical reference guide for GPs. Fam. Med. Prim. Care Rev. 2015, 17, 219–224. [Google Scholar] [CrossRef]
- Płoszaj, O.; Malińska, M.; Hagner-Derengowska, M.; Kałużny, K. Manual lymphatic drainage with comprehensive anti-diabetic therapy (MDL/KTP) as a method of treatment of lymphoedema–literature review. J. Educ. Health Sport 2017, 7, 878–893. [Google Scholar]
- Placek, W.; Protas-Drozd, F. Postępowanie dermatologiczne w owrzodzeniach goleni. Pol. Med. Paliatywna 2003, 2, 294. [Google Scholar]
- Tomaszewski, W.; Cabak, A.; Siwek, J. The use of physiotherapy in the treatment of scars—A review of the literature. Pol. J. Sports Med. 2022, 38, 191–201. [Google Scholar] [CrossRef]
- Janda, K.; Tomikowska, A. Cellulite–causes, prevention, treatment. Ann. Acad. Medicae Stetin. 2014, 60, 29–38. [Google Scholar]
- Wiśniowski, P.; Cieśliński, M.; Jarocka, M.; Kasiak, P.S.; Makaruk, B.; Pawliczek, W.; Wiecha, S. The Effect of Pressotherapy on Performance and Recovery in the Management of Delayed Onset Muscle Soreness: A Systematic Review and Meta-Analysis. J. Clin. Med. 2022, 11, 2077. [Google Scholar] [CrossRef]
- Molina, I.; Muñoz, A.; Linde, X. Treatment of ACL injury in a professional soccer player during COVID-19 lockdown. Apunt. Sports Med. 2022, 57, 100392. [Google Scholar] [CrossRef]
- Thorn, E.; Adio, A.; Fox, R.; Gardner, A.M.; Winlove, C.P.; Shore, A.C. Intermittent compression induces transitory hipoxic stimuli, upstream vasodilation and enhanced perfusion of skin capillaries, independent of age and diabetes. J. Aplied Physiol. 2021, 130, 1072–1084. [Google Scholar] [CrossRef]
- Krukowska, J.; Terek, M.; Macek, P.; Woldańska-Okońska, M. The methods of treatment of lymphoedema in women after mastectomy. Fizjoterapia 2010, 18, 3–10. [Google Scholar] [CrossRef]
- Nowotny, J. Podstawy fizjoterapii. In Podstawy Metodyczne i Technika Wykonywania Niektórych Zabiegów; Część 2; Wydawnictwo KASPER: Kraków, Poland, 2004; pp. 169–170. [Google Scholar]
- Barańska-Rybak, W.; Komorowska, O. Zmiany skórne w chorobach naczyń żylnych. Forum Med. Rodz. 2012, 6, 35–42. [Google Scholar]
- Szewczyk, M.T. Leczenie owrzodzeń żylnych goleni metodą kompresji. Pol. Med. Paliatywna 2003, 2, 295. [Google Scholar]
- Sztuce, S.; Łukowicz, M. Metody fizykalne w terapii owrzodzeń podudzi. Postępy Rehabil. 2015, 29, 25–32. [Google Scholar]
- Mościcka, P.; Szewczyk, M.T.; Cwajda-Białasik, J.; Hancke, E.; Jawień, A.; Brazis, P. Owrzodzenia o różnej etiologii. Opis gojenia trzech przypadków. Pielęgniarstwo Chir. I Angiol. 2012, 3, 99–104. [Google Scholar]
- Świt, A.; Gorzkowicz, B. Analiza czynników wpływających na efektywność leczenia owrzodzeń podudzi pochodzenia żylnego. Fam. Med. Prim. Care Rev. 2011, 13, 780–786. [Google Scholar]
- Kruszewska, K. Analiza Wyników Badań Mikrobiologicznych i Zastosowanej Antybiotykoterapii u Pacjentów z Ranami przewlekłymi. Ph.D. Thesis, Warszawski Uniwersytet Medyczny, Zakład Pielęgniarstwa Klinicznego, Warsaw, Poland, 2020. [Google Scholar]
- Kasprzak, W.; Mańkowska, A. Fizjoterapia w Kosmetologii i Medycynie Estetycznej; Wydawnictwo Lekarskie PZWL: Warsaw, Poland, 2010. [Google Scholar]
- Kózka, M. Żylne owrzodzenia podudzi. Mag. Med. Lek. Rodz. 2002, 3, 49–51. [Google Scholar]
- Szewczyk, M.T.; Jawień, A. Wybrane aspekty zachowawczego leczenia owrzodzeń żylnych. Część I: Kompresoterapia. Postępy Dermatol. I Alergol. 2005, 3, 133–140. [Google Scholar]
- Szewczyk, M.T.; Jawień, A.; Cwajda-Białasik, J.; Cierzniakowska, K. Podstawowe zasady kompresjoterapii. Pielęgniartswo Chir. I Angiol. 2009, 3, 89–92. [Google Scholar]
- Małek, E. Pielęgnowanie Skóry Zmienionej Patologicznie; Instytut Technologii Eksploatacji–Państwowy Instytut Badawczy: Radom, Poland, 2006. [Google Scholar]
- Kołodziejczak, A. Kosmetologia. Tom 1; Wydawnictwo Lekarskie PZWL: Warsaw, Poland, 2019. [Google Scholar]
- Challis, M.J.; Welsh, M.K.; Jull, G.A.; Crawford, R. Effect of Cyclic Pneumatic Soft Tissue Compression on Simulated Distal Radius Fractures. Clin. Orthop. Relat. Res. 2005, 433, 183–188. [Google Scholar] [CrossRef] [PubMed]
- Diwu, W.; Hu, G.; Zhou, M.; Bi, L.; Yan, M.; Wei, H.; Fan, J. Effects of differente intensities of intermittent pneumatic soft-tissue compression on bone defect repair. BMC Musculoskelatal Disord. 2022, 23, 403. [Google Scholar]
- Khanna, A.; Gougoulias, N.; Maffulli, N. Intermittent pneumatic compression in fracture and soft-tissue injuries healing. Br. Med. Bull. 2008, 88, 147–156. [Google Scholar] [CrossRef]
- Jawień, A.; Filipiak, K.J.; Doroszko, A.; Dzieciątkowski, T.; Krasiński, Z.; Szymański, F.M.; Terlecki, P. Kompleksowa opieka nad pacjentem z chorobą naczyń obwodowych tętnic i żył-rekomendacje zespołu ekspertów 2023. Acta Angiol. 2023, 29, 1–60. [Google Scholar] [CrossRef]
- Hardeman, M.R.; Goedhart, P.T.; Dobbe, J.G.G.; Lettinga, K.P. Laser-assisted optical rotational cell analyser (L.O.R.C.A.); A new instrument for measurement of various structural hemorheological parameters. Cliniacal Hemorheol. 1994, 14, 605–618. [Google Scholar] [CrossRef]
- Ptaszek, B.; Podsiadło, S.; Jandziś, Z.; Teległów, A.; Piotrowska, A.; Jurczyszyn, A.; Czerwińska-Ledwig, O. Reological properties of blood in multiple myeloma patients. Sci. Rep. 2024, 14, 4260. [Google Scholar] [CrossRef] [PubMed]
- Słowińska, L.; Monkos, K. Kliniczne zastosowania laserowo-optycznego rotacyjnego analizatora krwinek czerwonych LORCA. Ann. Acad. Med. Siles. 2010, 64, 42–47. [Google Scholar]
- Dąbrowski, Z. Fizjologia Krwi. Wybrane Zagadnienia; Wydawnictwo Naukowe PWN: Warsaw, Poland, 1998. [Google Scholar]
- Delis, K.T.; Labropoulus, N.; Nicolaides, A.N.; Glenville, B.; Stansby, G. Effect of Intermittent Pneumatic Foot Compression on Popliteal Artery Haemodynamics. Eur. J. Vasc. Endovasc. Surg. 2000, 19, 270–277. [Google Scholar] [CrossRef][Green Version]
- Greenall, R.; Davis, R. Intermittent pneumatic compression for venous thromboembolism prevention: A systematic review on factors affecting adherence. BMJ Open 2020, 10, e037036. [Google Scholar] [CrossRef]
- Comerota, A.J.; Chouhan, V.; Harada, R.N.; Sun, L.; Hosking, J.; Veermansunemi, R.; Comerota, A.J., Jr.; Schlappy, D.; Rao, A.K. The Fibrinolytic Effects of Intermittent Pneumatic Compression Mechanism of Enhanced Fibrinolysis. Ann. Surg. 1997, 226, 306–314. [Google Scholar] [CrossRef]
- Libionka, A.; Figiel, W.; Maga, P.; Gackowski, A.; Rostoff, P.; Paradowski, A.; Piwowarska, W. Lepkość krwi w chorobach układu krążenia ze szczególnym uwzględnieniem kardiologicznego zespołu X. Folia Cardiol. 2005, 12, 465–470. [Google Scholar]
- Maeda, N. Erythrocyte rheology in microcirculation. Jpn. J. Physiol. 1996, 46, 1–14. [Google Scholar] [CrossRef]
- Winke, M.; Williamson, S. Comparison of a Pneumatic Compression Device to a Compression Garment during Recovery from DOMS. Int. J. Exerc. Sci. 2018, 11, 375–383. [Google Scholar]
- Credeur, D.P.; Vana, L.M.; Kelley, E.T.; Stoner, L.; Dolbow, D.R. Effects of Intermittent Pneumatic Compression on Leg Vascular Function in People with Spinal Cord Injury: A Pilot Study. J. Spinal Cord Med. 2019, 42, 586–594. [Google Scholar] [CrossRef] [PubMed]
- Ostrowska, Z.; Mazur, B. Diagnostyka Laboratoryjna dla Studentów Medycyny, Skrypt dla Studentów III Roku Kierunku Lekarskiego Wydziału Lekarskiego z Oddziałem Lekarsko-Dentystycznym w Zabrzu; Śląski Uniwersytet Medyczny: Katowice, Poland, 2011. [Google Scholar]
- Kitajewska, W.; Szeląg, W.; Kopański, Z.; Maslyak, Z.; Sklyarov, I. Choroby cywilizacyjne i ich prewencja. J. Clin. Healthc. 2014, 1, 3–7. [Google Scholar]
- Migdał, W. Spożycie mięsa a choroby cywilizacyjne. Żywność. Nauka. Technologia. Jakość 2007, 6, 48–61. [Google Scholar]
- Filipiak, K.J.; Sokólski, M. Dyslipidemia aterogenna–rozpoznawanie, zasady postępowania. Chor. Serca I Naczyń 2017, 14, 275–278. [Google Scholar]
- Russo, M.P.; Grande-Ratti, M.F.; Burgos, M.A.; Molaro, A.A.; Bonella, M.B. Prevalence of diabetes, epidemiological characteristics and vascular complications. Arch. Cardiol. Mex. 2023, 93, 30–36. [Google Scholar] [CrossRef]
- Einarson, T.R.; Acs, A.; Ludwig, C.; Panton, U.H. Prevalence of cardiovascular disease in type 2 diabetes: A systematic literaturę reviwe of scientific evidence from across the world in 2007–2017. Cardiovasc. Diabetol. 2018, 17, 83. [Google Scholar] [CrossRef]


| Parametres | I | II | III | IV | F | p | Confidence Interval −95% | Confidence Interval 95% |
|---|---|---|---|---|---|---|---|---|
| WBC [109/L] | 6.97 ± 0.98 | 6.83 ± 1.32 | 6.60 ± 1.20 | 6.48 ± 1.19 | 0.84 | 0.48 | 5.15 | 11.37 |
| RBC [1012/L] | 4.51± 0.25 | 4.48 ± 0.25 | 4.42 ± 0.26 | 4.28 ± 0.26 | 7.96 | 0.00 | 2.84 | 9.17 |
| HGB [g/dL] | 13.27 ± 1.04 | 12.76 ± 1.07 | 12.87 ± 1.11 | 12.73 ± 1.10 | 6.46 | 0.00 | 11.44 | 17.25 |
| HCT [%] | 38.57 ± 2.51 | 61.51 ± 91.47 | 37.37 ± 2.99 | 36.86 ± 2.57 | 1.04 | 0.39 | 32.72 | 56.30 |
| PLT [109/L] | 270.80 ± 67.69 | 264.67 ± 51.52 | 261.67 ± 51.97 | 261.87 ± 62.36 | 0.67 | 0.58 | 246.53 | 277.60 |
| MCV [fL] | 85.58 ± 4.49 | 84.76 ± 4.71 | 84.56 ± 4.82 | 86.11 ± 4.62 | 14.65 | 0.00 | 84.23 | 86.78 |
| MCH [pg] | 29.45 ± 2.10 | 28.46 ± 1.89 | 29.13 ± 2.14 | 29.73 ± 2.22 | 34.21 | 0.00 | 27.95 | 32.78 |
| MCHC [g/dL] | 34.98 ± 2.61 | 33.57 ± 0.67 | 34.45 ± 0.88 | 34.49 ± 1.10 | 3.03 | 0.04 | 33.23 | 37.68 |
| Blood viscosity [mPa × s] | 1.51± 0.06 | 1.41 ± 0.09 | 1.33 ± 0.07 | 1.39 ± 0.05 | 19.84 | 0.00 | 1.29 | 1.36 |
| EI0.30 | 0.05 ± 0.01 | 0.05 ± 0.02 | 0.05 ± 0.02 | 0.07 ± 0.02 | 8.19 | 0.00 | 0.03 | 0.06 |
| EI0.58 | 10.88 ± 41.53 | 0.15 ± 0.02 | 0.15 ± 0.02 | 0.14 ± 0.02 | 8.87 | 0.00 | 0.13 | 0.16 |
| EI1.13 | 0.24 ± 0.02 | 0.24 ± 0.02 | 0.24 ± 0.02 | 0.24 ± 0.02 | 5.31 | 0.00 | 0.22 | 0.25 |
| EI2.19 | 0.34 ± 0.02 | 0.34 ± 0.02 | 0.34 ± 0.02 | 0.34 ± 0.02 | 2.69 | 0.06 | 0.32 | 0.34 |
| EI4.24 | 0.45 ± 0.01 | 0.44 ± 0.01 | 0.44 ± 0.01 | 0.44 ± 0.02 | 3.36 | 0.03 | 0.43 | 0.45 |
| EI8.23 | 0.52 ± 0.01 | 0.51 ± 0.01 | 0.51 ± 0.01 | 0.52 ± 0.01 | 4.09 | 0.01 | 0.50 | 0.52 |
| EI15.95 | 0.57 ± 0.01 | 0.56 ± 0.01 | 0.56 ± 0.01 | 0.57 ± 0.01 | 4.76 | 0.01 | 0.55 | 0.57 |
| EI30.94 | 0.60 ± 0.01 | 0.60 ± 0.01 | 0.60 ± 0.01 | 0.60 ± 0.01 | 5.50 | 0.00 | 0.59 | 0.60 |
| EI60.00 | 0.63 ± 0.01 | 0.63 ± 0.01 | 0.63 ± 0.01 | 0.63 ± 0.01 | 7.50 | 0.00 | 0.62 | 0.63 |
| AMP [au] | 33.27 ± 3.24 | 35.71 ± 4.30 | 36.49 ± 3.41 | 33.32 ± 4.70 | 6.17 | 0.00 | 34.60 | 38.37 |
| AI [%] | 58.21 ± 7.90 | 53.15 ± 8.84 | 52.03 ± 9.40 | 54.49 ± 10.12 | 4.00 | 0.01 | 46.82 | 57.23 |
| T1/2 [s] | 3.02 ± 1.10 | 3.78 ± 1.27 | 3.99 ± 1.49 | 3.66 ± 1.64 | 4.22 | 0.01 | 3.17 | 4.81 |
| TC [mmol/L] | 4.47 ± 0.65 | 4.45 ± 0.75 | 4.29 ± 0.77 | 4.23 ± 0.69 | 2.40 | 0.08 | 3.86 | 4.71 |
| TG [mmol/L] | 1.04 ± 0.44 | 1.08 ± 0.37 | 1.15 ± 0.56 | 1.08 ± 0.47 | 0.36 | 0.78 | 0.84 | 1.46 |
| HDL [mmol/L] | 1.75 ± 0.43 | 1.75 ± 0.51 | 1.64 ± 0.44 | 1.63 ± 0.45 | 4.69 | 0.01 | 1.39 | 1.88 |
| LDL [mmol/L] | 2.61 ± 0.57 | 2.55 ± 0.60 | 2.36 ± 0.55 | 2.35 ± 0.51 | 4.08 | 0.01 | 2.05 | 2.66 |
| Urea [mmol/L] | 4.23 ± 0.89 | 3.95 ± 0.85 | 4.29 ± 1.18 | 4.15 ± 1.00 | 0.75 | 0.53 | 3.63 | 4.94 |
| Creatinine [μmol/L] | 70.45 ± 7.43 | 69.49 ± 9.55 | 67.89 ± 8.58 | 69.58 ± 7.88 | 1.05 | 0.38 | 63.13 | 72.63 |
| eGFR [mL/min/1.73 m2] | 80.17 ± 6.31 | 79.67 ± 8.57 | 66.60 ± 33.59 | 81.43 ± 5.32 | 0.49 | 0.69 | 24.89 | 108.30 |
| Parameters | Study | I | II | III | IV |
|---|---|---|---|---|---|
| RBC [1012/L] | I | 0.55 | 0.08 | 0.00 | |
| II | 0.55 | 0.23 | 0.00 | ||
| III | 0.08 | 0.23 | 0.01 | ||
| IV | 0.00 | 0.00 | 0.01 | ||
| HGB [g/dL] | I | 0.00 | 0.01 | 0.00 | |
| II | 0.00 | 0.45 | 0.81 | ||
| III | 0.01 | 0.45 | 0.32 | ||
| IV | 0.00 | 0.81 | 0.32 | ||
| MCV [fL] | I | 0.00 | 0.00 | 0.05 | |
| II | 0.00 | 0.46 | 0.00 | ||
| III | 0.00 | 0.46 | 0.00 | ||
| IV | 0.05 | 0.00 | 0.00 | ||
| MCH [pg] | I | 0.00 | 0.02 | 0.04 | |
| II | 0.00 | 0.00 | 0.00 | ||
| III | 0.02 | 0.00 | 0.00 | ||
| IV | 0.04 | 0.00 | 0.00 | ||
| MCHC [g/dL] | I | 0.01 | 0.25 | 0.31 | |
| II | 0.01 | 0.08 | 0.06 | ||
| III | 0.25 | 0.08 | 0.89 | ||
| IV | 0.31 | 0.06 | 0.89 | ||
| Blood viscosity [mPa × s] | I | 0.00 | 0.00 | 0.00 | |
| II | 0.00 | 0.00 | 0.53 | ||
| III | 0.00 | 0.00 | 0.01 | ||
| IV | 0.00 | 0.53 | 0.01 | ||
| EI 0.30 | I | 0.10 | 0.34 | 0.01 | |
| II | 0.10 | 0.49 | 0.00 | ||
| III | 0.34 | 0.49 | 0.00 | ||
| IV | 0.01 | 0.00 | 0.00 | ||
| EI 0.58 | I | 0.08 | 0.25 | 0.00 | |
| II | 0.08 | 0.52 | 0.00 | ||
| III | 0.25 | 0.52 | 0.00 | ||
| IV | 0.00 | 0.00 | 0.00 | ||
| EI 1.13 | I | 0.00 | 0.32 | 0.42 | |
| II | 0.00 | 0.06 | 0.00 | ||
| III | 0.32 | 0.06 | 0.08 | ||
| IV | 0.42 | 0.00 | 0.08 | ||
| EI 4.24 | I | 0.00 | 0.12 | 0.22 | |
| II | 0.00 | 0.13 | 0.06 | ||
| III | 0.12 | 0.13 | 0.72 | ||
| IV | 0.22 | 0.06 | 0.72 | ||
| EI 8.23 | I | 0.00 | 0.01 | 0.16 | |
| II | 0.00 | 0.47 | 0.07 | ||
| III | 0.01 | 0.47 | 0.27 | ||
| IV | 0.16 | 0.07 | 0.27 | ||
| EI 15.95 | I | 0.00 | 0.00 | 0.03 | |
| II | 0.00 | 1.00 | 0.33 | ||
| III | 0.00 | 1.00 | 0.33 | ||
| IV | 0.03 | 0.33 | 0.33 | ||
| EI 30.94 | I | 0.40 | 0.00 | 0.88 | |
| II | 0.40 | 0.01 | 0.32 | ||
| III | 0.00 | 0.01 | 0.00 | ||
| IV | 0.88 | 0.32 | 0.00 | ||
| EI 60.00 | I | 0.21 | 0.00 | 0.96 | |
| II | 0.21 | 0.01 | 0.19 | ||
| III | 0.00 | 0.01 | 0.00 | ||
| IV | 0.96 | 0.19 | 0.00 | ||
| AMP [au] | I | 0.01 | 0.00 | 0.95 | |
| II | 0.01 | 0.41 | 0.01 | ||
| III | 0.00 | 0.41 | 0.00 | ||
| IV | 0.95 | 0.01 | 0.00 | ||
| AI [%] | I | 0.01 | 0.00 | 0.06 | |
| II | 0.01 | 0.56 | 0.48 | ||
| III | 0.00 | 0.56 | 0.20 | ||
| IV | 0.06 | 0.48 | 0.20 | ||
| T1/2 [s] | I | 0.01 | 0.00 | 0.03 | |
| II | 0.01 | 0.47 | 0.68 | ||
| III | 0.00 | 0.47 | 0.26 | ||
| IV | 0.03 | 0.68 | 0.26 | ||
| HDL [mmol/L] | I | 0.88 | 0.02 | 0.01 | |
| II | 0.88 | 0.01 | 0.01 | ||
| III | 0.02 | 0.01 | 0.88 | ||
| IV | 0.01 | 0.01 | 0.88 | ||
| LDL [mmol/L] | I | 0.48 | 0.01 | 0.01 | |
| II | 0.48 | 0.05 | 0.04 | ||
| III | 0.01 | 0.05 | 0.89 | ||
| IV | 0.01 | 0.03 | 0.89 |
Disclaimer/Publisher’s Note: The statements, opinions and data contained in all publications are solely those of the individual author(s) and contributor(s) and not of MDPI and/or the editor(s). MDPI and/or the editor(s) disclaim responsibility for any injury to people or property resulting from any ideas, methods, instructions or products referred to in the content. |
© 2024 by the authors. Licensee MDPI, Basel, Switzerland. This article is an open access article distributed under the terms and conditions of the Creative Commons Attribution (CC BY) license (https://creativecommons.org/licenses/by/4.0/).
Share and Cite
Ptaszek, B.; Wójciak, A.; Żak, A.; Podsiadło, S. The Effect of Lower Limb Pressotherapy Treatment on Selected Rheological and Biochemical Indices of Blood in Young, Healthy Women. J. Clin. Med. 2024, 13, 5743. https://doi.org/10.3390/jcm13195743
Ptaszek B, Wójciak A, Żak A, Podsiadło S. The Effect of Lower Limb Pressotherapy Treatment on Selected Rheological and Biochemical Indices of Blood in Young, Healthy Women. Journal of Clinical Medicine. 2024; 13(19):5743. https://doi.org/10.3390/jcm13195743
Chicago/Turabian StylePtaszek, Bartłomiej, Anna Wójciak, Angelika Żak, and Szymon Podsiadło. 2024. "The Effect of Lower Limb Pressotherapy Treatment on Selected Rheological and Biochemical Indices of Blood in Young, Healthy Women" Journal of Clinical Medicine 13, no. 19: 5743. https://doi.org/10.3390/jcm13195743
APA StylePtaszek, B., Wójciak, A., Żak, A., & Podsiadło, S. (2024). The Effect of Lower Limb Pressotherapy Treatment on Selected Rheological and Biochemical Indices of Blood in Young, Healthy Women. Journal of Clinical Medicine, 13(19), 5743. https://doi.org/10.3390/jcm13195743

