Epistemic Trust Is a Critical Success Factor in Psychosomatic Rehabilitation—Results from a Naturalistic Multi-Center Observational Study
Abstract
1. Introduction
2. Materials and Methods
2.1. Patients and Procedures
2.2. Psychosomatic Inpatient Rehabilitation Treatment
2.3. Measures
2.3.1. Brief Symptom Inventory (BSI-18)
2.3.2. Epistemic Trust, Mistrust, and Credulity Questionnaire (ETMCQ)
2.3.3. World Health Organization Disability Assessment Scale (WHODAS)
2.4. Statistical Procedures
3. Results
3.1. Best, Average, and Worst Responders during Psychosomatic Rehabilitation
3.2. Epistemic Trust as a Critical Success Factor
4. Discussion
Strength and Limitations
5. Conclusions
Supplementary Materials
Author Contributions
Funding
Institutional Review Board Statement
Informed Consent Statement
Data Availability Statement
Conflicts of Interest
References
- Sprung, M.; Münch, H.M.; Kaiser, E.; Streibl, L.; Riffer, F. Meta-analysis of evaluation results of psychiatric-psychosomatic rehabilitation in Austria. Neuropsychiatrie 2019, 33, 8–24. [Google Scholar] [CrossRef] [PubMed]
- Burghardt, J.; Riffer, F.; Sprung, M. Gender effects on outcomes of psychosomatic rehabilitation are reduced. PLoS ONE 2021, 16, e0256916. [Google Scholar] [CrossRef] [PubMed]
- Ettlin, T.; Kischka, U. [Psychosomatic Rehabilitation: An Overview]. Ther. Umsch. 2019, 76, 460–464. [Google Scholar] [CrossRef] [PubMed]
- Linden, M. Psychosomatic Inpatient Rehabilitation: The German Model. Psychother. Psychosom. 2014, 83, 205–212. [Google Scholar] [CrossRef]
- Papst, L.; Köllner, V. Using machine learning to investigate earning capacity in patients undergoing psychosomatic rehabilitation-A retrospective health data analysis. Front. Psychiatry 2022, 13, 1039914. [Google Scholar] [CrossRef] [PubMed]
- Glattacker, M.; Rudolph, M.; Bengel, J.; von der Warth, R. Illness Beliefs, Treatment Beliefs, and Fulfilled Treatment Expectations in Psychosomatic Rehabilitation: Associations with Patient Satisfaction. Patient Prefer. Adherence 2022, 16, 3303–3317. [Google Scholar] [CrossRef] [PubMed]
- Baron, S.; Linden, M. Analyzing the effectiveness of inpatient psychosomatic rehabilitation using the mini-ICF-APP. Rehabilitation 2009, 48, 145–153. [Google Scholar] [CrossRef] [PubMed]
- Bermejo, I.; Löschmann, C. 1408—Effectiveness of psychosomatic rehabilitation of depressive disorders. European Psychiatry 2013, 28, 1. [Google Scholar] [CrossRef]
- Löschmann, C.; Steffanowski, A.; Wittmann, W.W.; Nübling, R. Metaanalyse der Effekte stationärer psychosomatischer Rehabilitation—MESTA-Studie. Psychother. Psychosom. Med. Psychol. 2005, 55, S_051. [Google Scholar] [CrossRef][Green Version]
- Piso, B.; Reinsperger, I. Sustainability of psychiatric rehabilitation: Systematic review: Brigitte Piso. Eur. J. Public Health 2014, 24, cku166-107. [Google Scholar] [CrossRef][Green Version]
- Brütt, A.L.; Magaard, J.L.; Andreas, S.; Schulz, H. A qualitative investigation of barriers and facilitators of rehabilitation success from the psychosomatic inpatients’ perspective. Patient Prefer. Adherence 2016, 10, 1881–1888. [Google Scholar] [CrossRef] [PubMed]
- Reuter, L.; Bengel, J.; Scheidt, C.E. Non-response to therapy in acute and rehabilitative psychosomatic inpatient care—A systematic review. Z. Psychosom. Med. Psychother. 2014, 60, 121–145. [Google Scholar] [CrossRef] [PubMed]
- Riedl, D.; Rothmund, M.S.; Grote, V.; Fischer, M.J.; Kampling, H.; Kruse, J.; Nolte, T.; Labek, K.; Lampe, A. Mentalizing and epistemic trust as critical success factors in psychosomatic rehabilitation: Results of a single center longitudinal observational study. Front. Psychiatry 2023, 14, 1150422. [Google Scholar] [CrossRef] [PubMed]
- Bateman, A.; Fonagy, P. Handbook of Mentalizing in Mental Health Practice, 2nd ed.; American Psychiatric Association Publishing: Washington, DC, USA, 2019. [Google Scholar]
- Fonagy, P.; Bateman, A. The development of borderline personality disorder—A mentalizing model. J. Pers. Disord. 2008, 22, 4–21. [Google Scholar] [CrossRef] [PubMed]
- Taubner, S.; Fonagy, P.; Bateman, A. Mentalisierungsbasierte Theraoie; Hogrefe: Göttingen, Germany, 2019; Volume 1. [Google Scholar]
- Fonagy, P.; Allison, E. Beyond Mentalizing: Epistemic Trust and the Transmission of Culture. Psychoanal. Q. 2023, 92, 599–640. [Google Scholar] [CrossRef] [PubMed]
- Fonagy, P.; Allison, E. The role of mentalizing and epistemic trust in the therapeutic relationship. Psychotherapy 2014, 51, 372–380. [Google Scholar] [CrossRef]
- Campbell, C.; Tanzer, M.; Saunders, R.; Booker, T.; Allison, E.; Li, E.; O’Dowda, C.; Luyten, P.; Fonagy, P. Development and validation of a self-report measure of epistemic trust. PLoS ONE 2021, 16, e0250264. [Google Scholar] [CrossRef]
- Beebe, B.; Jaffe, J.; Markese, S.; Buck, K.; Chen, H.; Cohen, P.; Bahrick, L.; Andrews, H.; Feldstein, S. The origins of 12-month attachment: A microanalysis of 4-month mother-infant interaction. Attach. Hum. Dev. 2010, 12, 3–141. [Google Scholar] [CrossRef]
- Innamorati, M.; Imperatori, C.; Harnic, D.; Erbuto, D.; Patitucci, E.; Janiri, L.; Lamis, D.A.; Pompili, M.; Tamburello, S.; Fabbricatore, M. Emotion Regulation and Mentalization in People at Risk for Food Addiction. Behav. Med. 2017, 43, 21–30. [Google Scholar] [CrossRef]
- McGuire, A.; Jackson, Y. A Multilevel Meta-analysis on Academic Achievement Among Maltreated Youth. Clin. Child. Fam. Psychol. Rev. 2018, 21, 450–465. [Google Scholar] [CrossRef]
- Nolte, T.; Hutsebaut, J.; Sharp, C.; Campbell, C.; Fonagy, P.; Bateman, A. The Role of Epistemic Trust in Mentalization-Based Treatment of Borderline Psychopathology. J. Personal. Disord. 2023, 37, 633–659. [Google Scholar] [CrossRef]
- Fonagy, P.; Luyten, P.; Allison, E.; Campbell, C. What we have changed our minds about: Part 2. Borderline personality disorder, epistemic trust and the developmental significance of social communication. Borderline Personal. Disord. Emot. Dysregul. 2017, 4, 9. [Google Scholar] [CrossRef] [PubMed]
- Fonagy, P.; Luyten, P.; Allison, E.; Campbell, C. Mentalizing, Epistemic Trust and the Phenomenology of Psychotherapy. Psychopathology 2019, 52, 94–103. [Google Scholar] [CrossRef] [PubMed]
- Li, E.T.; Midgley, N.; Luyten, P.; Sprecher, E.A.; Campbell, C. Mapping the journey from epistemic mistrust in depressed adolescents receiving psychotherapy. J. Couns. Psychol. 2022, 69, 678–690. [Google Scholar] [CrossRef] [PubMed]
- Fisher, S.; Fonagy, P.; Wiseman, H.; Zilcha-Mano, S. I see you as recognizing me; therefore, I trust you: Operationalizing epistemic trust in psychotherapy. Psychotherapy 2023, 60, 560–572. [Google Scholar] [CrossRef] [PubMed]
- Holzner, B.; Giesinger, J.M.; Pinggera, J.; Zugal, S.; Schopf, F.; Oberguggenberger, A.S.; Gamper, E.M.; Zabernigg, A.; Weber, B.; Rumpold, G. The Computer-based Health Evaluation Software (CHES): A software for electronic patient-reported outcome monitoring. BMC Med. Inform. Decis. Mak. 2012, 12, 126. [Google Scholar] [CrossRef] [PubMed]
- Reiter, D.; Fülöp, G.; Pochobradsky, E.; Röthlin, F.; Stoppacher, A. Austrian Rehabilitation Plan 2020; Gesundheit Österreich: Vienna, Austria, 2020. [Google Scholar]
- Franke, G.H.; Jaeger, S.; Glaesmer, H.; Barkmann, C.; Petrowski, K.; Braehler, E. Psychometric analysis of the brief symptom inventory 18 (BSI-18) in a representative German sample. BMC Med. Res. Methodol. 2017, 17, 14. [Google Scholar] [CrossRef] [PubMed]
- Liotti, M.; Milesi, A.; Spitoni, G.F.; Tanzilli, A.; Speranza, A.M.; Parolin, L.; Campbell, C.; Fonagy, P.; Lingiardi, V.; Giovanardi, G. Unpacking trust: The Italian validation of the Epistemic Trust, Mistrust, and Credulity Questionnaire (ETMCQ). PLoS ONE 2023, 18, e0280328. [Google Scholar] [CrossRef]
- Asgarizadeh, A.; Hunjani, M.; Ghanbari, S. Do we really need “trust”? the incremental validity of epistemic trust over epistemic mistrust and credulity in predicting mentalizing-related constructs. Asian J. Psychiatr. 2023, 87, 103688. [Google Scholar] [CrossRef]
- Federici, S.; Bracalenti, M.; Meloni, F.; Luciano, J.V. World Health Organization disability assessment schedule 2.0: An international systematic review. Disabil. Rehabil. 2017, 39, 2347–2380. [Google Scholar] [CrossRef]
- Zdravkovic, A.; Grote, V.; Pirchl, M.; Stockinger, M.; Crevenna, R.; Fischer, M.J. Comparison of patient- and clinician-reported outcome measures in lower back rehabilitation: Introducing a new integrated performance measure (t2D). Qual. Life Res. Int. J. Qual. Life Asp. Treat. Care Rehabil. 2022, 31, 303–315. [Google Scholar] [CrossRef] [PubMed]
- Ellis, P.D. The Essential Guide to Effect Sizes: Statistical Power, Meta-Analysis, and the Interpretation of Research Results; Cambridge University Press: Cambridge, MA, USA; New York, NY, USA, 2010. [Google Scholar]
- Cohen, J. Statistical Power Analysis for the Behavioral Sciences, 2nd ed.; Erlbaum: New York, NY, USA, 1988. [Google Scholar]
- Malcorps, S.; Vliegen, N.; Luyten, P. Childhood adversity and adolescent acting-out behaviors: The mediating role of mentalizing difficulties and epistemic vigilance. Eur. Child Adolesc. Psychiatry 2023. [Google Scholar] [CrossRef] [PubMed]
- Locati, F.; Benzi, I.M.A.; Milesi, A.; Campbell, C.; Midgley, N.; Fonagy, P.; Parolin, L. Associations of mentalization and epistemic trust with internalizing and externalizing problems in adolescence: A gender-sensitive structural equation modeling approach. J. Adolesc. 2023, 95, 1564–1577. [Google Scholar] [CrossRef] [PubMed]
- De Coninck, D.; Matthijs, K.; Van Bavel, J.; Luyten, P. To be a freshman during the COVID-19 pandemic: A cross-lagged model of depression, mentalizing, and epistemic trust. Personal. Ment. Health, 2023; early view. [Google Scholar] [CrossRef]
- Locati, F.; Milesi, A.; Conte, F.; Campbell, C.; Fonagy, P.; Ensink, K.; Parolin, L. Adolescence in lockdown: The protective role of mentalizing and epistemic trust. J. Clin. Psychol. 2023, 79, 969–984. [Google Scholar] [CrossRef] [PubMed]
- Kampling, H.; Kruse, J.; Lampe, A.; Nolte, T.; Hettich, N.; Brähler, E.; Sachser, C.; Fegert, J.M.; Gingelmaier, S.; Fonagy, P.; et al. Epistemic trust and personality functioning mediate the association between adverse childhood experiences and posttraumatic stress disorder and complex posttraumatic stress disorder in adulthood. Front. Psychiatry 2022, 13, 919191. [Google Scholar] [CrossRef] [PubMed]
- Lampe, A.; Riedl, D.; Kampling, H.; Nolte, T.; Kirchhoff, C.; Grote, V.; Fischer, M.J.; Kruse, J. Improvements of complex posttraumatic stress disorder (cPTSD) symptoms during a psychosomatic inpatient treatment—Results of an observational single center pilot study. Eur. J. Psychotraumatol. 2023; under review. [Google Scholar]
- Tzartzas, K.; de Roten, Y.; Ambresin, G. Intensive and Brief Psychodynamic Psychotherapy in Severely Depressed Inpatients: A Case Study and Thematic Analysis. Psychodyn. Psychiatry 2023, 51, 224–240. [Google Scholar] [CrossRef]
- Knapen, S.; van Diemen, R.; Hutsebaut, J.; Fonagy, P.; Beekman, A. Defining the Concept and Clinical Features of Epistemic Trust: A Delphi study. J. Nerv. Ment. Dis. 2022, 210, 312–314. [Google Scholar] [CrossRef]
- Fonagy, P.; Campbell, C.; Constantinou, M.; Higgitt, A.; Allison, E.; Luyten, P. Culture and psychopathology: An attempt at reconsidering the role of social learning. Dev. Psychopathol. 2022, 34, 1205–1220. [Google Scholar] [CrossRef]
- Henn, J.; Kessemeier, F.; Kobelt-Pönicke, A.; Bassler, M.; Schmidt, J.; Nübling, R. [Rehabilitation Outcome and Therapeutic Alliance of Inpatients of Psychosomatic Rehabilitation with Pension Request]. Psychother. Psychosom. Med. Psychol. 2021, 71, 311–319. [Google Scholar] [CrossRef]
- Peters, M.; Budde, A.; Jeising, A.; Lindner, J.; Schulz, H. [Mentalization ability and treatment success in psychosomatic rehabilitation]. Z. Psychosom. Med. Psychother. 2022, 68, 397–413. [Google Scholar] [CrossRef]
- Oppenauer, C.; Sprung, M.; Gradl, S.; Burghardt, J. Dialectical behaviour therapy for posttraumatic stress disorder (DBT-PTSD): Transportability to everyday clinical care in a residential mental health centre. Eur. J. Psychotraumatol. 2023, 14, 2157159. [Google Scholar] [CrossRef] [PubMed]




| N | % | |
|---|---|---|
| Mean age (SD) | ||
| <40 | 179 | (23.2) |
| 40–50 | 191 | (24.8) |
| 50–60 | 347 | (45.0) |
| >60 | 54 | (7.0) |
| Sex | ||
| female | 464 | (60.2) |
| male | 307 | (39.8) |
| Relationship status | ||
| Divorced | 112 | (14.5) |
| Single | 253 | (32.8) |
| Married | 392 | (50.8) |
| Widowed | 12 | (1.6) |
| Missing | 2 | (0.3) |
| ICD-10 diagnosis 1 | ||
| Depressive disorder (F32–F34) | 484 | (62.8) |
| Anxiety disorder (F41) | 69 | (8.9) |
| PTSD/cPTSD (F43.1/F62.0) | 43 | (5.6) |
| Adjustment disorder (F43.0, F43.2, F43.9) | 96 | (12.5) |
| Somatization disorder (F44, F45, F54) | 22 | (2.9) |
| Other disorder | 57 | (7.4) |
| BSI-18 | ||
| Depression | 579 | (75.1%) |
| Anxiety | 616 | (79.9%) |
| Somatization | 473 | (61.3%) |
| BSI-18 Performance 1 | T1 | Post Hoc Tests T1 | T2 | Post Hoc Tests T2 | Time | Group | Time × Group | ||||||||||
|---|---|---|---|---|---|---|---|---|---|---|---|---|---|---|---|---|---|
| M | (SD) | W-A | W-B | A-B | M | (SD) | W-A | W-B | A-B | p | η2 | p | η2 | p | η2 | ||
| Epistemic trust | worst | 23.5 | 5.2 | 23.8 | 5.5 | 0.49 | <0.01 | ||||||||||
| average | 24.6 | 4.8 | 25.1 | 5.2 | 0.11 | <0.01 | |||||||||||
| best | 24.5 | 5.5 | 25.6 | 4.4 | 0.001 | 0.015 | |||||||||||
| total | 24.2 | 5.2 | 0.08 | 0.10 | 1.0 | 24.8 | 5.1 | 0.011 | <0.001 | 0.74 | 0.001 | 0.014 | 0.001 | 0.018 | 0.15 | <0.01 | |
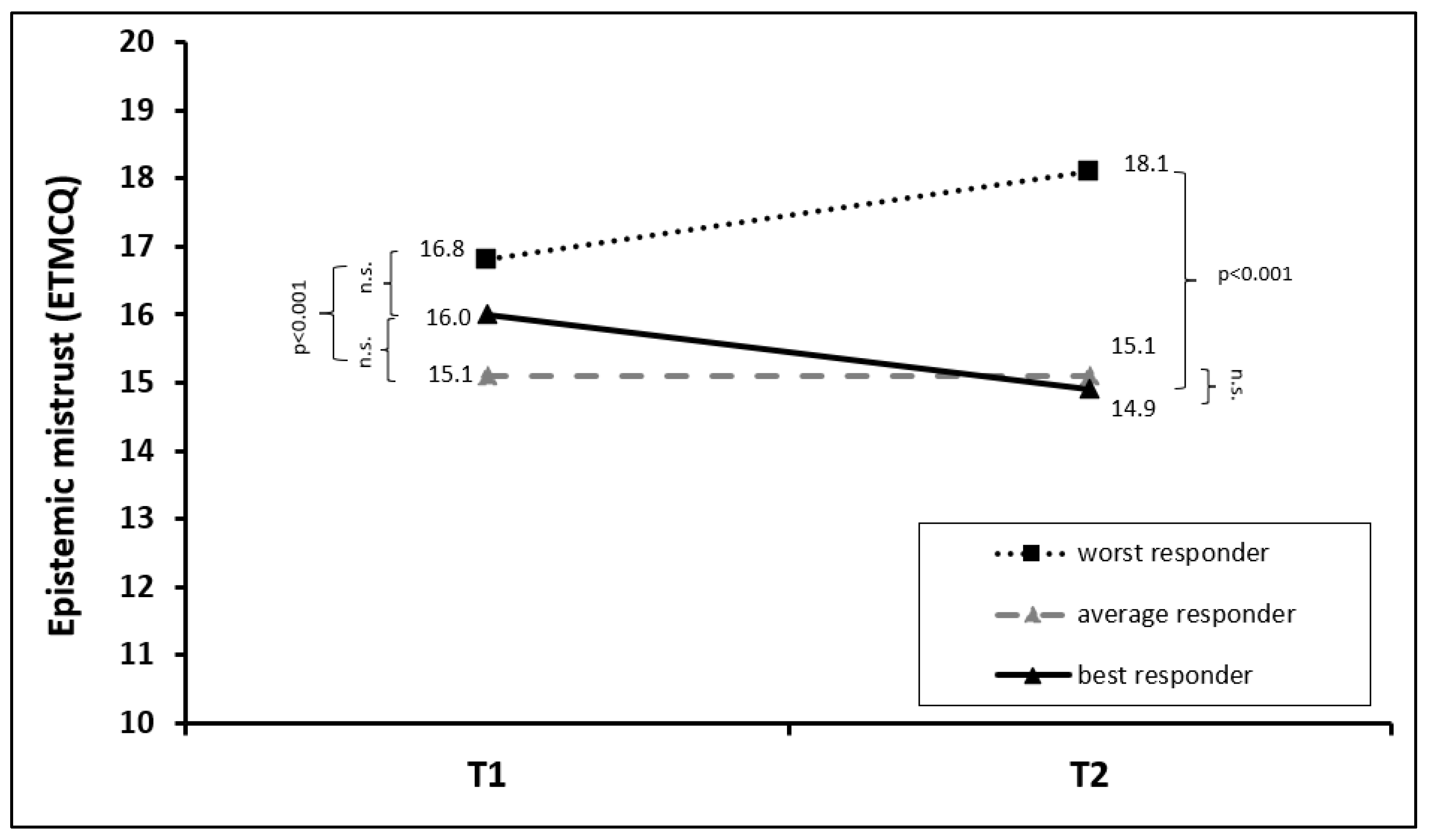
| Epistemic mistrust | worst | 16.8 | 4.4 | 18.1 | 4.0 | <0.001 | 0.04 | ||||||||||
| average | 15.1 | 4.5 | 15.1 | 4.4 | 1.00 | <0.01 | |||||||||||
| best | 16.0 | 4.5 | 14.9 | 4.3 | <0.001 | 0.02 | |||||||||||
| total | 15.9 | 4.5 | <0.001 | 0.13 | 0.07 | 16.0 | 4.5 | <0.001 | <0.001 | 1.00 | 0.50 | <0.01 | <0.001 | 0.067 | <0.001 | 0.06 | |
| Epistemic credulity | worst | 16.1 | 4.9 | 17.1 | 5.0 | <0.001 | 0.02 | ||||||||||
| average | 14.1 | 4.2 | 14.2 | 4.3 | 0.64 | <0.01 | |||||||||||
| best | 14.6 | 4.8 | 14.6 | 4.5 | 0.96 | <0.01 | |||||||||||
| total | 14.9 | 4.7 | <0.001 | 0.001 | 0.56 | 15.3 | 4.8 | <0.001 | <0.001 | 0.84 | 0.007 | 0.010 | <0.001 | 0.057 | 0.006 | 0.01 | |
Disclaimer/Publisher’s Note: The statements, opinions and data contained in all publications are solely those of the individual author(s) and contributor(s) and not of MDPI and/or the editor(s). MDPI and/or the editor(s) disclaim responsibility for any injury to people or property resulting from any ideas, methods, instructions or products referred to in the content. |
© 2023 by the authors. Licensee MDPI, Basel, Switzerland. This article is an open access article distributed under the terms and conditions of the Creative Commons Attribution (CC BY) license (https://creativecommons.org/licenses/by/4.0/).
Share and Cite
Riedl, D.; Kampling, H.; Kruse, J.; Nolte, T.; Labek, K.; Kirchhoff, C.; Grote, V.; Fischer, M.J.; Knipel, A.; Lampe, A. Epistemic Trust Is a Critical Success Factor in Psychosomatic Rehabilitation—Results from a Naturalistic Multi-Center Observational Study. J. Clin. Med. 2024, 13, 177. https://doi.org/10.3390/jcm13010177
Riedl D, Kampling H, Kruse J, Nolte T, Labek K, Kirchhoff C, Grote V, Fischer MJ, Knipel A, Lampe A. Epistemic Trust Is a Critical Success Factor in Psychosomatic Rehabilitation—Results from a Naturalistic Multi-Center Observational Study. Journal of Clinical Medicine. 2024; 13(1):177. https://doi.org/10.3390/jcm13010177
Chicago/Turabian StyleRiedl, David, Hanna Kampling, Johannes Kruse, Tobias Nolte, Karin Labek, Christina Kirchhoff, Vincent Grote, Michael J. Fischer, Alexander Knipel, and Astrid Lampe. 2024. "Epistemic Trust Is a Critical Success Factor in Psychosomatic Rehabilitation—Results from a Naturalistic Multi-Center Observational Study" Journal of Clinical Medicine 13, no. 1: 177. https://doi.org/10.3390/jcm13010177
APA StyleRiedl, D., Kampling, H., Kruse, J., Nolte, T., Labek, K., Kirchhoff, C., Grote, V., Fischer, M. J., Knipel, A., & Lampe, A. (2024). Epistemic Trust Is a Critical Success Factor in Psychosomatic Rehabilitation—Results from a Naturalistic Multi-Center Observational Study. Journal of Clinical Medicine, 13(1), 177. https://doi.org/10.3390/jcm13010177

