Gout and Migraines: Exploring the Complex Link in a 16-Year Longitudinal Study of the Korean Population
Abstract
1. Introduction
2. Patients and Methods
2.1. Definitions of Gout (Independent Variable) and Migraine (Dependent Variable)
2.2. Covariates
2.3. Statistical Analyses
3. Results
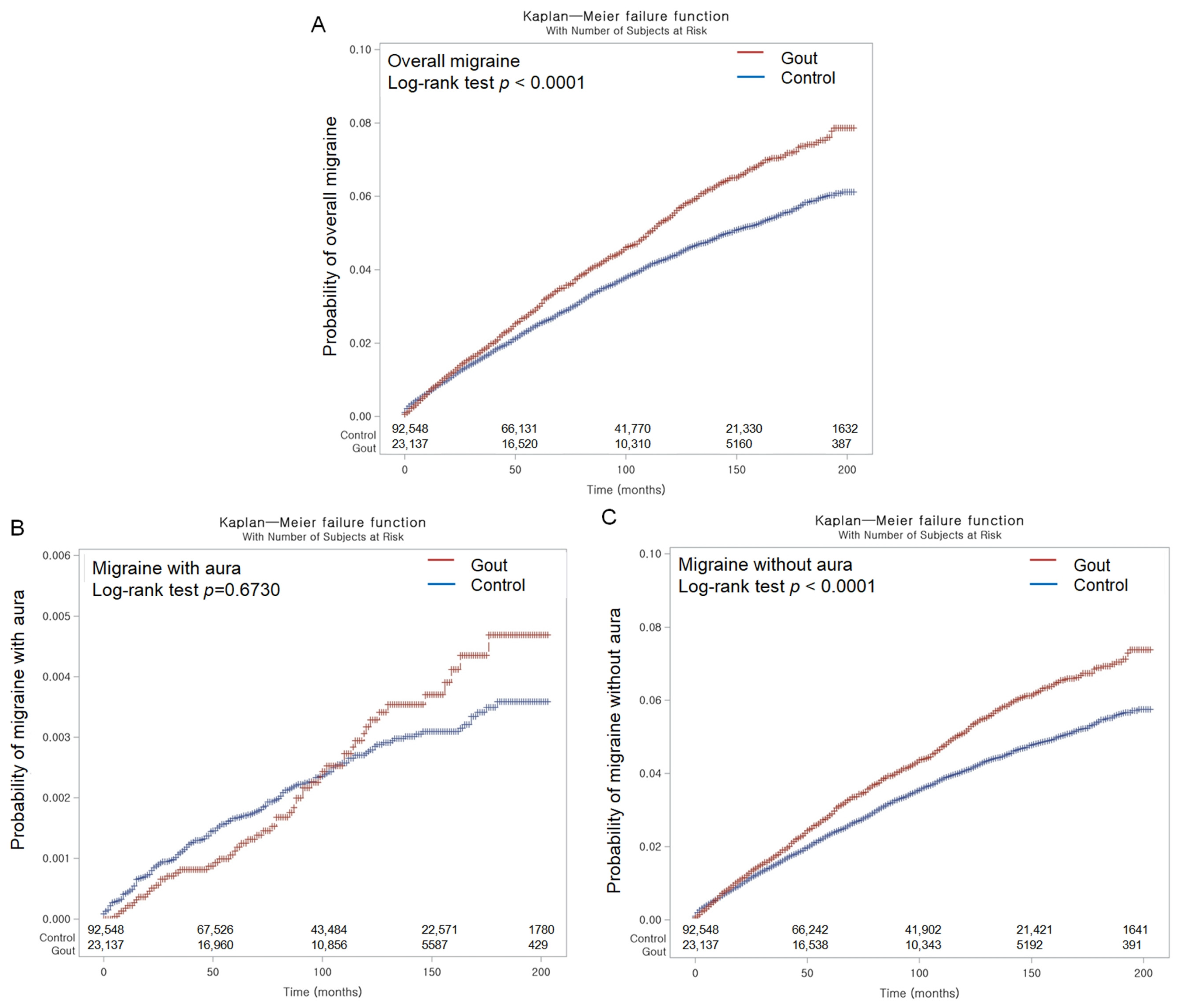
3.1. Occurrence of Migraines in the Gout and Control Groups
3.2. Association between Gout and Migraines Based on the Presence or Absence of Aura
4. Discussion
5. Conclusions
Author Contributions
Funding
Institutional Review Board Statement
Informed Consent Statement
Data Availability Statement
Conflicts of Interest
References
- Kuo, C.F.; Grainge, M.J.; Zhang, W.; Doherty, M. Global epidemiology of gout: Prevalence, incidence and risk factors. Nat. Rev. Rheumatol. 2015, 11, 649–662. [Google Scholar] [CrossRef] [PubMed]
- Kuo, C.F.; Grainge, M.J.; Mallen, C.; Zhang, W.; Doherty, M. Rising burden of gout in the UK but continuing suboptimal management: A nationwide population study. Ann. Rheum. Dis. 2015, 74, 661–667. [Google Scholar] [CrossRef] [PubMed]
- Zhu, Y.; Pandya, B.J.; Choi, H.K. Prevalence of gout and hyperuricemia in the US general population: The National Health and Nutrition Examination Survey 2007–2008. Arthritis Rheum. 2011, 63, 3136–3141. [Google Scholar] [CrossRef] [PubMed]
- Kuo, C.F.; Grainge, M.J.; See, L.C.; Yu, K.H.; Luo, S.F.; Zhang, W.; Doherty, M. Epidemiology and management of gout in Taiwan: A nationwide population study. Arthritis Res. Ther. 2015, 17, 13. [Google Scholar] [CrossRef] [PubMed]
- Kim, J.W.; Kwak, S.G.; Lee, H.; Kim, S.K.; Choe, J.Y.; Park, S.H. Prevalence and incidence of gout in Korea: Data from the national health claims database 2007–2015. Rheumatol. Int. 2017, 37, 1499–1506. [Google Scholar] [CrossRef]
- Park, J.S.; Kang, M.; Song, J.-S.; Kim, H.S.; Lee, C.H. Trends of Gout Prevalence in South Korea Based on Medical Utilization: A National Health Insurance Service Database (2002–2015). J. Rheum. Dis. 2020, 27, 174–181. [Google Scholar] [CrossRef]
- Lee, C.H.; Sung, N.Y.; Lee, J.; Bae, S.C. Factors associated with gout in South Koreans: Analysis using the National Health Insurance Corporation and the National Health Screening Exam databases. Clin. Rheumatol. 2013, 32, 829–837. [Google Scholar] [CrossRef]
- Singh, J.A.; Cleveland, J.D. Gout and the risk of Parkinson’s disease in older adults: A study of U.S. Medicare data. BMC Neurol. 2019, 19, 4. [Google Scholar] [CrossRef]
- Topiwala, A.; Mankia, K.; Bell, S.; Webb, A.; Ebmeier, K.P.; Howard, I.; Wang, C.; Alfaro-Almagro, F.; Miller, K.; Burgess, S.; et al. Association of gout with brain reserve and vulnerability to neurodegenerative disease. Nat. Commun. 2023, 14, 2844. [Google Scholar] [CrossRef]
- Borghi, C.; Agabiti-Rosei, E.; Johnson, R.J.; Kielstein, J.T.; Lurbe, E.; Mancia, G.; Redon, J.; Stack, A.G.; Tsioufis, K.P. Hyperuricaemia and gout in cardiovascular, metabolic and kidney disease. Eur. J. Intern. Med. 2020, 80, 1–11. [Google Scholar] [CrossRef]
- Kwon, M.J.; Park, J.Y.; Kim, S.G.; Kim, J.K.; Lim, H.; Kim, J.H.; Kim, J.H.; Cho, S.J.; Nam, E.S.; Park, H.Y.; et al. Potential Association of Osteoporosis and Not Osteoporotic Fractures in Patients with Gout: A Longitudinal Follow-Up Study. Nutrients 2022, 15, 134. [Google Scholar] [CrossRef] [PubMed]
- Primatesta, P.; Plana, E.; Rothenbacher, D. Gout treatment and comorbidities: A retrospective cohort study in a large US managed care population. BMC Musculoskelet. Disord. 2011, 12, 103. [Google Scholar] [CrossRef] [PubMed][Green Version]
- Rasmussen, B.K.; Olesen, J. Migraine with aura and migraine without aura: An epidemiological study. Cephalalgia 1992, 12, 221–228; discussion 186. [Google Scholar] [CrossRef]
- Amiri, P.; Kazeminasab, S.; Nejadghaderi, S.A.; Mohammadinasab, R.; Pourfathi, H.; Araj-Khodaei, M.; Sullman, M.J.M.; Kolahi, A.A.; Safiri, S. Migraine: A Review on Its History, Global Epidemiology, Risk Factors, and Comorbidities. Front. Neurol. 2021, 12, 800605. [Google Scholar] [CrossRef] [PubMed]
- Burch, R.C.; Buse, D.C.; Lipton, R.B. Migraine: Epidemiology, Burden, and Comorbidity. Neurol. Clin. 2019, 37, 631–649. [Google Scholar] [CrossRef] [PubMed]
- Charles, A. The pathophysiology of migraine: Implications for clinical management. Lancet Neurol. 2018, 17, 174–182. [Google Scholar] [CrossRef] [PubMed]
- Dell’Isola, A.; Turkiewicz, A.; Zhang, W.; Bierma-Zeinstra, S.; Runhaar, J.; Prieto-Alhambra, D.; Swain, S.; Kiadaliri, A.; Englund, M. The association between preexisting conditions and osteoarthritis development in peripheral joints: A population based nested case-control study. Osteoarthr. Cartil. Open 2022, 4, 100265. [Google Scholar] [CrossRef]
- Peroutka, S.J.; Price, S.C.; Jones, K.W. The Comorbid Association of Migraine with Osteoarthritis and Hypertension: Complement C3F and Berkson’s Bias. Cephalalgia 1997, 17, 23–26. [Google Scholar] [CrossRef]
- El-Sonbaty, H.A.-E.; Zarad, C.A.; Mohamed, M.R.; Abou Elmaaty, A.A. Migraine in patients with rheumatoid arthritis and its relation to disease activity. Egypt. J. Neurol. Psychiatry Neurosurg. 2021, 57, 152. [Google Scholar] [CrossRef]
- Jacob, L.; Shin, J.I.; Lopez-Sanchez, G.F.; Haro, J.M.; Koyanagi, A.; Kim, J.Y.; Kim, J.H.; Oh, H.; Smith, L. Association between Arthritis and Migraine: A US Nationally Representative Study Including 2649 Adults. J. Clin. Med. 2021, 10, 342. [Google Scholar] [CrossRef]
- Kursun, O.; Yemisci, M.; van den Maagdenberg, A.; Karatas, H. Migraine and neuroinflammation: The inflammasome perspective. J. Headache Pain 2021, 22, 55. [Google Scholar] [CrossRef]
- Wang, S.J.; Chen, P.K.; Fuh, J.L. Comorbidities of migraine. Front. Neurol. 2010, 1, 16. [Google Scholar] [CrossRef]
- Altunkaynak, Y.; Keskek, A.; Donmezler, S.; Yazar, T.; Olgun, H.; Delen, F.; Kurt Sabitay, I.; Ozturk, M.; Ertem, D.H. A study of the relationship between serum uric acid levels and pain in patients with migraine. Medicine 2023, 102, e32810. [Google Scholar] [CrossRef]
- Hong, P.; Liu, Y.; Wan, Y.; Xiong, H.; Xu, Y. An Exponential Curve Relationship Between Serum Urate and Migraine: A Cross-Section Study From NHANES. Front. Neurol. 2022, 13, 871783. [Google Scholar] [CrossRef]
- Yazar, T.; Yazar, H.O.; Aygun, A.; Karabacak, V.; Altunkaynak, Y.; Kirbas, D. Evaluation of serum uric levels in migraine. Neurol. Sci. 2021, 42, 705–709. [Google Scholar] [CrossRef]
- Yasin, S.; Altunisik, E. Decreased Serum Uric Acid Level as an Indicator of Altered Oxidative Balance in Patients with Migraine. Cureus 2022, 14, e32136. [Google Scholar] [CrossRef]
- Wang, X.; Cheng, Z. Cross-Sectional Studies: Strengths, Weaknesses, and Recommendations. Chest 2020, 158, S65–S71. [Google Scholar] [CrossRef]
- Seong, S.C.; Kim, Y.Y.; Park, S.K.; Khang, Y.H.; Kim, H.C.; Park, J.H.; Kang, H.J.; Do, C.H.; Song, J.S.; Lee, E.J.; et al. Cohort profile: The National Health Insurance Service-National Health Screening Cohort (NHIS-HEALS) in Korea. BMJ Open 2017, 7, e016640. [Google Scholar] [CrossRef]
- Kwon, M.J.; Choi, H.G.; Kim, Y.H.; Kim, J.H.; Rim, H.T.; Lee, H.S.; Oh, J.K.; Chang, I.B.; Song, J.H.; Kim, J.H. A higher probability of subsequent stroke and ischemic heart disease in migraine patients: A longitudinal follow-up study in Korea. J. Headache Pain 2023, 24, 98. [Google Scholar] [CrossRef]
- Kang, H.S.; Kim, S.Y.; Kim, J.H.; Kim, E.S.; Choi, H.G.; Lim, H.; Kim, J.H.; Park, H.Y.; Kim, N.Y.; Hong, S.; et al. Association between Migraines and Prior Proton Pump Inhibitor Use: A Nested Case-Control Study Using a National Health Screening Cohort. Pharmaceuticals 2022, 15, 1385. [Google Scholar] [CrossRef] [PubMed]
- WHO; IASO; IOTF. The Asia-Pacific Perspective: Redefining Obesity and Its Treatment; Health Communication Network Pty Ltd.: Sydney, Australia, 2000.
- Quan, H.; Li, B.; Couris, C.M.; Fushimi, K.; Graham, P.; Hider, P.; Januel, J.M.; Sundararajan, V. Updating and validating the Charlson comorbidity index and score for risk adjustment in hospital discharge abstracts using data from 6 countries. Am. J. Epidemiol. 2011, 173, 676–682. [Google Scholar] [CrossRef] [PubMed]
- Quan, H.; Sundararajan, V.; Halfon, P.; Fong, A.; Burnand, B.; Luthi, J.C.; Saunders, L.D.; Beck, C.A.; Feasby, T.E.; Ghali, W.A. Coding algorithms for defining comorbidities in ICD-9-CM and ICD-10 administrative data. Med. Care 2005, 43, 1130–1139. [Google Scholar] [CrossRef] [PubMed]
- Austin, P.C. Balance diagnostics for comparing the distribution of baseline covariates between treatment groups in propensity-score matched samples. Stat. Med. 2009, 28, 3083–3107. [Google Scholar] [CrossRef] [PubMed]
- Oie, L.R.; Kurth, T.; Gulati, S.; Dodick, D.W. Migraine and risk of stroke. J. Neurol. Neurosurg. Psychiatry 2020, 91, 593–604. [Google Scholar] [CrossRef] [PubMed]
- Valecha, J.; Khandait, H.; Sk, A.; Gupta, V.; Kumawat, S.; Anamika, F.; Jain, R.; Dua, D. Migraine and heart: A reality check. Glob. Cardiol. Sci. Pract. 2023, 2023, e202320. [Google Scholar] [CrossRef] [PubMed]
- Singh, J.A.; Reddy, S.G.; Kundukulam, J. Risk factors for gout and prevention: A systematic review of the literature. Curr. Opin. Rheumatol. 2011, 23, 192–202. [Google Scholar] [CrossRef] [PubMed]
- Elgendy, I.Y.; Nadeau, S.E.; Bairey Merz, C.N.; Pepine, C.J.; American College of Cardiology Cardiovascular Disease in Women Committee. Migraine Headache: An Under-Appreciated Risk Factor for Cardiovascular Disease in Women. J. Am. Heart Assoc. 2019, 8, e014546. [Google Scholar] [CrossRef] [PubMed]
- Krishnan, E. Inflammation, oxidative stress and lipids: The risk triad for atherosclerosis in gout. Rheumatology 2010, 49, 1229–1238. [Google Scholar] [CrossRef]
- Stewart, S.; Guillen, A.G.; Taylor, W.J.; Gaffo, A.; Slark, J.; Gott, M.; Dalbeth, N. The experience of a gout flare: A meta-synthesis of qualitative studies. Semin. Arthritis Rheum. 2020, 50, 805–811. [Google Scholar] [CrossRef]
- Stubberud, A.; Buse, D.C.; Kristoffersen, E.S.; Linde, M.; Tronvik, E. Is there a causal relationship between stress and migraine? Current evidence and implications for management. J. Headache Pain 2021, 22, 155. [Google Scholar] [CrossRef]
- Yokose, K.; Sato, S.; Asano, T.; Yashiro, M.; Kobayashi, H.; Watanabe, H.; Suzuki, E.; Sato, C.; Kozuru, H.; Yatsuhashi, H.; et al. TNF-alpha potentiates uric acid-induced interleukin-1beta (IL-1beta) secretion in human neutrophils. Mod. Rheumatol. 2018, 28, 513–517. [Google Scholar] [CrossRef] [PubMed]
- Amaral, F.A.; Bastos, L.F.; Oliveira, T.H.; Dias, A.C.; Oliveira, V.L.; Tavares, L.D.; Costa, V.V.; Galvao, I.; Soriani, F.M.; Szymkowski, D.E.; et al. Transmembrane TNF-alpha is sufficient for articular inflammation and hypernociception in a mouse model of gout. Eur. J. Immunol. 2016, 46, 204–211. [Google Scholar] [CrossRef] [PubMed]
- Martinon, F.; Petrilli, V.; Mayor, A.; Tardivel, A.; Tschopp, J. Gout-associated uric acid crystals activate the NALP3 inflammasome. Nature 2006, 440, 237–241. [Google Scholar] [CrossRef]
- Chen, L.; Li, X.; Huang, L.; Wu, Q.; Chen, L.; Wan, Q. Chemical stimulation of the intracranial dura activates NALP3 inflammasome in trigeminal ganglia neurons. Brain Res. 2014, 1566, 1–11. [Google Scholar] [CrossRef] [PubMed]
- Amorini, A.M.; Petzold, A.; Tavazzi, B.; Eikelenboom, J.; Keir, G.; Belli, A.; Giovannoni, G.; Di Pietro, V.; Polman, C.; D’Urso, S.; et al. Increase of uric acid and purine compounds in biological fluids of multiple sclerosis patients. Clin. Biochem. 2009, 42, 1001–1006. [Google Scholar] [CrossRef] [PubMed]
- Pradhan, A.A.; Bertels, Z.; Akerman, S. Targeted Nitric Oxide Synthase Inhibitors for Migraine. Neurotherapeutics 2018, 15, 391–401. [Google Scholar] [CrossRef] [PubMed]
- Cieslak, M.; Czarnecka, J.; Roszek, K.; Komoszynski, M. The role of purinergic signaling in the etiology of migraine and novel antimigraine treatment. Purinergic Signal. 2015, 11, 307–316. [Google Scholar] [CrossRef] [PubMed]
- Matsuo, H.; Yamamoto, K.; Nakaoka, H.; Nakayama, A.; Sakiyama, M.; Chiba, T.; Takahashi, A.; Nakamura, T.; Nakashima, H.; Takada, Y.; et al. Genome-wide association study of clinically defined gout identifies multiple risk loci and its association with clinical subtypes. Ann. Rheum. Dis. 2016, 75, 652–659. [Google Scholar] [CrossRef]
- Harmel, N.; Cokic, B.; Zolles, G.; Berkefeld, H.; Mauric, V.; Fakler, B.; Stein, V.; Klocker, N. AMPA receptors commandeer an ancient cargo exporter for use as an auxiliary subunit for signaling. PLoS ONE 2012, 7, e30681. [Google Scholar] [CrossRef]
- Bathel, A.; Schweizer, L.; Stude, P.; Glaubitz, B.; Wulms, N.; Delice, S.; Schmidt-Wilcke, T. Increased thalamic glutamate/glutamine levels in migraineurs. J. Headache Pain 2018, 19, 55. [Google Scholar] [CrossRef]
- Feng, L.; Ning, R.; Liu, J.; Liang, S.; Xu, Q.; Liu, Y.; Liu, W.; Duan, J.; Sun, Z. Silica nanoparticles induce JNK-mediated inflammation and myocardial contractile dysfunction. J. Hazard. Mater. 2020, 391, 122206. [Google Scholar] [CrossRef] [PubMed]
- Thomas, L.E.; Li, F.; Pencina, M.J. Overlap Weighting: A Propensity Score Method That Mimics Attributes of a Randomized Clinical Trial. JAMA 2020, 323, 2417–2418. [Google Scholar] [CrossRef] [PubMed]
- Kuo, C.F.; Yu, K.H.; See, L.C.; Chou, I.J.; Ko, Y.S.; Chang, H.C.; Chiou, M.J.; Luo, S.F. Risk of myocardial infarction among patients with gout: A nationwide population-based study. Rheumatology 2013, 52, 111–117. [Google Scholar] [CrossRef] [PubMed]


| Characteristics | Before Overlap Weighting Adjustment | After Overlap Weighting Adjustment | |||||
|---|---|---|---|---|---|---|---|
| Gout | Control | Standardized Difference | Gout | Control | Standardized Difference | ||
| Age (n, %) | 0.00 | 0.00 | |||||
| 40–44 | 583 (2.52) | 2332 (2.52) | 456 (2.51) | 456 (2.51) | |||
| 45–49 | 2023 (8.74) | 8092 (8.74) | 1578 (8.69) | 1578 (8.69) | |||
| 50–54 | 3490 (15.08) | 13,960 (15.08) | 2737 (15.07) | 2737 (15.07) | |||
| 55–59 | 4538 (19.61) | 18,152 (19.61) | 3561 (19.61) | 3561 (19.61) | |||
| 60–64 | 3958 (17.11) | 15,832 (17.11) | 3108 (17.12) | 3108 (17.12) | |||
| 65–69 | 3293 (14.23) | 13,172 (14.23) | 2591 (14.27) | 2591 (14.27) | |||
| 70–74 | 2556 (11.05) | 10,224 (11.05) | 2006 (11.05) | 2006 (11.05) | |||
| 75–79 | 1655 (7.15) | 6620 (7.15) | 1304 (7.18) | 1304 (7.18) | |||
| 80–84 | 795 (3.44) | 3180 (3.44) | 624 (3.44) | 624 (3.44) | |||
| 85+ | 246 (1.06) | 984 (1.06) | 192 (1.06) | 192 (1.06) | |||
| Sex (n, %) | 0.00 | 0.00 | |||||
| Male | 18,624 (80.49) | 74,496 (80.49) | 14,587 (80.34) | 14,587 (80.34) | |||
| Female | 4513 (19.51) | 18,052 (19.51) | 3570 (19.66) | 3570 (19.66) | |||
| Income (n, %) | 0.00 | 0.00 | |||||
| 1 (lowest) | 3323 (14.36) | 13,292 (14.36) | 2613 (14.39) | 2613 (14.39) | |||
| 2 | 2860 (12.36) | 11,440 (12.36) | 2247 (12.38) | 2247 (12.38) | |||
| 3 | 3470 (15.00) | 13,880 (15.00) | 2721 (14.99) | 2721 (14.99) | |||
| 4 | 4870 (21.05) | 19,480 (21.05) | 3817 (21.02) | 3817 (21.02) | |||
| 5 (highest) | 8614 (37.23) | 34,456 (37.23) | 6759 (37.22) | 6759 (37.22) | |||
| Region of residence (n, %) | 0.00 | 0.00 | |||||
| Urban | 9861 (42.62) | 39,444 (42.62) | 7742 (42.64) | 7742 (42.64) | |||
| Rural | 13,276 (57.38) | 53,104 (57.38) | 10,416 (57.36) | 10,416 (57.36) | |||
| Obesity (n, %) | 0.28 | 0.00 | |||||
| Underweight | 301 (1.30) | 2341 (2.53) | 265 (1.46) | 265 (1.46) | |||
| Normal | 5785 (25.00) | 32,144 (34.73) | 4872 (26.83) | 4872 (26.83) | |||
| Overweight | 6348 (27.44) | 25,922 (28.01) | 5066 (27.90) | 5066 (27.90) | |||
| Obese I | 9680 (41.84) | 29,864 (32.27) | 7254 (39.95) | 7254 (39.95) | |||
| Obese II | 1023 (4.42) | 2277 (2.46) | 701 (3.86) | 701 (3.86) | |||
| Smoking status (n, %) | 0.04 | 0.00 | |||||
| Non-smoker | 12,467 (53.88) | 49,897 (53.91) | 9799 (53.96) | 9799 (53.96) | |||
| Past smoker | 3261 (14.09) | 11,854 (12.81) | 2507 (13.81) | 2507 (13.81) | |||
| Current smoker | 7409 (32.02) | 30,797 (33.28) | 5852 (32.23) | 5852 (32.23) | |||
| Alcohol consumption (n, %) | 0.11 | 0.00 | |||||
| <1 time a week | 13,259 (57.31) | 57,894 (62.56) | 10,609 (58.43) | 10,609 (58.43) | |||
| ≥1 time a week | 9878 (42.69) | 34,654 (37.44) | 7548 (41.57) | 7548 (41.57) | |||
| SBP (Mean, SD) | 129.71 (16.84) | 127.40 (16.23) | 0.14 | 129.21 (14.80) | 129.21 (7.34) | 0.00 | |
| DBP (Mean, SD) | 80.23 (11.05) | 78.82 (10.50) | 0.13 | 79.92 (9.72) | 79.92 (4.73) | 0.00 | |
| Fasting blood glucose (Mean, SD) | 102.59 (28.11) | 103.07 (30.81) | 0.02 | 102.68 (25.39) | 102.68 (12.51) | 0.00 | |
| Total cholesterol (Mean, SD) | 198.20 (40.42) | 195.41 (38.08) | 0.07 | 197.58 (35.59) | 197.58 (17.17) | 0.00 | |
| CCI score (Mean, SD) | 1.20 (1.83) | 0.99 (1.72) | 0.12 | 1.15 (1.58) | 1.15 (0.84) | 0.00 | |
| Migraines with aura (n, %) | 54 (0.23) | 202 (0.22) | 0.00 | 43 (0.24) | 40 (0.22) | 0.00 | |
| Migraines without aura (n, %) | 946 (4.09) | 3012 (3.25) | 0.04 | 741 (4.08) | 593 (3.26) | 0.04 | |
| N of Event/N of Total (%) | Follow-Up Duration (PY) | IR Per 1000 (PY) | IRD (95% CI) | Hazard Ratios for Migraine | |||||
|---|---|---|---|---|---|---|---|---|---|
| Crude | p | Overlap Weighted Model † | p | ||||||
| Total participants | |||||||||
| Gout | 1000/23,137 (4.32) | 170,738 | 5.86 | 1.19 (0.81–1.56) | 1.25 (1.16–1.34) | <0.001 * | 1.26 (1.18–1.33) | <0.001 * | |
| Control | 3214/92,548 (3.47) | 687,917 | 4.67 | 1 | 1 | ||||
| Age < 70 years old | |||||||||
| Gout | 824/17,885 (4.61) | 145,828 | 5.65 | 1.32 (0.93–1.71) | 1.30 (1.20–1.41) | <0.001 * | 1.30 (1.22–1.39) | <0.001 * | |
| Control | 2546/71,540 (3.56) | 588,045 | 4.33 | 1 | 1 | ||||
| Age ≥ 70 years old | |||||||||
| Gout | 176/5252 (3.35) | 24,910 | 7.07 | 0.38 (−0.76–1.52) | 1.05 (0.89–1.24) | 0.554 | 1.07 (0.94–1.23) | 0.301 | |
| Control | 668/21,008 (3.18) | 99,872 | 6.69 | 1 | 1 | ||||
| Male | |||||||||
| Gout | 650/18,624 (3.49) | 140,381 | 4.63 | 0.80 (0.43–1.17) | 1.21 (1.10–1.32) | <0.001 * | 1.22 (1.14–1.31) | <0.001 * | |
| Control | 2155/74,496 (2.89) | 562,459 | 3.83 | 1 | 1 | ||||
| Female | |||||||||
| Gout | 350/4513 (7.76) | 30,357 | 11.50 | 3.06 (1.90–4.28) | 1.35 (1.20–1.53) | <0.001 * | 1.32 (1.19–1.46) | <0.001 * | |
| Control | 1059/18,052 (5.87) | 125,458 | 8.44 | 1 | 1 | ||||
| Low-income group | |||||||||
| Gout | 482/9653 (4.99) | 67,928 | 7.10 | 1.68 (1.04–2.31) | 1.30 (1.18–1.45) | <0.001 * | 1.31 (1.20–1.43) | <0.001 * | |
| Control | 1487/38,612 (3.85) | 274,345 | 5.42 | 1 | 1 | ||||
| High-income group | |||||||||
| Gout | 518/13,484 (3.84) | 102,810 | 5.04 | 0.86 (0.41–1.31) | 1.20 (1.09–1.33) | <0.001 * | 1.21 (1.11–1.31) | <0.001 * | |
| Control | 1727/53,936 (3.20) | 413,572 | 4.18 | 1 | 1 | ||||
| Urban resident | |||||||||
| Gout | 383/9861 (3.88) | 74,339 | 5.15 | 0.85 (0.32–1.39) | 1.19 (1.07–1.34) | 0.002 * | 1.20 (1.09–1.32) | <0.001 * | |
| Control | 1289/39,444 (3.27) | 299,849 | 4.30 | 1 | 1 | ||||
| Rural resident | |||||||||
| Gout | 617/13,276 (4.65) | 96,399 | 6.40 | 1.44 (0.93–1.95) | 1.29 (1.17–1.41) | <0.001 * | 1.29 (1.20–1.39) | <0.001 * | |
| Control | 1925/53,104 (3.62) | 388,068 | 4.96 | 1 | 1 | ||||
| Underweight | |||||||||
| Gout | 11/301 (3.65) | 1845 | 5.96 | 1.16 (−2.23–4.56) | 1.22 (0.65–2.31) | 0.533 | 1.20 (0.79–1.84) | 0.398 | |
| Control | 72/2341 (3.08) | 14,997 | 4.80 | 1 | 1 | ||||
| Normal weight | |||||||||
| Gout | 263/5785 (4.55) | 41,140 | 6.39 | 1.54 (0.80–2.29) | 1.30 (1.14–1.49) | <0.001 * | 1.24 (1.13–1.38) | <0.001 * | |
| Control | 1148/32,144 (3.57) | 236,931 | 4.85 | 1 | 1 | ||||
| Overweight | |||||||||
| Gout | 269/6348 (4.24) | 47,112 | 5.71 | 1.04 (0.34–1.74) | 1.22 (1.06–1.39) | 0.005 * | 1.22 (1.10–1.37) | <0.001 * | |
| Control | 915/25,922 (3.53) | 196,033 | 4.67 | 1 | 1 | ||||
| Obese | |||||||||
| Gout | 457/10,703 (4.27) | 80,641 | 5.67 | 1.17 (0.62–1.72) | 1.26 (1.13–1.41) | <0.001 * | 1.30 (1.18–1.43) | <0.001 * | |
| Control | 1079/32,141 (3.36) | 239,956 | 4.50 | 1 | 1 | ||||
| Non-smoker | |||||||||
| Gout | 670/12,467 (5.37) | 92,322 | 7.26 | 1.63 (1.07–2.18) | 1.29 (1.18–1.41) | <0.001 * | 1.29 (1.20–1.38) | <0.001 * | |
| Control | 2070/49,897 (4.15) | 367,435 | 5.63 | 1 | 1 | ||||
| Past and current smoker | |||||||||
| Gout | 330/10,670 (3.09) | 78,416 | 4.21 | 0.64 (0.16–1.11) | 1.17 (1.04–1.32) | 0.011 * | 1.19 (1.08–1.32) | <0.001 * | |
| Control | 1144/42,651 (2.68) | 320,482 | 3.57 | 1 | 1 | ||||
| Alcohol consumption < 1 time a week | |||||||||
| Gout | 682/13,259 (5.14) | 95,776 | 7.12 | 1.72 (1.19–2.25) | 1.31 (1.20–1.43) | <0.001 * | 1.26 (1.18–1.35) | <0.001 * | |
| Control | 2304/57,894 (3.98) | 426,697 | 5.40 | 1 | 1 | ||||
| Alcohol consumption ≥ 1 time a week | |||||||||
| Gout | 318/9878 (3.22) | 74,962 | 4.24 | 0.76 (0.27–1.25) | 1.22 (1.07–1.38) | 0.002 * | 1.23 (1.11–1.38) | <0.001 * | |
| Control | 910/34,654 (2.63) | 261,220 | 3.48 | 1 | 1 | ||||
| SBP < 140 mmHg and DBP < 90 mmHg | |||||||||
| Gout | 670/15,717 (4.26) | 110,255 | 6.08 | 1.34 (0.88–1.80) | 1.27 (1.17–1.39) | <0.001 * | 1.24 (1.16–1.33) | <0.001 * | |
| Control | 2330/68,278 (3.41) | 492,071 | 4.74 | 1 | 1 | ||||
| SBP ≥ 140 mmHg or DBP ≥ 90 mmHg | |||||||||
| Gout | 330/7420 (4.45) | 60,483 | 5.46 | 0.95 (0.31–1.57) | 1.21 (1.07–1.37) | 0.003 * | 1.29 (1.15–1.44) | <0.001 * | |
| Control | 884/24,270 (3.64) | 195,846 | 4.51 | 1 | 1 | ||||
| Fasting blood glucose < 100 mg/dL | |||||||||
| Gout | 650/13,015 (4.99) | 101,768 | 6.39 | 1.45 (0.96–1.94) | 1.29 (1.18–1.41) | <0.001 * | 1.30 (1.21–1.39) | <0.001 * | |
| Control | 2096/53,644 (3.91) | 424,563 | 4.94 | 1 | 1 | ||||
| Fasting blood glucose ≥ 100 mg/dL | |||||||||
| Gout | 350/10,122 (3.46) | 68,970 | 5.07 | 0.82 (0.27–1.39) | 1.19 (1.06–1.35) | 0.004 * | 1.19 (1.07–1.31) | <0.001 * | |
| Control | 1118/38,904 (2.87) | 263,354 | 4.25 | 1 | 1 | ||||
| Total cholesterol < 200 mg/dL | |||||||||
| Gout | 521/12,436 (4.19) | 86,682 | 6.01 | 1.26 (0.73–1.78) | 1.25 (1.14–1.38) | <0.001 * | 1.24 (1.14–1.34) | <0.001 * | |
| Control | 1791/52,406 (3.42) | 376,658 | 4.75 | 1 | 1 | ||||
| Total cholesterol ≥ 200 mg/dL | |||||||||
| Gout | 479/10,701 (4.48) | 84,056 | 5.70 | 1.13 (0.60–1.66) | 1.25 (1.12–1.38) | <0.001 * | 1.28 (1.17–1.40) | <0.001 * | |
| Control | 1423/40,142 (3.54) | 311,259 | 4.57 | 1 | 1 | ||||
| CCI scores = 0 | |||||||||
| Gout | 466/12,458 (3.74) | 92,953 | 5.01 | 1.03 (0.57–1.49) | 1.25 (1.13–1.39) | <0.001 * | 1.29 (1.19–1.41) | <0.001 * | |
| Control | 1704/56,064 (3.04) | 427,756 | 3.98 | 1 | 1 | ||||
| CCI scores = 1 | |||||||||
| Gout | 221/3994 (5.53) | 29,611 | 7.46 | 1.56 (0.55–2.58) | 1.26 (1.08–1.47) | 0.003 * | 1.28 (1.12–1.46) | <0.001 * | |
| Control | 635/14,591 (4.35) | 107,620 | 5.90 | 1 | 1 | ||||
| CCI scores ≥ 2 | |||||||||
| Gout | 313/6685 (4.68) | 48,174 | 6.50 | 0.76 (−0.03–1.55) | 1.14 (1.00–1.29) | 0.050 | 1.13 (1.01–1.26) | 0.038 * | |
| Control | 875/21,893 (4.00) | 152,541 | 5.74 | 1 | 1 | ||||
| N of Event/N of Total (%) | Follow-Up Duration (PY) | IR Per 1000 (PY) | IRD (95% CI) | Hazard Ratios for Migraines with Aura | |||||
|---|---|---|---|---|---|---|---|---|---|
| Crude | p | Overlap Weighted Model † | p | ||||||
| Total participants | |||||||||
| Gout | 54/23,137 (0.23) | 177,158 | 0.30 | 0.01 (−0.07–0.11) | 1.07 (0.79–1.44) | 0.673 | 1.08 (0.84–1.37) | 0.554 | |
| Control | 202/92,548 (0.22) | 707,898 | 0.29 | 1 | 1 | ||||
| Age < 70 years old | |||||||||
| Gout | 50/17,885 (0.28) | 151,340 | 0.33 | 0.05 (−0.04–0.15) | 1.19 (0.87–1.63) | 0.284 | 1.17 (0.91–1.52) | 0.229 | |
| Control | 168/71,540 (0.23) | 604,676 | 0.28 | 1 | 1 | ||||
| Age ≥ 70 years old | |||||||||
| Gout | 4/5252 (0.08) | 25,818 | 0.15 | −0.18 (−0.41–0.06) | 0.47 (0.17–1.32) | 0.153 | 0.52 (0.25–1.11) | 0.092 | |
| Control | 34/21,008 (0.16) | 103,222 | 0.33 | 1 | 1 | ||||
| Male | |||||||||
| Gout | 31/18,624 (0.17) | 144,493 | 0.21 | −0.02 (−0.10–0.07) | 0.94 (0.64–1.39) | 0.764 | 1.01 (0.74–1.38) | 0.949 | |
| Control | 131/74,496 (0.18) | 575,410 | 0.23 | 1 | 1 | ||||
| Female | |||||||||
| Gout | 23/4513 (0.51) | 32,665 | 0.70 | 0.16 (−0.12–0.46) | 1.31 (0.82–2.09) | 0.263 | 1.27 (0.86–1.89) | 0.230 | |
| Control | 71/18,052 (0.39) | 132,488 | 0.54 | 1 | 1 | ||||
| Low-income group | |||||||||
| Gout | 28/9653 (0.29) | 70,996 | 0.39 | 0.03 (−0.12–0.19) | 1.09 (0.72–1.66) | 0.675 | 1.12 (0.80–1.58) | 0.493 | |
| Control | 102/38,612 (0.26) | 283,343 | 0.36 | 1 | 1 | ||||
| High-income group | |||||||||
| Gout | 26/13,484 (0.19) | 106,162 | 0.24 | 0.00 (−0.09–0.11) | 1.04 (0.68–1.60) | 0.861 | 1.02 (0.72–1.44) | 0.924 | |
| Control | 100/53,936 (0.19) | 424,555 | 0.24 | 1 | 1 | ||||
| Urban resident | |||||||||
| Gout | 12/9861 (0.12) | 76,933 | 0.16 | −0.10 (−0.23–0.02) | 0.60 (0.33–1.10) | 0.098 | 0.61 (0.39–0.97) | 0.035 * | |
| Control | 80/39,444 (0.20) | 307,749 | 0.26 | 1 | 1 | ||||
| Rural resident | |||||||||
| Gout | 42/13,276 (0.32) | 100,225 | 0.42 | 0.12 (−0.01–0.24) | 1.37 (0.97–1.95) | 0.076 | 1.36 (1.02–1.83) | 0.037 * | |
| Control | 122/53,104 (0.23) | 400,149 | 0.30 | 1 | 1 | ||||
| Underweight | |||||||||
| Gout | 1/301 (0.33) | 1892 | 0.53 | 0.40 (−0.23–1.03) | 4.10 (0.37–45.3) | 0.25 | 20.3 (1.52–270) | 0.023 * | |
| Control | 2/2341 (0.09) | 15,421 | 0.13 | 1 | 1 | ||||
| Normal weight | |||||||||
| Gout | 19/5785 (0.33) | 42,844 | 0.44 | 0.11 (−0.08–0.31) | 1.34 (0.81–2.21) | 0.251 | 1.32 (0.90–1.93) | 0.154 | |
| Control | 80/32,144 (0.25) | 244,054 | 0.33 | 1 | 1 | ||||
| Overweight | |||||||||
| Gout | 14/6348 (0.22) | 48,864 | 0.29 | 0.07 (−0.09–0.22) | 1.28 (0.70–2.33) | 0.418 | 1.34 (0.81–2.20) | 0.254 | |
| Control | 45/25,922 (0.17) | 201,869 | 0.22 | 1 | 1 | ||||
| Obese | |||||||||
| Gout | 20/10,703 (0.19) | 83,558 | 0.24 | −0.06 (−0.20–0.07) | 0.79 (0.48–1.29) | 0.346 | 0.80 (0.53–1.21) | 0.284 | |
| Control | 75/32,141 (0.23) | 246,554 | 0.30 | 1 | 1 | ||||
| Non-smoker | |||||||||
| Gout | 35/12,467 (0.28) | 96,664 | 0.36 | 0.00 (−0.13–0.14) | 1.01 (0.70–1.46) | 0.967 | 1.00 (0.74–1.34) | 0.979 | |
| Control | 137/49,897 (0.27) | 380,696 | 0.36 | 1 | 1 | ||||
| Past and current smoker | |||||||||
| Gout | 19/10,670 (0.18) | 80,494 | 0.24 | 0.04 (−0.07–0.15) | 1.18 (0.71–1.97) | 0.523 | 1.31 (0.86–2.01) | 0.207 | |
| Control | 65/42,651 (0.15) | 327,202 | 0.20 | 1 | 1 | ||||
| Alcohol consumption < 1 time a week | |||||||||
| Gout | 37/13,259 (0.28) | 100,183 | 0.37 | 0.02 (−0.11–0.15) | 1.05 (0.74–1.51) | 0.774 | 1.02 (0.77–1.35) | 0.879 | |
| Control | 154/57,894 (0.27) | 441,348 | 0.35 | 1 | 1 | ||||
| Alcohol consumption ≥ 1 time a week | |||||||||
| Gout | 17/9878 (0.17) | 76,975 | 0.22 | 0.04 (−0.07–0.15) | 1.23 (0.71–2.14) | 0.465 | 1.25 (0.78–2.00) | 0.357 | |
| Control | 48/34,654 (0.14) | 266,550 | 0.18 | 1 | 1 | ||||
| SBP < 140 mmHg and DBP < 90 mmHg | |||||||||
| Gout | 38/15,717 (0.24) | 114,373 | 0.33 | 0.02 (−0.09–0.14) | 1.07 (0.75–1.53) | 0.702 | 1.04 (0.79–1.38) | 0.782 | |
| Control | 156/68,278 (0.23) | 506,170 | 0.31 | 1 | 1 | ||||
| SBP ≥ 140 mmHg or DBP ≥ 90 mmHg | |||||||||
| Gout | 16/7420 (0.22) | 62,785 | 0.25 | 0.02 (−0.11–0.16) | 1.12 (0.63–1.98) | 0.699 | 1.15 (0.71–1.86) | 0.572 | |
| Control | 46/24,270 (0.19) | 201,728 | 0.23 | 1 | 1 | ||||
| Fasting blood glucose < 100 mg/dL | |||||||||
| Gout | 34/13,015 (0.26) | 106,061 | 0.32 | −0.01 (−0.13–0.11) | 0.97 (0.67–1.41) | 0.861 | 0.96 (0.72–1.29) | 0.789 | |
| Control | 145/53,644 (0.27) | 437,864 | 0.33 | 1 | 1 | ||||
| Fasting blood glucose ≥ 100 mg/dL | |||||||||
| Gout | 20/10,122 (0.20) | 71,097 | 0.28 | 0.07 (−0.05–0.19) | 1.33 (0.80–2.22) | 0.270 | 1.35 (0.88–2.08) | 0.169 | |
| Control | 57/38,904 (0.15) | 270,034 | 0.21 | 1 | 1 | ||||
| Total cholesterol < 200 mg/dL | |||||||||
| Gout | 28/12,436 (0.23) | 90,015 | 0.31 | −0.01 (−0.14–0.12) | 0.96 (0.64–1.45) | 0.843 | 0.94 (0.68–1.30) | 0.708 | |
| Control | 125/52,406 (0.24) | 387,528 | 0.32 | ||||||
| Total cholesterol ≥ 200 mg/dL | |||||||||
| Gout | 26/10,701 (0.24) | 87,143 | 0.30 | 0.06 (−0.06–0.18) | 1.24 (0.80–1.94) | 0.335 | 1.30 (0.90–1.89) | 0.165 | |
| Control | 77/40,142 (0.19) | 320,370 | 0.24 | 1 | 1 | ||||
| CCI scores = 0 | |||||||||
| Gout | 19/12,458 (0.15) | 95,999 | 0.20 | −0.05 (−0.16–0.06) | 0.79 (0.48–1.28) | 0.331 | 0.83 (0.58–1.20) | 0.321 | |
| Control | 110/56,064 (0.20) | 438,344 | 0.25 | 1 | 1 | ||||
| CCI scores = 1 | |||||||||
| Gout | 19/3994 (0.48) | 31,031 | 0.61 | 0.26 (0.01–0.52) | 1.76 (1.01–3.04) | 0.044 * | 1.65 (1.01–2.68) | 0.045 * | |
| Control | 39/14,591 (0.27) | 111,582 | 0.35 | 1 | 1 | ||||
| CCI scores ≥ 2 | |||||||||
| Gout | 16/6685 (0.24) | 50,128 | 0.32 | −0.02 (−0.20–0.17) | 0.96 (0.55–1.67) | 0.873 | 0.93 (0.58–1.50) | 0.769 | |
| Control | 53/21,893 (0.24) | 157,972 | 0.34 | 1 | 1 | ||||
| N of Event/N of Total (%) | Follow-Up Duration (PY) | IR Per 1000 (PY) | IRD (95% CI) | Hazard Ratios for Migraines without Aura | |||||
|---|---|---|---|---|---|---|---|---|---|
| Crude | p | Overlap Weighted Model † | p | ||||||
| Total participants | |||||||||
| Gout | 946/23,137 (4.09) | 171,117 | 5.53 | 1.26 (1.17–1.36) | 1.26 (1.17–1.36) | <0.001 * | 1.27 (1.19–1.35) | <0.001 * | |
| Control | 3012/92,548 (3.25) | 689,450 | 4.37 | ||||||
| Age < 70 years old | |||||||||
| Gout | 774/17,885 (4.33) | 146,171 | 5.30 | 1.27 (0.89–1.64) | 1.31 (1.21–1.42) | <0.001 * | 1.31 (1.22–1.40) | <0.001 * | |
| Control | 2378/71,540 (3.32) | 589,356 | 4.03 | ||||||
| Age ≥ 70 years old | |||||||||
| Gout | 172/5252 (3.27) | 24,946 | 6.89 | 0.56 (−0.55–1.67) | 1.08 (0.91–1.28) | 0.358 | 1.10 (0.96–1.26) | 0.173 | |
| Control | 634/21,008 (3.02) | 100,094 | 6.33 | ||||||
| Male | |||||||||
| Gout | 619/18,624 (3.32) | 140,582 | 4.40 | 0.81 (0.45–1.17) | 1.22 (1.12–1.34) | <0.001 * | 1.24 (1.15–1.33) | <0.001 * | |
| Control | 2024/74,496 (2.72) | 563,424 | 3.59 | ||||||
| Female | |||||||||
| Gout | 327/4513 (7.25) | 30,535 | 10.70 | 2.86 (1.72–4.02) | 1.36 (1.20–1.54) | <0.001 * | 1.32 (1.19–1.46) | <0.001 * | |
| Control | 988/18,052 (5.47) | 126,026 | 7.84 | ||||||
| Low-income group | |||||||||
| Gout | 454/9653 (4.70) | 68,129 | 6.66 | 1.62 (1.01–2.24) | 1.32 (1.19–1.47) | <0.001 * | 1.32 (1.21–1.45) | <0.001 * | |
| Control | 1385/38,612 (3.59) | 275,061 | 5.04 | ||||||
| High-income group | |||||||||
| Gout | 492/13,484 (3.65) | 102,988 | 4.78 | 0.85 (0.41–1.29) | 1.21 (1.10–1.34) | <0.001 * | 1.22 (1.12–1.32) | <0.001 * | |
| Control | 1627/53,936 (3.02) | 414,389 | 3.93 | ||||||
| Urban resident | |||||||||
| Gout | 371/9861 (3.76) | 74,412 | 4.99 | 0.97 (0.44–1.48) | 1.24 (1.10–1.39) | <0.001 * | 1.24 (1.12–1.36) | <0.001 * | |
| Control | 1209/39,444 (3.07) | 300,417 | 4.02 | ||||||
| Rural resident | |||||||||
| Gout | 575/13,276 (4.33) | 96,705 | 5.95 | 1.32 (0.82–1.80) | 1.28 (1.16–1.41) | <0.001 * | 1.29 (1.19–1.39) | <0.001 * | |
| Control | 1803/53,104 (3.40) | 389,033 | 4.63 | ||||||
| Underweight | |||||||||
| Gout | 10/301 (3.32) | 1854 | 5.39 | 0.73 (−2.59–4.05) | 1.14 (0.59–2.22) | 0.695 | 1.12 (0.72–1.73) | 0.627 | |
| Control | 70/2341 (2.99) | 15,015 | 4.66 | ||||||
| Normal weight | |||||||||
| Gout | 244/5785 (4.22) | 41,289 | 5.91 | 1.41 (0.70–2.13) | 1.30 (1.13–1.49) | <0.001 * | 1.24 (1.11–1.37) | <0.001 * | |
| Control | 1068/32,144 (3.32) | 237,496 | 4.50 | ||||||
| Overweight | |||||||||
| Gout | 255/6348 (4.02) | 47,185 | 5.40 | 0.97 (0.29–1.66) | 1.21 (1.06–1.40) | 0.006 * | 1.22 (1.09–1.36) | <0.001 * | |
| Control | 870/25,922 (3.36) | 196,392 | 4.43 | ||||||
| Obese | |||||||||
| Gout | 437/10,703 (4.08) | 80,789 | 5.41 | 1.24 (0.70–1.77) | 1.30 (1.16–1.45) | <0.001 * | 1.33 (1.21–1.47) | <0.001 * | |
| Control | 1004/32,141 (3.12) | 240,547 | 4.17 | ||||||
| Non-smoker | |||||||||
| Gout | 635/12,467 (5.09) | 92,582 | 6.86 | 1.61 (1.07–2.15) | 1.31 (1.20–1.43) | <0.001 * | 1.31 (1.21–1.41) | <0.001 * | |
| Control | 1933/49,897 (3.87) | 368,467 | 5.25 | ||||||
| Past and current smoker | |||||||||
| Gout | 311/10,670 (2.91) | 78,535 | 3.96 | 0.60 (0.14–1.06) | 1.17 (1.03–1.33) | 0.014 * | 1.19 (1.07–1.32) | 0.001 * | |
| Control | 1079/42,651 (2.53) | 320,983 | 3.36 | ||||||
| Alcohol consumption < 1 time a week | |||||||||
| Gout | 645/13,259 (4.86) | 96,064 | 6.71 | 1.69 (1.18–2.20) | 1.33 (1.22–1.45) | <0.001 * | 1.28 (1.19–1.37) | <0.001 * | |
| Control | 2150/57,894 (3.71) | 427,881 | 5.02 | ||||||
| Alcohol consumption ≥ 1 time a week | |||||||||
| Gout | 301/9878 (3.05) | 75,053 | 4.01 | 0.71 (0.24–1.19) | 1.22 (1.07–1.39) | 0.003 * | 1.23 (1.10–1.38) | <0.001 * | |
| Control | 862/34,654 (2.49) | 261,569 | 3.30 | ||||||
| SBP < 140 mmHg and DBP < 90 mmHg | |||||||||
| Gout | 632/15,717 (4.02) | 110,514 | 5.72 | 1.31 (0.87–1.76) | 1.29 (1.18–1.41) | <0.001 * | 1.26 (1.17–1.35) | <0.001 * | |
| Control | 2174/68,278 (3.18) | 493,240 | 4.41 | ||||||
| SBP ≥ 140 mmHg or DBP ≥ 90 mmHg | |||||||||
| Gout | 314/7420 (4.23) | 60,603 | 5.18 | 0.91 (0.30–1.52) | 1.21 (1.07–1.38) | 0.003 * | 1.30 (1.16–1.45) | <0.001 * | |
| Control | 838/24,270 (3.45) | 196,210 | 4.27 | ||||||
| Fasting blood glucose < 100 mg/dL | |||||||||
| Gout | 616/13,015 (4.73) | 102,011 | 6.04 | 1.46 (0.98–1.93) | 1.31 (1.20–1.44) | <0.001 * | 1.32 (1.23–1.42) | <0.001 * | |
| Control | 1951/53,644 (3.64) | 425,646 | 4.58 | ||||||
| Fasting blood glucose ≥ 100 mg/dL | |||||||||
| Gout | 330/10,122 (3.26) | 69,106 | 4.78 | 0.76 (0.21–1.29) | 1.19 (1.05–1.34) | 0.007 * | 1.18 (1.06–1.31) | 0.002 * | |
| Control | 1061/38,904 (2.73) | 263,804 | 4.02 | ||||||
| Total cholesterol < 200 mg/dL | |||||||||
| Gout | 493/12,436 (3.96) | 86,895 | 5.67 | 1.26 (0.76–1.76) | 1.28 (1.15–1.41) | <0.001 * | 1.26 (1.16–1.37) | <0.001 * | |
| Control | 1666/52,406 (3.18) | 377,592 | 4.41 | ||||||
| Total cholesterol ≥ 200 mg/dL | |||||||||
| Gout | 453/10,701 (4.23) | 84,222 | 5.38 | 1.06 (0.55–1.58) | 1.25 (1.12–1.39) | <0.001 * | 1.28 (1.17–1.40) | <0.001 * | |
| Control | 1346/40,142 (3.35) | 311,858 | 4.32 | ||||||
| CCI scores = 0 | |||||||||
| Gout | 447/12,458 (3.59) | 93,084 | 4.80 | 1.08 (0.64–1.53) | 1.29 (1.16–1.43) | <0.001 * | 1.33 (1.22–1.44) | <0.001 * | |
| Control | 1594/56,064 (2.84) | 428,607 | 3.72 | ||||||
| CCI scores = 1 | |||||||||
| Gout | 202/3994 (5.06) | 29,742 | 6.79 | 1.27 (0.29–2.24) | 1.23 (1.05–1.44) | 0.012 * | 1.25 (1.09–1.43) | 0.001 * | |
| Control | 596/14,591 (4.08) | 107,880 | 5.52 | ||||||
| CCI scores ≥ 2 | |||||||||
| Gout | 297/6685 (4.44) | 48,291 | 6.15 | 0.78 (0.01–1.54) | 1.15 (1.01–1.31) | 0.039 * | 1.14 (1.01–1.28) | 0.028 * | |
| Control | 822/21,893 (3.75) | 152,963 | 5.37 | ||||||
Disclaimer/Publisher’s Note: The statements, opinions and data contained in all publications are solely those of the individual author(s) and contributor(s) and not of MDPI and/or the editor(s). MDPI and/or the editor(s) disclaim responsibility for any injury to people or property resulting from any ideas, methods, instructions or products referred to in the content. |
© 2023 by the authors. Licensee MDPI, Basel, Switzerland. This article is an open access article distributed under the terms and conditions of the Creative Commons Attribution (CC BY) license (https://creativecommons.org/licenses/by/4.0/).
Share and Cite
Kang, H.S.; Kim, J.H.; Kim, J.-H.; Bang, W.J.; Choi, H.G.; Kim, N.Y.; Park, H.Y.; Choi, K.C.; Choi, Y.; Kwon, M.J. Gout and Migraines: Exploring the Complex Link in a 16-Year Longitudinal Study of the Korean Population. J. Clin. Med. 2024, 13, 138. https://doi.org/10.3390/jcm13010138
Kang HS, Kim JH, Kim J-H, Bang WJ, Choi HG, Kim NY, Park HY, Choi KC, Choi Y, Kwon MJ. Gout and Migraines: Exploring the Complex Link in a 16-Year Longitudinal Study of the Korean Population. Journal of Clinical Medicine. 2024; 13(1):138. https://doi.org/10.3390/jcm13010138
Chicago/Turabian StyleKang, Ho Suk, Ji Hee Kim, Joo-Hee Kim, Woo Jin Bang, Hyo Geun Choi, Nan Young Kim, Ha Young Park, Kyung Chan Choi, Younghee Choi, and Mi Jung Kwon. 2024. "Gout and Migraines: Exploring the Complex Link in a 16-Year Longitudinal Study of the Korean Population" Journal of Clinical Medicine 13, no. 1: 138. https://doi.org/10.3390/jcm13010138
APA StyleKang, H. S., Kim, J. H., Kim, J.-H., Bang, W. J., Choi, H. G., Kim, N. Y., Park, H. Y., Choi, K. C., Choi, Y., & Kwon, M. J. (2024). Gout and Migraines: Exploring the Complex Link in a 16-Year Longitudinal Study of the Korean Population. Journal of Clinical Medicine, 13(1), 138. https://doi.org/10.3390/jcm13010138

