Health-Related Quality of Life in Migraine: EQ-5D-5L-Based Study in Routine Clinical Practice
Abstract
1. Introduction
2. Patients and Methods
2.1. Study Groups
2.1.1. Study Group with Migraine
2.1.2. Control Group
2.2. Instrument
- the descriptive system;
- the visual analogue scale.
- mobility (MO);
- self-care (SC);
- usual activities (UA);
- pain/discomfort (PD);
- anxiety/depression (AD).
2.3. Statistical Methods
3. Results
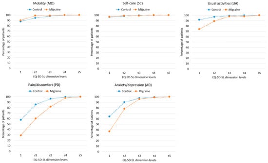
3.1. Migraine Patients versus the General Population
3.2. Episodic and Chronic Migraine Patients versus the General Population
4. Discussion
5. Conclusions
Author Contributions
Funding
Institutional Review Board Statement
Informed Consent Statement
Data Availability Statement
Acknowledgments
Conflicts of Interest
Abbreviations
| DALYs | disability-adjusted life-years |
| QALY | quality-adjusted life years |
| PROMs | patient-reported outcome measures |
| HRQoL | health-related quality of life |
| SF-36 | Short-Form 36-item health profile |
| HIT-6 | 6-item Headache Impact Test |
| AIM-D | Activity Impairment in Migraine Diary |
| mMIDAS-P | modified Migraine Disability Assessment in Portuguese population |
| WPAI | Work Productivity and Activity Impairment Questionnaire |
| HAD | Hospital Anxiety and Depression scale |
| EQ-5D | EuroQoL five-dimension questionnaire |
| EQ-5D-3L | EuroQoL five-dimension questionnaire three-level |
| EQ-5D-5L | EuroQoL five-dimension five-level |
| VAS | visual analogue scale. |
| MO | mobility |
| SC | self-care |
| UA | usual activities |
| PD | pain/discomfort |
| AD | anxiety/depression |
| ICHD | International Classification of Headache Disorders |
| EM | episodic migraine |
| CM | chronic migraine |
References
- GBD 2016 Neurology Collaborators. Global, regional, and national burden of neurological disorders, 1990–2016: A systematic analysis for the Global Burden of Disease Study 2016. Lancet Neurol. 2019, 18, 459–480. [Google Scholar] [CrossRef]
- Linde, M.; Gustavsson, A.; Stovner, L.J.; Steiner, T.J.; Barré, J.; Katsarava, Z.; Lainez, J.M.; Lampl, C.; Lantéri-Minet, M.; Rastenyte, D.; et al. The cost of headache disorders in Europe: The Eurolight project. Eur. J. Neurol. 2012, 19, 703–711. [Google Scholar] [CrossRef] [PubMed]
- GBD 2015 Disease and Injury Incidence and Prevalence Collaborators. Global, regional, and national incidence, prevalence, and years lived with disability for 310 diseases and injuries, 1990–2015: A systematic analysis for the Global Burden of Disease Study 2015. Lancet 2016, 388, 1545–1602. [Google Scholar] [CrossRef] [PubMed]
- GBD 2016 Headache Collaborators. Global, regional, and national burden of migraine and tension-type head ache 1990–2016: A systematic analysis for the Global Burden of Disease Study 2016. Lancet Neurol. 2018, 17, 954–976. [Google Scholar] [CrossRef] [PubMed]
- Bigal, M.E.; Lipton, R.B. The epidemiology, burden, and comorbidities of migraine. Neurol. Clin. 2009, 27, 321–334. [Google Scholar] [CrossRef] [PubMed]
- Tonini, M.C.; Fiorencis, A.; Iannacchero, R.; Zampolini, M.; Cappuccio, A.; Raddino, R.; Grillo, E.; Albanese, M.; Allais, G.; Bassano, M.A.; et al. Narrative Medicine to integrate patients’, caregivers’ and clinicians’ migraine experiences: The DRONE multicentre project. Neurol. Sci. 2021, 42, 5277–5288. [Google Scholar] [CrossRef] [PubMed]
- de Dhaem, O.B.; Gharedaghi, M.H.; Bain, P.; Hettie, G.; Loder, E.; Burch, R. Identification of work accommodations and interventions associated with work productivity in adults with migraine: A scoping review. Cephalalgia 2020, 41, 760–773. [Google Scholar] [CrossRef] [PubMed]
- Linde, M.; Mulleners, W.M.; Chronicle, E.P.; McCrory, D.C. Antiepileptics other than gabapentin, pregabalin, topiramate, and valproate for the prophylaxis of episodic migraine in adults. Cochrane Database Syst. Rev. 2013, 6, CD010608. [Google Scholar]
- Pozo-Rosich, P.; Coppola, G.; Pascual, J.; Schwedt, T.J. How does the brain change in chronic migraine? Developing disease biomarkers. Cephalalgia 2020, 41, 613–630. [Google Scholar] [CrossRef] [PubMed]
- Lyngberg, A.C.; Rasmussen, B.K.; Jørgensen, T.; Jensen, R. Incidence of primary headache: A danish epidemiologic follow-up study. Am. J. Epidemiol. 2005, 161, 1066–1073. [Google Scholar] [CrossRef] [PubMed]
- Natoli, J.L.; Manack, A.; Dean, B.; Butler, Q.; Turkel, C.C.; Stovner, L.; Lipton, R.B. Global prevalence of chronic migraine: A systematic review. Cephalalgia 2010, 30, 599–609. [Google Scholar] [CrossRef] [PubMed]
- Buse, D.C.; Manack, A.N.; Fanning, K.M.; Serrano, D.; Reed, M.L.; Turkel, C.C.; Lipton, R.B. Chronic migraine prevalence, disability, and sociodemographic factors: Results from the American Migraine Prevalence and Prevention Study. Headache 2012, 52, 1456–1470. [Google Scholar] [CrossRef] [PubMed]
- May, A.; Shulte, L.H. Chronic migraine: Risk factors, mechanisms and treatment. Nat. Rev. Neurol. 2016, 12, 455–464. [Google Scholar] [CrossRef] [PubMed]
- Takahashi, T.T.; Ornello, R.; Quatrosi, G.; Torrente, A.; Albanese, M.; Vigneri, S.; Guglielmetti, M.; De Marco, C.M.; Dutordoir, C.; Colangeli, E.; et al. European Headache Federation School of Advanced Studies (EHF-SAS). Medication overuse and drug addiction: A narrative review from addiction perspective. J. Headache Pain. 2021, 22, 32, Erratum in J Headache Pain. 2021, 22, 64. [Google Scholar] [CrossRef]
- Available online: https://www.pzh.gov.pl/wp-content/uploads/2019/06/RAPORT-MIGRENA-ca%C5%82y.pdf (accessed on 1 October 2022).
- Ware, J.E., Jr.; Sherbourne, C.D. The MOS 36-item short-form health survey (SF-36). I. Conceptual framework and item selection. Med. Care 1992, 30, 473–483. [Google Scholar] [CrossRef]
- Ware, J.E.; Kosinski, M.; Keller, S.D. 12-item short-form health survey. Construction of scales and preliminary tests of reliability and validity. Med. Care 1995, 34, 220–233. [Google Scholar] [CrossRef]
- Bergner, M.; Bobbitt, R.A.; Carter, W.B.; Gilson, B.S. The Sickness Impact Profile: Development and final revision of a health status measure. Med. Care 1981, 19, 787–805. [Google Scholar] [CrossRef]
- Herdman, M.; Gudex, C.; Lloyd, A.; Janssen, M.; Kind, P.; Parkin, D.; Bonsel, G.; Badia, X. Development and preliminary testing of the new five-level version of EQ-5D (EQ-5D-5L). Qual. Life Res. 2011, 20, 1727–1736. [Google Scholar] [CrossRef]
- Martin, B.C.; Pathak, D.S.; Sharfman, M.I.; Adelman, J.U.; Taylor, F.; Kwong, W.J.; Jhingran, P. Validity and reliability of the migraine-specific quality of life questionnaire (MSQ Version 2.1). Headache 2000, 40, 204–215. [Google Scholar] [CrossRef]
- Kosinski, M.; Bayliss, M.; Bjorner, J.; Ware, J.E., Jr.; Garber, W.; Batenhorst, A.; Cady, R.; Dahlöf, C.; Dowson, A.; Tepper, S. A six-item short-form survey for measuring headache impact: The HIT-6. Qual. Life Res. 2003, 12, 963–974. [Google Scholar] [CrossRef]
- Lipton, R.B.; Gandhi, P.; Stokes, J.; Cala, M.L.; Evans, C.J.; Knoble, N.; Gelhorn, H.L.; Revicki, D.; Viswanathan, H.N.; Dodick, D.W. Development and validation of a novel patient-reported outcome measure in people with episodic migraine and chronic migraine: The Activity Impairment in Migraine Diary. Headache 2022, 62, 89–105. [Google Scholar] [CrossRef] [PubMed]
- Lipton, R.B.; Nicholson, R.A.; Reed, M.L.; Araujo, A.B.; Jaffe, D.H.; Faries, D.E.; Buse, D.C.; Shapiro, R.E.; Ashina, S.; Cambron-Mellott, M.J.; et al. Diagnosis, consultation, treatment, and impact of migraine in the US: Results of the OVERCOME (US) study. Headache 2022, 62, 122–140. [Google Scholar] [CrossRef]
- Ferreira, P.L.; Luzeiro, I.; Lopes, M.; Jorge, A.; Silva, B.; Ferreira, L. Validity and reliability of the Portuguese version of the modified Migraine Disability Assessment. BMC Neurol. 2021, 21, 58. [Google Scholar] [CrossRef] [PubMed]
- Lucas, C.; Aly, S.; Touboul, C.; Sellami, R.; Guillaume, X.; Garcia, G. Patient-Reported Outcome in Two Chronic Diseases: A Comparison of Quality of Life and Response Profiles in Severe Migraine and Severe Asthma. Patient Relat. Outcome Meas. 2020, 11, 27–37. [Google Scholar] [CrossRef]
- Rencz, F.; Gulácsi, L.; Drummond, M.; Golicki, D.; Rupel, V.P.; Simon, J.; Stolk, E.A.; Brodszky, V.; Baji, P.; Závada, J.; et al. EQ-5D in Central and Eastern Europe: 2000–2015. Qual. Life Res. 2016, 25, 2693–2710. [Google Scholar] [CrossRef] [PubMed]
- Batóg, P.; Rencz, F.; Péntek, M.; Gulácsi, L.; Filipiak, K.J.; Rupel, V.P.; Simon, J.; Brodszky, V.; Baji, P.; Závada, J.; et al. EQ-5D studies in cardiovascular diseases in eight Central and Eastern European countries: A systematic review of the literature. Kardiol. Pol. 2018, 76, 860–870. [Google Scholar] [CrossRef]
- Golicki, D.; Jakubczyk, M.; Niewada, M.; Wrona, W.; Busschbach, J.J. Valuation of EQ-5D health states in Poland: First TTO-based social value set in Central and Eastern Europe. Value Health 2010, 13, 289–297. [Google Scholar] [CrossRef] [PubMed]
- Belowski, A.; Partyka, Ł.; Krzanowski, M.; Polczyk, R.; Maga, P.; Maga, M.; Acquadro, C.; Lambe, J.; Morgan, M.; Niżankowski, R. Clinical and linguistic validation of the Polish version of VascuQol: A disease-specific quality-of-life questionnaire assessing patients with chronic limb ischemia. Pol. Arch. Intern. Med. 2019, 129, 167–174. [Google Scholar] [CrossRef]
- Janssen, M.F.; Pickard, A.S.; Golicki, D.; Gudex, C.; Niewada, M.; Scalone, L.; Swinburn, P.; Busschbach, J. Measurement properties of the EQ-5D-5L compared to the EQ-5D-3L across eight patient groups: A multi-country study. Qual. Life Res. 2013, 22, 1717–1727. [Google Scholar] [CrossRef] [PubMed]
- Młyńczak, K.; Golicki, D. Validity of the EQ-5D-5L questionnaire among the general population of Poland. Qual. Life Res. 2020, 30, 817–829. [Google Scholar] [CrossRef] [PubMed]
- Golicki, D.; Jakubczyk, M.; Graczyk, K.; Niewada, M. Valuation of EQ-5D-5L Health States in Poland: The First EQ-VT-Based Study in Central and Eastern Europe. Pharmacoeconomics 2019, 37, 1165–1176. [Google Scholar] [CrossRef] [PubMed]
- Arnold, M. Headache Classification Committee of the International Headache Society (IHS) The International Classification of Headache Disorders, 3rd edition. Cephalalgia 2018, 38, 1–211. [Google Scholar]
- Golicki, D.; Niewada, M. EQ-5D-5L Polish population norms. Arch. Med. Sci. 2017, 13, 191–200. [Google Scholar] [CrossRef] [PubMed]
- Golicki, D. General population reference values for the EQ-5D-5L Index in Poland: Estimations using a Polish directly measured value set. Pol. Arch. Intern. Med. 2021, 131, 484–486. [Google Scholar] [CrossRef] [PubMed]
- Golicki, D.; Niewada, M. General population reference values for 3-level EQ-5D (EQ-5D-3L) questionnaire in Poland. Pol. Arch. Med. Wewn. 2015, 125, 18–26. [Google Scholar] [CrossRef] [PubMed]
- Conover, W.J. Practical Nonparametric Statistics, 3rd ed.; Wiley: Hoboken, NY, USA, 1999. [Google Scholar]
- Ahadi, M.S.; Vahidpour, N.; Togha, M.; Daroudi, R.; Nadjafi-Semnani, F.; Mohammadshirazi, Z.; Akbari-Sari, A.; Ghorbani, Z. Assessment of Utility in Migraine: Mapping the Migraine-Specific Questionnaire to the EQ-5D-5L. Value Health Reg. Issues 2021, 25, 57–63. [Google Scholar] [CrossRef]
- Rupel, V.P.; Divjak, M.; Zrubka, Z.; Rencz, F.; Gulácsi, L.; Golicki, D.; Mirowska-Guzel, D.; Simon, J.; Brodszky, V.; Baji, P.; et al. EQ-5D studies in nervous system diseases in eight Central and East European countries: A systematic literature review. Eur. J. Health Econ. 2019, 20 (Suppl. S1), 109–117. [Google Scholar] [CrossRef] [PubMed]
- Jankowska, A.; Golicki, D. EQ-5D-5L-based quality of life normative data for patients with self-reported diabetes in Poland. EQ-5D-5L-based quality of life normative data for patients with self-reported diabetes in Poland. PLoS ONE 2021, 16, e0257998. [Google Scholar] [CrossRef]



| All Migraine Patients | Episodic Migraine | Chronic Migraine | ||
|---|---|---|---|---|
| N | 100 | 70 | 30 | |
| Age, years | mean (SD) | 38.2 (11.9) | 37.9 (11.1) | 38.8 (13.7) |
| Range | 16–73 | 16–65 | 17–73 | |
| Sex, females, n (%) | 89 (89) | 61 (87) | 28 (93) | |
| Type of migraine | without aura (%) | 78 (78) | 51 (72) | 27 (90) |
| with aura (%) | 22 (22) | 19 (28) | 3 (10) | |
| Medication overuse headache (MOH), n (%) | 6 (6) | 3 (4) | 3 (10) | |
| Migraine | Episodic Migraine | Chronic Migraine | |||||||
|---|---|---|---|---|---|---|---|---|---|
| Patients | Control | Difference (Control—Patients) | Patients | Control | Difference (Control—Patients) | Patients | Control | Difference (Control—Patients) | |
| N | 100 | 100 | 70 | 70 | 30 | 30 | |||
| EQ-5D-5L Index | |||||||||
| mean (SD) | 0.892 (0.149) | 0.955 (0.031) | 0.062 (0.150) * | 0.922 (0.107) | 0.956 (0.026) | 0.034 (0.105) ** | 0.822 (0.204) | 0.952 (0.041) | 0.130 (0.211) * |
| 95%CI | 0.862–0.922 | 0.948–0.961 | 0.033–0.092 | 0.896–0.947 | 0.949–0.962 | 0.009–0.059 | 0.746–0.898 | 0.936–0.967 | 0.051—0.209 |
| EQ VAS | |||||||||
| mean (SD) | 71.1 (18.7) | 79.1 (5.9) | 7.9 (18.5) * | 74.5 (17.5) | 79.2 (5.3) | 4.7 (16.5) *** | 63.4 (19.4) | 78.8 (7.1) | 15.4 (20.7) * |
| 95%CI | 67.4–74.8 | 77.9–80.2 | 4.3–11.6 | 70.3–78.6 | 77.9–80.5 | 0.8–8.7 | 56.2–70.6 | 76.1–81.4 | 7.6–23.1 |
| Severity Index | |||||||||
| mean (SD) | 7.8 (2.5) | 6.5 (0.9) | −1.3 (2.6) * | 7.3 (2.0) | 6.5 (0.7) | −0.9 (1.9) * | 8.9 (3.3) | 6.6 (1.1) | −2.3 (3.6) * |
| 95%CI | 7.3–8.3 | 6.3–6.7 | −1.8–−0.8 | 6.8–7.8 | 6.3–6.6 | −1.3–−0.4 | 7.7–10.1 | 6.2–7.0 | −3.7–−1.0 |
| N (%) | EQ-5D-5L Index | EQ VAS | |||||
|---|---|---|---|---|---|---|---|
| Mean (S.D.) | Multiple Linear Regression Coefficients | p-Value | Mean (S.D.) | Multiple Linear Regression Coefficients | p-Value | ||
| Intercept | 200 (100) | 0.923 (0.112) | 0.873 | p < 0.0001 | 75.10 (14.37) | 67.50 | p < 0.0001 |
| Sex | |||||||
| Male | 22 (11) | 0.920 (0.130) | - | - | 78.06 (14.60) | - | - |
| Female | 178 (89) | 0.924 (0.110) | −0.001 | p = 0.964 | 74.74 (14.34) | −5.04 | p = 0.117 |
| Age group | |||||||
| 18–24 years | 28 (14) | 0.929 (0.125) | 0.098 | p = 0.104 | 81.13 (10.95) | 23.36 | p = 0.002 |
| 25–34 years | 52 (26) | 0.943 (0.136) | 0.097 | p = 0.095 | 79.01 (14.39) | 18.95 | p = 0.008 |
| 35–44 years | 60 (30) | 0.928 (0.105) | 0.087 | p = 0.143 | 75.19 (13.56) | 16.51 | p = 0.023 |
| 45–54 years | 40 (20) | 0.905 (0.087) | 0.061 | p = 0.305 | 71.12 (14.75) | 12.09 | p = 0.098 |
| 55–64 years | 16 (8) | 0.901 (0.073) | 0.064 | p = 0.304 | 64.66 (13.23) | 5.93 | p = 0.434 |
| 65+ years | 4 (2) | 0.832 (0.088) | - | - | 62.45 (13.22) | - | - |
| Migraine diagnosis | |||||||
| No migraine | 100 (50) | 0.955 (0.031) | - | - | 79.06 (5.87) | - | - |
| Episodic migraine | 70 (35) | 0.922 (0.107) | −0.033 | p = 0.042 | 74.46 (17.47) | −4.65 | p = 0.019 |
| Chronic migraine | 30 (15) | 0.822 (0.204) | −0.132 | p < 0.0001 | 63.40 (19.41) | −15.57 | p < 0.0001 |
Publisher’s Note: MDPI stays neutral with regard to jurisdictional claims in published maps and institutional affiliations. |
© 2022 by the authors. Licensee MDPI, Basel, Switzerland. This article is an open access article distributed under the terms and conditions of the Creative Commons Attribution (CC BY) license (https://creativecommons.org/licenses/by/4.0/).
Share and Cite
Domitrz, I.; Golicki, D. Health-Related Quality of Life in Migraine: EQ-5D-5L-Based Study in Routine Clinical Practice. J. Clin. Med. 2022, 11, 6925. https://doi.org/10.3390/jcm11236925
Domitrz I, Golicki D. Health-Related Quality of Life in Migraine: EQ-5D-5L-Based Study in Routine Clinical Practice. Journal of Clinical Medicine. 2022; 11(23):6925. https://doi.org/10.3390/jcm11236925
Chicago/Turabian StyleDomitrz, Izabela, and Dominik Golicki. 2022. "Health-Related Quality of Life in Migraine: EQ-5D-5L-Based Study in Routine Clinical Practice" Journal of Clinical Medicine 11, no. 23: 6925. https://doi.org/10.3390/jcm11236925
APA StyleDomitrz, I., & Golicki, D. (2022). Health-Related Quality of Life in Migraine: EQ-5D-5L-Based Study in Routine Clinical Practice. Journal of Clinical Medicine, 11(23), 6925. https://doi.org/10.3390/jcm11236925

