Early Prediction of Adverse Pregnancy Outcome in Women with Systemic Lupus Erythematosus, Antiphospholipid Syndrome, or Non-Criteria Obstetric Antiphospholipid Syndrome
Abstract
1. Introduction
2. Materials and Methods
2.1. Study Design and Population
2.2. Measures
2.3. Statistical Analysis
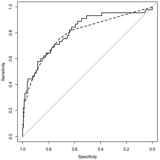
3. Results
4. Discussion
5. Conclusions
Supplementary Materials
Author Contributions
Funding
Institutional Review Board Statement
Informed Consent Statement
Data Availability Statement
Conflicts of Interest
References
- Cervera, R.; Font, J.; Carmona, F.; Balasch, J. Pregnancy outcome in systemic lupus erythematosus: Good news for the new millennium. Autoimmun. Rev. 2002, 1, 354–359. [Google Scholar] [CrossRef]
- Alijotas-Reig, J.; Alijotas-Reig, J.; Esteve-Valverde, E.; Ferrer-Oliveras, R.; Sáez-Comet, L.; Lefkou, E.; Mekinian, A.; Belizna, C.; Ruffatti, A.; Hoxha, A.; et al. Comparative study of obstetric antiphospholipid syndrome (OAPS) and non-criteria obstetric APS (NC-OAPS): Report of 1640 cases from the EUROAPS registry. Rheumatology 2020, 59, 1306–1314. [Google Scholar] [CrossRef]
- Pires Da Rosa, G.; Rodríguez-Pintó, I.; Cervera, R.; Espinosa, G. Management of patients with antiphospholipid antibodies: What to do in laboratory scenarios that do not fit the guidelines. Expert Rev. Hematol. 2021, 14, 457–466. [Google Scholar] [CrossRef]
- Smyth, A.; Oliveira, G.H.M.; Lahr, B.D.; Bailey, K.R.; Norby, S.M.; Garovic, V.D. A systematic review and meta-analysis of pregnancy outcomes in patients with systemic lupus erythematosus and lupus nephritis. Clin. J. Am. Soc. Nephrol. 2010, 5, 2060–2068. [Google Scholar] [CrossRef]
- Clowse, M.E.; Jamison, M.; Myers, E.; James, A.H. A national study of the complications of lupus in pregnancy. Am. J. Obstet. Gynecol. 2008, 199, 127.e1–127.e6. [Google Scholar] [CrossRef] [PubMed]
- Bundhun, P.K.; Soogund, M.Z.S.; Huang, F. Impact of systemic lupus erythematosus on maternal and fetal outcomes following pregnancy: A meta-analysis of studies published between years 2001–2016. J. Autoimmun. 2017, 79, 17–27. [Google Scholar] [CrossRef] [PubMed]
- Ostensen, M.; Clowse, M. Pathogenesis of pregnancy complications in systemic lupus erythematosus. Curr. Opin. Rheumatol. 2013, 25, 591–596. [Google Scholar] [CrossRef]
- Shi, H.; Zheng, H.; Yin, Y.F.; Hu, Q.Y.; Teng, J.L.; Sun, Y.; Liu, H.-L.; Cheng, X.-B.; Ye, J.-N.; Su, Y.-T.; et al. Antiphosphatidylserine/prothrombin antibodies (aPS/PT) as potential diagnostic markers and risk predictors of venous thrombosis and obstetric complications in antiphospholipid syndrome. Clin. Chem. Lab. Med. 2018, 56, 614–624. [Google Scholar] [CrossRef]
- Kim, M.Y.; Guerra, M.M.; Kaplowitz, E.; Laskin, C.A.; Petri, M.; Branch, D.W.; Lockshin, M.D.; Sammaritano, L.R.; Merrill, J.T.; Porter, T.F.; et al. Complement activation predicts adverse pregnancy outcome in patients with systemic lupus erythematosus and/or antiphospholipid antibodies. Ann. Rheum. Dis. 2018, 77, 549–555. [Google Scholar] [CrossRef]
- Salmon, J.E.; Heuser, C.; Triebwasser, M.; Liszewski, M.K.; Kavanagh, D.; Roumenina, L.; Branch, D.W.; Goodship, T.; Frtmeaux-Bacchi, V.; Atkinson, J.P. Mutations in complement regulatory proteins predispose to preeclampsia: A genetic analysis of the PROMISSE cohort. PLoS Med. 2011, 8, e1001013. [Google Scholar] [CrossRef]
- Lee, P.Y.; Li, Y.; Richards, H.B.; Chan, F.S.; Zhuang, H.; Narain, S.; Butfiloski, E.J.; Sobel, E.S.; Reeves, W.H.; Segal, M.S. Type I interferon as a novel risk factor for endothelial progenitor cell depletion and endothelial dysfunction in systemic lupus erythematosus. Arthritis Rheum. 2007, 56, 3759–3769. Available online: http://www.ncbi.nlm.nih.gov/pubmed/17968925 (accessed on 22 October 2022). [CrossRef]
- Andrade, D.; Kim, M.; Blanco, L.P.; Karumanchi, S.A.; Koo, G.C.; Redecha, P.; Kirou, K.; Alvarez, A.M.; Mulla, M.J.; Crow, M.K.; et al. Interferon-α and angiogenic dysregulation in pregnant lupus patients who develop preeclampsia. Arthritis Rheumatol. 2015, 67, 977–987. [Google Scholar] [CrossRef] [PubMed]
- Buyon, J.P.; Kim, M.Y.; Guerra, M.M.; Laskin, C.A.; Petri, M.; Lockshin, M.D.; Sammaritano, L.; Branch, D.W.; Porter, T.F.; Sawitzke, A.; et al. Predictors of pregnancy outcomes in patients with lupus: A cohort study. Ann. Intern. Med. 2015, 163, 153–163. [Google Scholar] [CrossRef] [PubMed]
- Yelnik, C.M.; Laskin, C.A.; Porter, T.F.; Branch, D.W.; Buyon, J.P.; Guerra, M.M.; Lockshin, M.D.; Petri, M.; Merrill, J.T.; Sammaritano, L.R.; et al. Lupus anticoagulant is the main predictor of adverse pregnancy outcomes in aPL-positive patients: Validation of PROMISSE study results. Lupus Sci. Med. 2016, 3, e000131. [Google Scholar] [CrossRef] [PubMed]
- Alijotas-Reig, J.; Ferrer-Oliveras, R.; Ruffatti, A.; Tincani, A.; Lefkou, E.; Bertero, M.T.; Coloma-Bazan, E.; de Carolis, S.; Espinosa, G.; Rovere-Querini, P.; et al. The European Registry on Obstetric Antiphospholipid Syndrome (EUROAPS): A survey of 247 consecutive cases. Autoimmun. Rev. 2015, 14, 387–395. [Google Scholar] [CrossRef]
- Ruffatti, A.; Tonello, M.; Del Ross, T.; Cavazzana, A.; Grava, C.; Noventa, F.; Tona, F.; Iliceto, S.; Pengo, V. Antibody profile and clinical course in primary antiphospholipid syndrome with pregnancy morbidity. Thromb. Haemost. 2006, 96, 337–341. [Google Scholar] [CrossRef]
- Hong, S.; Banchereau, R.; Maslow, B.S.L.; Guerra, M.M.; Cardenas, J.; Baisch, J.; Branch, D.W.; Porter, T.F.; Sawitzke, A.; Laskin, C.A.; et al. Longitudinal profiling of human blood transcriptome in healthy and lupus pregnancy. J. Exp. Med. 2019, 216, 1154–1169. [Google Scholar] [CrossRef]
- Wu, J.; Zhang, W.H.; Ma, J.; Bao, C.; Liu, J.; Di, W. Prediction of fetal loss in Chinese pregnant patients with systemic lupus erythematosus: A retrospective cohort study. BMJ Open 2019, 9, e023849. [Google Scholar] [CrossRef]
- Lockshin, M.D.; Kim, M.; Laskin, C.A.; Guerra, M.; Branch, D.W.; Merrill, J.; Petri, M.; Porter, F.; Sammaritano, L.; Stephenson, M.D.; et al. Lupus Anticoagulant, but Not Anticardiolipin Antibody, Predicts Adverse Pregnancy Outcomes in Patients with Antiphospholipid Antibodies. Arthritis Rheum. 2012, 64, 2311–2318. Available online: http://www.ncbi.nlm.nih.gov/pmc/articles/PMC3357451/ (accessed on 22 October 2022). [CrossRef]
- Paydar, K.; Niakan Kalhori, S.R.; Akbarian, M.; Sheikhtaheri, A. A clinical decision support system for prediction of pregnancy outcome in pregnant women with systemic lupus erythematosus. Int. J. Med. Inform. 2017, 97, 239–246. [Google Scholar] [CrossRef]
- Aringer, M.; Costenbader, K.; Daikh, D.; Brinks, R.; Mosca, M.; Ramsey-Goldman, R.; Smolen, J.S.; Wofsy, D.; Boumpas, D.T.; Kamen, D.L.; et al. 2019 European League Against Rheumatism/American College of Rheumatology Classification Criteria for Systemic Lupus Erythematosus. Arthritis Rheumatol. 2019, 71, 1400–1412. [Google Scholar] [CrossRef] [PubMed]
- Miyakis, S.; Lockshin, M.D.; Atsumi, T.; Branch, D.W.; Brey, R.L.; Cervera, R.; Derksen, R.H.W.M.; De Groot, P.G.; Koike, T.; Meroni, P.L.; et al. International consensus statement on an update of the classification criteria for definite antiphospholipid syndrome (APS). J. Thromb. Haemost. 2006, 4, 295–306. [Google Scholar] [CrossRef]
- Andreoli, L.; Bertsias, G.K.; Agmon-Levin, N.; Brown, S.; Cervera, R.; Costedoat-Chalumeau, N.; Doria, A.; Fischer-Betz, R.; Forger, F.; Moraes-Fontes, M.F.; et al. EULAR recommendations for women’s health and the management of family planning, assisted reproduction, pregnancy and menopause in patients with systemic lupus erythematosus and/or antiphospholipid syndrome. Ann. Rheum. Dis. 2017, 76, 476–485. [Google Scholar] [CrossRef]
- Tektonidou, M.G.; Andreoli, L.; Limper, M.; Amoura, Z.; Cervera, R.; Costedoat-Chalumeau, N.; Cuadrado, M.J.; Dörner, T.; Ferrer-Oliveras, R.; Hambly, K.; et al. EULAR recommendations for the management of antiphospholipid syndrome in adults. Ann. Rheum. Dis. 2019, 78, 1296–1304. [Google Scholar] [CrossRef] [PubMed]
- Fanouriakis, A.; Tziolos, N.; Bertsias, G.; Boumpas, D.T. Update οn the diagnosis and management of systemic lupus erythematosus. Ann. Rheum. Dis. 2021, 80, 14–25. [Google Scholar] [CrossRef] [PubMed]
- Buyon, J.; Kalunian, K.C.; Ramsey-Goldman, R.; Petri, M.A.; Lockshin, M.D.; Ruiz-Irastorza, G.; Khamashta, M. Assessing disease activity in SLE patients during pregnancy. Lupus 1999, 8, 677–684. [Google Scholar] [CrossRef]
- Franklyn, K.; Lau, W.C.S.; Navarra, S.V.; Louthrenoo, W.; Lateef, A.; Hamijoyo, L.; Wahono, C.S.; Le Chen, S.; Jin, O.; Morton, S.; et al. Definition and initial validation of a Lupus Low Disease Activity State (LLDAS). Ann. Rheum. Dis. 2016, 75, 1615–1621. [Google Scholar] [CrossRef]
- Sciascia, S.; Sanna, G.; Murru, V.; Roccatello, D.; Khamashta, M.A.; Bertolaccini, M.L. GAPSS: The Global Anti-Phospholipid Syndrome Score. Rheumatology 2013, 52, 1397–1403. [Google Scholar] [CrossRef]
- Moroni, G.; Doria, A.; Giglio, E.; Imbasciati, E.; Tani, C.; Zen, M.; Strigini, F.; Zaina, B.; Tincani, A.; Gatto, M.; et al. Maternal outcome in pregnant women with lupus nephritis. A prospective multicenter study. J. Autoimmun. 2016, 74, 194–200. [Google Scholar] [CrossRef]
- Moroni, G.; Ponticelli, C. Important considerations in pregnant patients with lupus nephritis. Expert Rev. Clin. Immunol. 2018, 14, 489–498. [Google Scholar] [CrossRef]
- Davis-Porada, J.; Kim, M.Y.; Guerra, M.M.; Laskin, C.A.; Petri, M.; Lockshin, M.D.; Sammaritano, L.R.; Branch, D.W.; Sawitzke, A.; Merrill, J.T.; et al. Low frequency of flares during pregnancy and post-partum in stable lupus patients. Arthritis Res. Ther. 2020, 22, 52. [Google Scholar] [CrossRef] [PubMed]

| Total n = 217 | With APO n = 45 | p | ||
|---|---|---|---|---|
| Diagnosis | APS | 41 | 9 (22) | 0.70 |
| NC-OAPS | 42 | 9 (21.4) | ||
| SLE | 100 | 18 (18) | ||
| SLE + aPL | 26 | 6 (23.1) | ||
| SLE + APS | 8 | 3 (37.5) | ||
| Total n = 217 | With APO n = 45 | Without APO n = 172 | p | |
|---|---|---|---|---|
| Maternal age | 36.5 (33.5–39.5) | 36.5 (33.5–39.5) | 36.5 (33.5–39.5) | 0.83 |
| Body mass index | 22.5 (20.5–24.7) | 22.8 (20.7–25) | 21.6 (19.2–23.7) | 0.42 |
| Non-Caucasian | 39 (18) | 15 (33.3) | 24 (14) | 0.01 |
| Smoking | 29 (13.4) | 12 (26.7) | 17 (9.9) | 0.01 |
| Assisted reproductive technique | 39 (18) | 12 (26.7) | 27 (15.7) | 0.08 |
| Previous adverse pregnancy outcome | 26 (12) | 6 (13.3) | 20 (11.6) | 0.8 |
| Previous thrombosis | 18 (8.3) | 4 (8.9) | 14 (8.1) | 0.8 |
| Pre-gestational hypertension | 15 (6.9) | 12 (26.7) | 3 (1.7) | <0.001 |
| Other autoimmune diseases | 14 (6.4) | 3 (6.6) | 11 (6.4) | 0.94 |
| LDA | 150 (69.1) | 38 (80) | 114 (66.3) | 0.1 |
| LMWH | 88 (40.6) | 20 (44.4) | 68 (39.5) | 0.61 |
| Corticosteroids beginning pregnancy | 46 (21.2) | 18 (40) | 28 (16.3) | 0.002 |
| Corticosteroids dose (mg) | 5 (5–10) | 5 (3.3–10) | 5 (5–10) | 0.19 |
| Hydroxychloroquine treatment | 126 (58.1) | 27 (60) | 99 (57.6) | 0.87 |
| GAPSS | 0 (0–4) | 0 (0–4) | 0 (0–4) | 0.25 |
| LLDAS | 119 (54.8) | 22 (48.9) | 97 (56.4) | 0.4 |
| SLEPDAI | 2 (0–4) | 2 (0–4) | 2 (0–2) | 0.03 |
| Anti-Ro/anti-La antibodies | 57 (26.3) | 11 (24.4) | 46 (26.7) | 0.85 |
| Anti-dsDNA antibodies | 78 (35.9) | 19 (42.2) | 59 (34.3) | 0.38 |
| Low levels of complement (C3 or C4) | 55 (25.4) | 17 (37.8) | 39 (22.1) | 0.04 |
| Lupus anticoagulant Negative No criteria Criteria | 176 (81.1) 10 (4.3) 31 (14.6) | 32 (71.1) 4 (8.9) 9 (20) | 144 (83.7) 6 (3.5) 22 (12.8) | 0.11 |
| aCL IgM Negative No criteria Criteria | 180 (83) 8 (3.7) 29 (13.4) | 36 (80) 2 (4.4) 7 (15.6) | 144 (83.7) 6 (3.5) 22 (12.8) | 0.71 |
| aCL IgG Negative No criteria Criteria | 166 (76.5) 22 (10.1) 29 (13.4) | 36 (80) 6 (13) 3 (6.7) | 130 (75.6) 16 (9.3) 26 (15.1) | 0.25 |
| Anti-β2GPI IgM Negative No criteria Criteria | 186 (85.7) 15 (6.9) 16 (7.4) | 37 (82.2) 4 (8.9) 4 (8.9) | 149 (86.6) 11 (6.4) 12 (7) | 0.67 |
| Anti-β2GPI IgG Negative No criteria Criteria | 196 (90.3) 9 (4.2) 12 (5.5) | 43 (95.6) 1 (2.2) 1 (2.2) | 153 (89) 8 (4.7) 11 (6.4) | 0.57 |
| Triple aPL positivity | 13 (6) | 4 (8.9) | 9 (5.2) | 0.36 |
| SLE type Musculoskeletal Dermatologic Hematologic Renal Serosa Neurological | 101 (46.5) 96 (44.2) 53 (24.4) 34 (15.7) 26 (12) 3 (1.4) | 21 (46.7) 22 (48.9) 11 (24.4) 12 (26.7) 9 (20) 0 (0) | 80 (46.5) 74 (43.0) 42 (24.4) 22 (12.8) 17 (9.9) 3 (1.7) | 0.5 1 1 0.04 0.07 1 |
| Protein/creatinine urinary ratio at 1T | 77 (55–109) | 93 (57–162) | 74 (54–97) | 0.02 |
| Total n = 217 | With APO n = 45 | Without APO n = 172 | p | |
|---|---|---|---|---|
| Pregnancy loss 10–24 weeks | 4 (1.8) | - | ||
| Fetal loss > 24 weeks | 4 (1.8) | - | ||
| Neonatal death | 3 (1.4) | - | ||
| Preeclampsia | 18 (8.3) | - | ||
| Placental abruption | 1 (0.5) | - | ||
| Preterm birth | 19 (8.8) | - | ||
| Small for gestational age | 28 (13.3) | - | ||
| Onset of labor Spontaneous Induction Elective caesarean section | 65 (31) 104 (49.5) 41 (19.5) | 7 (16.3) 25 (58.1) 11 (25.6) | 58 (34.7) 79 (47.3) 30 (18) | 0.06 |
| Mode of delivery Vaginal Non-elective caesarean section Elective caesarean section | 122 (58.4) 46 (22) 41 (19.6) | 17 (38.6) 16 (36.4) 11 (25) | 105 (63.6) 30 (18,2) 30 (18.2) | 0.01 |
| Gestational age at delivery | 39.3 (37.8–40) | 37.1 (34–38) | 39.6 (38.7–40.1) | <0.001 |
| Birthweight | 3090 (2700–3400) | 2250 (1608–2653) | 3155 (2980–3460) | <0.001 |
| Thrombosis gestation or puerperium | 3 (1.4) | 1 (2.2) | 2 (1.2) | 0.5 |
| SLE flare gestation or puerperium | 13 (6) | 6 (13.3) | 7 (4.1) | 0.03 |
| Protein/creatinine urinary ratio at 2T | 93 (63–130) | 93 (72–168) | 91 (62–122) | 0.17 |
| Protein/creatinine urinary ratio at 3T | 114 (74–182) | 216 (115–597) | 100 (72–144) | <0.001 |
Publisher’s Note: MDPI stays neutral with regard to jurisdictional claims in published maps and institutional affiliations. |
© 2022 by the authors. Licensee MDPI, Basel, Switzerland. This article is an open access article distributed under the terms and conditions of the Creative Commons Attribution (CC BY) license (https://creativecommons.org/licenses/by/4.0/).
Share and Cite
Baños, N.; Castellanos, A.S.; Barilaro, G.; Figueras, F.; Lledó, G.M.; Santana, M.; Espinosa, G. Early Prediction of Adverse Pregnancy Outcome in Women with Systemic Lupus Erythematosus, Antiphospholipid Syndrome, or Non-Criteria Obstetric Antiphospholipid Syndrome. J. Clin. Med. 2022, 11, 6822. https://doi.org/10.3390/jcm11226822
Baños N, Castellanos AS, Barilaro G, Figueras F, Lledó GM, Santana M, Espinosa G. Early Prediction of Adverse Pregnancy Outcome in Women with Systemic Lupus Erythematosus, Antiphospholipid Syndrome, or Non-Criteria Obstetric Antiphospholipid Syndrome. Journal of Clinical Medicine. 2022; 11(22):6822. https://doi.org/10.3390/jcm11226822
Chicago/Turabian StyleBaños, Núria, Aleida Susana Castellanos, Giuseppe Barilaro, Francesc Figueras, Gema María Lledó, Marta Santana, and Gerard Espinosa. 2022. "Early Prediction of Adverse Pregnancy Outcome in Women with Systemic Lupus Erythematosus, Antiphospholipid Syndrome, or Non-Criteria Obstetric Antiphospholipid Syndrome" Journal of Clinical Medicine 11, no. 22: 6822. https://doi.org/10.3390/jcm11226822
APA StyleBaños, N., Castellanos, A. S., Barilaro, G., Figueras, F., Lledó, G. M., Santana, M., & Espinosa, G. (2022). Early Prediction of Adverse Pregnancy Outcome in Women with Systemic Lupus Erythematosus, Antiphospholipid Syndrome, or Non-Criteria Obstetric Antiphospholipid Syndrome. Journal of Clinical Medicine, 11(22), 6822. https://doi.org/10.3390/jcm11226822

