Occurrence and Risk Factors for Macular Edema in Patients with Juvenile Idiopathic Arthritis-Associated Uveitis
Abstract
:1. Introduction
2. Methods
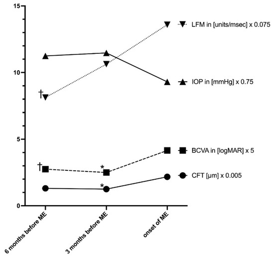
3. Results
4. Discussion
5. Conclusions
Author Contributions
Funding
Institutional Review Board Statement
Informed Consent Statement
Data Availability Statement
Conflicts of Interest
References
- Beukelman, T.; Patkar, N.M.; Saag, K.G.; Tolleson-Rinehart, S.; Cron, R.Q.; Dewitt, E.M.; Ilowite, N.T.; Kimura, Y.; Laxer, R.M.; Lovell, D.J.; et al. 2011 American College of Rheumatology recommendations for the treatment of juvenile idiopathic arthritis: Initiation and safety monitoring of therapeutic agents for the treatment of arthritis and systemic features. Arthritis Care Res. 2011, 63, 465–482. [Google Scholar] [CrossRef] [PubMed]
- Berntson, L.; Andersson Gäre, B.; Fasth, A.; Herlin, T.; Kristinsson, J.; Lahdenne, P.; Marhaug, G.; Nielsen, S.; Pelkonen, P.; Rygg, M. A population based study with special reference to the validity of the ILAR and EULAR criteria. J. Rheumatol. 2003, 30, 2275–2282. [Google Scholar] [PubMed]
- Tappeiner, C.; Klotsche, J.; Schenck, S.; Niewerth, M.; Minden, K.; Heiligenhaus, A. Temporal change in prevalence and complications of uveitis associated with juvenile idiopathic arthritis: Data from a cross-sectional analysis of a prospective nationwide study. Clin. Exp. Rheumatol. 2015, 33, 936–944. [Google Scholar] [PubMed]
- Heiligenhaus, A.; Niewerth, M.; Ganser, G.; Heinz, C.; Minden, K.; German Uveitis in Childhood Study Group. Prevalence and complications of uveitis in juvenile idiopathic arthritis in a population-based nation-wide study in Germany: Suggested modification of the current screening guidelines. Rheumatology 2007, 46, 1015–1019. [Google Scholar] [CrossRef] [PubMed] [Green Version]
- Bowyer, S.L.; Roettcher, P.A.; Higgins, G.C.; Adams, B.; Myers, L.K.; Wallace, C.; Rennebohm, R.; Moore, T.L.; Pepmueller, P.H.; Spencer, C.; et al. Health status of patients with juvenile rheumatoid arthritis at 1 and 5 years after diagnosis. J. Rheumatol. 2003, 30, 394–400. [Google Scholar] [CrossRef] [PubMed] [Green Version]
- Kotaniemi, K.; Kautiainen, H.; Karma, A.; Aho, K. Occurrence of uveitis in recently diagnosed juvenile chronic arthritis: A prospective study. Ophthalmology 2001, 108, 2071–2075. [Google Scholar] [CrossRef]
- Carvounis, P.E.; Herman, D.C.; Cha, S.; Burke, J.P. Incidence and outcomes of uveitis in juvenile rheumatoid arthritis, a synthesis of the literature. Graefes. Arch. Clin. Exp. Ophthalmol. 2006, 244, 281–290. [Google Scholar] [CrossRef]
- Heiligenhaus, A.; Klotsche, J.; Tappeiner, C.; Sengler, C.; Niewerth, M.; Liedmann, I.; Hoeft, S.; Walscheid, K.; Lavric, M.; Foell, D.; et al. Predictive factors and biomarkers for the 2-year outcome of uveitis in juvenile idiopathic arthritis: Data from the Inception Cohort of Newly diagnosed patients with Juvenile Idiopathic Arthritis (ICON-JIA) study. Rheumatology 2018, 58, 975–986. [Google Scholar] [CrossRef] [Green Version]
- Angeles-Han, S.T.; McCracken, C.; Yeh, S.; Jenkins, K.; Stryker, D.; Rouster-Stevens, K.; Vogler, L.B.; Lambert, S.R.; Drews-Botsch, C.; Prahalad, S. Characteristics of a cohort of children with Juvenile Idiopathic Arthritis and JIA-associated Uveitis. Pediatr. Rheumatol. Online J. 2015, 13, 19. [Google Scholar] [CrossRef] [Green Version]
- Vitale, A.T.; Graham, E.; de Boer, J.H. Juvenile idiopathic arthritis-associated uveitis: Clinical features and complications, risk factors for severe course, and visual outcome. Ocul. Immunol Inflamm. 2013, 21, 478–485. [Google Scholar] [CrossRef]
- Thorne, J.E.; Woreta, F.; Kedhar, S.R.; Dunn, J.P.; Jabs, D.A. Juvenile idiopathic arthritis-associated uveitis: Incidence of ocular complications and visual acuity loss. Am. J. Ophthalmol. 2007, 143, 840–846. [Google Scholar] [CrossRef]
- Tappeiner, C.; Heinz, C.; Roesel, M.; Heiligenhaus, A. Elevated laser flare values correlate with complicated course of anterior uveitis in patients with juvenile idiopathic arthritis. Acta Ophthalmol. 2011, 89, e521–e527. [Google Scholar] [CrossRef]
- Ducos de Lahitte, G.; Terrada, C.; Tran, T.H.C.; Cassoux, N.; LeHoang, P.; Kodjikian, L.; Bodaghi, B. Maculopathy in uveitis of juvenile idiopathic arthritis: An optical coherence tomography study. Br. J. Ophthalmol. 2008, 92, 64–69. [Google Scholar] [CrossRef]
- De Boer, J.; Steijaert, A.; van den Bor, R.; Stellato, R.; Ossewaarde-van Norel, J. Development of macular edema and impact on visual acuity in uveitis associated with juvenile idiopathic arthritis. Ocul. Immunol. Inflamm. 2015, 23, 67–73. [Google Scholar] [CrossRef] [PubMed]
- Sijssens, K.M.; Los, L.I.; Rothova, A.; Schellekens, P.A.W.J.F.; van de Does, P.; Stilma, J.S.; de Boer, H.J. Long-term ocular complications in aphakic versus pseudophakic eyes of children with juvenile idiopathic arthritis-associated uveitis. Br. J. Ophthalmol. 2010, 94, 1145–1149. [Google Scholar] [CrossRef] [PubMed]
- Paroli, M.P.; Spinucci, G.; Fabiani, C.; Pivetti Pezzi, P. Retinal complications of juvenile idiopathic arthritis-related uveitis: A microperimetry and optical coherence tomography study. Ocul. Immunol. Inflamm. 2010, 18, 54–59. [Google Scholar] [CrossRef] [PubMed]
- Rosenberg, K.D.; Feuer, W.J.; Davis, J.L. Ocular complications of pediatric uveitis. Ophthalmology 2004, 111, 2299–2306. [Google Scholar] [CrossRef]
- Smith, J.A.; Mackensen, F.; Sen, H.N.; Leigh, J.F.; Watkins, A.S.; Pyatetsky, D.; Tessler, H.H.; Nussenblatt, R.B.; Rosenbaum, J.T.; Reed, G.F.; et al. Epidemiology and course of disease in childhood uveitis. Ophthalmology 2009, 116, 1544–1551. [Google Scholar] [CrossRef] [Green Version]
- De Boer, J.; Wulffraat, N.; Rothova, A. Visual loss in uveitis of childhood. Br. J. Ophthalmol. 2003, 87, 879–884. [Google Scholar] [CrossRef]
- Scholl, S.; Augustin, A.; Loewenstein, A.; Rizzo, S.; Kupperman, B. General pathophysiology of macular edema. Eur. J. Ophthalmol. 2010, 21, 10–19. [Google Scholar] [CrossRef]
- Augustin, A.; Loewenstein, A.; Kuppermann, B.D. Macular edema. General pathophysiology. Dev. Ophthalmol. 2010, 47, 10–26. [Google Scholar] [CrossRef]
- Coscas, G.; Cunha-Vaz, J.; Soubrane, G. Macular Edema: Definition and Basic Concepts. Dev. Ophthalmol. 2017, 58, 1–10. [Google Scholar] [CrossRef] [PubMed]
- Wolfensberger, T.J. Macular Edema—Rationale for Therapy. Dev. Ophthalmol. 2017, 58, 74–86. [Google Scholar] [CrossRef] [PubMed]
- Rothova, A. Inflammatory cystoid macular edema. Curr. Opin. Ophthalmol. 2007, 18, 487–492. [Google Scholar] [CrossRef]
- Kotaniemi, K.; Penttila, H. Intraocular lens implantation in patients with juvenile idiopathic arthritis-associated uveitis. Ophthalmic Res. 2006, 38, 318–323. [Google Scholar] [CrossRef] [PubMed]
- Petty, R.E.; Southwood, T.R.; Manners, P.; Baum, J.; Glass, D.N.; Goldenberg, J.; He, X.; Maldonado-Cocco, J.; Orozco-Alcala, J.; Prieur, A.-M.; et al. International League of Associations for Rheumatology International League of Associations for Rheumatology classification of juvenile idiopathic arthritis: Second revision, Edmonton, 2001. J. Rheumatol. 2004, 31, 390–392. [Google Scholar] [CrossRef] [PubMed]
- Jabs, D.A.; Nussenblatt, R.B.; Rosenbaum, J.T. Standardization of Uveitis Nomenclature (SUN) Working Group Standardization of uveitis nomenclature for reporting clinical data. Results of the First International Workshop. Am. J. Ophthalmol. 2005, 140, 509–516. [Google Scholar] [CrossRef]
- Haasnoot, A.-M.J.W.; Sint Jago, N.F.M.; Tekstra, J.; de Boer, J.H. Impact of Uveitis on Quality of Life in Adult Patients with Juvenile Idiopathic Arthritis. Arthritis Care Res. 2017, 69, 1895–1902. [Google Scholar] [CrossRef] [Green Version]
- Haasnoot, A.-M.J.W.; Vernie, L.A.; Rothova, A.; Doe, V.D.P.; Los, L.I.; Schalij-Delfos, N.E.; de Boer, J.H. Impact of Juvenile Idiopathic Arthritis Associated Uveitis in Early Adulthood. PLoS ONE 2016, 11, e0164312. [Google Scholar] [CrossRef]
- Heiligenhaus, A.; Niewerth, M.; Mingels, A.; Ganser, G.; Thon, A.; Pleyer, U.; Greiner, K.; Minden, K. Epidemiology of uveitis in juvenile idiopathic arthritis from a national paediatric rheumatologic and ophthalmologic database. Klin. Monbl. Augenheilkd. 2005, 222, 993–1001. [Google Scholar] [CrossRef]
- Foster, C.S. Diagnosis and treatment of juvenile idiopathic arthritis-associated uveitis. Curr. Opin. Ophthalmol. 2003, 14, 395–398. [Google Scholar] [CrossRef]
- Dana, M.R.; Merayo-Lloves, J.; Schaumberg, D.A.; Foster, C.S. Visual outcomes prognosticators in juvenile rheumatoid arthritis-associated uveitis. Ophthalmology 1997, 104, 236–244. [Google Scholar] [CrossRef]
- Kump, L.I.; Castañeda, R.A.C.; Androudi, S.N.; Reed, G.F.; Foster, C.S. Visual outcomes in children with juvenile idiopathic arthritis-associated uveitis. Ophthalmology 2006, 113, 1874–1877. [Google Scholar] [CrossRef]
- Heiligenhaus, A.; Minden, K.; Tappeiner, C.; Baus, H.; Bertram, B.; Deuter, C.; Foeldvari, I.; Föll, D.; Frosch, M.; Ganser, G.; et al. Update of the evidence based, interdisciplinary guideline for anti-inflammatory treatment of uveitis associated with juvenile idiopathic arthritis. Semin. Arthritis Rheum. 2018, 49, 43–55. [Google Scholar] [CrossRef]
- Ramanan, A.V.; Dick, A.D.; Benton, D.; Compeyrot-Lacassagne, S.; Dawoud, D.; Hardwick, B.; Hickey, H.; Hughes, D.; Jones, A.; Woo, P.; et al. SYCAMORE Trial Management Group A randomised controlled trial of the clinical effectiveness, safety and cost-effectiveness of adalimumab in combination with methotrexate for the treatment of juvenile idiopathic arthritis associated uveitis (SYCAMORE Trial). Trials 2014, 15, 14. [Google Scholar] [CrossRef] [PubMed] [Green Version]
- Angeles-Han, S.T.; Ringold, S.; Beukelman, T.; Lovell, D.; Cuello, C.A.; Becker, M.L.; Colbert, R.A.; Feldman, B.M.; Holland, G.N.; Ferguson, P.J.; et al. 2019 American College of Rheumatology/Arthritis Foundation Guideline for the Screening, Monitoring, and Treatment of Juvenile Idiopathic Arthritis-Associated Uveitis. Arthritis Care Res. 2019, 71, 703–716. [Google Scholar] [CrossRef] [Green Version]
- Foeldvari, I.; Klotsche, J.; Simonini, G.; Edelsten, C.; Angeles-Han, S.T.; Bangsgaard, R.; Boer, J.; Brumm, G.; Torrent, R.B.; Constantin, T.; et al. Proposal for a definition for response to treatment, inactive disease and damage for JIA associated uveitis based on the validation of a uveitis related JIA outcome measures from the Multinational Interdisciplinary Working Group for Uveitis in Childhood (MIWGUC). Pediatr. Rheumatol. 2019, 66, 17. [Google Scholar] [CrossRef] [Green Version]
- Sabri, K.; Saurenmann, R.K.; Silverman, E.D.; Levin, A.V. Course, complications, and outcome of juvenile arthritis–related uveitis. J. AAPOS 2008, 12, 539–545. [Google Scholar] [CrossRef]
- Paroli, M.P.; Spinucci, G.; Liverani, M.; Monte, R.; Pezzi, P.P. Uveitis in childhood: An Italian clinical and epidemiological study. Ocul. Immunol. Inflamm. 2009, 17, 238–242. [Google Scholar] [CrossRef] [PubMed]
- Skarin, A.; Elborgh, R.; Edlund, E.; Bengtsson-Stigmar, E. Long-term follow-up of patients with uveitis associated with juvenile idiopathic arthritis: A cohort study. Ocul. Immunol. Inflamm. 2009, 17, 104–108. [Google Scholar] [CrossRef] [PubMed]
- Kalinina Ayuso, V.; ten Cate, H.A.; van den Does, P.; Rothova, A.; de Boer, J.H. Young age as a risk factor for complicated course and visual outcome in intermediate uveitis in children. Br. J. Ophthalmol. 2011, 95, 646–651. [Google Scholar] [CrossRef] [Green Version]
- Böhm, M.R.R.; Tappeiner, C.; Breitbach, M.A.; Zurek-Imhoff, B.; Heinz, C.; Heiligenhaus, A. Ocular hypotony in patients with juvenile idiopathic arthritis–associated uveitis. Am. J. Ophthalmol. 2016, 173, 45–55. [Google Scholar] [CrossRef]
- Ravelli, A.; Felici, E.; Magni-Manzoni, S.; Pistorio, A.; Novarini, C.; Bozzola, E.; Viola, S.; Martini, A. Patients with antinuclear antibody-positive juvenile idiopathic arthritis constitute a homogeneous subgroup irrespective of the course of joint disease. Arthritis Rheum. 2005, 52, 826–832. [Google Scholar] [CrossRef]
- Ozdal, P.C.; Vianna, R.N.G.; Deschênes, J. Visual outcome of juvenile rheumatoid arthritis-associated uveitis in adults. Ocul. Immunol. Inflamm. 2005, 13, 33–38. [Google Scholar] [CrossRef] [PubMed]
- Yu, E.N.; Meniconi, M.E.; Tufail, F.; Baltatzis, S.; Foster, C.S. Outcomes of treatment with immunomodulatory therapy in patients with corticosteroid-resistant juvenile idiopathic arthritis-associated chronic iridocyclitis. Ocul. Immunol. Inflamm. 2005, 13, 353–360. [Google Scholar] [CrossRef] [PubMed]
- Tomkins-Netzer, O.; Taylor, S.R.J.; Bar, A.; Lula, A.; Yaganti, S.; Talat, L.; Lightman, S. Treatment with repeat dexamethasone implants results in long-term disease control in eyes with noninfectious uveitis. Ophthalmology 2014, 121, 1649–1654. [Google Scholar] [CrossRef] [PubMed]
- Paroli, M.P.; Abbouda, A.; Restivo, L.; Sapia, A.; Abicca, I.; Pivetti Pezzi, P. Juvenile idiopathic arthritis-associated uveitis at an Italian tertiary referral center: Clinical features and complications. Ocul. Immunol. Inflamm. 2015, 23, 74–81. [Google Scholar] [CrossRef] [PubMed]
- Kalinina Ayuso, V.; ten Cate, H.A.; van den Does, P.; Rothova, A.; de Boer, J.H. Male gender and poor visual outcome in uveitis associated with juvenile idiopathic arthritis. Am. J. Ophthalmol. 2010, 149, 987–993. [Google Scholar] [CrossRef] [PubMed]
- Taylor, S.R.J.; Lightman, S.L.; Sugar, E.A.; Jaffe, G.J.; Freeman, W.R.; Altaweel, M.M.; KOZAK, I.; Holbrook, J.T.; Jabs, D.A.; Kempen, J.H. The impact of macular edema on visual function in intermediate, posterior, and panuveitis. Ocul. Immunol. Inflamm. 2012, 20, 171–181. [Google Scholar] [CrossRef] [Green Version]
- Tappeiner, C.; Klotsche, J.; Sengler, C.; Niewerth, M.; Liedmann, I.; Walscheid, K.; Lavric, M.; Foell, D.; Minden, K.; Heiligenhaus, A. Risk Factors and Biomarkers for the Occurrence of Uveitis in Juvenile Idiopathic Arthritis. Arthritis Rheumatol. 2018, 70, 1685–1694. [Google Scholar] [CrossRef]
- Paroli, M.P.; Fabiani, C.; Spinucci, G.; Abicca, I.; Sapia, A.; Spadea, L. Severe macular edema in patients with juvenile idiopathic arthritis-related uveitis. Case Rep. Ophthalmol. Med. 2013, 2013, 803989. [Google Scholar] [CrossRef] [PubMed] [Green Version]
- Grajewski, R.S.; Zurek-Imhoff, B.; Roesel, M.; Heinz, C.; Heiligenhaus, A. Favourable outcome after cataract surgery with IOL implantation in uveitis associated with juvenile idiopathic arthritis. Acta Ophthalmol. 2012, 90, 657–662. [Google Scholar] [CrossRef] [PubMed]


| JIA-U Total Group | JIA-U w/o ME | JIA-U with ME ** | p-Value a w/o vs. with ME | |
|---|---|---|---|---|
| Patients, n (%) | 228 (100.0) | 187 (82.0) | 41 (18.0) | n/a |
| Female gender, n (%) | 157 (68.9) | 123 (65.8) | 34 (82.9) | <0.05 (1) |
| Age at BL, mean ± SD | 7.6 ± 4.3 | 7.1 ± 3.7 | 10.3 ± 5.5 | <0.001 |
| Age at uveitis onset, mean ± SD | 5.2 ± 3.1 | 5.2 ± 2.9 | 5.6 ± 3.9 | 0.42 |
| Age at JIA onset, mean ± SD | 4.0 ± 3.0 | 3.8 ± 2.7 | 4.7 ± 4.1 | 0.10 |
| Duration of uveitis at BL, mean ± SD | 2.4 ± 3.6 | 1.9 ± 2.9 | 4.7 ± 5.3 | <0.01 |
| JIA subtype, n (%) | 0.27 (2) | |||
| Systemic arthritis | 0 (0.0) | 0 (0.0) | 0 (0.0) | n/a (1) |
| Polyarthritis RF negative | 39 (17.1) | 35 (18.7) | 4 (9.8) | 0.25 (2) |
| Polyarthritis RF positive | 1 (0.4) | 1 (0.5) | 0 (0.0) | 1.00 (2) |
| Oligoarthritis | 173 (75.9) | 141 (75.4) | 32 (78.0) | 0.07 (1) |
| Enthesitis-related arthritis | 3 (1.3) | 2 (1.1) | 1 (2.4) | 0.45 (2) |
| Psoriatic arthritis | 2 (0.9) | 1 (0.5) | 1 (2.4) | 0.33 (2) |
| Undifferentiated arthritis | 10 (4.4) | 7 (3.7) | 3 (7.3) | 0.39 (2) |
| HLA-B27 positivity, n (%) | 25 (11.0) | 20 (10.7) | 5 (12.2) | 0.78 (2) |
| ANA positivity, n (%) | 211 (94.2) | 175 (95.1) | 36 (90.0) | 0.26 (1) |
| Uveitis-related eye complications, n (%) | ||||
| Band keratopathy | 61 (26.8) | 42 (22.5) | 19 (46.3) | <0.01 (1) |
| Posterior synechiae | 73 (32.0) | 51 (27.3) | 22 (53.7) | <0.01 (1) |
| Iris rubeosis | 10 (4.4) | 7 (3.7) | 3 (7.3) | 0.39 (2) |
| Cataract | 72 (31.6) | 46 (24.6) | 26 (63.4) | <0.0001 (1) |
| Optic disc swelling | 45 (19.7) | 31 (16.6) | 14 (34.1) | 0.02 (1) |
| Glaucoma | 20 (8.8) | 16 (8.6) | 4 (9.8) | 0.76 (2) |
| Epiretinal membrane | 18 (7.9) | 8 (4.3) | 10 (24.4) | <0.0001 (2) |
| Previous eye surgery, n (%) | ||||
| Cataract surgery | 13 (5.7) | 10 (5.3) | 3 (7.3) | 0.70 (2) |
| Glaucoma surgery | 1 (0.4) | 0 (0.0) | 1 (2.4) | 0.17 (2) |
| Other surgery | 7 (3.1) | 4 (2.1) | 3 (7.3) | 0.10 (2) |
| Parameter | JIA-U w/o ME (n = 187) | JIA-U with ME (n = 41) | p-Value | Univariable Cox Regression Analysis a | ||
|---|---|---|---|---|---|---|
| HR | 95% CI | p-Value | ||||
| Female sex, n (%) | 123 (65.8) | 34 (82.9) | 0.05 (1) | 1.91 | [0.84, 4.32] | 0.12 |
| Bilateral uveitis, n (%) | 134 (71.7) | 32 (78.0) | 0.52 (1) | 1.17 | [0.56, 2.44] | 0.69 |
| Oligoarthritis, n (%) | 141 (75.4) | 32 (78.0) | 0.87 (1) | 0.88 | [0.42, 1.85] | 0.73 |
| ANA positivity,n (%) | 175 (95.1) | 36 (90.0) | 0.26 (2) | 0.50 | [0.18, 1.42] | 0.19 |
| HLA-B27 positivity, n (%) | 20 (10.7) | 5 (12.2) | 0.78 (2) | 1.01 | [0.39, 2.57] | 0.99 |
| Age at JIA onset, mean ± SD | 3.8 ± 2.7 | 4.6 ± 4.1 | 0.10 | 1.07 | [0.98, 1.19] | 0.15 |
| Age at uveitis onset, mean ± SD | 5.2 ± 2.9 | 5.6 ± 3.9 | 0.42 | 1.06 | [0.96, 1.16] | 0.27 |
| Age at BL, mean ± SD | 7.1 ± 3.7 | 10.2 ± 5.5 | <0.001 | 1.19 | [1.11, 1.27] | <0.0001 |
| Uveitis duration at BL, mean ± SD | 3.4 ± 3.6 | 5.1 ± 5.6 | <0.01 | 1.17 | [1.10, 1.20] | <0.0001 |
| BCVA in logMAR, mean ± SD | 0.3 ± 0.5 | 0.8 ± 0.7 | <0.001 | 2.49 | [1.70, 3.64] | <0.0001 |
| IOP, mean ± SD | 14.8 ± 5.5 | 12.4 ± 4.7 | 0.17 (3) | 0.88 | [0.81, 0.96] | <0.01 |
| LFM b in pu/ms mean ± SD | 19.7 ± 38.1 | 64.2 ± 134.4 | 0.01 (3) | 1.003 | [1.00, 1.01] | 0.01 |
| ACC grade c ≥0.5 +, n (%) | 106 (58.2) | 28 (70.0) | 0.37 (1) | 1.39 | [0.72, 2.69] | 0.33 |
| Band keratopathy, n (%) | 42 (22.5) | 19 (46.3) | <0.01 (1) | 2.29 | [1.23, 4.23] | <0.01 |
| Posterior synechiae, n (%) | 51 (27.3) | 22 (53.7) | <0.01 (1) | 2.55 | [1.38, 4.71] | <0.01 |
| Iris rubeosis, n (%) | 2 (1.1) | 0 (0.0) | 0.39 (2) | 2.17 | [0.67, 7.06] | 0.19 |
| Epiretinal membrane, n (%) | 8 (4.3) | 10 (24.4) | <0.0001 (2) | 6.19 | [2.92, 13.12] | <0.0001 |
| Optic disc swelling, n (%) | 31 (16.6) | 14 (34.1) | 0.02 (1) | 2.81 | [1.46, 5.39] | <0.01 |
| Cataract, n (%) | 46 (24.6) | 26 (63.4) | <0.0001 (1) | 4.24 | [2.17, 8.26] | <0.0001 |
| Previous cataract surgery, n (%) | 10 (5.3) | 3 (7.3) | 0.70 (2) | 1.17 | [0.36, 3.84] | 0.79 |
| Systemic corticosteroids, n (%) | 39 (20.9) | 14 (34.1) | 0.07 (1) | 1.75 | [0.91, 3.37] | 0.10 |
| csDMARDs, n (%) | 147 (79) | 35 (89.7) | 0.19 (1) | 2.26 | [0.80, 6.37] | 0.12 |
| bDMARDs, n (%) | 29 (15.6) | 6 (15.4) | 1.00 (1) | 1.44 | [0.60, 3.47] | 0.41 |
| A: 6 Months before Onset of ME n = 29 | B: 3 Months before Onset of ME n = 23 | C: At Onset of ME n = 41 | p-Value (for All) | Adjusted p-Value (Posthoc Analysis for Significant Parameter) A vs. B//B vs. C//A vs. C | |
|---|---|---|---|---|---|
| BCVA logMAR, mean (SD) | 0.55 ± 0.51 | 0.50 ± 0.41 | 0.83 ± 0.56 | 0.02 (4) | 1.00//0.03//0.03 |
| LFM, pu/ms, mean (SD) | 108.4 ± 113.9 | 141.7 ± 202.6 | 181.2 ± 183.8 | <0.05 (4) | 1.00//0.12//0.03 |
| AC cells ≥ 0.5+, n (%) | 17 (58.6) | 12 (52.2) | 27 (65.9) | 0.56 (1) | |
| Posterior synechiae, n (%) | 8 (27,6%) | 16 (70.0%) | 17 (41.5%) | 0.33 (1) | |
| Band keratopathy, n (%) | 17 (58.6) | 14 (63.6) | 23 (56.1) | 0.93 (1) | |
| Cataract, n (%) | 24 (82.8) | 19 (82.6) | 32 (78.0) | 0.89 (2) | |
| Iris rubeosis, n (%) | 0 (0.0) | 0 (0.0) | 1 (2.4) | 1.00 (2) | |
| Optic disc swelling, n (%) | 4 (13.8) | 5 (21.7) | 20 (48.8) | <0.01 (1) | 1.00//0.18//0.02 |
| IOP mmHg, mean (SD) | 15.0 ± 5.4 | 15.3 ± 4.1 | 12.4 ± 4.8 | 0.04 (3) | 0.98//0.09//0.09 |
| Epiretinal membrane formation, n (%) | 4 (13.8) | 5 (21.7) | 15 (36.6) | 0.09 (1) | |
| CFT µm, mean (SD) | 262 ± 48 | 250 ± 48 | 435 ± 193 | <0.01 (4) | 1.00//0.01//>0.05 |
| csDMARD use, n (%) | 25 (86.2) | 19 (82.6) | 36 (87.8) | 1.00 (2) | |
| Methotrexate use, n (%) | 21 (72.4) | 15 (65.2) | 28 (68.3) | 0.85 (1) | |
| bDMARDs use, n (%) | 15 (51.7) | 13 (56.5) | 20 (48.8) | 0.84 (1) | |
| Adalimumab use, n (%) | 10 (34.5) | 9 (39.1) | 16 (38.4) | 0.91 (1) | |
| Systemic corticosteroids > 10 mg/day; n (%) | 0 (0.0) | 3 (13.0) | 3 (7.3) | 0.12 (2) | |
| Topical corticosteroids >2 daily doses, n (%) | 14 (48.3) | 8 (34.8) | 24 (58.5) | 0.19 (1) | |
| Systemic CA inhibitors, n (%) | 3 (10.3) | 2 (8.7) | 3 (7.3) | 0.91 (2) | |
| Systemic NSAIDs, n (%) | 9 (31.0) | 7 (30.4) | 13 (31.7) | 0.99 (1) | |
| Topical NSAIDs, n (%) | 0 (0.0) | 0 (0.0) | 2 (4.9) | 0.48 (2) |
Publisher’s Note: MDPI stays neutral with regard to jurisdictional claims in published maps and institutional affiliations. |
© 2021 by the authors. Licensee MDPI, Basel, Switzerland. This article is an open access article distributed under the terms and conditions of the Creative Commons Attribution (CC BY) license (https://creativecommons.org/licenses/by/4.0/).
Share and Cite
Tappeiner, C.; Bae, H.S.; Rothaus, K.; Walscheid, K.; Heiligenhaus, A. Occurrence and Risk Factors for Macular Edema in Patients with Juvenile Idiopathic Arthritis-Associated Uveitis. J. Clin. Med. 2021, 10, 4513. https://doi.org/10.3390/jcm10194513
Tappeiner C, Bae HS, Rothaus K, Walscheid K, Heiligenhaus A. Occurrence and Risk Factors for Macular Edema in Patients with Juvenile Idiopathic Arthritis-Associated Uveitis. Journal of Clinical Medicine. 2021; 10(19):4513. https://doi.org/10.3390/jcm10194513
Chicago/Turabian StyleTappeiner, Christoph, Han Sol Bae, Kai Rothaus, Karoline Walscheid, and Arnd Heiligenhaus. 2021. "Occurrence and Risk Factors for Macular Edema in Patients with Juvenile Idiopathic Arthritis-Associated Uveitis" Journal of Clinical Medicine 10, no. 19: 4513. https://doi.org/10.3390/jcm10194513
APA StyleTappeiner, C., Bae, H. S., Rothaus, K., Walscheid, K., & Heiligenhaus, A. (2021). Occurrence and Risk Factors for Macular Edema in Patients with Juvenile Idiopathic Arthritis-Associated Uveitis. Journal of Clinical Medicine, 10(19), 4513. https://doi.org/10.3390/jcm10194513

