Comparative Study on Structural and Transport Properties of SSC and LSC PFSA Ionomers in PEMFCs with Coexistence of O2 and N2: Molecular Dynamics Simulation Approach
Abstract
1. Introduction
2. Methods
2.1. Simulation Models
2.2. MD Parameters and Procedures
2.3. Analysis Method
2.3.1. Radial Distribution Function
2.3.2. Solvent Surface Area to Volume Ratio
2.3.3. Diffusion Coefficient
3. Results and Discussion
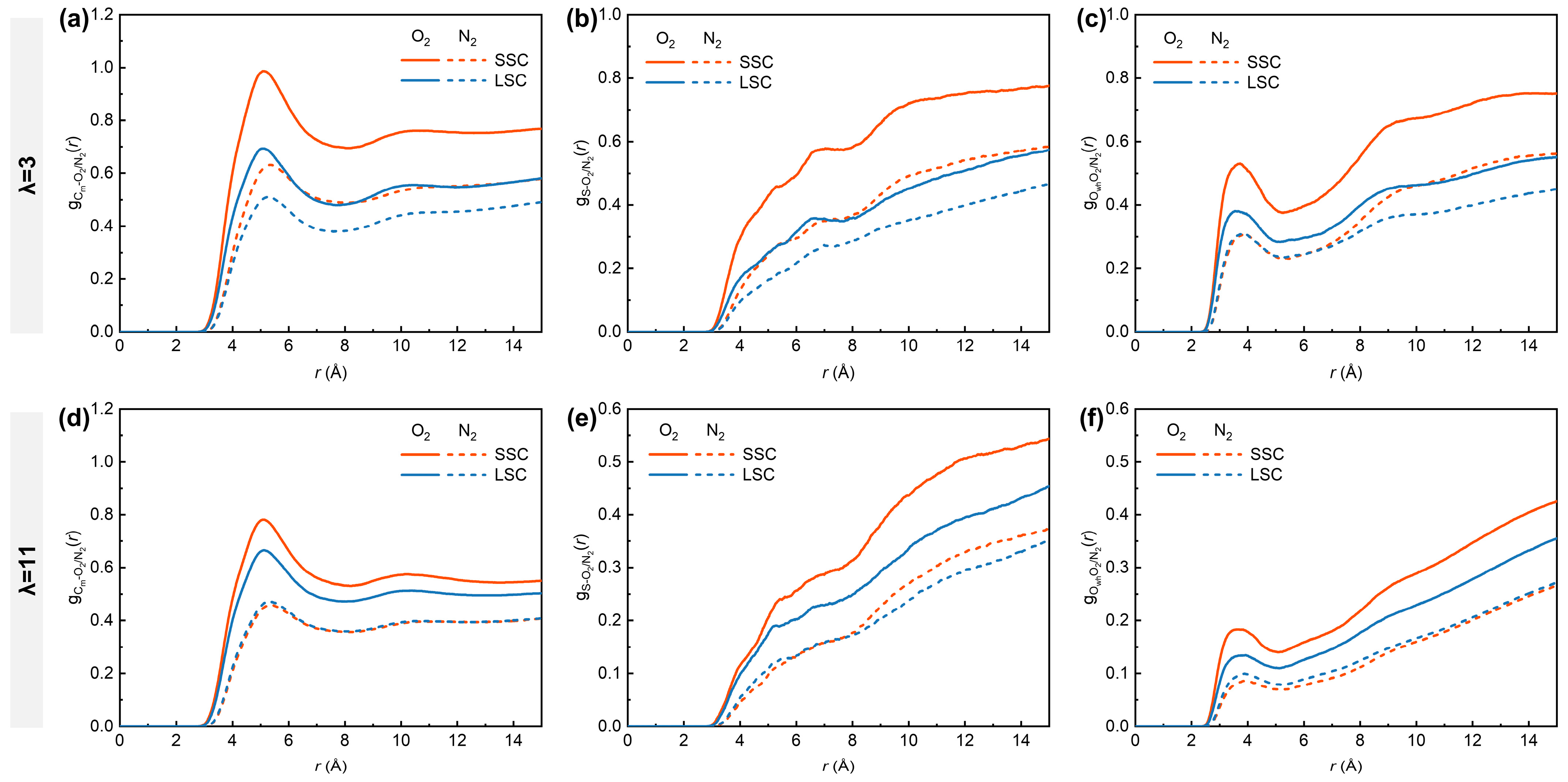
3.1. Nanostructure of Hydrated Ionomers
3.2. Transport Properties
4. Conclusions
Author Contributions
Funding
Institutional Review Board Statement
Informed Consent Statement
Data Availability Statement
Conflicts of Interest
Abbreviations
| Abbreviations | |
| PEMFC | Proton Exchange Membrane Fuel Cell |
| MD | Molecular Dynamics |
| SSC | Short-Side-Chain |
| LSC | Long-Side-Chain |
| PFSA | Perfluorosulfonic Acid |
| PGM | Platinum-Group-Metal |
| ORR | Oxygen Reduction Reaction |
| CCL | Cathode Catalyst Layer |
| TPB | Triple-Phase Boundary |
| PTFE | Polytetrafluoroethylene |
| PPPM | Particle–Particle–Particle Mesh |
| vdW | van der Waals |
| RDF | Radial Distribution Function |
| SA/OV | Surface Area-to-Occupied Volume ratio |
| MSD | Mean Square Displacement |
| Nomenclature | |
| g(r) | Radial distribution function |
| Average number of certain particles | |
| Density of certain particles | |
| N | Total number of certain particles in the system |
| V | Total volume of the system |
| r | Radial distance |
| dr | Shell thickness |
| Diameter of the spherical probe | |
| D | Diffusion coefficient |
| λ | Hydration, which represents the ratio of the number of water molecules and hydronium ions to that of sulfonic groups |
| t | Simulation time |
| Å | Angstrom |
References
- Staffell, I.; Scamman, D.; Abad, A.V.; Balcombe, P.; Dodds, P.E.; Ekins, P.; Shah, N.; Ward, K.R. The Role of Hydrogen and Fuel Cells in the Global Energy System. Energy Environ. Sci. 2019, 12, 463–491. [Google Scholar] [CrossRef]
- Jiao, K.; Xuan, J.; Du, Q.; Bao, Z.; Xie, B.; Wang, B.; Zhao, Y.; Fan, L.; Wang, H.; Hou, Z.; et al. Designing the next Generation of Proton-Exchange Membrane Fuel Cells. Nature 2021, 595, 361–369. [Google Scholar] [CrossRef]
- Brahim, T.; Jemni, A. Green Hydrogen Production: A Review of Technologies, Challenges, and Hybrid System Optimization. Renew. Sustain. Energy Rev. 2026, 225, 116194. [Google Scholar] [CrossRef]
- Fan, J.; Chen, M.; Zhao, Z.; Zhang, Z.; Ye, S.; Xu, S.; Wang, H.; Li, H. Bridging the Gap between Highly Active Oxygen Reduction Reaction Catalysts and Effective Catalyst Layers for Proton Exchange Membrane Fuel Cells. Nat. Energy 2021, 6, 475–486. [Google Scholar] [CrossRef]
- Saidi, S.; Brahim, T.; Rejeb, O.; Jemni, A. Electrochemical and Thermodynamic Modeling of PEM Electrolyzer Performance: A Comparative Study with and without Diffusion Overpotential. Int. J. Hydrogen Energy 2025, 128, 697–712. [Google Scholar] [CrossRef]
- García-Salaberri, P.A.; Das, P.K.; Chaparro, A.M. Local Oxygen Transport Resistance in Polymer Electrolyte Fuel Cells: Origin, Dependencies and Mitigation. Front. Energy Res. 2024, 12, 1357325. [Google Scholar] [CrossRef]
- Banham, D.; Zou, J.; Mukerjee, S.; Liu, Z.; Yang, D.; Zhang, Y.; Peng, Y.; Dong, A. Ultralow Platinum Loading Proton Exchange Membrane Fuel Cells: Performance Losses and Solutions. J. Power Sources 2021, 490, 229515. [Google Scholar] [CrossRef]
- Li, H.; Yuan, S.; You, J.; Zhao, C.; Cheng, X.; Luo, L.; Yan, X.; Shen, S.; Zhang, J. Revealing the Oxygen Transport Challenges in Catalyst Layers in Proton Exchange Membrane Fuel Cells and Water Electrolysis. Nano-Micro Lett. 2025, 17, 225. [Google Scholar] [CrossRef]
- Kim, Y.S. Hydrocarbon Ionomeric Binders for Fuel Cells and Electrolyzers. Adv. Sci. 2023, 10, 2303914. [Google Scholar] [CrossRef] [PubMed]
- Kusoglu, A.; Kwong, A.; Clark, K.T.; Gunterman, H.P.; Weber, A.Z. Water Uptake of Fuel-Cell Catalyst Layers. J. Electrochem. Soc. 2012, 159, F530. [Google Scholar] [CrossRef]
- Kongkanand, A.; Mathias, M.F. The Priority and Challenge of High-Power Performance of Low-Platinum Proton-Exchange Membrane Fuel Cells. J. Phys. Chem. Lett. 2016, 7, 1127–1137. [Google Scholar] [CrossRef] [PubMed]
- Yarlagadda, V.; Carpenter, M.K.; Moylan, T.E.; Kukreja, R.S.; Koestner, R.; Gu, W.; Thompson, L.; Kongkanand, A. Boosting Fuel Cell Performance with Accessible Carbon Mesopores. ACS Energy Lett. 2018, 3, 618–621. [Google Scholar] [CrossRef]
- U.S. Department of Energy Hydrogen and Fuel Cell Technologies Office Multi-Year Program Plan. Available online: https://www.energy.gov/sites/default/files/2024-05/hfto-mypp-2024.pdf (accessed on 10 August 2025).
- Katzenberg, A.; Chowdhury, A.; Fang, M.; Weber, A.Z.; Okamoto, Y.; Kusoglu, A.; Modestino, M.A. Highly Permeable Perfluorinated Sulfonic Acid Ionomers for Improved Electrochemical Devices: Insights into Structure–Property Relationships. J. Am. Chem. Soc. 2020, 142, 3742–3752. [Google Scholar] [CrossRef]
- Jinnouchi, R.; Kudo, K.; Kodama, K.; Kitano, N.; Suzuki, T.; Minami, S.; Shinozaki, K.; Hasegawa, N.; Shinohara, A. The Role of Oxygen-Permeable Ionomer for Polymer Electrolyte Fuel Cells. Nat. Commun. 2021, 12, 4956. [Google Scholar] [CrossRef]
- Yan, X.; Xu, Z.; Yuan, S.; Han, A.; Shen, Y.; Cheng, X.; Liang, Y.; Shen, S.; Zhang, J. Structural and Transport Properties of Ultrathin Perfluorosulfonic Acid Ionomer Film in Proton Exchange Membrane Fuel Cell Catalyst Layer: A Review. J. Power Sources 2022, 536, 231523. [Google Scholar] [CrossRef]
- Bird, A.; Kim, Y.; Berlinger, S.A.; Weber, A.Z.; Kusoglu, A. PFSA-ionomer Dispersions to Thin-films: Interplay between Sidechain Chemistry and Dispersion Solvent. Adv. Energy Mater. 2025, 15, 2404242. [Google Scholar] [CrossRef]
- Li, J.; Pan, M.; Tang, H. Understanding Short-Side-Chain Perfluorinated Sulfonic Acid and Its Application for High Temperature Polymer Electrolyte Membrane Fuel Cells. RSC Adv. 2013, 4, 3944–3965. [Google Scholar] [CrossRef]
- Kusoglu, A.; Weber, A.Z. New Insights into Perfluorinated Sulfonic-Acid Ionomers. Chem. Rev. 2017, 117, 987–1104. [Google Scholar] [CrossRef]
- Arcella, V.; Troglia, C.; Ghielmi, A. Hyflon Ion Membranes for Fuel Cells. Ind. Eng. Chem. Res. 2005, 44, 7646–7651. [Google Scholar] [CrossRef]
- De Angelis, M.G.; Lodge, S.; Giacinti Baschetti, M.; Sarti, G.C.; Doghieri, F.; Sanguineti, A.; Fossati, P. Water Sorption and Diffusion in a Short-Side-Chain Perfluorosulfonic Acid Ionomer Membrane for PEMFCS: Effect of Temperature and Pre-Treatment. Desalination 2006, 193, 398–404. [Google Scholar] [CrossRef]
- Lee, D.K.; Saito, T.; Benesi, A.J.; Hickner, M.A.; Allcock, H.R. Characterization of Water in Proton-Conducting Membranes by Deuterium NMR T1 Relaxation. J. Phys. Chem. B 2011, 115, 776–783. [Google Scholar] [CrossRef]
- Liu, Y.; Horan, J.L.; Schlichting, G.J.; Caire, B.R.; Liberatore, M.W.; Hamrock, S.J.; Haugen, G.M.; Yandrasits, M.A.; Seifert, S.; Herring, A.M. A Small-Angle X-Ray Scattering Study of the Development of Morphology in Films Formed from the 3M Perfluorinated Sulfonic Acid Ionomer. Macromolecules 2012, 45, 7495–7503. [Google Scholar] [CrossRef]
- Kusoglu, A.; Dursch, T.J.; Weber, A.Z. Nanostructure/Swelling Relationships of Bulk and Thin-Film PFSA Ionomers. Adv. Funct. Mater. 2016, 26, 4961–4975. [Google Scholar] [CrossRef]
- Guan, P.; Zou, Y.; Zhang, M.; Zhong, W.; Xu, J.; Lei, J.; Ding, H.; Feng, W.; Liu, F.; Zhang, Y. High-Temperature Low-Humidity Proton Exchange Membrane with “Stream-Reservoir” Ionic Channels for High-Power-Density Fuel Cells. Sci. Adv. 2023, 9, eadh1386. [Google Scholar] [CrossRef]
- Guan, P.; Lei, J.; Liu, X.; Xu, K.; Pei, S.; Ding, H.; Zou, Y.; Feng, W.; Liu, F.; Zhang, Y. Origins of Water State and Ionic Cluster Morphology for High Proton Conductivity of Short Side-Chain Perfluorinated Sulfonic Acid Membranes. Chem. Mater. 2022, 34, 7845–7857. [Google Scholar] [CrossRef]
- Siracusano, S.; Pantò, F.; Tonella, S.; Oldani, C.; Aricò, A.S. Reinforced Short-Side-Chain Aquivion® Membrane for Proton Exchange Membrane Water Electrolysis. Int. J. Hydrogen Energy 2022, 47, 15557–15570. [Google Scholar] [CrossRef]
- Li, T.; Shen, J.; Chen, G.; Guo, S.; Xie, G. Performance Comparison of Proton Exchange Membrane Fuel Cells with Nafion and Aquivion Perfluorosulfonic Acids with Different Equivalent Weights as the Electrode Binders. ACS Omega 2020, 5, 17628–17636. [Google Scholar] [CrossRef]
- Shahgaldi, S.; Alaefour, I.; Li, X. The Impact of Short Side Chain Ionomer on Polymer Electrolyte Membrane Fuel Cell Performance and Durability. Appl. Energy 2018, 217, 295–302. [Google Scholar] [CrossRef]
- Shin, S.-H.; Nur, P.J.; Kodir, A.; Kwak, D.-H.; Lee, H.; Shin, D.; Bae, B. Improving the Mechanical Durability of Short-Side-Chain Perfluorinated Polymer Electrolyte Membranes by Annealing and Physical Reinforcement. ACS Omega 2019, 4, 19153–19163. [Google Scholar] [CrossRef]
- Garsany, Y.; Atkinson, R.W.; Sassin, M.B.; Hjelm, R.M.E.; Gould, B.D.; Swider-Lyons, K.E. Improving PEMFC Performance Using Short-Side-Chain Low-Equivalent-Weight PFSA Ionomer in the Cathode Catalyst Layer. J. Electrochem. Soc. 2018, 165, F381. [Google Scholar] [CrossRef]
- Park, Y.-C.; Kakinuma, K.; Uchida, H.; Watanabe, M.; Uchida, M. Effects of Short-Side-Chain Perfluorosulfonic Acid Ionomers as Binders on the Performance of Low Pt Loading Fuel Cell Cathodes. J. Power Sources 2015, 275, 384–391. [Google Scholar] [CrossRef]
- Li, M.; Ding, H.; Song, J.; Hao, B.; Zeng, R.; Li, Z.; Wu, X.; Fink, Z.; Zhou, L.; Russel, T.P.; et al. Transport-Friendly Microstructure in SSC-MEA: Unveiling the SSC Ionomer-Based Membrane Electrode Assemblies for Enhanced Fuel Cell Performance. Adv. Sci. 2024, 11, 2403647. [Google Scholar] [CrossRef]
- Kwon, S.H.; Kang, H.; Lee, J.H.; Shim, S.; Lee, J.; Lee, D.S.; Kim, C.M.; Lee, S.G. Investigating the Influence of the Side-Chain Pendants of Perfluorosulfonic Acid Membranes in a PEMFC by Molecular Dynamics Simulations. Mater. Today Commun. 2019, 21, 100625. [Google Scholar] [CrossRef]
- Kwon, S.H.; Kang, H.; Sohn, Y.-J.; Lee, J.; Shim, S.; Lee, S.G. Molecular Dynamics Simulation Study on the Effect of Perfluorosulfonic Acid Side Chains on Oxygen Permeation in Hydrated Ionomers of PEMFCs. Sci. Rep. 2021, 11, 8702. [Google Scholar] [CrossRef]
- Shen, S.; Cheng, X.; Wang, C.; Yan, X.; Ke, C.; Yin, J.; Zhang, J. Exploration of Significant Influences of the Operating Conditions on the Local O2 Transport in Proton Exchange Membrane Fuel Cells (PEMFCs). Phys. Chem. Chem. Phys. 2017, 19, 26221–26229. [Google Scholar] [CrossRef]
- Ban, S.; Huang, C.; Yuan, X.-Z.; Wang, H. Molecular Simulation of Gas Adsorption, Diffusion, and Permeation in Hydrated Nafion Membranes. J. Phys. Chem. B 2011, 115, 11352–11358. [Google Scholar] [CrossRef]
- You, J.; Cheng, X.; Li, H.; Yin, J.; Yan, X.; Wei, G.; Shen, S.; Zhang, J. Innovative Insight into O2/N2 Permeation Behavior through an Ionomer Film in Cathode Catalyst Layers of Polymer Electrolyte Membrane Fuel Cells. J. Phys. Chem. Lett. 2022, 13, 11444–11453. [Google Scholar] [CrossRef] [PubMed]
- Rao, C.V.; Viswanathan, B. Monodispersed Platinum Nanoparticle Supported Carbon Electrodes for Hydrogen Oxidation and Oxygen Reduction in Proton Exchange Membrane Fuel Cells. J. Phys. Chem. C 2010, 114, 8661–8667. [Google Scholar] [CrossRef]
- Thiele, S.; Fürstenhaupt, T.; Banham, D.; Hutzenlaub, T.; Birss, V.; Ziegler, C.; Zengerle, R. Multiscale Tomography of Nanoporous Carbon-Supported Noble Metal Catalyst Layers. J. Power Sources 2013, 228, 185–192. [Google Scholar] [CrossRef]
- Shao, M.; Peles, A.; Shoemaker, K. Electrocatalysis on Platinum Nanoparticles: Particle Size Effect on Oxygen Reduction Reaction Activity. Nano Lett. 2011, 11, 3714–3719. [Google Scholar] [CrossRef]
- Zheng, Z.; Tang, M.; Chen, S. Effects of Side-Chain Structure and Spacing on the Assemblies of Perfluorosulfonic Acid Ionomers and Local Oxygen Transport in PEM Fuel Cells. Nano Res. 2025, 18, 94907682. [Google Scholar] [CrossRef]
- Kodama, K.; Motobayashi, K.; Shinohara, A.; Hasegawa, N.; Kudo, K.; Jinnouchi, R.; Osawa, M.; Morimoto, Y. Effect of the Side-Chain Structure of Perfluoro-Sulfonic Acid Ionomers on the Oxygen Reduction Reaction on the Surface of Pt. ACS Catal. 2018, 8, 694–700. [Google Scholar] [CrossRef]
- Gruger, A.; Régis, A.; Schmatko, T.; Colomban, P. Nanostructure of Nafion® Membranes at Different States of Hydration. Vib. Spectrosc. 2001, 26, 215–225. [Google Scholar] [CrossRef]
- Zawodzinski, T.A.; Derouin, C.; Radzinski, S.; Sherman, R.J.; Smith, V.T.; Springer, T.E.; Gottesfeld, S. Water Uptake by and Transport through Nafion® 117 Membranes. J. Electrochem. Soc. 1993, 140, 1041. [Google Scholar] [CrossRef]
- Hou, S.; Wang, H.; Ren, J.; Yao, C.; Shi, L.; Liao, S. Enhanced Low-Humidity Performance of Proton-Exchange Membrane Fuel Cell by Introducing Hydrophilic CNTs in Membrane Electrode Assembly. Prog. Nat. Sci. Mater. Int. 2022, 32, 150–156. [Google Scholar] [CrossRef]
- Sun, H. COMPASS: An Ab Initio Force-Field Optimized for Condensed-Phase Applications—Overview with Details on Alkane and Benzene Compounds. J. Phys. Chem. B 1998, 102, 7338–7364. [Google Scholar] [CrossRef]
- Yang, J.; Ren, Y.; Tian, A.; Sun, H. COMPASS Force Field for 14 Inorganic Molecules, He, Ne, Ar, Kr, Xe, H2, O2, N2, NO, CO, CO2, NO2, CS2, and SO2, in Liquid Phases. J. Phys. Chem. B 2000, 104, 4951–4957. [Google Scholar] [CrossRef]
- Rayhani, M.; Jian, C. A Review of Molecular Dynamic Simulation on Polymer Electrolyte Membrane Fuel Cell. J. Power Sources 2025, 657, 238143. [Google Scholar] [CrossRef]
- Zhang, Q.; Wang, C.; Yu, L.; You, J.; Wei, G.; Zhang, J. Structural and Transport Properties of Hydrophilic and Hydrophobic Modified Ionomers in Proton Exchange Membrane Fuel Cells. Polymers 2024, 16, 668. [Google Scholar] [CrossRef] [PubMed]
- Martyna, G.J.; Klein, M.L.; Tuckerman, M. Nosé–Hoover Chains: The Canonical Ensemble via Continuous Dynamics. J. Chem. Phys. 1992, 97, 2635–2643. [Google Scholar] [CrossRef]
- Hockney, R.W.; Eastwood, J.W. Computer Simulation Using Particles; CRC Press: Boca Raton, FL, USA, 2021; ISBN 978-0-367-80693-4. [Google Scholar]
- Jinnouchi, R.; Kudo, K.; Kitano, N.; Morimoto, Y. Molecular Dynamics Simulations on O2 Permeation through Nafion Ionomer on Platinum Surface. Electrochim. Acta 2016, 188, 767–776. [Google Scholar] [CrossRef]
- Kang, H.; Kwon, S.H.; Lawler, R.; Lee, J.H.; Doo, G.; Kim, H.-T.; Yim, S.-D.; Jang, S.S.; Lee, S.G. Nanostructures of Nafion Film at Platinum/Carbon Surface in Catalyst Layer of PEMFC: Molecular Dynamics Simulation Approach. J. Phys. Chem. C 2020, 124, 21386–21395. [Google Scholar] [CrossRef]
- Fan, L.; Wang, Y.; Jiao, K. Oxygen Permeation Resistances and Routes in Nanoscale Ionomer Thin Film on Platinum Surface. J. Electrochem. Soc. 2021, 168, 014511. [Google Scholar] [CrossRef]
- You, J.; Li, H.; Feng, Y.; Cheng, X.; Luo, L.; Yang, D.; Wei, G.; Shen, S.; Yan, X.; Zhang, J. Insight into Oxygen Diffusion Mechanism in Ionomer Film on Catalyst Surface with Varying Perfluorosulfonic Acid and Water Contents. J. Mater. Chem. A 2024, 12, 7248–7256. [Google Scholar] [CrossRef]
- Battino, R.; Seybold, P.G. The O2/N2 Ratio Gas Solubility Mystery. J. Chem. Eng. Data 2011, 56, 5036–5044. [Google Scholar] [CrossRef]
- Wang, W.; Qu, Z.; Wang, X.; Zhang, J. A Molecular Model of PEMFC Catalyst Layer: Simulation on Reactant Transport and Thermal Conduction. Membranes 2021, 11, 148. [Google Scholar] [CrossRef]
- Bird, R.B.; Stewart, W.E.; Lightfoot, E.N. Transport Phenomena, 2nd ed.; Wiley: New York, NY, USA, 2002. [Google Scholar]






| Ionomer Type | λ = 3 | λ = 11 |
|---|---|---|
| SSC ionomers | 1.205 | 0.621 |
| LSC ionomers | 1.253 | 0.652 |
Disclaimer/Publisher’s Note: The statements, opinions and data contained in all publications are solely those of the individual author(s) and contributor(s) and not of MDPI and/or the editor(s). MDPI and/or the editor(s) disclaim responsibility for any injury to people or property resulting from any ideas, methods, instructions or products referred to in the content. |
© 2025 by the authors. Licensee MDPI, Basel, Switzerland. This article is an open access article distributed under the terms and conditions of the Creative Commons Attribution (CC BY) license (https://creativecommons.org/licenses/by/4.0/).
Share and Cite
Wei, G.; Huang, J.; Yu, L.; Zhou, J.; You, J.; Ling, Z.; Ye, S.; Zhang, J. Comparative Study on Structural and Transport Properties of SSC and LSC PFSA Ionomers in PEMFCs with Coexistence of O2 and N2: Molecular Dynamics Simulation Approach. Membranes 2025, 15, 324. https://doi.org/10.3390/membranes15110324
Wei G, Huang J, Yu L, Zhou J, You J, Ling Z, Ye S, Zhang J. Comparative Study on Structural and Transport Properties of SSC and LSC PFSA Ionomers in PEMFCs with Coexistence of O2 and N2: Molecular Dynamics Simulation Approach. Membranes. 2025; 15(11):324. https://doi.org/10.3390/membranes15110324
Chicago/Turabian StyleWei, Guanghua, Jingjing Huang, Lina Yu, Jinghao Zhou, Jiabin You, Zhu Ling, Shenrong Ye, and Junliang Zhang. 2025. "Comparative Study on Structural and Transport Properties of SSC and LSC PFSA Ionomers in PEMFCs with Coexistence of O2 and N2: Molecular Dynamics Simulation Approach" Membranes 15, no. 11: 324. https://doi.org/10.3390/membranes15110324
APA StyleWei, G., Huang, J., Yu, L., Zhou, J., You, J., Ling, Z., Ye, S., & Zhang, J. (2025). Comparative Study on Structural and Transport Properties of SSC and LSC PFSA Ionomers in PEMFCs with Coexistence of O2 and N2: Molecular Dynamics Simulation Approach. Membranes, 15(11), 324. https://doi.org/10.3390/membranes15110324
