Effect of Nano Silicon Dioxide Coating Films on the Quality Characteristics of Fresh-Cut Cantaloupe
Abstract
1. Introduction
2. Materials and Methods
2.1. Materials
2.2. Fruits
2.3. Preparation of Hybrid Coating Film
2.4. Treatment of Fresh-Cut Cantaloupe Fruit
2.5. Shelf-Life Analysis
2.5.1. Product Quality Parameters
Fluid Loss
Colour Determination
2.5.2. Physicochemical Quality Analysis
pH, Total Soluble Solids, Titratable Acidity, and Vitamin C Determinations
Extraction of Malondialdehyde Content
Polyphenol Oxidase Enzyme Activity Determination
Peroxidase Enzyme Activity Determination
2.5.3. Microbiological Analysis and Water Activity Determination
2.5.4. Sensory Analysis
2.6. Statistical Analysis
3. Results and Discussion
3.1. Effect of Coating Treatment on Fluid Loss and Colour Index
3.2. Effect of Coating Treatment on pH, TSS, TA, and Vc Contents
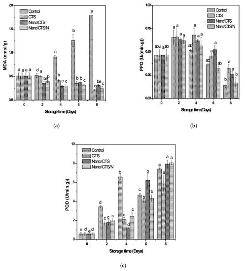
3.3. Effect of Coating Treatment on MDA Content
3.4. Effect of Coating Treatment on PPO and POD Enzyme Activities
3.5. Effect of Coating Treatment on Microbiological Quality
3.6. Sensory Evaluation of Coating Treatment
4. Conclusions
Author Contributions
Funding
Institutional Review Board Statement
Informed Consent Statement
Data Availability Statement
Acknowledgments
Conflicts of Interest
References
- Qiao, G.; Xiao, Z.; Ding, W.; Sami, R. Effect of Chitosan/Nano-Titanium Dioxide/Thymol and Tween Films on Ready-to-Eat Cantaloupe Fruit Quality. Coatings 2019, 9, 828. [Google Scholar] [CrossRef]
- Martiñon, M.E.; Moreira, R.G.; Castell-Perez, M.E.; Gomes, C. Development of a multilayered antimicrobial edible coating for shelf-life extension of fresh-cut cantaloupe (Cucumis melo L.) stored at 4 C. LWT-Food Sci. Technol. 2014, 56, 341–350. [Google Scholar]
- Sami, R. Application of Nano-coating and Chitosan Combination Films on Cantaloupe Preservation. Pak. J. Biol. Sci. 2020, 23, 1037–1043. [Google Scholar] [CrossRef]
- John, C.B. Volatile Changes in Cantaloupe during Growth, Maturation, and in Stored Fresh-cuts Prepared from Fruit Harvested at Various Maturities. J. Am. Soc. Hortic. Sci. Jashs 2006, 131, 127–139. [Google Scholar] [CrossRef]
- Manzocco, L.; Da Pieve, S.; Maifreni, M. Impact of UV-C light on safety and quality of fresh-cut melon. Innov. Food Sci. Emerg. Technol. 2011, 12, 13–17. [Google Scholar] [CrossRef]
- Koh, P.C.; Noranizan, M.A.; Nur Hanani, Z.A.; Karim, R.; Rosli, S.Z. Application of edible coatings and repetitive pulsed light for shelf life extension of fresh-cut cantaloupe (Cucumis melo L. reticulatus cv. Glamour). Postharvest Biol. Technol. 2017, 129, 64–78. [Google Scholar] [CrossRef]
- Wang, Z.; Ma, Y.; Zhao, G.; Liao, X.; Chen, F.; Wu, J.; Chen, J.; Hu, X. Influence of Gamma Irradiation on Enzyme, Microorganism, and Flavor of Cantaloupe (Cucumis melo L.) Juice. J. Food Sci. 2006, 71, M215–M220. [Google Scholar] [CrossRef]
- Cao, S.; Hu, Z.; Pang, B.; Wang, H.; Xie, H.; Wu, F. Effect of ultrasound treatment on fruit decay and quality maintenance in strawberry after harvest. Food Control 2010, 21, 529–532. [Google Scholar] [CrossRef]
- Ma, W.; Sami, R.; Xu, L.; Sui, X.; Jiang, L.; Li, Y. Physical-Chemical Properties of Edible Film Made from Soybean Residue and Citric Acid. J. Chem. 2018, 2018, 4026831. [Google Scholar] [CrossRef]
- Sipahi, R.E.; Castell-Perez, M.E.; Moreira, R.G.; Gomes, C.; Castillo, A. Improved multilayered antimicrobial alginate-based edible coating extends the shelf life of fresh-cut watermelon (Citrullus lanatus). LWT Food Sci. Technol. 2013, 51, 9–15. [Google Scholar] [CrossRef]
- Sami, R.; Jia, F.; Li, Y.; Nie, X.; Xu, J.; Han, R.; Yu, H.; Amanullah, S.; Almatrafi, M.M.; Helal, M. Application of nano-titanum dioxide coating on fresh Highbush blueberries shelf life stored under ambient temperature. LWT 2021, 137, 110422. [Google Scholar] [CrossRef]
- Li, Y.; Sami, R.; Jia, F.; Nie, X.; Xu, J.; Elhakem, A.; Almatrafi, M.; Benajiba, N.; Helal, M. Shelf-life, quality, safety evaluations of blueberry fruits coated with chitosan nano-material films. Sci. Rep. 2021, 11, 55. [Google Scholar] [CrossRef]
- Sami, R.; Khojah, E.; Elhakem, A.; Benajiba, N.; Helal, M. Chitosan, Nisin, Silicon Dioxide Nanoparticles Coating Films Effects on Blueberry (Vaccinium myrtillus) Quality. Coatings 2020, 10, 962. [Google Scholar] [CrossRef]
- Sami, R.; Elhakem, A.; Alharbi, M.; Benajiba, N.; Almatrafi, M.; Jing, J.; Helal, M. Effect of Titanium Dioxide Nanocomposite Material and Antimicrobial Agents on Mushrooms Shelf-Life Preservation. Processes 2020, 8, 1632. [Google Scholar] [CrossRef]
- Sami, R.; Khojah, E.; Elhakem, A.; Benajiba, N.; Chavali, M.; Vivek, K.; Iqbal, A.; Helal, M. Investigating the Nano-Films Effect on Physical, Mechanical Properties, Chemical Changes, and Microbial Load Contamination of White Button Mushrooms during Storage. Coatings 2021, 11, 44. [Google Scholar] [CrossRef]
- Rojas-Graü, M.A.; Tapia, M.S.; Martín-Belloso, O. Using polysaccharide-based edible coatings to maintain quality of fresh-cut Fuji apples. LWT Food Sci. Technol. 2008, 41, 139–147. [Google Scholar] [CrossRef]
- Tapia, M.S.; Rojas-Graü, M.A.; Carmona, A.; Rodríguez, F.J.; Soliva-Fortuny, R.; Martin-Belloso, O. Use of alginate- and gellan-based coatings for improving barrier, texture and nutritional properties of fresh-cut papaya. Food Hydrocoll. 2008, 22, 1493–1503. [Google Scholar] [CrossRef]
- Shi, S.; Wang, W.; Liu, L.; Wu, S.; Wei, Y.; Li, W. Effect of chitosan/nano-silica coating on the physicochemical characteristics of longan fruit under ambient temperature. J. Food Eng. 2013, 118, 125–131. [Google Scholar] [CrossRef]
- Kou, X.; He, Y.; Li, Y.; Chen, X.; Feng, Y.; Xue, Z. Effect of abscisic acid (ABA) and chitosan/nano-silica/sodium alginate composite film on the color development and quality of postharvest Chinese winter jujube (Zizyphus jujuba Mill. cv. Dongzao). Food Chem. 2019, 270, 385–394. [Google Scholar] [CrossRef] [PubMed]
- Ahmad, V.; Khan, M.S.; Jamal, Q.M.S.; Alzohairy, M.A.; Al Karaawi, M.A.; Siddiqui, M.U. Antimicrobial potential of bacteriocins: In therapy, agriculture and food preservation. Int. J. Antimicrob. Agents 2017, 49, 1–11. [Google Scholar] [CrossRef]
- Abdelazez, A.; Muhammad, Z.; Zhang, Q.-X.; Zhu, Z.-T.; Abdelmotaal, H.; Sami, R.; Meng, X.-C. Production of a Functional Frozen Yogurt Fortified with Bifidobacterium spp. BioMed. Res. Int. 2017, 2017, 6438528. [Google Scholar] [CrossRef] [PubMed]
- Chong, J.X.; Lai, S.; Yang, H. Chitosan combined with calcium chloride impacts fresh-cut honeydew melon by stabilising nanostructures of sodium-carbonate-soluble pectin. Food Control 2015, 53, 195–205. [Google Scholar] [CrossRef]
- Sami, R.; Li, Y.; Qi, B.; Wang, S.; Zhang, Q.; Han, F.; Ma, Y.; Jing, J.; Jiang, L. HPLC Analysis of Water-Soluble Vitamins (B2, B3, B6, B12, and C) and Fat-Soluble Vitamins (E, K, D, A, and β-Carotene) of Okra (Abelmoschus esculentus). J. Chem. 2014, 2014, 831357. [Google Scholar] [CrossRef]
- Sami, R.; Elhakem, A.; Alharbi, M.; Benajiba, N.; Almatrafi, M.; Abdelazez, A.; Helal, M. Evaluation of Antioxidant Activities, Oxidation Enzymes, and Quality of Nano-Coated Button Mushrooms (Agaricus Bisporus) during Storage. Coatings 2021, 11, 149. [Google Scholar] [CrossRef]
- Sadhu, A.; Ganguly, K.K. Lactobacillus sp.—A threat to pathogenic microorganisms and tumor cells. J. Cancer Ther. 2017, 8, 96–111. [Google Scholar] [CrossRef][Green Version]
- Koh, P.C.; Noranizan, M.A.; Karim, R.; Nur Hanani, Z.A. Microbiological stability and quality of pulsed light treated cantaloupe (Cucumis melo L. reticulatus cv. Glamour) based on cut type and light fluence. J. Food Sci. Technol. 2016, 53, 1798–1810. [Google Scholar] [CrossRef] [PubMed]
- Moreira, S.P.; de Carvalho, W.M.; Alexandrino, A.C.; de Paula, H.C.B.; Rodrigues, M.d.C.P.; de Figueiredo, R.W.; Maia, G.A.; de Figueiredo, E.M.A.T.; Brasil, I.M. Freshness retention of minimally processed melon using different packages and multilayered edible coating containing microencapsulated essential oil. J. Food Sci. Technol. 2014, 49, 2192–2203. [Google Scholar] [CrossRef]
- Wang, H.; Sun, Y.; Li, Y.; Tong, X.; Regenstein, J.M.; Huang, Y.; Ma, W.; Sami, R.; Qi, B.; Jiang, L. Effect of the condition of spray-drying on the properties of the polypeptide-rich powders from enzyme-assisted aqueous extraction processing. Dry. Technol. 2019, 37, 2105–2115. [Google Scholar] [CrossRef]
- Treviño-Garza, M.Z.; Correa-Cerón, R.C.; Ortiz-Lechuga, E.G.; Solís-Arévalo, K.K.; Castillo-Hernández, S.L.; Gallardo-Rivera, C.T.; Arévalo Niño, K. Effect of Linseed (Linum usitatissimum) Mucilage and Chitosan Edible Coatings on Quality and Shelf-Life of Fresh-Cut Cantaloupe (Cucumis melo). Coatings 2019, 9, 368. [Google Scholar] [CrossRef]
- Falade, K.O.; Igbeka, J.C.; Ayanwuyi, F.A. Kinetics of mass transfer, and colour changes during osmotic dehydration of watermelon. J. Food Eng. 2007, 80, 979–985. [Google Scholar] [CrossRef]
- Zhang, Y.; Ma, Q.; Critzer, F.; Davidson, P.M.; Zhong, Q. Effect of alginate coatings with cinnamon bark oil and soybean oil on quality and microbiological safety of cantaloupe. Int. J. Food Microbiol. 2015, 215, 25–30. [Google Scholar] [CrossRef]
- Tripathi, K.; Pandey, S.; Malik, M.; Kaul, T. Fruit ripening of climacteric and non climacteric fruit. J. Environ. Appl. Bioresearch 2016, 4, 27–34. [Google Scholar]
- Li, L.; He, X.; Sun, J.; Li, C.; Ling, D.; Sheng, J.; Zheng, F.; Liu, G.; Li, J.; Tang, Y.; et al. Responses of Phospholipase D and Antioxidant System to Mechanical Wounding in Postharvest Banana Fruits. J. Food Qual. 2017, 2017, 8347306. [Google Scholar] [CrossRef]
- Koh, P.C.; Noranizan, M.A.; Karim, R.; Nur Hanani, Z.A.; Rosli, S.Z.; Hambali, N.H. Enzymatic activity of alginate coated and pulsed light treated fresh-cut cantaloupes (Cucumis melo L. var. reticulatus cv. Glamour) during chilled storage. Int. Food Res. J. 2019, 26, 547–556. [Google Scholar]
- Meng, X.; Li, B.; Liu, J.; Tian, S. Physiological responses and quality attributes of table grape fruit to chitosan preharvest spray and postharvest coating during storage. Food Chem. 2008, 106, 501–508. [Google Scholar] [CrossRef]
- And, O.L.; Watson, M.A. Effects of Ascorbic Acid on Peroxidase and Polyphenoloxidase Activities in Fresh-Cut Cantaloupe Melon. J. Food Sci. 2001, 66, 1283–1286. [Google Scholar] [CrossRef]
- Maurício, E.; Rosado, C.; Duarte, M.P.; Verissimo, J.; Bom, S.; Vasconcelos, L. Efficiency of Nisin as Preservative in Cosmetics and Topical Products. Cosmetics 2017, 4, 41. [Google Scholar] [CrossRef]
- Haffez, M.M.; Ragab, M.E.; El-Yazied, A.A.; Emam, M.S. Effect of chitosan, carboxy methyl cellulose and calcium chloride treatments on quality and storability of fresh cut Cantaloupe. Middle East J. Appl. Sci. 2016, 6, 249–268. [Google Scholar]
- Syahidah, K.; Rosnah, S.; Noranizan, M.A.; Zaulia, O.; Anvarjon, A. Quality changes of fresh cut cantaloupe (Cucumis melo L. var Reticulatus cv. Glamour) in different types of polypropylene packaging. Int. Food Res. J. 2015, 22, 753–760. [Google Scholar]






| Control | CTS | Nano/CTS | Nano/CTS/N | |
|---|---|---|---|---|
| L*-value | ||||
| 0 | A 38.53 ± 0.45 a | B 37.06 ± 0.39 a | C 26.31 ± 0.38 b | C 26.20 ± 1.34 bc | 
| 2 | B 31.14 ± 0.38 b | C 29.59 ± 0.08 c | D 25.87 ± 0.15 bc | A 31.64 ± 0.04 a | 
| 4 | A 27.91 ± 0.55 c | C 22.91 ± 0.33 e | A 28.18 ± 0.17 a | B 27.16 ± 0.11 b | 
| 6 | C 23.05 ± 0.32 d | A 26.16 ± 0.58 d | D 21.05 ± 0.14 d | B 25.38 ± 0.27 c | 
| 8 | D 23.42 ± 0.54 d | A 31.71 ± 0.09 b | C 25.39 ± 0.52 c | B 26.93 ± 0.08 b | 
| a*-value | ||||
| 0 | C 17.56 ± 0.38 c | C 18.48 ± 1.13 b | A 26.77 ± 0.18 a | B 23.25 ± 2.39 bc | 
| 2 | A 20.04 ± 0.12 b | B 19.41 ± 0.28 b | D 15.80 ± 0.07 c | C 17.44 ± 0.16 a | 
| 4 | AB 14.91 ± 0.14 d | B 14.07 ± 0.76 d | A 16.72 ± 1.83 c | A 16.72 ± 0.19 b | 
| 6 | C 17.50 ± 0.16 c | D 16.34 ± 0.54 c | A 23.37 ± 0.23 b | B 21.23 ± 0.17 d | 
| 8 | A 25.39 ± 0.39 a | B 22.52 ± 0.30 a | B 22.76 ± 0.10 b | C 18.65 ± 0.29 c | 
| b*-value | ||||
| 0 | A 26.09 ± 0.58 a | AB 24.33 ± 2.78 a | AB 24.40 ± 0.87 a | B 21.33 ± 1.48 a | 
| 2 | D 17.54 ± 0.19 d | B 21.02 ± 0.10 bc | C 19.84 ± 0.05 d | A 26.90 ± 0.04 c | 
| 4 | C 21.24 ± 0.31 b | D 19.38 ± 0.44 c | A 23.56 ± 0.25 b | B 22.47 ± 0.12 b | 
| 6 | B 20.02 ± 0.36 c | A 22.36 ± 0.36 ab | D 16.52 ± 0.23 e | C 18.00 ± 0.43 c | 
| 8 | C 17.53 ± 0.26 d | A 21.56 ± 0.17 bc | A 21.41 ± 0.30 c | B 20.63 ± 0.10 c | 
| Publisher’s Note: MDPI stays neutral with regard to jurisdictional claims in published maps and institutional affiliations. | 
© 2021 by the authors. Licensee MDPI, Basel, Switzerland. This article is an open access article distributed under the terms and conditions of the Creative Commons Attribution (CC BY) license (http://creativecommons.org/licenses/by/4.0/).
Share and Cite
Sami, R.; Almatrafi, M.; Elhakem, A.; Alharbi, M.; Benajiba, N.; Helal, M. Effect of Nano Silicon Dioxide Coating Films on the Quality Characteristics of Fresh-Cut Cantaloupe. Membranes 2021, 11, 140. https://doi.org/10.3390/membranes11020140
Sami R, Almatrafi M, Elhakem A, Alharbi M, Benajiba N, Helal M. Effect of Nano Silicon Dioxide Coating Films on the Quality Characteristics of Fresh-Cut Cantaloupe. Membranes. 2021; 11(2):140. https://doi.org/10.3390/membranes11020140
Chicago/Turabian StyleSami, Rokayya, Manal Almatrafi, Abeer Elhakem, Mona Alharbi, Nada Benajiba, and Mahmoud Helal. 2021. "Effect of Nano Silicon Dioxide Coating Films on the Quality Characteristics of Fresh-Cut Cantaloupe" Membranes 11, no. 2: 140. https://doi.org/10.3390/membranes11020140
APA StyleSami, R., Almatrafi, M., Elhakem, A., Alharbi, M., Benajiba, N., & Helal, M. (2021). Effect of Nano Silicon Dioxide Coating Films on the Quality Characteristics of Fresh-Cut Cantaloupe. Membranes, 11(2), 140. https://doi.org/10.3390/membranes11020140
 
        

 
       