Chemical Degradation of PSF-PUR Blend Hollow Fiber Membranes—Assessment of Changes in Properties and Morphology after Hydrolysis
Abstract
1. Introduction
2. Experimental
2.1. Material
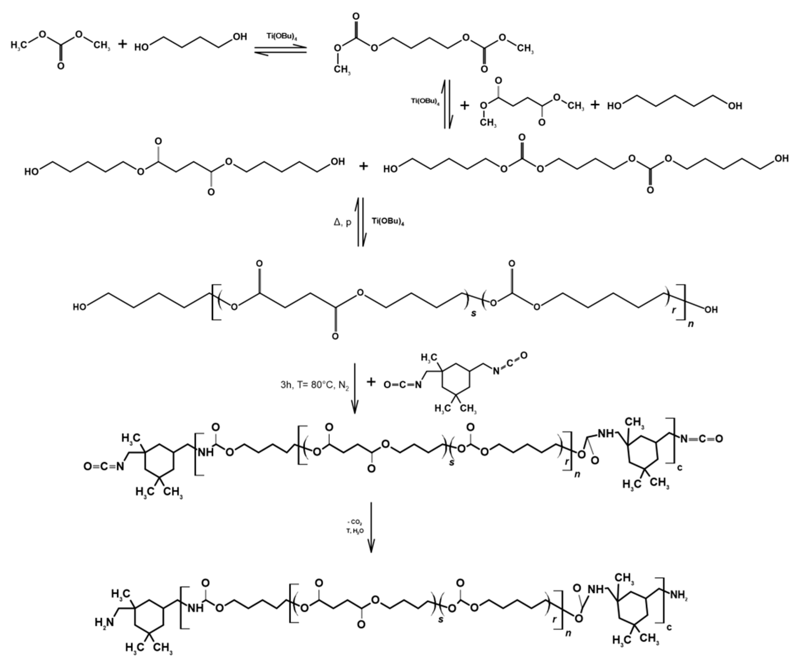
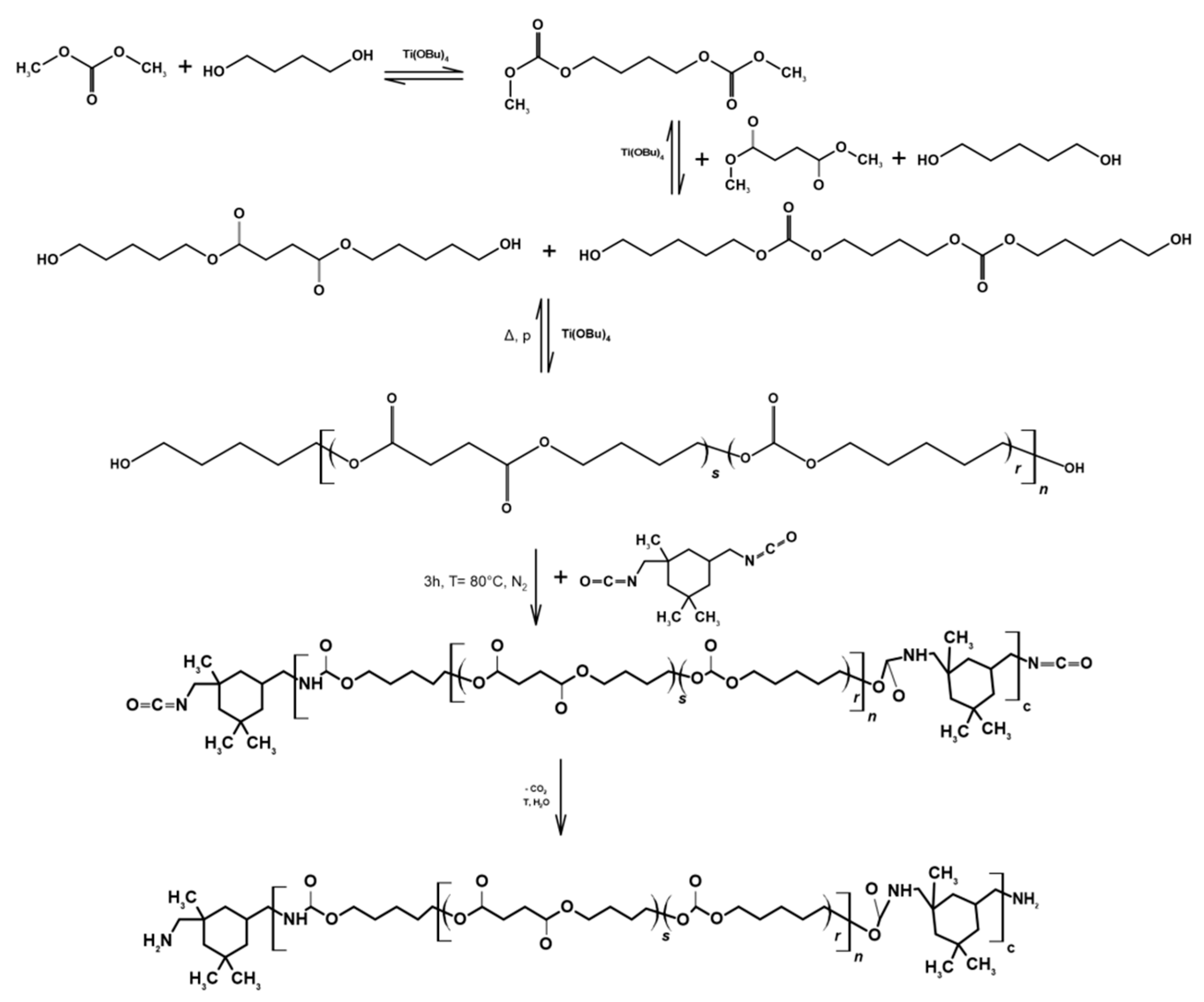
2.1.1. PUR Synthesis
2.1.2. HFMs Preparation and Characterization
2.2. PUR Synthesis
- (1)
 - Synthesis of tetramethylene bis(methyl carbonate)
 - (2)
 - Glycolysis;
 - (3)
 - Polycondensation;
 - (4)
 - Reaction with an excess of diisocyanate;
 - (5)
 - Synthesis of poly(ester-carbonate-urea-urethane).
 
2.3. HFMs Preparation
2.4. Membranes Hydrolysis
2.5. Membranes Characterization
2.5.1. Ultrafiltration Coefficient
2.5.2. Cut-Off Evaluation via Retention Measurements
2.5.3. Mass Measurements
2.5.4. SEM Analysis
2.5.5. MeMo Explorer™Analysis
- (1)
 - hydrolysis;
 - (2)
 - different solvents;
 - (3)
 - pore precursor addition;
 
- (4)
 - porosity parameters’ stability in the series of samples drawn from various membranes were described.
 
- mean values of the pore areas in given classes of membranes obtained by using given technologies, covered by pores of given size-classes:
 - standard deviations of the above-mentioned variables.
 
- (a)
 - porosity factors () for given technology (t), type of membrane (i), and size-class of pores (j):
 - (b)
 - instability coefficient () of general porosity factors, for given technology t, type of membrane i, and size-class of pores j, calculated within the sets of image segments:
 
2.5.6. Fourier-Transform Infrared Spectroscopy Analysis
3. Results and Discussion
3.1. UFC
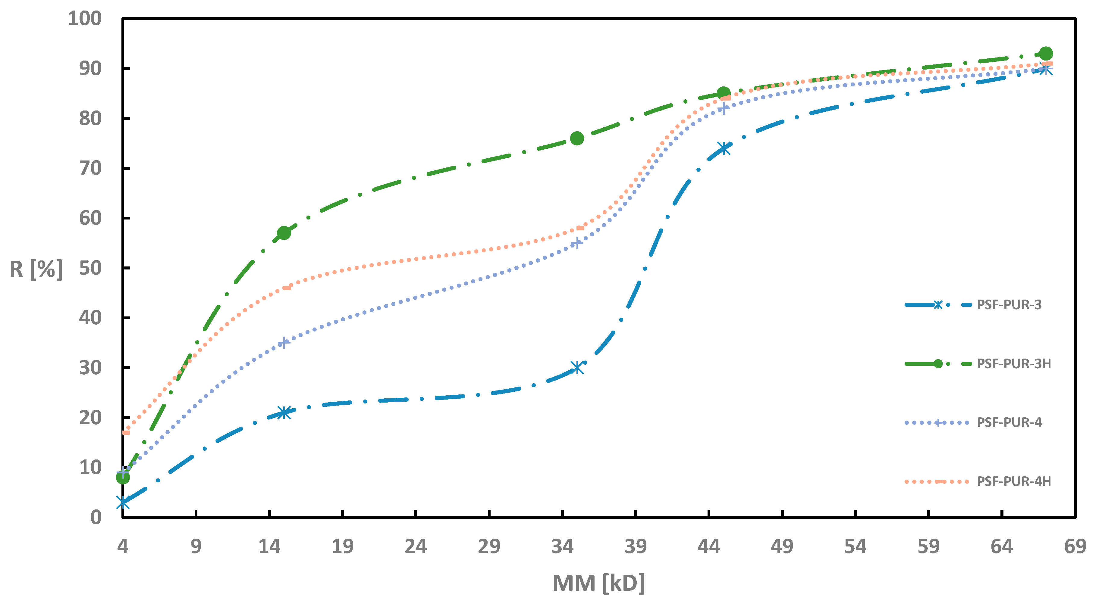
3.2. Molecular Weight Cut-Off Measurements
3.3. Mass Measurement
3.4. Scanning Electron Microscopy Analysis
3.5. MeMoExplorer™ Software Evaluation
- (a)
 - Figure 10 presents the influence of hydrolysis on the instability of membranes’ porosity in different types and size-classes of pores. The data are presented in groups, each group containing the data corresponding to the eight size-classes of pores. On the other hand, the groups are presented in pairs corresponding to a given technology before and after hydrolysis.
 
- The highest influence of hydrolysis on the reduction of the instability level occurs in the j = 5, 6, and 8 size-classes, while the lowest is in the j = 1 size-class of pores.
 - The highest influence of membranes of hydrolysis on the reduction of the instability level can be observed in the i = 2 type of membrane, while the worse ones occurred the I = 6, 7, and 8 types of membranes.
 
- (b)
 - The results of the assessment of the influence of using a solvent on the instability of the membranes’ porosity are shown in Figure 11. The instability is presented in groups of scores corresponding to different size-classes of pores (j); the groups are arranged in four triplets, each triplet consisting of a pair of compared types of membranes (i) and their difference. The pairs that were taken into consideration are (1, 2), (3, 4), (5, 6), and (7, 8). The types of membranes not subjected to hydrolysis were compared. It is remarkable that the highest differences (the highest positive influence of using DMF as a solvent) occurred in the pairs of membranes (3, 4) and (7, 8), but in all compared membrane pairs the advantage of DMF over NMP in affecting the pore size is noticeable.
 
- (c)
 - The influence of the addition of pore precursor on the instability of membranes’ porosity in different types and size-classes of pores is illustrated in Figure 12. In this case, the following four pairs of types of membranes (1, 5), (2, 6), (3, 7), and (4, 8) were examined.
 
3.6. FT-IR Analysis
4. Conclusions
Supplementary Materials
Author Contributions
Funding
Institutional Review Board Statement
Informed Consent Statement
Data Availability Statement
Acknowledgments
Conflicts of Interest
References
- Ravanchi, M.T.; Kaghazchi, T.; Kargari, A. Application of Membrane Separation Processes in Petrochemical Industry: A Review. Desalination 2009, 235, 199–244. [Google Scholar] [CrossRef]
 - Mansoori, S.; Davarnejad, R.; Matsuura, T.; Ismail, A.F. Membranes Basedon Non-Synthetic(Natural)Polymers for Waste water Treatment; Elsevier Ltd: Amsterdam, The Netherlands, 2020; Volume 84, ISBN 9886341734. [Google Scholar]
 - Le, N.L.; Nunes, S.P. Materials and Membrane Technologies for Water and Energy Sustainability. Sustain. Mater. Technol. 2016, 7, 1–28. [Google Scholar] [CrossRef]
 - Diban, N.; Stamatialis, D. Polymeric Hollow Fiber Membranes for Bioartificial Organs and Tissue Engineering Applications. J. Chem. Technol. Biotechnol. 2014, 89, 633–643. [Google Scholar] [CrossRef]
 - Pabby, A.K.; Rizvi, S.S.H.; Requena, A.M.S. Membrane Separations—Chemical, Pharmaceutical, Food, and Biotechnological Applications, 2nd ed.; CRC Press: New York, NY, USA, 2015; ISBN 0856330612. [Google Scholar]
 - Verma, S.K.; Modi, A.; Singh, A.K.; Teotia, R.; Bellare, J. Improved Hemodialysis with Hemocompatible Polyethersulfone Hollow Fiber Membranes: In Vitro Performance. J. Biomed. Mater. Res. Part B Appl. Biomater. 2018, 106, 1286–1298. [Google Scholar] [CrossRef] [PubMed]
 - Ren, J.; McCutcheon, J.R. A New Commercial Biomimetic Hollow Fiber Membrane for Forward Osmosis. Desalination 2018, 442, 44–50. [Google Scholar] [CrossRef]
 - Bružauskaitė, I.; Bironaitė, D.; Bagdonas, E.; Bernotienė, E. Scaffolds and Cells for Tissue Regeneration: Different Scaffold Pore sizes—Different Cell Effects. Cytotechnology 2016, 68, 355–369. [Google Scholar] [CrossRef]
 - Huang, J.H.; Harris, J.F.; Nath, P.; Iyer, R. Hollow Fiber Integrated Microfluidic Platforms for In Vitro Co-Culture of Multiple Cell Types. Biomed. Microdev. 2016, 18, 1–8. [Google Scholar] [CrossRef]
 - Cipriano, M.; Freyer, N.; Knöspel, F.; Oliveira, N.G.; Barcia, R.; Cruz, P.E.; Cruz, H.; Castro, M.; Santos, J.M.; Zeilinger, K.; et al. Self-Assembled 3D Spheroids and Hollow-Fibre Bioreactors Improve MSC-Derived Hepatocyte-Like Cell Maturation In Vitro. Arch. Toxicol. 2017, 91, 1815–1832. [Google Scholar] [CrossRef]
 - Khakpour, S.; Di Renzo, A.; Curcio, E.; Di Maio, F.P.; Giorno, L.; De Bartolo, L. Oxygen Transport in Hollow Fibre Membrane Bioreactors for Hepatic 3D Cell Culture: A Parametric Study. J. Membr. Sci. 2017, 544, 312–322. [Google Scholar] [CrossRef]
 - Orive, G.; Emerich, D.; Khademhosseini, A.; Matsumoto, S.; Hernández, R.M.; Pedraz, J.L.; Desai, T.; Calafiore, R.; de Vos, P. Engineering a Clinically Translatable Bioartificial Pancreas to Treat Type I Diabetes. Trends Biotechnol. 2018, 36, 445–456. [Google Scholar] [CrossRef]
 - Farina, M.; Alexander, J.F.; Thekkedath, U.; Ferrari, M.; Grattoni, A. Cell Encapsulation: Overcoming Barriers in Cell Transplantation in Diabetes and Beyond. Adv. Drug Deliv. Rev. 2019, 139, 92–115. [Google Scholar] [CrossRef] [PubMed]
 - Liu, Y.; Luo, J.; Chen, X.; Liu, W.; Chen, T. Cell Membrane Coating Technology: A Promising Strategy for Biomedical Applications; Springer: Singapore, 2019; Volume 11, ISBN 0123456789. [Google Scholar]
 - Park, K.M.; Shin, Y.M.; Kim, K.; Shin, H. Tissue Engineering and Regenerative Medicine 2017: A Year in Review. Tissue Eng. Part B Rev. 2018, 24, 327–344. [Google Scholar] [CrossRef] [PubMed]
 - Vig, K.; Chaudhari, A.; Tripathi, S.; Dixit, S.; Sahu, R.; Pillai, S.; Dennis, V.A.; Singh, S.R. Advances in Skin Regeneration Using Tissue Engineering. Int. J. Mol. Sci. 2017, 18, 789. [Google Scholar] [CrossRef] [PubMed]
 - Nikolova, M.P.; Chavali, M.S. Recent Advances in Biomaterials for 3D Scaffolds: A Review. Bioact. Mater. 2019, 4, 271–292. [Google Scholar] [CrossRef] [PubMed]
 - Ahmadi, F.; Giti, R.; Mohammadi-Samani, S.; Mohammadi, F. Biodegradable Scaffolds for Cartilage Tissue Engineering. GMJ 2017, 6, 70–80. [Google Scholar] [CrossRef]
 - Mansur, S.; Othman, M.H.D.; Ismail, A.F.; Zainol Abidin, M.N.; Said, N.; Sean, G.P.; Hasbullah, H.; Sheikh Abdul Kadir, S.H.; Kamal, F. Study on the Effect of Spinning Conditions on the Performance of PSf/PVP Ultrafiltration Hollow Fiber Membrane. Malays. J. Fundam. Appl. Sci. 2018, 14, 343–347. [Google Scholar] [CrossRef]
 - Eghbali, H.; Nava, M.M.; Mohebbi-Kalhori, D.; Raimondi, M.T. Hollow Fiber Bioreactor Technology for Tissue Engineering Applications. Int. J. Artif. Organs 2016, 39, 1–15. [Google Scholar] [CrossRef]
 - Wojciechowski, C.; Chwojnowski, A.; Granicka, L.; Łukowska, E.; Grzeczkowicz, M. Polysulfone/Polyurethane Blend Degradable Hollow Fiber Membranes Preparation and Transport-Separation Properties Evaluation. Desalination Water Treat. 2016, 57, 22191–22199. [Google Scholar] [CrossRef]
 - Khulbe, K.C.; Matsuura, T. Recent Progress in Polymeric Hollow-Fibre Membrane Preparation and Applications. Membr. Technol. 2016, 2016, 7–13. [Google Scholar] [CrossRef]
 - Meneghello, G.; Parker, D.J.; Ainsworth, B.J.; Perera, S.P.; Chaudhuri, J.B.; Ellis, M.J.; De Bank, P.A. Fabrication and Characterization of Poly(lactic-co-glycolic Acid)/Polyvinyl Alcohol Blended Hollow Fibre Membranes for Tissue Engineering Applications. J. Membr. Sci. 2009, 344, 55–61. [Google Scholar] [CrossRef]
 - Marbelia, L.; Bilad, M.R.; Vankelecom, I.F.J. Gradual PVP Leaching from PVDF/PVP Blend Membranes and Its Effects on Membrane Fouling in Membrane Bioreactors. Sep. Purif. Technol. 2019, 213, 276–282. [Google Scholar] [CrossRef]
 - Chwojnowski, A.; Wojciechowski, C.; Dudziński, K.; Łukowska, E. Polysulphone and Polyethersulphone Hollow Fiber Membranes with Developed Inner Surface as Material for Bio-Medical Applications. Biocybern. Biomed. Eng. 2009, 29, 47–59. [Google Scholar]
 - Sikorska, W.; Wojciechowski, C.; Przytulska, M.; Rokicki, G.; Wasyłeczko, M.; Kulikowski, J.L.; Chwojnowski, A. Polysulfone–Polyurethane (PSf-PUR) Blend Partly Degradable Hollow Fiber Membranes: Preparation, Characterization, and Computer Image Analysis. Desalination Water Treat. 2018, 128. [Google Scholar] [CrossRef]
 - Modi, A.; Bellare, J. Copper Sulfide Nanoparticles/Carboxylated Graphene Oxide Nanosheets Blended Polyethersulfone Hollow Fiber Membranes: Development and Characterization for Efficient Separation of Oxybenzone and Bisphenol A from Water. Polymer 2019, 163, 57–67. [Google Scholar] [CrossRef]
 - Wojciechowski, C.; Chwojnowski, A.; Granicka, L.; Łukowska, E. Polysulfone/Cellulose Acetate Blend Semi Degradable Capillary Membranes Preparation and Characterization. Desalination Water Treat. 2017, 64, 365–371. [Google Scholar] [CrossRef]
 - Aseri, N.S.; Lau, W.J.; Goh, P.S.; Hasbullah, H.; Othman, N.H.; Ismail, A.F. Preparation and Characterization of Polylactic Acid-Modified Polyvinylidene Fluoride Hollow Fiber Membranes with Enhanced Water Flux and Antifouling Resistance. J. Water Process. Eng. 2019, 32, 100912. [Google Scholar] [CrossRef]
 - Modi, A.; Bellare, J. Amoxicillin Removal Using Polyethersulfone Hollow Fiber Membranes Blended with ZIF-L Nanoflakes and cGO Nanosheets: Improved Flux and Fouling-Resistance. J. Environ. Chem. Eng. 2020, 8, 103973. [Google Scholar] [CrossRef]
 - Beek, O.E.M.; Pavlenko, D.; Stamatialis, D. Hollow Fiber Membranes for Long-Term Hemodialysis Based on Polyethersulfone-SlipSkinTM Polymer Blends. J. Membr. Sci. 2020, 604, 1–11. [Google Scholar] [CrossRef]
 - Kumar, S.; Modi, A.; Bellare, J. Polyethersulfone-Carbon Nanotubes Composite Hollow Fiber Membranes with Improved Biocompatibility for Bioartificial Liver. Colloids Surf. B Biointerfaces 2019, 181, 890–895. [Google Scholar] [CrossRef]
 - Mayasari, D.A.; Nuswantoro, U.D. Chitosan-Coated PLLA-Collagen Hollow Fiber for Vascular Graft Engineering. In Proceedings of the 2019 International Biomedical Instrumentation and Technology Conference (IBITeC), Special Region of Yogyakarta, Indonesia, 23–24 October 2019; pp. 80–83. [Google Scholar]
 - Kwong, M.; Abdelrasoul, A.; Doan, H. Controlling Polysulfone (PSF) Fiber Diameter and Membrane Morphology for an Enhanced Ultrafiltration Performance Using Heat Treatment. Results Mater. 2019, 2, 100021. [Google Scholar] [CrossRef]
 - Nady, N.; Franssen, M.C.R.; Zuilhof, H.; Eldin, M.S.M.; Boom, R.; Schroën, K. Modification Methods for Poly(arylsulfone) Membranes: A Mini-Review Focusing on Surface Modification. Desalination 2011, 275, 1–9. [Google Scholar] [CrossRef]
 - Steen, M.L.; Hymas, L.; Havey, E.D.; Capps, N.E.; Castner, D.G.; Fisher, E.R. Low Temperature Plasma Treatment of Asymmetric Polysulfone Membranes for Permanent Hydrophilic Surface Modification. J. Membr. Sci. 2001, 188, 97–114. [Google Scholar] [CrossRef]
 - Wang, J.; Chen, X.; Reis, R.; Chen, Z.; Milne, N.; Winther-Jensen, B.; Kong, L.; Dumée, L.F. Plasma Modification and Synthesis of Membrane Materials—A Mechanistic Review. Membranes 2018, 8, 56. [Google Scholar] [CrossRef] [PubMed]
 - Yoo, S.M.; Ghosh, R. A Method for Coating of Hollow Fiber Membranes with Calcium Alginate. J. Membr. Sci. 2018, 558, 45–51. [Google Scholar] [CrossRef]
 - Ter Beek, O.; Pavlenko, D.; Suck, M.; Helfrich, S.; Bolhuis-Versteeg, L.; Snisarenko, D.; Causserand, C.; Bacchin, P.; Aimar, P.; van Oerle, R.; et al. New Membranes Based on Polyethersulfone—SlipSkinTM Polymer Blends with Low Fouling and High Blood Compatibility. Sep. Purif. Technol. 2019, 225, 60–73. [Google Scholar] [CrossRef]
 - Liu, X.; Xu, Y.; Wu, Z.; Chen, H. Poly(N-vinylpyrrolidone)-Modified Surfaces for Biomedical Applications. Macromol. Biosci. 2013, 13, 147–154. [Google Scholar] [CrossRef]
 - He, C.; Shi, Z.Q.; Cheng, C.; Lu, H.Q.; Zhou, M.; Sun, S.D.; Zhao, C.S. Graphene Oxide and Sulfonated Polyanion Co-Doped Hydrogel Films for Dual-Layered Membranes with Superior Hemocompatibility and Antibacterial Activity. Biomater. Sci. 2016, 4, 1431–1440. [Google Scholar] [CrossRef]
 - An, Z.; Dai, F.; Wei, C.; Zhao, Y.; Chen, L. Polydopamine/Cysteine Surface Modified Hemocompatible Poly(vinylidene Fluoride)Hollow Fiber Membranes for Hemodialysis. J. Biomed. Mater. Res. Part B Appl. Biomater. 2018, 1–9. [Google Scholar] [CrossRef]
 - Hoseinpour, V.; Ghaee, A.; Vatanpour, V.; Ghaemi, N. Surface Modification of PES Membrane via Aminolysis and Immobilization of Carboxymethylcellulose and Sulphated Carboxymethylcellulose for Hemodialysis. Carbohydr. Polym. 2018, 188, 37–47. [Google Scholar] [CrossRef]
 - Nasrollahi, N.; Vatanpour, V.; Aber, S.; Mahmoodi, N.M. Preparation and Characterization of a Novel Polyethersulfone (PES) Ultrafiltration Membrane Modified with a CuO/ZnO Nanocomposite to Improve Permeability and Antifouling Properties. Sep. Purif. Technol. 2018, 192, 369–382. [Google Scholar] [CrossRef]
 - Liu, Y.; Koops, G.H.; Strathmann, H. Characterization of Morphology Controlled Polyethersulfone Hollow Fiber Membranes by the Addition of Polyethylene Glycol to the Dope and Bore Liquid Solution. J. Membr. Sci. 2003, 223, 187–199. [Google Scholar] [CrossRef]
 - Behboudi, A.; Jafarzadeh, Y.; Yegani, R. Enhancement of Antifouling and Antibacterial Properties of PVC Hollow Fiber Ultrafiltration Membranes Using Pristine and Modified Silver Nanoparticles. J. Environ. Chem. Eng. 2018, 6, 1764–1773. [Google Scholar] [CrossRef]
 - Susanto, H.; Ulbricht, M. Characteristics, Performance and Stability of Polyethersulfone Ultrafiltration Membranes Prepared by Phase Separation Method Using Different Macromolecular Additives. J. Membr. Sci. 2009, 327, 125–135. [Google Scholar] [CrossRef]
 - Brain, B.; Models, B.; Diban, N.; Berciano, M.T.; Rivero, M.J.; David, O.; Lafarga, M.; Tapia, O.; Urtiaga, A. Hollow Fiber Membranes of PCL and PCL/Graphene as Scaffolds with Potential to Develop In Vitro Blood—Brain Barrier Models. Membranes 2020, 10, 1–19. [Google Scholar]
 - Przytulska, M.; Kruk, A.; Kulikowski, J.L.; Wojciechowski, C.; Gadomska-Gajadhur, A.; Chwojnowski, A. Comparative Assessment of Polyvinylpyrrolidone Type of Membranes Based on Porosity Analysis. Desalination Water Treat. 2017, 75, 18–25. [Google Scholar] [CrossRef]
 - Przytulska, M.; Kulikowski, J.L.; Wasyłeczko, M.; Chwojnowski, A.; Piętka, D. The Evaluation of 3D Morphological Structure of Porous Membranes Based on a Computer-Aided Analysis of Their 2D Images. Desalination Water Treat. 2018, 128. [Google Scholar] [CrossRef]
 - Mazurek, M.M.; Rokicki, G. Investigations on the Synthesis and Properties of Biodegradable Poly(ester-carbonate-urea-urethane)s. Pol. J. Chem. Technol. 2013, 15, 80–88. [Google Scholar] [CrossRef]
 - Tomczyk, K.; Parzuchowski, P.G.; Kozakiewicz, J.; Przybylski, J.; Rokicki, G. Synthesis of Oligocarbonate Diols from a “Green Monomer”—Dimethyl Carbonate—As Soft Segments for Poly(urethane-urea) Elastomers. Polimery 2010, 55, 366–372. [Google Scholar] [CrossRef]
 - Sikorska, W.; Przytulska, M.; Wasyłeczko, M.; Wojciechowski, C.; Kulikowski, J.L.; Chwojnowski, A. Evaluation of the Influence of Hydrolysis Process, Type of Solvent and Pore Precursor Addition on the Porosity of PSF/PUR Blend Partly Degradable Hollow Fiber Membranes Using the MeMoExplorer Software. Desalination Water Treat. 2021. accepted. [Google Scholar]
 












| Membrane | PUR | Solvent | PVP Addition | 
|---|---|---|---|
| PSF-PUR-1 | PUR 1 | NMP | - | 
| PSF-PUR-2 | DMF | ||
| PSF-PUR-3 | PUR 2 | NMP | |
| PSF-PUR-4 | DMF | ||
| PSF-PUR-5 | PUR 1 | NMP | 50% of PSF weight | 
| PSF-PUR-6 | DMF | ||
| PSF-PUR-7 | PUR 2 | NMP | |
| PSF-PUR-8 | DMF | 
| j | 1 | 2 | 3 | 4 | 5 | 6 | 7 | 8 | 
|---|---|---|---|---|---|---|---|---|
| Size μm2 | 0–3 | 3–8 | 8–20 | 20–80 | 80–100 | 100–150 | 150–300 | >300 | 
| Membrane | UFC | UFCH | |
|---|---|---|---|
| PSF-PUR-1 | 0.0870 ± 0.0170 | 2.00 ± 0.02 | 23 | 
| PSF-PUR-2 | 1.14 ± 0.08 | 1.94 ± 0.17 | 1.7 | 
| PSF-PUR-3 | 2.76 ± 0.03 | 4.30 ± 0.34 | 1.6 | 
| PSF-PUR-4 | 0.0610 ± 0.0070 | 0.108 ± 0.002 | 1.8 | 
| PSF-PUR-5 | 0.0380 ± 0.0030 | 0.0830 ± 0.0350 | 2.2 | 
| PSF-PUR-6 | 0.141 ± 0.008 | 0.332 ± 0.097 | 2.4 | 
| PSF-PUR-7 | 0.929 ± 0.100 | 26.3 ± 0.2 | 28 | 
| PSF-PUR-8 | 0.125 ± 0.010 | 0.432 ± 0.049 | 3.5 | 
| Membrane | Membrane’s Mass before Hydrolysis (g)  | PUR’s Mass before Hydrolysis (g)  | PUR’s Mass Loss after Hydrolysis (g)  | PUR’s Mass Loss after Hydrolysis (%)  | 
|---|---|---|---|---|
| PSF-PUR-1 | 0.0890 ± 0.0026 | 0.0178 | 0.0082 ± 0.0003 | 46 | 
| PSF-PUR-2 | 0.100 ± 0.001 | 0.0200 | 0.0068 ±0.0023 | 34 | 
| PSF-PUR-3 | 0.0534 ± 0.0005 | 0.0107 | 0.010 ± 0.001 | 97 | 
| PSF-PUR-4 | 0.0946 ± 0.0027 | 0.0189 | 0.014 ± 0.001 | 75 | 
| i j  | 1 | 2 | 3 | 4 | 5 | 6 | 7 | 8 | 
|---|---|---|---|---|---|---|---|---|
| 1 | + | – | + | + | + | + | + | + | 
| 2 | + | – | – | + | + | ++ | ++ | ++ | 
| 3 | + | – | + | – | + | ++ | ++ | ++ | 
| 4 | – | – | 0 | 0 | + | + | ++ | ++ | 
| 5 | + | – | 0 | – | – | + | – | + | 
| 6 | – | + | – | 0 | – | + | + | ++ | 
| 7 | – | + | – | + | + | + | ++ | ++ | 
| 8 | – | – | + | – | + | + | + | ++ | 
Publisher’s Note: MDPI stays neutral with regard to jurisdictional claims in published maps and institutional affiliations.  | 
© 2021 by the authors. Licensee MDPI, Basel, Switzerland. This article is an open access article distributed under the terms and conditions of the Creative Commons Attribution (CC BY) license (http://creativecommons.org/licenses/by/4.0/).
Share and Cite
Sikorska, W.; Wasyłeczko, M.; Przytulska, M.; Wojciechowski, C.; Rokicki, G.; Chwojnowski, A. Chemical Degradation of PSF-PUR Blend Hollow Fiber Membranes—Assessment of Changes in Properties and Morphology after Hydrolysis. Membranes 2021, 11, 51. https://doi.org/10.3390/membranes11010051
Sikorska W, Wasyłeczko M, Przytulska M, Wojciechowski C, Rokicki G, Chwojnowski A. Chemical Degradation of PSF-PUR Blend Hollow Fiber Membranes—Assessment of Changes in Properties and Morphology after Hydrolysis. Membranes. 2021; 11(1):51. https://doi.org/10.3390/membranes11010051
Chicago/Turabian StyleSikorska, Wioleta, Monika Wasyłeczko, Małgorzata Przytulska, Cezary Wojciechowski, Gabriel Rokicki, and Andrzej Chwojnowski. 2021. "Chemical Degradation of PSF-PUR Blend Hollow Fiber Membranes—Assessment of Changes in Properties and Morphology after Hydrolysis" Membranes 11, no. 1: 51. https://doi.org/10.3390/membranes11010051
APA StyleSikorska, W., Wasyłeczko, M., Przytulska, M., Wojciechowski, C., Rokicki, G., & Chwojnowski, A. (2021). Chemical Degradation of PSF-PUR Blend Hollow Fiber Membranes—Assessment of Changes in Properties and Morphology after Hydrolysis. Membranes, 11(1), 51. https://doi.org/10.3390/membranes11010051
        
