Magnetic/Polyetherimide-Acrylonitrile Composite Nanofibers for Nickel Ion Removal from Aqueous Solution
Abstract
1. Introduction
2. Materials and Methods
2.1. Solutions for Electrospinning Machine
2.2. Production of Electrospun Nanofibers
2.3. Characterizations
2.3.1. Morphological Study
2.3.2. Infrared Spectra Analyses
2.3.3. X-ray Diffraction
2.3.4. Surface Area Measurements (BET)
2.3.5. Adsorption Study
3. Results
3.1. Morphological Study
3.2. Leaching Test of Magnetic Particles
3.3. Infrared Spectra Analyses
3.4. X-ray Diffraction
3.5. Metal Ion Adsorption Study
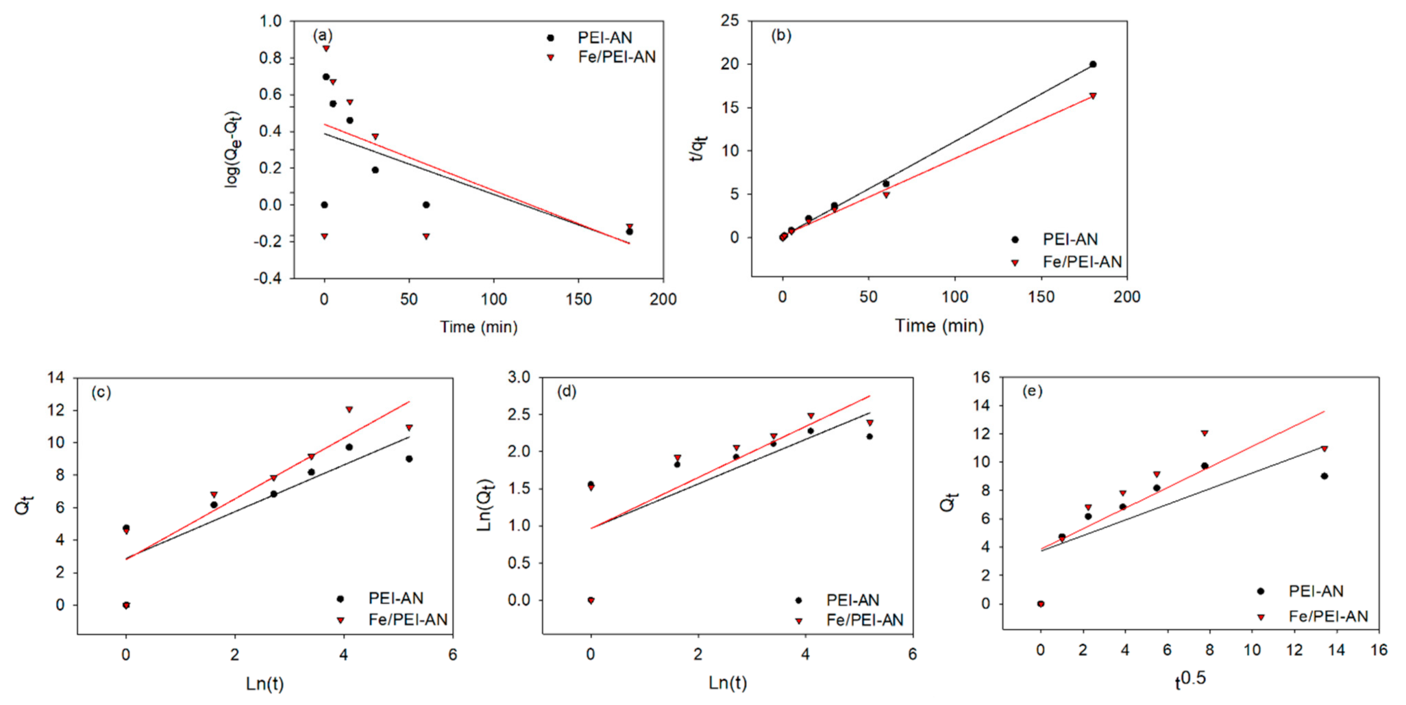
3.6. Kinetics and Isotherm Models for Adsorption Study
3.7. Adsorption Mechanism Characterizations
Author Contributions
Funding
Institutional Review Board Statement
Informed Consent Statement
Data Availability Statement
Acknowledgments
Conflicts of Interest
References
- Kumar, A.; Balouch, A.; Pathan, A.A.; Jagirani, M.S.; Mahar, A.M.; Zubair, M.; Laghari, B. Abdullah Remediation of Nickel ion from wastewater by applying various techniques: A review. Acta Chem. Malays. 2019, 3, 1–15. [Google Scholar] [CrossRef]
- Fila, D.; Hubicki, Z.; Kołodyńska, D. Recovery of metals from waste nickel-metal hydride batteries using multifunctional Diphonix resin. Adsorption 2019, 25, 367–382. [Google Scholar] [CrossRef]
- Shahriari, T.; Mehrdadi, N.; Tahmasebi, M. Study of Cadmium and Nickel Removal from Battery Industry Wastewater by Fe2O3 Nanoparticles. Pollution 2019, 5. [Google Scholar] [CrossRef]
- Babel, S. Low-cost adsorbents for heavy metals uptake from contaminated water: A review. J. Hazard. Mater. 2003, 97, 219–243. [Google Scholar] [CrossRef]
- Bhattacharyya, K.G.; Gupta, S.S. Adsorption of a few heavy metals on natural and modified kaolinite and montmorillonite: A review. Adv. Colloid Interface Sci. 2008, 140, 114–131. [Google Scholar] [CrossRef]
- Alsbaiee, A.; Smith, B.J.; Xiao, L.; Ling, Y.; Helbling, D.E.; Dichtel, W.R. Rapid removal of organic micropollutants from water by a porous β-cyclodextrin polymer. Nat. Cell Biol. 2016, 529, 190–194. [Google Scholar] [CrossRef] [PubMed]
- Beheshti, H.; Irani, M.; Hosseini, L.; Rahimi, A.; Aliabadi, M. Removal of Cr (VI) from aqueous solutions using chitosan/MWCNT/Fe3O4 composite nanofibers-batch and column studies. Chem. Eng. J. 2016, 284, 557–564. [Google Scholar] [CrossRef]
- Dastbaz, A.; Keshtkar, A.R. Adsorption of Th4+, U6+, Cd2+, and Ni2+ from aqueous solution by a novel modified polyacrylonitrile composite nanofiber adsorbent prepared by electrospinning. Appl. Surf. Sci. 2014, 293, 336–344. [Google Scholar] [CrossRef]
- Ajenifuja, E.; Alayande, S.; Aromolaran, O.; Ajao, J.; Dare, E.; Msagati, T.; Ajayi, E.O.B. Equilibrium kinetics study of electrospun polystyrene and polystyrene-zeolite fibres for crude oil-water separation. J. Water Process. Eng. 2017, 19, 253–259. [Google Scholar] [CrossRef]
- Xin, S.; Zeng, Z.; Zhou, X.; Luo, W.; Shi, X.; Wang, Q.; Deng, H.; Du, Y. Recyclable Saccharomyces cerevisiae loaded nanofibrous mats with sandwich structure constructing via bio-electrospraying for heavy metal removal. J. Hazard. Mater. 2017, 324, 365–372. [Google Scholar] [CrossRef]
- Huang, X.; Wang, R.; Jiao, T.; Zou, G.; Zhan, F.; Yin, J.; Zhang, L.; Zhou, J.; Peng, Q. Facile Preparation of Hierarchical AgNP-Loaded MXene/Fe3O4/Polymer Nanocomposites by Electrospinning with Enhanced Catalytic Performance for Wastewater Treatment. ACS Omega 2019, 4, 1897–1906. [Google Scholar] [CrossRef] [PubMed]
- Rad, L.R.; Momeni, A.; Ghazani, B.F.; Irani, M.; Mahmoudi, M.; Noghreh, B. Removal of Ni2+ and Cd2+ ions from aqueous solutions using electrospun PVA/zeolite nanofibrous adsorbent. Chem. Eng. J. 2014, 256, 119–127. [Google Scholar] [CrossRef]
- Xia, M.; Yue, R.; Chen, P.; Wang, M.; Jiao, T.; Zhang, L.; Zhao, Y.; Gao, F.; Wei, Z.; Li, L. Density functional theory investigation of the adsorption behaviors of SO2 and NO2 on a Pt (111) surface. Colloids Surf. A Physicochem. Eng. Asp. 2019, 568, 266–270. [Google Scholar] [CrossRef]
- Dong, O.; Zhang, Z.; Fu, Z.; Li, X. A Novel Composite Phase-Change Material: CaCl2·6H2O+MgCl2·6H2O+NH4Cl. Aust. J. Chem. 2018, 71, 416. [Google Scholar] [CrossRef]
- Jin, L.; Hu, B.; Kuddannaya, S.; Zhang, A.Y.; Li, C.; Wang, Z. A three-dimensional carbon nanotube-nanofiber composite foam for selective adsorption of oils and organic liquids. Polym. Compos. 2018, 39, E271–E277. [Google Scholar] [CrossRef]
- Al-Mubaddel, F.S.; Haider, S.; Aijaz, M.O.; Haider, A.; Kamal, T.; Almasry, W.A.; Javid, M.; Khan, S.U.-D. Preparation of the chitosan/polyacrylonitrile semi-IPN hydrogel via glutaraldehyde vapors for the removal of Rhodamine B dye. Polym. Bull. 2016, 74, 1535–1551. [Google Scholar] [CrossRef]
- Al-Mubaddel, F.S.; Aijaz, M.O.; Haider, S.; Haider, A.; Al-Masry, W.A.; Al-Fatesh, A.S. Synthesis of chitosan based semi-IPN hydrogels using epichlorohydrine as crosslinker to study the adsorption kinetics of Rhodamine B. Desalination Water Treat. 2015, 57, 1–14. [Google Scholar] [CrossRef]
- Aijaz, M.O.; Haider, S.; Al-Mubaddel, F.S.; Khan, R.; Alghyamah, A.A.; Almasry, W.A.; Javid, M.; Rehman, W.U. Thermal, swelling and stability kinetics of chitosan based semi-interpenetrating network hydrogels. Fibers Polym. 2017, 18, 611–618. [Google Scholar] [CrossRef]
- Aijaz, M.O.; Karim, M.R.; Alharbi, H.F.; Alharthi, N.H. Novel optimised highly aligned electrospun PEI-PAN nanofibre mats with excellent wettability. Polymer 2019, 180, 121665. [Google Scholar] [CrossRef]
- De Zhang, L.; Fang, M. Nanomaterials in pollution trace detection and environmental improvement. Nano Today 2010, 5, 128–142. [Google Scholar] [CrossRef]
- Hua, M.; Zhang, S.; Pan, B.; Zhang, W.; Lv, L.; Zhang, Q. Heavy metal removal from water/wastewater by nanosized metal oxides: A review. J. Hazard. Mater. 2012, 211–212, 317–331. [Google Scholar] [CrossRef] [PubMed]
- Kharisov, B.I.; Dias, H.V.R.; Kharissova, O.V.; Jiménez-Pérez, V.M.; Pérez, B.O.; Flores, B.M. Iron-containing nanomaterials: Synthesis, properties, and environmental applications. RSC Adv. 2012, 2, 9325–9358. [Google Scholar] [CrossRef]
- Feng, Z.; Zhu, S.; De Godoi, D.R.M.; Samia, A.C.S.; Scherson, D. Adsorption of Cd2+on Carboxyl-Terminated Superparamagnetic Iron Oxide Nanoparticles. Anal. Chem. 2012, 84, 3764–3770. [Google Scholar] [CrossRef] [PubMed]
- Li, Y.; Xie, J.-F.; Chang, C.-C.; Wang, C.-M.; Tu, H.-L. Highly Sensitive Detection of Mercury Ions Using Zincophosphite Framework Nanoparticle–Polyaniline Composites. ACS Appl. Nano Mater. 2020, 3, 9724–9730. [Google Scholar] [CrossRef]
- Wang, C.-M.; Lin, Y.-J.; Pan, M.-F.; Su, C.-K.; Lin, T.-Y. A Highly Stable Framework of Crystalline Zinc Phosphite with Selective Removal, Recovery, and Turn-On Sensing Abilities for Mercury Cations in Aqueous Solutions. Chem. A Eur. J. 2018, 24, 9729–9734. [Google Scholar] [CrossRef]
- Xu, P.; Zeng, G.; Huang, D.L.; Feng, C.L.; Hu, S.; Zhao, M.H.; Lai, C.; Wei, Z.; Huang, C.; Xie, G.X.; et al. Use of iron oxide nanomaterials in wastewater treatment: A review. Sci. Total. Environ. 2012, 424, 1–10. [Google Scholar] [CrossRef]
- Warner, C.L.; Chouyyok, W.; Mackie, K.E.; Neiner, D.; Saraf, L.V.; Droubay, T.C.; Warner, M.G.; Addleman, R.S. Manganese Doping of Magnetic Iron Oxide Nanoparticles: Tailoring Surface Reactivity for a Regenerable Heavy Metal Sorbent. Langmuir 2012, 28, 3931–3937. [Google Scholar] [CrossRef]
- Karatapanis, A.E.; Petrakis, D.E.; Stalikas, C.D. A layered magnetic iron/iron oxide nanoscavenger for the analytical enrichment of ng-L−1 concentration levels of heavy metals from water. Anal. Chim. Acta 2012, 726, 22–27. [Google Scholar] [CrossRef]
- Yang, H.; Tian, Z.; Wang, J.; Yang, S. A magnetic resonance imaging nanosensor for Hg (II) based on thymidine-functionalized supermagnetic iron oxide nanoparticles. Sens. Actuators B Chem. 2012, 161, 429–433. [Google Scholar] [CrossRef]
- Teja, A.; Koh, P.-Y. Synthesis, properties, and applications of magnetic iron oxide nanoparticles. Prog. Cryst. Growth Charact. Mater. 2009, 55, 22–45. [Google Scholar] [CrossRef]
- Liu, Z.; Wang, H.; Liu, C.; Jiang, Y.; Yu, G.; Mu, X.; Wang, X. Magnetic cellulose–chitosan hydrogels prepared from ionic liquids as reusable adsorbent for removal of heavy metal ions. Chem. Commun. 2012, 48, 7350–7352. [Google Scholar] [CrossRef] [PubMed]
- Wanjale, S.D.; Birajdar, M.; Jog, J.; Neppalli, R.; Causin, V.; Karger-Kocsis, J.; Lee, J.; Panzade, P. Surface tailored PS/TiO2 composite nanofiber membrane for copper removal from water. J. Colloid Interface Sci. 2016, 469, 31–37. [Google Scholar] [CrossRef] [PubMed]
- Gebru, K.A.; Das, C. Removal of Pb (II) and Cu (II) ions from wastewater using composite electrospun cellulose acetate/titanium oxide (TiO2) adsorbent. J. Water Process. Eng. 2017, 16, 1–13. [Google Scholar] [CrossRef]
- Razzaz, A.; Ghorban, S.; Hosayni, L.; Irani, M.; Aliabadi, M. Chitosan nanofibers functionalized by TiO2 nanoparticles for the removal of heavy metal ions. J. Taiwan Inst. Chem. Eng. 2016, 58, 333–343. [Google Scholar] [CrossRef]
- Lee, S.-L.; Diwakar, T. Manganese oxide immobilized activated carbons in the remediation of aqueous wastes contaminated with copper(II) and lead(II). Chem. Eng. J. 2013, 225, 128–137. [Google Scholar] [CrossRef]
- Afkhami, A.; Saber-Tehrani, M.; Bagheri, H. Simultaneous removal of heavy-metal ions in wastewater samples using nano-alumina modified with 2,4-dinitrophenylhydrazine. J. Hazard. Mater. 2010, 181, 836–844. [Google Scholar] [CrossRef]
- El-Sadaawy, M.; Abdelwahab, O. Adsorptive removal of nickel from aqueous solutions by activated carbons from doum seed (Hyphaenethebaica) coat. Alex. Eng. J. 2014, 53, 399–408. [Google Scholar] [CrossRef]
- Zainuddin, N.A.; Mamat, T.A.R.; Maarof, H.I.; Puasa, S.W.; Yatim, S.R.M. Removal of Nickel, Zinc and Copper from Plating Process Industrial Raw Effluent Via Hydroxide Precipitation Versus Sulphide Precipitation. IOP Conf. Ser. Mater. Sci. Eng. 2019, 551, 012122. [Google Scholar] [CrossRef]
- Tian, N.; Tian, X.; Ma, L.; Yang, C.; Wang, Y.; Wang, Z.; Zhang, L. Well-dispersed magnetic iron oxide nanocrystals on sepiolite nanofibers for arsenic removal. RSC Adv. 2015, 5, 25236–25243. [Google Scholar] [CrossRef]
- Qiao, M.; Kong, H.; Ding, X.; Zhang, L.; Yu, M. Effect of graphene oxide coatings on the structure of polyacrylonitrile fibers during pre-oxidation process. RSC Adv. 2019, 9, 28146–28152. [Google Scholar] [CrossRef]
- Patel, S.; Hota, G. Iron oxide nanoparticle-immobilized PAN nanofibers: Synthesis and adsorption studies. RSC Adv. 2016, 6, 15402–15414. [Google Scholar] [CrossRef]
- Abbas, K.; Znad, H.; Awual, R. A ligand anchored conjugate adsorbent for effective mercury(II) detection and removal from aqueous media. Chem. Eng. J. 2018, 334, 432–443. [Google Scholar] [CrossRef]
- Karim, M.R.; Aijaz, M.O.; Alharth, N.H.; Alharbi, H.F.; Al-Mubaddel, F.S.; Awual, R. Composite nanofibers membranes of poly(vinyl alcohol)/chitosan for selective lead(II) and cadmium(II) ions removal from wastewater. Ecotoxicol. Environ. Saf. 2019, 169, 479–486. [Google Scholar] [CrossRef] [PubMed]
- Al-Shahrani, S.S. Removal of nickel from aqueous solutions using Saudi activated bentonite. Sustain. Today 2011, 1, 461–471. [Google Scholar] [CrossRef]
- Habiba, U.; Siddique, T.A.; Talebian, S.; Lee, J.J.L.; Salleh, A.; Ang, B.C.; Afifi, A.M. Effect of deacetylation on property of electrospun chitosan/PVA nanofibrous membrane and removal of methyl orange, Fe(III) and Cr(VI) ions. Carbohydr. Polym. 2017, 177, 32–39. [Google Scholar] [CrossRef] [PubMed]
- Ahmad, M.; Usman, A.R.A.; Rafique, M.I.; Al-Wabel, M.I. Engineered biochar composites with zeolite, silica, and nano-zerovalent iron for the efficient scavenging of chlortetracycline from aqueous solutions. Environ. Sci. Pollut. Res. 2019, 26, 15136–15152. [Google Scholar] [CrossRef] [PubMed]
- Ahmad, M.; Ahmad, M.; Usman, A.R.; Al-Faraj, A.S.; Ok, Y.S.; Hussain, Q.; Abduljabbar, A.S.; Al-Wabel, M.I. An efficient phosphorus scavenging from aqueous solution using magnesiothermally modified bio-calcite. Environ. Technol. 2017, 39, 1638–1649. [Google Scholar] [CrossRef]
- Ahmad, M.; Lee, S.S.; Oh, S.-E.; Mohan, D.; Moon, D.H.; Lee, Y.H.; Ok, Y.-S. Modeling adsorption kinetics of trichloroethylene onto biochars derived from soybean stover and peanut shell wastes. Environ. Sci. Pollut. Res. 2013, 20, 8364–8373. [Google Scholar] [CrossRef]
- Foo, K.; Hameed, B. Insights into the modeling of adsorption isotherm systems. Chem. Eng. J. 2010, 156, 2–10. [Google Scholar] [CrossRef]
- Tan, K.; Hameed, B. Insight into the adsorption kinetics models for the removal of contaminants from aqueous solutions. J. Taiwan Inst. Chem. Eng. 2017, 74, 25–48. [Google Scholar] [CrossRef]
- Vargas, A.M.; Cazetta, A.L.; Kunita, M.H.; Silva, T.L.; Almeida, V.C. Adsorption of methylene blue on activated carbon produced from flamboyant pods (Delonix regia): Study of adsorption isotherms and kinetic models. Chem. Eng. J. 2011, 168, 722–730. [Google Scholar] [CrossRef]
- Li, L.; Li, Y.; Cao, L.; Yang, C. Enhanced chromium (VI) adsorption using nanosized chitosan fibers tailored by electrospinning. Carbohydr. Polym. 2015, 125, 206–213. [Google Scholar] [CrossRef] [PubMed]
- Cheung, C.W.; Porter, J.F.; McKay, G. Elovich Equation and Modified Second-Order Equation for Sorption of Cadmium Ions onto Bone Char. J. Chem. Technol. Biotechnol. 2000, 75, 963–970. [Google Scholar] [CrossRef]
- Dotto, G.; Pinto, L.A. Adsorption of food dyes onto chitosan: Optimization process and kinetic. Carbohydr. Polym. 2011, 84, 231–238. [Google Scholar] [CrossRef]
- Ersam, T.; Kurniawan, F. Synthesis nickel hidroxide by electrolysis at high voltage. J. Eng. Appl. Sci. 2014, 9, 2074–2077. Available online: https://api.semanticscholar.org/CorpusID:31456488 (accessed on 5 January 2021).
- Sivakumar, P.; Ramesh, R.; Ramanand, A.; Ponnusamy, S.; Muthamizhchelvan, C. Synthesis and characterization of nickel ferrite magnetic nanoparticles. Mater. Res. Bull. 2011, 46, 2208–2211. [Google Scholar] [CrossRef]
- Rahdar, A.; Aliahmad, M.; Azizi, Y. NiO Nanoparticles: Synthesis and Characterization. J. Nanostructures 2015, 5, 145–151. [Google Scholar] [CrossRef]
- Pava-Gómez, B.; Ramírez, X.M.V.; Díaz-Uribe, C. Physicochemical study of adsorption and photodegradation processes of methylene blue on copper-doped TiO2 films. J. Photochem. Photobiol. A Chem. 2018, 360, 13–25. [Google Scholar] [CrossRef]
- Nakamoto, K. Infrared and Raman Spectra of Inorganic and Coordination Compounds. In Handbook of Vibrational Spectroscopy; Chalmers, J.M., Griffiths, P.R., Eds.; John Wiley & Sons, Ltd.: Chichester, UK, 2006; p. s4104. ISBN 978-0-471-98847-2. [Google Scholar]
- Miao, J.; Xiao, F.-X.; Bin Yang, H.; Khoo, S.Y.; Chen, J.; Fang-Xing, X.; Hsu, Y.-Y.; Chen, H.M.; Zhang, H.; Liu, B. Hierarchical Ni-Mo-S nanosheets on carbon fiber cloth: A flexible electrode for efficient hydrogen generation in neutral electrolyte. Sci. Adv. 2015, 1, e1500259. [Google Scholar] [CrossRef]
- Shafiee, M.; Abedi, M.A.; Abbasizadeh, S.; Sheshdeh, R.K.; Mousavi, S.E.; Shohani, S. Effect of zeolite hydroxyl active site distribution on adsorption of Pb(II) and Ni(II) pollutants from water system by polymeric nanofibers. Sep. Sci. Technol. 2019, 55, 1994–2011. [Google Scholar] [CrossRef]
- Lin, P.; Wu, J.; Ahn, J.; Lee, J. Adsorption characteristics of Cd(II) and Ni(II) from aqueous solution using succinylated hay. Int. J. Miner. Met. Mater. 2019, 26, 1239–1246. [Google Scholar] [CrossRef]
- Ali, L.I.A.; Ibrahima, W.A.W.; Sulaiman, A.; Sanagi, M.M. Adsorption Studies of Nickel(II) Metal Ions Uptake Using Fe3O4 Magnetic Nanoadsorbent. J. Teknol. 2014, 71. [Google Scholar] [CrossRef][Green Version]
- Gunawardhana, B.P.N.; Gunathilake, C.; Dayananda, K.E.D.Y.T.; Dissanayake, D.M.S.N.; Mantilaka, M.M.M.G.P.G.; Kalpage, C.; Rathnayake, R.M.; Rajapakse, R.M.G.; Manchanda, A.S.; Etampawala, T.N.B.; et al. Synthesis of Hematite Nanodiscs from Natural Laterites and Investigating Their Adsorption Capability of Removing Ni2+ and Cd2+ Ions from Aqueous Solutions. J. Compos. Sci. 2020, 4, 57. [Google Scholar] [CrossRef]
- Srivastava, V.; Weng, C.H.; Singh, V.K.; Sharma, Y.C. Adsorption of Nickel Ions from Aqueous Solutions by Nano Alumina: Kinetic, Mass Transfer, and Equilibrium Studies. J. Chem. Eng. Data 2011, 56, 1414–1422. [Google Scholar] [CrossRef]
- Ivanets, A.; Srivastava, V.; Kitikova, N.; Shashkova, I.; Sillanpää, M. Kinetic and thermodynamic studies of the Co(II) and Ni(II) ions removal from aqueous solutions by Ca-Mg phosphates. Chemosphere 2017, 171, 348–354. [Google Scholar] [CrossRef]
- Krivoshapkin, P.V.; Ivanets, A.; Torlopov, M.; Mikhaylov, V.I.; Srivastava, V.; Sillanpää, M.; Prozorovich, V.; Kouznetsova, T.; Koshevaya, E.; Krivoshapkin, P.V. Nanochitin/manganese oxide-biodegradable hybrid sorbent for heavy metal ions. Carbohydr. Polym. 2019, 210, 135–143. [Google Scholar] [CrossRef]












| Kinetic Models * | |||
|---|---|---|---|
| Model | Equation | Plot | Reference |
| Pseudo-First-Order (PFO) | [46] | ||
| Pseudo-Second-Order (PSO) | [46] | ||
| Elovich | [47] | ||
| Power Function | [48] | ||
| Intraparticle Diffusion | [43] | ||
| Isotherm Models ** | |||
| Langmuir | [27] | ||
| Freundlich | [43] | ||
| Temkin | [46] | ||
| Standard Error | Equation | Reference |
|---|---|---|
| The Standard Error of Estimate (SEE) | [49,50] | |
| Coefficient of Determination (R2) | [47] | |
| Normalized Standard Deviation (∆q) | [51] |
| Kinetics Models | Parameters | PEI-AN | Fe/PEI-AN |
|---|---|---|---|
| Pseudo-First-Order (PFO) | k1 | 0.008 | 0.007 |
| Qe | 2.445 | 3.303 | |
| R2 | 0.443 | 0.289 | |
| ∆q | 9.899 | 8.493 | |
| SEE | 0.263 | 0.343 | |
| Pseudo-Second-Order (PSO) | k2 | 0.069 | 0.037 |
| Qe | 9.139 | 11.19 | |
| R2 | 0.998 | 0.996 | |
| ∆q | 0.800 | 1.003 | |
| SEE | 0.337 | 0.377 | |
| Elovich | α | 10.72 | 8.369 |
| β | 0.696 | 0.533 | |
| R2 | 0.760 | 0.830 | |
| ∆q | 2.900 | 2.435 | |
| SEE | 1.765 | 1.848 | |
| Power Function | kf | 0.300 | 0.343 |
| B | 2.632 | 2.626 | |
| R2 | 0.578 | 0.641 | |
| ∆q | 3.077 | 2.406 | |
| SEE | 0.559 | 0.561 | |
| Intraparticle Diffusion | Kid | 0.550 | 0.725 |
| c | 3.721 | 3.859 | |
| R2 | 0.599 | 0.667 | |
| ∆q | 3.374 | 2.735 | |
| SEE | 2.280 | 2.590 |
| Isotherm Models | Parameters | PEI-AN | Fe/PEI-AN |
|---|---|---|---|
| Langmuir | 83.81 | 111.2 | |
| KL | 0.039 | 0.033 | |
| R2 | 0.963 | 0.975 | |
| ∆q | 2.565 | 0.215 | |
| SEE | 0.363 | 0.206 | |
| Freundlich | KF | 7.7 | 9.115 |
| n | 2.260 | 0.4 | |
| R2 | 0.938 | 0.94 | |
| ∆q | 0.823 | 1.001 | |
| SEE | 2.908 | 4.377 | |
| Temkin | B | 20.31 | 25.99 |
| A | 0.188 | 0.196 | |
| R2 | 0.849 | 0.933 | |
| ∆q | 4.086 | 4.833 | |
| SEE | 11.24 | 9.589 |
| Samples | BET Surface Area (m2/g) | Pore Volume (cm3/g) | Average Pore Diameter (nm) |
|---|---|---|---|
| PEI-AN | 4.170 | 0.009 | 7.832 |
| Fe/PEI-AN | 4.347 | 0.012 | 9.904 |
| S. No | Absorbent | Absorbent Capacity mg/g | Reference |
|---|---|---|---|
| 1 | Polymeric nanofibers- Polyvinyl pyrrolidon/chitosan/zeolite | 89.27 | [61] |
| 2 | Bio sorbent-Succinylated hay | 57.70 | [62] |
| 3 | Magnetic nanoadsorbent | 20.54 | [63] |
| 4 | Iron(III) Oxide NP | 62.5 | [64] |
| 5 | Alumina powder | 30.82 | [65] |
| 6 | Activated carbons- Doum seed (Hyphaenethebaica) coat | 13.51 | [37] |
| Ca-Mg tertiary phosphates | 70.7 | [66] | |
| Nanochitin/manganese oxide | 114 | [67] | |
| 7 | Polymeric nanofibers-PEI-AN | 84.00 | This work |
| 8 | Magnetic/polymeric nanofibers-Fe/PEI-AN | 102.0 | This work |
Publisher’s Note: MDPI stays neutral with regard to jurisdictional claims in published maps and institutional affiliations. |
© 2021 by the authors. Licensee MDPI, Basel, Switzerland. This article is an open access article distributed under the terms and conditions of the Creative Commons Attribution (CC BY) license (http://creativecommons.org/licenses/by/4.0/).
Share and Cite
Aijaz, M.O.; Karim, M.R.; Alharbi, H.F.; Alharthi, N.H.; Al-Mubaddel, F.S.; Abdo, H.S. Magnetic/Polyetherimide-Acrylonitrile Composite Nanofibers for Nickel Ion Removal from Aqueous Solution. Membranes 2021, 11, 50. https://doi.org/10.3390/membranes11010050
Aijaz MO, Karim MR, Alharbi HF, Alharthi NH, Al-Mubaddel FS, Abdo HS. Magnetic/Polyetherimide-Acrylonitrile Composite Nanofibers for Nickel Ion Removal from Aqueous Solution. Membranes. 2021; 11(1):50. https://doi.org/10.3390/membranes11010050
Chicago/Turabian StyleAijaz, Muhammad Omer, Mohammad Rezaul Karim, Hamad F. Alharbi, Nabeel H. Alharthi, Fahad S. Al-Mubaddel, and Hany S. Abdo. 2021. "Magnetic/Polyetherimide-Acrylonitrile Composite Nanofibers for Nickel Ion Removal from Aqueous Solution" Membranes 11, no. 1: 50. https://doi.org/10.3390/membranes11010050
APA StyleAijaz, M. O., Karim, M. R., Alharbi, H. F., Alharthi, N. H., Al-Mubaddel, F. S., & Abdo, H. S. (2021). Magnetic/Polyetherimide-Acrylonitrile Composite Nanofibers for Nickel Ion Removal from Aqueous Solution. Membranes, 11(1), 50. https://doi.org/10.3390/membranes11010050

