How Does the Phenol Structure Influence the Results of the Folin-Ciocalteu Assay?
Abstract
1. Introduction
2. Materials and Methods
3. Results and Discussion
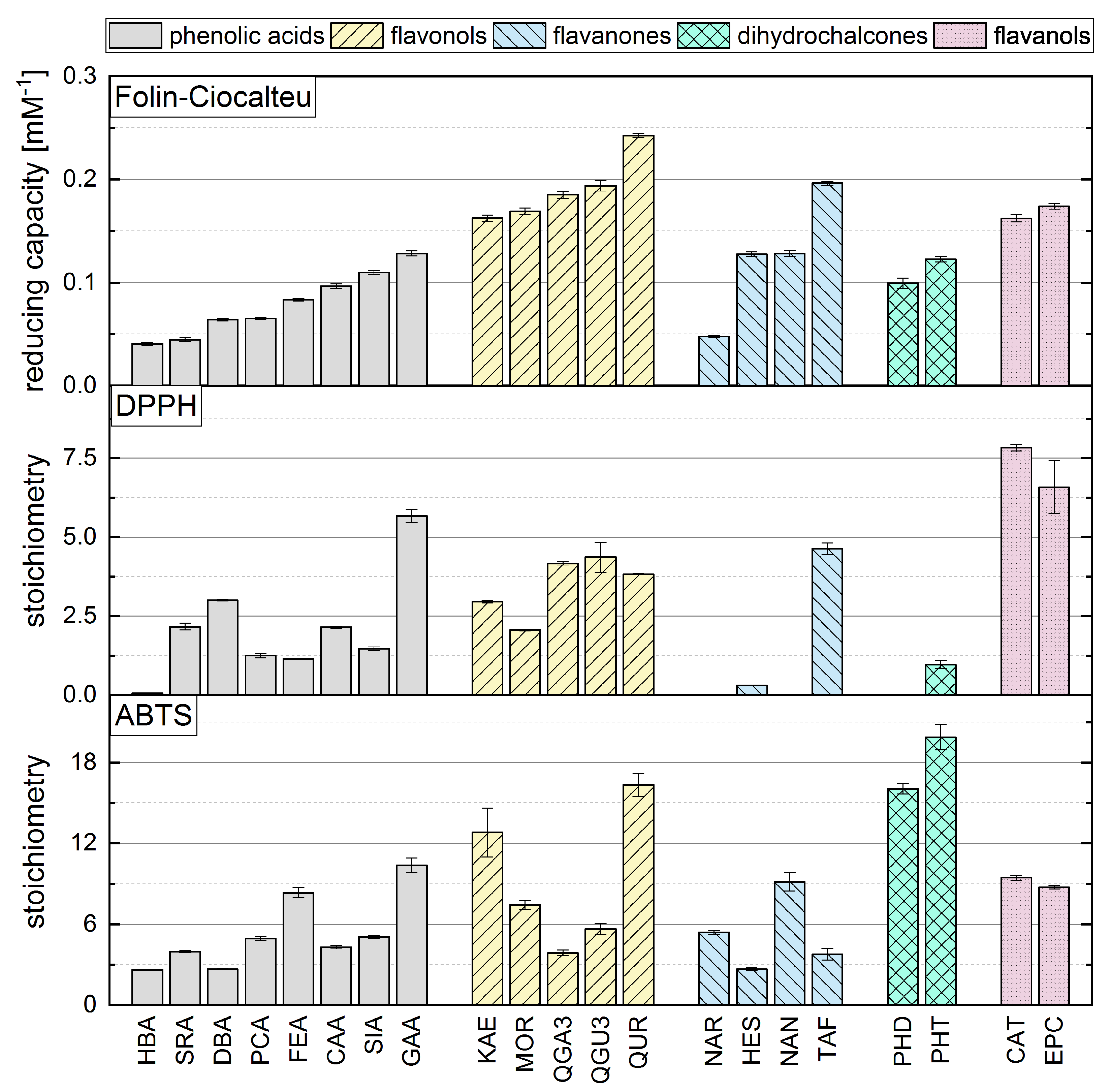
3.1. Analysis of Individual Reference Standards in the FC Assay
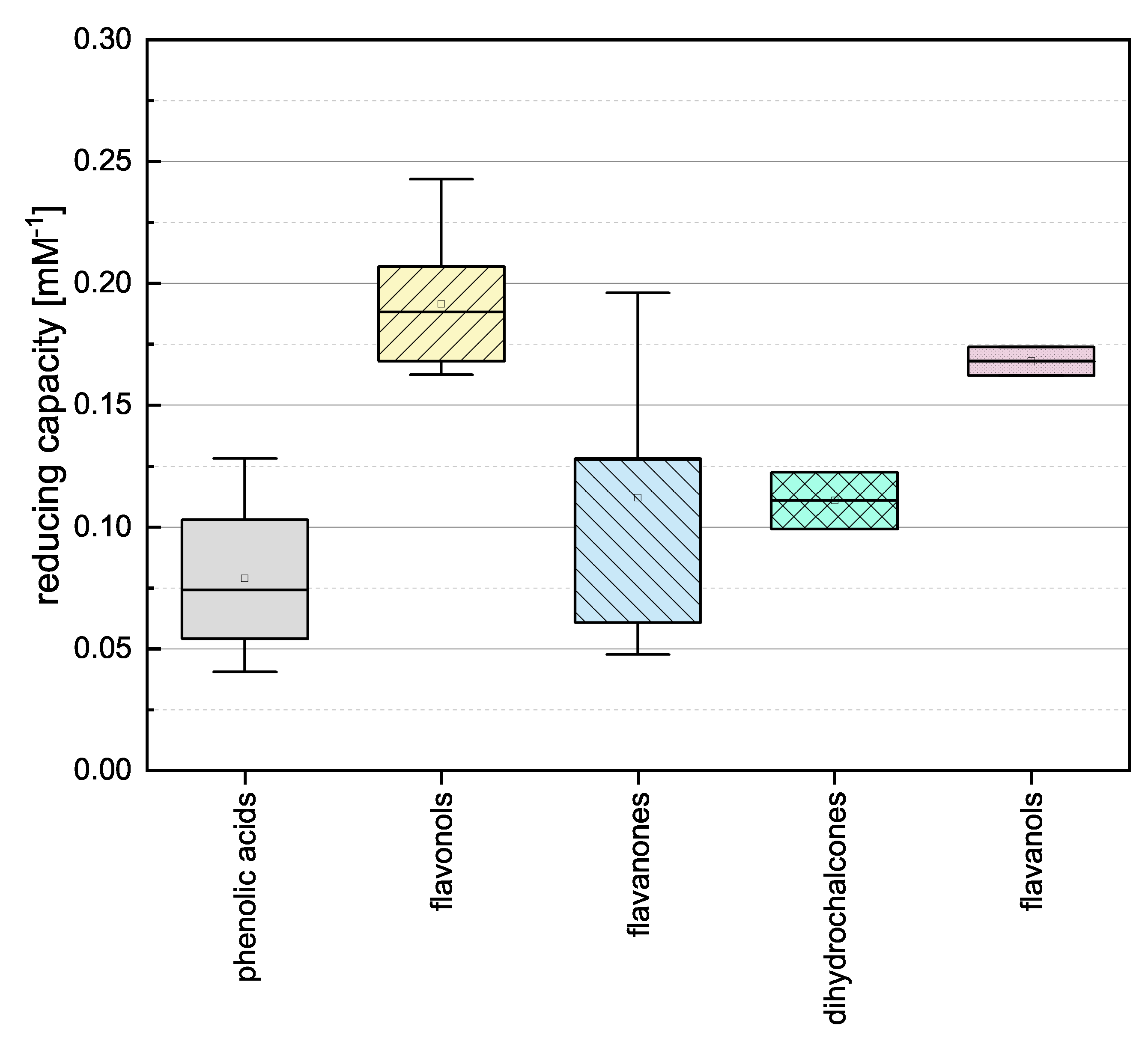
3.2. Consolidated Analysis of Phenolic Subgroups in the FC Assay
3.3. Reclassification of the Flavonoid Reference Standards Based on Their Structural Features
3.4. Comparison of the FC Assay with the DPPH and ABTS Assays
4. Conclusions
Author Contributions
Funding
Institutional Review Board Statement
Informed Consent Statement
Data Availability Statement
Acknowledgments
Conflicts of Interest
Abbreviations
| ABTS | 2,2’-azino-bis (3-ethylbenzothiazoline-6-sulfonic acid) |
| CAA | caffeic acid |
| CAT | (+)-catechin |
| DBA | 3,4-dihydroxybenzoic acid |
| DPPH | 2,2-diphenyl-1-picrylhydrazyl |
| EPC | (−)-epicatechin |
| FC | Folin-Ciocalteu |
| FEA | ferulic acid |
| GAA | gallic acid |
| HAT | hydrogen atom transfer |
| HBA | 4-hydroxybenzoic acid |
| HES | hesperetin |
| IRT | isorhamnetin |
| KAE | kaempferol |
| MOR | morin |
| MYR | myricetin |
| NAG | naringin |
| NAN | naringenin |
| NAR | narirutin |
| ORAC | oxygen radical absorbance capacity |
| PCA | p-coumaric acid |
| PHD | phloridzin |
| PHT | phloretin |
| QGA3 | quercetin-3-D-galactosides |
| QGU3 | quercetin-3-D-glucosides |
| QGU7 | quercetin-7-glucoside |
| QUR | quercetin |
| SIA | sinapic acid |
| SAR | structure-activity relationship |
| SET | single electron transfer |
| SRA | siringic acid |
| TAF | taxifolin |
References
- Shahidi, F.; Naczk, M. Food Phenolic: Sources Chemistry Effects Applications; Technomic Publishing Company Co.: Lancaster, PA, USA, 1995. [Google Scholar]
- Bennett, R.N.; Wallsgrove, R.M. Secondary metabolites in plant defence mechanisms. New Phytol. 1994, 127, 617–633. [Google Scholar] [CrossRef] [PubMed]
- Crozier, A.; Clifford, M.N.; Ashihara, H. Plant Secondary Metabolites: Occurrence, Structure and Role in the Human Diet; John Wiley & Sons: Hoboken, NJ, USA, 2008. [Google Scholar]
- Shahidi, F.; Zhong, H.J.; Ambigaipalan, P. Antioxidants: Regulatory status. Bailey’s Ind. Oil Fat Prod. 2005, 1–21. [Google Scholar] [CrossRef]
- Zheng, W.; Wang, S.Y. Antioxidant activity and phenolic compounds in selected herbs. J. Agric. Food Chem. 2001, 49, 5165–5170. [Google Scholar] [CrossRef]
- Dragland, S.; Senoo, H.; Wake, K.; Holte, K.; Blomhoff, R. Several culinary and medicinal herbs are important sources of dietary antioxidants. J. Nutr. 2003, 133, 1286–1290. [Google Scholar] [CrossRef] [PubMed]
- Wang, S.Y. Antioxidant Capacity of Berry Crops and Herbs. In Oriental Foods and Herbs; ACS Symposium Series 859; American Chemical Society: Wachington, DC, USA, 2003; pp. 190–201. [Google Scholar]
- Wu, X.; Beecher, G.R.; Holden, J.M.; Haytowitz, D.B.; Gebhardt, S.E.; Prior, R.L. Lipophilic and hydrophilic antioxidant capacities of common foods in the United States. J. Agric. Food Chem. 2004, 52, 4026–4037. [Google Scholar] [CrossRef]
- Strack, D. Phenolic Metabolism. In Plant Biochemistry; Academic Press: London, UK, 1997; p. 387. [Google Scholar]
- Archivio, M.D.; Filesi, C.; Di Benedetto, R.; Gargiulo, R.; Giovannini, C.; Masella, R. Polyphenols, dietary sources and bioavailability. Ann.-Ist. Super. di Sanita 2007, 43, 348. [Google Scholar]
- Wu, H.; Haig, T.; Pratley, J.; Lemerle, D.; An, M. Allelochemicals in wheat (Triticum A estivum L.): Variation of phenolic acids in root tissues. J. Agric. Food Chem. 2000, 48, 5321–5325. [Google Scholar] [CrossRef]
- Robbins, R.J. Phenolic acids in foods: An overview of analytical methodology. J. Agric. Food Chem. 2003, 51, 2866–2887. [Google Scholar] [CrossRef] [PubMed]
- Clifford, M. Appendix 1: A nomenclature for phenols with special reference to tea. Crit. Rev. Food Sci. Nutr. 2001, 41, 393. [Google Scholar]
- Harborne, J.B.; Williams, C.A. Advances in flavonoid research since 1992. Phytochemistry 2000, 55, 481–504. [Google Scholar] [CrossRef]
- Platzer, M.; Kiese, S.; Herfellner, T.; Schweiggert-Weisz, U.; Miesbauer, O.; Eisner, P. Common trends and differences in antioxidant activity analysis of phenolic substances using single electron transfer based assays. Molecules 2021, 26, 1244. [Google Scholar] [CrossRef] [PubMed]
- Shahidi, F.; Janitha, P.; Wanasundara, P. Phenolic antioxidants. Crit. Rev. Food Sci. Nutr. 1992, 32, 67–103. [Google Scholar] [CrossRef] [PubMed]
- Bors, W.; Heller, W.; Michel, C.; Saran, M. Radical chemistry of flavonoid antioxidants. In Antioxidants in Therapy and Preventive Medicine; Springer: Berlin/Heidelberg, Germany, 1990; pp. 165–170. [Google Scholar]
- Prior, R.L.; Cao, G. Analysis of botanicals and dietary supplements for antioxidant capacity: A review. J. AOAC Int. 2000, 83, 950–956. [Google Scholar] [CrossRef]
- Re, R.; Pellegrini, N.; Proteggente, A.; Pannala, A.; Yang, M.; Rice-Evans, C. Antioxidant activity applying an improved ABTS radical cation decolorization assay. Free Radic. Biol. Med. 1999, 26, 1231–1237. [Google Scholar] [CrossRef]
- Sánchez-Moreno, C. Methods used to evaluate the free radical scavenging activity in foods and biological systems. Food Sci. Technol. Int. 2002, 8, 121–137. [Google Scholar] [CrossRef]
- Stevanato, R.; Fabris, S.; Momo, F. New enzymatic method for the determination of total phenolic content in tea and wine. J. Agric. Food Chem. 2004, 52, 6287–6293. [Google Scholar] [CrossRef]
- Vagánek, A.; Rimarčík, J.; Lukeš, V.; Klein, E. On the energetics of homolytic and heterolytic OH bond cleavage in flavonoids. Comput. Theor. Chem. 2012, 991, 192–200. [Google Scholar] [CrossRef]
- Huang, D.; Ou, B.; Prior, R.L. The chemistry behind antioxidant capacity assays. J. Agric. Food Chem. 2005, 53, 1841–1856. [Google Scholar] [CrossRef]
- Dudonne, S.; Vitrac, X.; Coutiere, P.; Woillez, M.; Mérillon, J.M. Comparative study of antioxidant properties and total phenolic content of 30 plant extracts of industrial interest using DPPH, ABTS, FRAP, SOD, and ORAC assays. J. Agric. Food Chem. 2009, 57, 1768–1774. [Google Scholar] [CrossRef]
- Apak, R.; Güçlü, K.; Demirata, B.; Özyürek, M.; Çelik, S.E.; Bektaşoğlu, B.; Berker, K.I.; Özyurt, D. Comparative evaluation of various total antioxidant capacity assays applied to phenolic compounds with the CUPRAC assay. Molecules 2007, 12, 1496–1547. [Google Scholar] [CrossRef]
- Granato, D.; Shahidi, F.; Wrolstad, R.; Kilmartin, P.; Melton, L.D.; Hidalgo, F.J.; Miyashita, K.; van Camp, J.; Alasalvar, C.; Ismail, A.B.; et al. Antioxidant activity, total phenolics and flavonoids contents: Should we ban in vitro screening methods? Food Chem. 2018, 264, 471–475. [Google Scholar] [CrossRef]
- Folin, O.; Ciocalteu, V. On tyrosine and tryptophane determinations in proteins. J. Biol. Chem. 1927, 73, 627–650. [Google Scholar] [CrossRef]
- Singleton, V.L.; Rossi, J.A. Colorimetry of total phenolics with phosphomolybdic-phosphotungstic acid reagents. Am. J. Enol. Vitic. 1965, 16, 144–158. [Google Scholar]
- Ainsworth, E.A.; Gillespie, K.M. Estimation of total phenolic content and other oxidation substrates in plant tissues using Folin–Ciocalteu reagent. Nat. Protoc. 2007, 2, 875–877. [Google Scholar] [CrossRef] [PubMed]
- Magalhães, L.M.; Segundo, M.A.; Reis, S.; Lima, J.L.; Rangel, A.O. Automatic method for the determination of Folin- Ciocalteu reducing capacity in food products. J. Agric. Food Chem. 2006, 54, 5241–5246. [Google Scholar] [CrossRef]
- Ma, Y.T.; Cheung, P.C. Spectrophotometric Determination of Phenolic Compounds by Enzymatic and Chemical Methods A Comparison of Structure- Activity Relationship. J. Agric. Food Chem. 2007, 55, 4222–4228. [Google Scholar] [CrossRef]
- Alcalde, B.; Granados, M.; Saurina, J. Exploring the antioxidant features of polyphenols by spectroscopic and electrochemical methods. Antioxidants 2019, 8, 523. [Google Scholar] [CrossRef]
- Csepregi, K.; Neugart, S.; Schreiner, M.; Hideg, É. Comparative evaluation of total antioxidant capacities of plant polyphenols. Molecules 2016, 21, 208. [Google Scholar] [CrossRef] [PubMed]
- Arts, M.J.; Dallinga, J.S.; Voss, H.P.; Haenen, G.R.; Bast, A. A critical appraisal of the use of the antioxidant capacity (TEAC) assay in defining optimal antioxidant structures. Food Chem. 2003, 80, 409–414. [Google Scholar] [CrossRef]
- Cai, Y.Z.; Sun, M.; Xing, J.; Luo, Q.; Corke, H. Structure–radical scavenging activity relationships of phenolic compounds from traditional Chinese medicinal plants. Life Sci. 2006, 78, 2872–2888. [Google Scholar] [CrossRef] [PubMed]
- Shang, Y.J.; Qian, Y.P.; Liu, X.D.; Dai, F.; Shang, X.L.; Jia, W.Q.; Liu, Q.; Fang, J.G.; Zhou, B. Radical-scavenging activity and mechanism of resveratrol-oriented analogues: Influence of the solvent, radical, and substitution. J. Org. Chem. 2009, 74, 5025–5031. [Google Scholar] [CrossRef] [PubMed]
- Fiamegos, Y.; Stalikas, C.; Pilidis, G.; Karayannis, M. Synthesis and analytical applications of 4-aminopyrazolone derivatives as chromogenic agents for the spectrophotometric determination of phenols. Anal. Chim. Acta 2000, 403, 315–323. [Google Scholar] [CrossRef]
- Walker, R.B.; Everette, J.D.; Bryant, Q.M.; Green, A.M.; Abbey, Y.A.; Wangila, G.W. Reactivity of various compound classes towards the Folin-Ciolcaletu Reagent. In AIP Conference Proceedings; American Institute of Physics: College Park, MD, USA, 2010; Volume 1229, pp. 16–22. [Google Scholar]
- Everette, J.D.; Bryant, Q.M.; Green, A.M.; Abbey, Y.A.; Wangila, G.W.; Walker, R.B. Thorough study of reactivity of various compound classes toward the Folin- Ciocalteu reagent. J. Agric. Food Chem. 2010, 58, 8139–8144. [Google Scholar] [CrossRef] [PubMed]
- Singleton, V.L.; Orthofer, R.; Lamuela-Raventós, R.M. [14] Analysis of total phenols and other oxidation substrates and antioxidants by means of folin-ciocalteu reagent. In Methods in Enzymology; Elsevier: Amsterdam, The Netherlands, 1999; Volume 299, pp. 152–178. [Google Scholar]
- Cheng, Z.; Li, Y.; Chang, W. Kinetic deoxyribose degradation assay and its application in assessing the antioxidant activities of phenolic compounds in a Fenton-type reaction system. Anal. Chim. Acta 2003, 478, 129–137. [Google Scholar] [CrossRef]
- Vollhardt, K.P.C.; Schore, N.E. Electrophilic Attack on Derivatives of Benzene. In Organic Chemistry: Structure and Function; W. H. Freeman and Company: New York, NY, USA, 2018; pp. 2087–2148. [Google Scholar]
- Clarke, G.; Ting, K.N.; Wiart, C.; Fry, J. High correlation of 2, 2-diphenyl-1-picrylhydrazyl (DPPH) radical scavenging, ferric reducing activity potential and total phenolics content indicates redundancy in use of all three assays to screen for antioxidant activity of extracts of plants from the Malaysian rainforest. Antioxidants 2013, 2, 1–10. [Google Scholar]





| Subgroup | Reference Standard | Sample Code | Class | Side Group | ||||||
|---|---|---|---|---|---|---|---|---|---|---|
| phenolic acids | 1 | 3 | 4 | 5 | ||||||
![]() | caffeic acid | CAA | - | (CH)COOH | OH | OH | H | |||
| 3,4-dihydroxybenzoic acid | DBA | - | COOH | OH | OH | H | ||||
| ferulic acid | FEA | - | (CH)COOH | OH | OCH | H | ||||
| gallic acid | GAA | - | COOH | OH | OH | OH | ||||
| 4-hydroxybencoic acid | HBA | - | COOH | H | OH | H | ||||
| p-coumaric acid | PCA | - | (CH)COOH | H | OH | H | ||||
| sinapic acid | SIA | - | (CH)COOH | OCH | OH | OCH | ||||
| siringic acid | SRA | - | COOH | OCH | OH | OCH | ||||
| flavonols | 2’ | 3’ | 4’ | 5’ | 3 | 5 | 7 | |||
![]() | isorhamnetin | IRT | 4 | H | OH | OH | H | OH | OH | OH |
| kaempferol | KAE | 4 | H | H | OH | H | OH | OH | OH | |
| morin | MOR | 4 | OH | H | OH | H | OH | OH | OH | |
| quercetin-3-D-galactoside | QGA3 | 4 | H | OH | OH | H | Glc | OH | OH | |
| quercetin-3-D-glucoside | QGU3 | 4 | H | OH | OH | H | Gal | OH | OH | |
| quercetin-7-D-glucoside | QGU7 | 5 | H | OH | OH | H | OH | OH | Glc | |
| quercetin | QUR | 5 | H | OH | OH | H | OH | OH | OH | |
| flavanones | 3’ | 4’ | 3 | 5 | 7 | |||||
![]() | hesperetin | HES | 2 | OH | OCH | H | OH | OH | ||
| narirutin | NAR | 1 | H | OH | H | OH | 2 Glc | |||
| naringin | NAG | 1 | H | OH | H | OH | Rham, Glc | |||
| naringenin | NAN | 2 | H | OH | H | OH | OH | |||
| taxifolin | TAF | 4 | OH | OH | OH | OH | OH | |||
| dihydrochalcones | 5 | 7 | 9 | 4’ | ||||||
![]() | phloridzin | PHD | 2 | OH | OH | OH | Glc | |||
| phloretin | PHT | 2 | OH | OH | OH | OH | ||||
| flavanols | 3’ | 4’ | 3 | 4 | 5 | 7 | ||||
![]() | (+)-catechin | CAT | 3 | OH | OH | OH | H | OH | OH | |
| (-)-epicatechin | EPC | 3 | OH | OH | OH | H | OH | OH | ||
| Class | Structural Feature | Substances |
|---|---|---|
| 1 | 2 OH groups and none of the Bors criteria | NAG, NAR |
| 2 | 3 to 4 OH groups and none of the Bors criteria | HES, NAN, PHD, PHT |
| 3 | one of the Bors criteria | CAT, EPC |
| 4 | two of the Bors criteria | IRT, KAE, MOR, QGA3, QGU3, TAF |
| 5 | three Bors criteria | QUR, QGU7 |
Publisher’s Note: MDPI stays neutral with regard to jurisdictional claims in published maps and institutional affiliations. |
© 2021 by the authors. Licensee MDPI, Basel, Switzerland. This article is an open access article distributed under the terms and conditions of the Creative Commons Attribution (CC BY) license (https://creativecommons.org/licenses/by/4.0/).
Share and Cite
Platzer, M.; Kiese, S.; Herfellner, T.; Schweiggert-Weisz, U.; Eisner, P. How Does the Phenol Structure Influence the Results of the Folin-Ciocalteu Assay? Antioxidants 2021, 10, 811. https://doi.org/10.3390/antiox10050811
Platzer M, Kiese S, Herfellner T, Schweiggert-Weisz U, Eisner P. How Does the Phenol Structure Influence the Results of the Folin-Ciocalteu Assay? Antioxidants. 2021; 10(5):811. https://doi.org/10.3390/antiox10050811
Chicago/Turabian StylePlatzer, Melanie, Sandra Kiese, Thomas Herfellner, Ute Schweiggert-Weisz, and Peter Eisner. 2021. "How Does the Phenol Structure Influence the Results of the Folin-Ciocalteu Assay?" Antioxidants 10, no. 5: 811. https://doi.org/10.3390/antiox10050811
APA StylePlatzer, M., Kiese, S., Herfellner, T., Schweiggert-Weisz, U., & Eisner, P. (2021). How Does the Phenol Structure Influence the Results of the Folin-Ciocalteu Assay? Antioxidants, 10(5), 811. https://doi.org/10.3390/antiox10050811








