The Impact of Practicing Open- vs. Closed-Skill Sports on Executive Functions—A Meta-Analytic and Systematic Review with a Focus on Characteristics of Sports
Abstract
:1. Introduction
1.1. Executive Functions and Sports Experience
1.2. Effects of Open- and Closed-Skill Sport Practice
2. Materials and Methods
2.1. Literature Search Strategy
2.2. Selection Criteria
2.3. Qualitative and Quantitative Analysis
2.4. Risk of Bias Assessment
3. Results
3.1. Study Selection
3.2. Results of Qualitative Synthesis
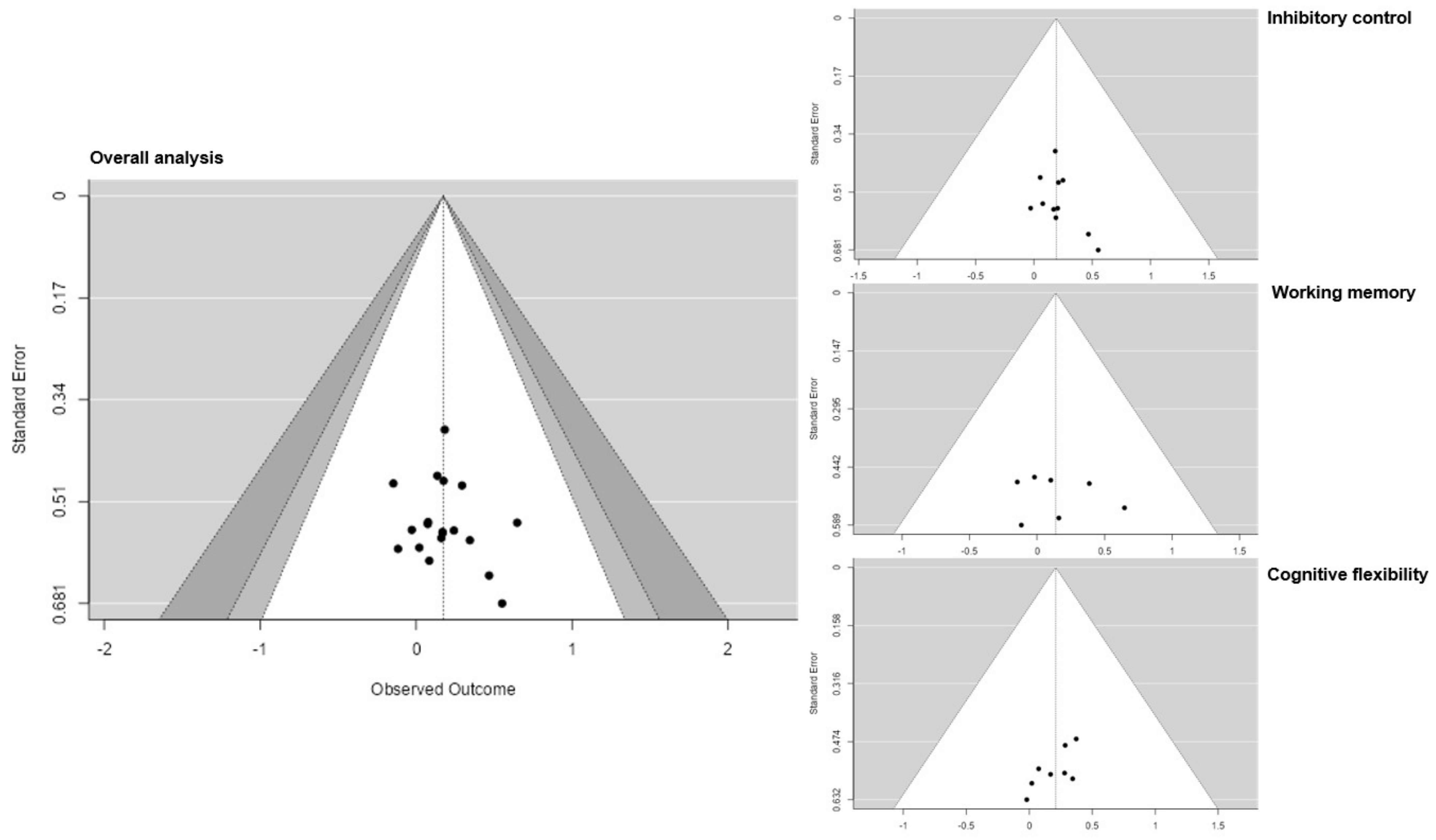
3.3. Results of Quantitative Synthesis
3.3.1. Overall Analysis
3.3.2. Subgroup Analysis
4. Discussion
4.1. Discussion of Qualitative Synthesis
4.2. Discussion of Quantitative Synthesis
4.2.1. Overall Analysis
4.2.2. Characterization of Examined Sport Modes
4.2.3. Subgroup Analysis
5. Limitations
6. Conclusions
Supplementary Materials
Author Contributions
Funding
Institutional Review Board Statement
Informed Consent Statement
Data Availability Statement
Acknowledgments
Conflicts of Interest
References
- Araújo, C.G.S.; Scharhag, J. Athlete: A working definition for medical and health sciences research. Scand. J. Med. Sci. Sports 2016, 26, 4–7. [Google Scholar] [CrossRef]
- Cristofori, I.; Cohen-Zimerman, S.; Grafman, J. Executive functions. Handb. Clin. Neurol. 2019, 163, 197–219. [Google Scholar] [CrossRef]
- Etnier, J.L.; Chang, Y.-K. The effect of physical activity on executive function: A brief commentary on definitions, measurement issues, and the current state of the literature. J. Sport Exerc. Psychol. 2009, 31, 469–483. [Google Scholar] [CrossRef]
- Khan, N.A.; Hillman, C.H. The relation of childhood physical activity and aerobic fitness to brain function and cognition: A review. Pediatr. Exerc. Sci. 2014, 26, 138–146. [Google Scholar] [CrossRef]
- Vestberg, T.; Gustafson, R.; Maurex, L.; Ingvar, M.; Petrovic, P. Executive functions predict the success of top-soccer players. PLoS ONE 2012, 7, e34731. [Google Scholar] [CrossRef]
- Formenti, D.; Trecroci, A.; Duca, M.; Cavaggioni, L.; D’Angelo, F.; Passi, A.; Longo, S.; Alberti, G. Differences in inhibitory control and motor fitness in children practicing open and closed skill sports. Sci. Rep. 2021, 11, 4033. [Google Scholar] [CrossRef] [PubMed]
- Scharfen, H.-E.; Memmert, D. Measurement of cognitive functions in experts and elite athletes: A meta-analytic review. Appl. Cognit. Psychol. 2019, 33, 843–860. [Google Scholar] [CrossRef]
- Jacobson, J.; Matthaeus, L. Athletics and executive functioning: How athletic participation and sport type correlate with cognitive performance. Psychol. Sport Exerc. 2014, 15, 521–527. [Google Scholar] [CrossRef]
- Heilmann, F.; Wollny, R.; Lautenbach, F. Inhibition and Calendar Age Explain Variance in Game Performance of Youth Soccer Athletes. Int. J. Environ. Res. Public Health 2022, 19, 1138. [Google Scholar] [CrossRef] [PubMed]
- Lundgren, T.; Högman, L.; Näslund, M.; Parling, T. Preliminary Investigation of Executive Functions in Elite Ice Hockey Players. J. Clin. Sport Psychol. 2016, 10, 324–335. [Google Scholar] [CrossRef]
- Huijgen, B.C.H.; Leemhuis, S.; Kok, N.M.; Verburgh, L.; Oosterlaan, J.; Elferink-Gemser, M.T.; Visscher, C. Cognitive Functions in Elite and Sub-Elite Youth Soccer Players Aged 13 to 17 Years. PLoS ONE 2015, 10, e0144580. [Google Scholar] [CrossRef]
- Verburgh, L.; Scherder, E.J.A.; van Lange, P.A.M.; Oosterlaan, J. Do Elite and Amateur Soccer Players Outperform Non-Athletes on Neurocognitive Functioning? A Study Among 8–12 Year Old Children. PLoS ONE 2016, 11, e0165741. [Google Scholar] [CrossRef]
- Mallek, M.; Benguigui, N.; Dicks, M.; Thouvarecq, R. Sport expertise in perception-action coupling revealed in a visuomotor tracking task. Eur. J. Sport Sci. 2017, 17, 1270–1278. [Google Scholar] [CrossRef]
- Furley, P.; Memmert, D.; Schmid, S. Perceptual load in sport and the heuristic value of the perceptual load paradigm in examining expertise-related perceptual-cognitive adaptations. Cogn. Process. 2013, 14, 31–42. [Google Scholar] [CrossRef]
- Furley, P.; Memmert, D. Differences in spatial working memory as a function of team sports expertise: The Corsi Block-tapping task in sport psychological assessment. Percept. Mot. Ski. 2010, 110, 801–808. [Google Scholar] [CrossRef]
- Kioumourtzoglou, E.; Derri, V.; Tzetzis, G.; Theodorakis, Y. Cognitive, perceptual, and motor abilities in skilled basketball performance. Percept. Mot. Ski. 1998, 86, 771–786. [Google Scholar] [CrossRef]
- Alves, H.; Voss, M.W.; Boot, W.R.; Deslandes, A.; Cossich, V.; Salles, J.I.; Kramer, A.F. Perceptual-cognitive expertise in elite volleyball players. Front. Psychol. 2013, 4, 36. [Google Scholar] [CrossRef]
- Zhang, X.; Yan, M.; Yangang, L. Differential performance of Chinese volleyball athletes and nonathletes on a multiple-object tracking task. Percept. Mot. Ski. 2009, 109, 747–756. [Google Scholar] [CrossRef]
- Honeybourne, J. Acquiring Skill in Sport: An Introduction; Routledge: London, UK, 2008; ISBN 9780415349369. [Google Scholar]
- Knapp, B. Skill in Sport; Routledge & Kegan Paul: London, UK, 1963. [Google Scholar]
- Singer, R.N. Performance and human factors: Considerations about cognition and attention for self-paced and externally-paced events. Ergonomics 2000, 43, 1661–1680. [Google Scholar] [CrossRef]
- Tsai, C.-L.; Wang, W.-L. Exercise-mode-related changes in task-switching performance in the elderly. Front. Behav. Neurosci. 2015, 9, 56. [Google Scholar] [CrossRef]
- Gentile, A.M.; Higgins, J.R.; Miller, E.A.; Rosen, B.M. The structure of motor tasks. In Movement 7: Proceedings of the Seventh Annual Canadian Psycho-Motor and Sports Psychology Symposium; Bard, C., Fleury, M., Salmela, J., Eds.; The Canadian Society for Psychomotor Learning and Sport Psychology: Quebec City, QC, Canada, 1975; pp. 11–28. [Google Scholar]
- Taatgen, N.A. The nature and transfer of cognitive skills. Psychol. Rev. 2013, 120, 439–471. [Google Scholar] [CrossRef]
- Krenn, B.; Finkenzeller, T.; Würth, S.; Amesberger, G. Sport type determines differences in executive functions in elite athletes. Psychol. Sport Exerc. 2018, 38, 72–79. [Google Scholar] [CrossRef]
- Wang, C.-H.; Chang, C.-C.; Liang, Y.-M.; Shih, C.-M.; Chiu, W.-S.; Tseng, P.; Hung, D.L.; Tzeng, O.J.L.; Muggleton, N.G.; Juan, C.-H. Open vs. closed skill sports and the modulation of inhibitory control. PLoS ONE 2013, 8, e55773. [Google Scholar] [CrossRef]
- Koch, P.; Krenn, B. Executive functions in elite athletes—Comparing open-skill and closed-skill sports and considering the role of athletes’ past involvement in both sport categories. Psychol. Sport Exerc. 2021, 55, 101925. [Google Scholar] [CrossRef]
- Yongtawee, A.; Park, J.; Kim, Y.; Woo, M. Athletes have different dominant cognitive functions depending on type of sport. Int. J. Sport Exerc. Psychol. 2021, 20, 1–15. [Google Scholar] [CrossRef]
- Yongtawee, A.; Woo, M.-J. The influence of gender, sports type and training experience on cognitive functions in adolescent athletes. Exerc. Sci. 2017, 26, 159–167. [Google Scholar] [CrossRef]
- Ballester, R.; Huertas, F.; Pablos-Abella, C.; Llorens, F.; Pesce, C. Chronic participation in externally paced, but not self-paced sports is associated with the modulation of domain-general cognition. Eur. J. Sport Sci. 2019, 19, 1110–1119. [Google Scholar] [CrossRef]
- Zhu, H.; Chen, A.; Guo, W.; Zhu, F.; Wang, B. Which Type of Exercise Is More Beneficial for Cognitive Function? A Meta-Analysis of the Effects of Open-Skill Exercise versus Closed-Skill Exercise among Children, Adults, and Elderly Populations. Appl. Sci. 2020, 10, 2737. [Google Scholar] [CrossRef]
- Gu, Q.; Zou, L.; Loprinzi, P.D.; Quan, M.; Huang, T. Effects of Open Versus Closed Skill Exercise on Cognitive Function: A Systematic Review. Front. Psychol. 2019, 10, 1707. [Google Scholar] [CrossRef]
- Liberati, A.; Altman, D.G.; Tetzlaff, J.; Mulrow, C.; Gøtzsche, P.C.; Ioannidis, J.P.A.; Clarke, M.; Devereaux, P.J.; Kleijnen, J.; Moher, D. The PRISMA statement for reporting systematic reviews and meta-analyses of studies that evaluate health care interventions: Explanation and elaboration. PLoS Med. 2009, 6, e1000100. [Google Scholar] [CrossRef]
- Ellis, P.D. The Essential Guide to Effect Sizes: Statistical Power, Meta-Analysis, and the Interpretation of Research Results; Cambridge University Press: Cambridge, UK, 2010; ISBN 1139488155. [Google Scholar]
- Cohen, J. Statistical Power Analysis for the Behavioral Sciences; Routledge: London, UK, 2013; ISBN 1134742703. [Google Scholar]
- Higgins, J.P.T.; Thompson, S.G. Quantifying heterogeneity in a meta-analysis. Stat. Med. 2002, 21, 1539–1558. [Google Scholar] [CrossRef] [PubMed]
- Chang, E.C.-H.; Chu, C.-H.; Karageorghis, C.I.; Wang, C.-C.; Tsai, J.H.-C.; Wang, Y.-S.; Chang, Y.-K. Relationship between mode of sport training and general cognitive performance. J. Sport Health Sci. 2017, 6, 89–95. [Google Scholar] [CrossRef] [PubMed]
- Chueh, T.-Y.; Huang, C.-J.; Hsieh, S.-S.; Chen, K.-F.; Chang, Y.-K.; Hung, T.-M. Sports training enhances visuo-spatial cognition regardless of open-closed typology. PeerJ 2017, 5, e3336. [Google Scholar] [CrossRef] [PubMed]
- Dai, C.-T.; Chang, Y.-K.; Huang, C.-J.; Hung, T.-M. Exercise mode and executive function in older adults: An ERP study of task-switching. Brain Cogn. 2013, 83, 153–162. [Google Scholar] [CrossRef]
- Guo, W.; Wang, B.; Lu, Y.; Zhu, Q.; Shi, Z.; Ren, J. The relationship between different exercise modes and visuospatial working memory in older adults: A cross-sectional study. PeerJ 2016, 4, e2254. [Google Scholar] [CrossRef]
- Huang, C.-J.; Lin, P.-C.; Hung, C.-L.; Chang, Y.-K.; Hung, T.-M. Type of physical exercise and inhibitory function in older adults: An event-related potential study. Psychol. Sport Exerc. 2014, 15, 205–211. [Google Scholar] [CrossRef]
- Wang, B.; Guo, W. Exercise mode and attentional networks in older adults: A cross-sectional study. PeerJ 2020, 8, e8364. [Google Scholar] [CrossRef]
- Yu, Q.; Chan, C.C.H.; Chau, B.; Fu, A.S.N. Motor skill experience modulates executive control for task switching. Acta Psychol. 2017, 180, 88–97. [Google Scholar] [CrossRef]
- Bryant, L.M.; Duncan, R.J.; Schmitt, S.A. The Cognitive Benefits of Participating in Structured Sports for Preschoolers. Early Educ. Dev. 2021, 32, 729–740. [Google Scholar] [CrossRef]
- Ludyga, S.; Mücke, M.; Andrä, C.; Gerber, M.; Pühse, U. Neurophysiological correlates of interference control and response inhibition processes in children and adolescents engaging in open- and closed-skill sports. J. Sport Health Sci. 2021, 11, 224–233. [Google Scholar] [CrossRef]
- Heppe, H.; Kohler, A.; Fleddermann, M.-T.; Zentgraf, K. The Relationship between Expertise in Sports, Visuospatial, and Basic Cognitive Skills. Front. Psychol. 2016, 7, 904. [Google Scholar] [CrossRef]
- Takahashi, S.; Grove, P.M. Comparison of the effects of running and badminton on executive function: A within-subjects design. PLoS ONE 2019, 14, e0216842. [Google Scholar] [CrossRef]
- Hung, C.-L.; Tseng, J.-W.; Chao, H.-H.; Hung, T.-M.; Wang, H.-S. Effect of Acute Exercise Mode on Serum Brain-Derived Neurotrophic Factor (BDNF) and Task Switching Performance. J. Clin. Med. 2018, 7, 301. [Google Scholar] [CrossRef]
- Ludyga, S.; Pühse, U.; Gerber, M.; Herrmann, C. Core executive functions are selectively related to different facets of motor competence in preadolescent children. Eur. J. Sport Sci. 2019, 19, 375–383. [Google Scholar] [CrossRef]
- Nakamoto, H.; Mori, S. Effects of stimulus-response compatibility in mediating expert performance in baseball players. Brain Res. 2008, 1189, 179–188. [Google Scholar] [CrossRef]
- De Waelle, S.; Laureys, F.; Lenoir, M.; Bennett, S.J.; Deconinck, F.J.A. Children Involved in Team Sports Show Superior Executive Function Compared to Their Peers Involved in Self-Paced Sports. Children 2021, 8, 264. [Google Scholar] [CrossRef]
- Yamashiro, K.; Sato, D.; Onishi, H.; Sugawara, K.; Nakazawa, S.; Shimojo, H.; Akatsuka, K.; Nakata, H.; Maruyama, A. Skill-Specific Changes in Somatosensory Nogo Potentials in Baseball Players. PLoS ONE 2015, 10, e0142581. [Google Scholar] [CrossRef]
- Chen, F.-T.; Chen, Y.-P.; Schneider, S.; Kao, S.-C.; Huang, C.-M.; Chang, Y.-K. Effects of Exercise Modes on Neural Processing of Working Memory in Late Middle-Aged Adults: An fMRI Study. Front. Aging Neurosci. 2019, 11, 224. [Google Scholar] [CrossRef]
- Furley, P.; Memmert, D. Studying cognitive adaptations in the field of sport: Broad or narrow transfer? A comment on Allen, Fioratou, and McGeorge. Percept. Mot. Ski. 2011, 113, 481–488. [Google Scholar] [CrossRef]
- Gökçe, E.; Güneş, E.; Arı, F.; Hayme, S.; Nalçacı, E. Comparison of the effects of open- and closed-skill exercise on cognition and peripheral proteins: A cross-sectional study. PLoS ONE 2021, 16, e0251907. [Google Scholar] [CrossRef]
- Holfelder, B.; Klotzbier, T.J.; Eisele, M.; Schott, N. Hot and Cool Executive Function in Elite- and Amateur- Adolescent Athletes From Open and Closed Skills Sports. Front. Psychol. 2020, 11, 694. [Google Scholar] [CrossRef]
- Li, D.; Huang, C.-J.; Liu, S.-C.; Chang, K.-H.; Hung, T.-M. Exercise type relates to inhibitory and error processing functions in older adults. Neuropsychol. Dev. Cogn. B Aging Neuropsychol. Cogn. 2019, 26, 865–881. [Google Scholar] [CrossRef]




| OSE | Classification | Frequency N = 44 | Percentage [%] | CSE | Classification | Frequency N = 46 | Percentage [%] |
|---|---|---|---|---|---|---|---|
| Tennis | 4 | 8 | 18.18 | Swimming | 1 | 15 | 32.61 |
| Table Tennis | 4 | 8 | 18.18 | Running | 1 | 12 | 26.09 |
| Badminton | 4 | 6 | 13.64 | Athletics | 2 | 7 | 15.22 |
| Basketball | 4 | 5 | 11.36 | Triathlon | 1 | 3 | 6.52 |
| Volleyball/Beach volleyball | 4 | 2 | 4.55 | Cycling | 1 | 3 | 6.52 |
| Soccer | 4 | 3 | 6.82 | Gymnastics | 1 | 1 | 2.17 |
| Handball | 4 | 2 | 4.55 | Archery | 1 | 1 | 2.17 |
| Sailing | 3 | 2 | 4.55 | Shooting | 1 | 1 | 2.17 |
| American Football | 4 | 1 | 2.27 | Brisk walking | 1 | 1 | 2.17 |
| Wushu | 4 | 1 | 2.27 | Cross-country skiing | 2 | 1 | 2.17 |
| Martial Arts | 4 | 1 | 2.27 | Track-bike | 1 | 1 | 2.17 |
| Fencing | 4 | 1 | 2.27 | ||||
| Korfball | 4 | 1 | 2.27 | ||||
| Hockey | 4 | 1 | 2.27 | ||||
| Canoe slalom | 3 | 1 | 2.27 | ||||
| Baseball | 4 | 1 | 2.27 |
Publisher’s Note: MDPI stays neutral with regard to jurisdictional claims in published maps and institutional affiliations. |
© 2022 by the authors. Licensee MDPI, Basel, Switzerland. This article is an open access article distributed under the terms and conditions of the Creative Commons Attribution (CC BY) license (https://creativecommons.org/licenses/by/4.0/).
Share and Cite
Heilmann, F.; Weinberg, H.; Wollny, R. The Impact of Practicing Open- vs. Closed-Skill Sports on Executive Functions—A Meta-Analytic and Systematic Review with a Focus on Characteristics of Sports. Brain Sci. 2022, 12, 1071. https://doi.org/10.3390/brainsci12081071
Heilmann F, Weinberg H, Wollny R. The Impact of Practicing Open- vs. Closed-Skill Sports on Executive Functions—A Meta-Analytic and Systematic Review with a Focus on Characteristics of Sports. Brain Sciences. 2022; 12(8):1071. https://doi.org/10.3390/brainsci12081071
Chicago/Turabian StyleHeilmann, Florian, Henrietta Weinberg, and Rainer Wollny. 2022. "The Impact of Practicing Open- vs. Closed-Skill Sports on Executive Functions—A Meta-Analytic and Systematic Review with a Focus on Characteristics of Sports" Brain Sciences 12, no. 8: 1071. https://doi.org/10.3390/brainsci12081071
APA StyleHeilmann, F., Weinberg, H., & Wollny, R. (2022). The Impact of Practicing Open- vs. Closed-Skill Sports on Executive Functions—A Meta-Analytic and Systematic Review with a Focus on Characteristics of Sports. Brain Sciences, 12(8), 1071. https://doi.org/10.3390/brainsci12081071

