The Cascade Control of Natural Gas Pipeline Systems
Abstract
:1. Introduction
2. Cascade Control Algorithm
2.1. State Space Model
- The series form of the models in time domain is obtained using the convolution theorem.
- A few dominant flow eigenmodes are used to construct an efficient reduced-order model, i.e., ordinary differential equation (ODE) model.
2.2. Linear Quadratic Regulator
- (1) Initialization:Let ,the initial is solved by asymptotically stable.
- (2) The k th iteration:Let ,, are solved following Lyapunov equation.
- (3) Solving iterative direction of gain matrix :Let ,.
- (4) Solving iteration matrix:Let and satisfies the following conditions,is asymptotically stable,and .
- (5) Determine whether iteration is needed:If the difference between and is small enough,then go to (6);otherwise,let and go to (2).
- (6) Termination:Let .
- There is a matrix to make asymptotically stable. Since the pipeline system is a self-balance system, the initial matrix can be calculated by using the eigenvalue assignment method.
- The system output matrix C is full row rank.
- To get all control inputs in the performance index, the weighted matrix R must be positive definite.
- The state weight matrix Q is semi positive definite. is detectable, which means that the unstable state in the index is weighted.
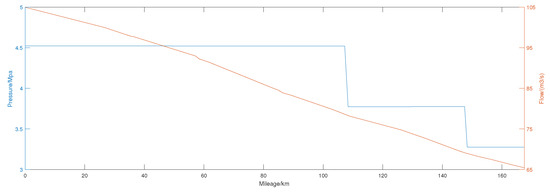
3. Case Studies of the Cascade Control of Natural Gas Pipelines
4. Conclusions
Author Contributions
Funding
Acknowledgments
Conflicts of Interest
References
- Holcomb, C. HMI, SCADA reduces pipeline monitoring, supervision costs. J. Appl. Polym. Sci. 2008, 108, 2077–2084. [Google Scholar]
- Szoplik, J. Improving the natural gas transporting based on the steady state simulation results. Energy 2016, 109, 105–116. [Google Scholar] [CrossRef]
- Chaczykowski, M. Transient flow in natural gas pipeline—The effect of pipeline thermal model. Appl. Math. Model. 2010, 34, 1051–1067. [Google Scholar] [CrossRef]
- Nguyen, H.; Chan, C. Optimal scheduling of gas pipeline operation using genetic algorithms. In Proceedings of the Canadian Conference on Electrical and Computer Engineering, Saskatoon, SK, Canada, 1–4 May 2005. [Google Scholar]
- Zlotnik, A.; Chertkov, M.; Backhaus, S. Optimal control of transient flow in natural gas networks. In Proceedings of the 54th IEEE Conference on Decision and Control, Osaka, Japan, 15–18 December 2015. [Google Scholar]
- Pambour, K.A.; Bolado-Lavin, R.; Dijkema, G.P.J. An integrated transient model for simulating the operation of natural gas transport systems. J. Nat. Gas Sci. Eng. 2016, 28, 672–690. [Google Scholar] [CrossRef]
- Rios-Mercado, R.; Borraz-Sanchez, C. Optimization problems in natural gas transportation systems: A state-of-the-art review. Appl. Energy 2015, 147, 536–555. [Google Scholar] [CrossRef]
- Behrooz, H.; Boozarjomehry, R. Modeling and state estimation for gas transmission networks. J. Nat. Gas Sci. Eng. 2015, 22, 551–570. [Google Scholar] [CrossRef]
- Gato, L.; Henriques, J. Dynamic behaviour of high-pressure natural-gas flow in pipelines. Int. J. Heat Fluid Flow 2005, 26, 817–825. [Google Scholar] [CrossRef]
- Wang, P.; Yu, B.; Han, D.; Li, J.; Sun, D.; Xiang, Y.; Wang, L. Adaptive implicit finite difference method for natural gas pipeline transient flow. Oil Gas Sci. Technol. 2018, 73, 21. [Google Scholar] [CrossRef]
- Sundar, K.; Zlotnik, A. State and parameter estimation for natural gas pipeline networks using transient state data. IEEE Trans. Control Syst. Technol. 2018, 99, 1–15. [Google Scholar] [CrossRef]
- Durgut, I.; Leblebicioglu, K. Optimal control of gas pipelines via infinite-dimensional analysis. Int. J. Numer. Methods Fluids 2010, 22, 867–879. [Google Scholar] [CrossRef]
- Cortinovis, A.; Mercangoz, M.; Zovadelli, M.; Pareschi, D.; de Marco, A.; Bittanti, S. Online performance tracking and load sharing optimization for parallel operation of gas compressors. Comput. Chem. Eng. 2016, 88, 145–156. [Google Scholar] [CrossRef]
- Wen, K.; Xia, Z.; Yu, W.; Gong, J. A new lumped parameter model for natural gas pipelines in state space. Energies 2018, 11, 1971. [Google Scholar] [CrossRef]






| Station | Controller Type | Proportional Gain | Integral Time | Differential Time |
|---|---|---|---|---|
| First station | Pressure Controller | 1.12 | 0.2 | 0 |
| terminal station | Pressure Controller | 0.5 | 0.2 | 0 |
| Process Variable | Disturbance | Final Result/MPa | Absolute Error/Mpa | Relative Error | |
|---|---|---|---|---|---|
| 1 | Outlet Pressure | 5.2 MPa | 4.9991 | −0.0009 | 0.45% |
| 2 | Outlet Pressure | 4.8 MPa | 5.0006 | 0.0006 | 0.30% |
| 3 | Outlet Pressure | 6.0 MPa | 4.9940 | −0.0060 | 0.60% |
| 4 | Outlet Pressure | 4.0 MPa | 5.0467 | 0.0467 | 4.67% |
| 5 | Terminal flow | 75 m/s | 5.0010 | 0.0010 | 3.23% |
| 6 | Terminal flow | 65 m/s | 4.9987 | −0.0013 | 3.51% |
© 2019 by the authors. Licensee MDPI, Basel, Switzerland. This article is an open access article distributed under the terms and conditions of the Creative Commons Attribution (CC BY) license (http://creativecommons.org/licenses/by/4.0/).
Share and Cite
Wen, K.; Gong, J.; Wu, Y. The Cascade Control of Natural Gas Pipeline Systems. Appl. Sci. 2019, 9, 481. https://doi.org/10.3390/app9030481
Wen K, Gong J, Wu Y. The Cascade Control of Natural Gas Pipeline Systems. Applied Sciences. 2019; 9(3):481. https://doi.org/10.3390/app9030481
Chicago/Turabian StyleWen, Kai, Jing Gong, and Yan Wu. 2019. "The Cascade Control of Natural Gas Pipeline Systems" Applied Sciences 9, no. 3: 481. https://doi.org/10.3390/app9030481
APA StyleWen, K., Gong, J., & Wu, Y. (2019). The Cascade Control of Natural Gas Pipeline Systems. Applied Sciences, 9(3), 481. https://doi.org/10.3390/app9030481

