Abstract
To uniform the evaluation indicators of Styrene-Butadiene-Styrene (SBS) modified asphalt, the SK70# and SK90# matrix asphalt were modified by different SBS modifier dosage in this study. The test methods in China and Superpave were used to test the performance of each SBS-modified asphalt respectively, from which the appropriate evaluation index of SBS-modified asphalt was determined. The results showed that the addition of SBS modifier improved the high temperature performance and lowered the temperature sensitivity of asphalt binder, while it increased the viscosity of asphalt binder in high temperatures. Due to the variability that appeared in the results of the penetration test by the swelling of SBS-modified asphalt, the penetration test was not recommended to evaluate the performances of SBS-modified asphalt. The softening point of SBS-modified asphalt with the modifier dosages of 4.5%, 5%, 5.5% and 6% increased 5.7%, 12.8%, 22.5% and 26.4% respectively compared to the matrix asphalt for SK70# matrix asphalt, and increased 21.2%, 26.3%, 33.6% and 46.6% respectively compared to the matrix asphalt for SK90# matrix asphalt. The effect of SBS-modifier on the softening point of SK90# matrix asphalt is significantly better than that of SK70# matrix asphalt. The improvement effect of SBS modifier on low temperature performance of matrix asphalt decreased with a decrease in test temperature. When studying the influence of the SBS modifier on the low temperature performance of asphalt binder, it was recommended to use the bending beam rheometer (BBR) test to evaluate the low temperature performance of SBS-modified asphalt.
1. Introduction
Styrene-butadiene-styrene (SBS) is a common modifier with high molecular polymer, which could make the asphalt binder modified by miscible with asphalt binder [1]. The SBS-modified asphalt could improve the high temperature rutting resistance, low-temperature crack resistance and anti-fatigue performance of asphalt pavement [2]. The SBS-modified asphalt has been applied widely in many high-grade pavement in China at present to satisfy the increasing traffic. SBS modified asphalt has wide scope of application [3]. In recent years, many scholars in China and other countries research much about SBS-modified asphalt. Khodaii (2009) conducted dynamic creep test on unmodified and SBS-modified samples, and the creep behavior of the samples was estimated by the three-stage creep model. The result showed that dense-graded mixtures had higher permanent deformation susceptibility than coarse graded mixtures, and lower stress levels in dynamic creep test could not show the actual behavior of asphalt mixtures and particularly the modified mixtures [4]. Forough (2014) used the creep curves derived from the dynamic creep tests to investigate the effects of loading frequency and temperature on the moisture sensitivity of dense-graded polymer-modified asphalt mixtures. The results showed that both the variables of loading frequency and temperature had significant effects on the permanent strains of both the dry and wet asphalt mixtures [5]. Huang (2015) used multiple stress creep recovery (MSCR) test to investigate the effect of cross-linking agent and SBS content on SBS-modified asphalt. The result showed the effect of increasing SBS content was more prominent for binders at lower SBS content. MSCR test failed to distinguish 5.0% and 5.5% SBS-modified asphalt in the study [6]. Wang (2017) conducted three points bending test and deformations test to evaluate the low-temperature performance and fatigue resistance of recycled SBS-modified asphalt mixture. The results showed that fatigue resistance of modified recycling of asphalt mixture with different RAPs did not vary much under low-temperature while displaying an obvious difference under higher temperature [7]. However, the test index used to evaluate the performance of SBS-modified asphalt is diversified, and lack of unification. This study based on the Chinese test methods of penetration test, softening point test, ductility test, elastic recovery test and Superpave test methods of dynamic shear rheometer test (DSR), Brookfield rotary viscosity test, bending beam rheometer (BBR) test, to analyze the influence of SBS modifier on asphalt performance. By comparing each performance index, it provides theoretical support for unifying the performance evaluation index of SBS modified asphalt.
2. Material
2.1. Matrix Asphalt
The matrix asphalt used in this study was SK70# and SK90#, and the technical indicators are shown in Table 1.
Table 1.
The technical indicators of matrix asphalt.
2.2. SBS Modifier
The line type SBS modifier was used in this study, which is development by a materials company and widely used in Shaanxi province, China. According to the manufacturer’s suggestion, the SBS modifier dosages were 4.5%, 5%, 5.5% and 6%. Technical indicators of this SBS modifier are shown in Table 2.
Table 2.
Technical indicators of line type SBS modifier.
3. Results and Discussion
3.1. Performance Test of SBS Modified Asphalt with Chinese Evaluation Methods
3.1.1. Penetration
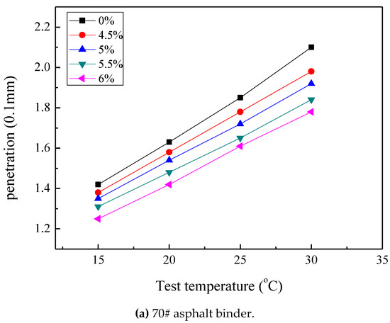
The test temperatures were set as 15 °C, 20 °C, 25 °C and 30 °C in this study. The penetration of matrix asphalt and SBS-modified asphalt for different test temperatures is shown in Figure 1. For SK70# and SK90# matrix asphalt, the SBS modifier could lower the penetration of them, which lead to the asphalt binder being hardened. Take the test temperature of 25°C and SK90# matrix asphalt as example, the penetration of SBS modified asphalt with SBS dosages of 4.5%, 5%, 5.5%, and 6% decreased by 10.3%, 12.9%, 14.4% and 15.5% respectively, compared to the matrix asphalt.

Figure 1.
Penetration test of matrix asphalt and SBS modified asphalt.
For studying the influence of SBS modifier dosage on penetration of asphalt binder, the variance analysis of temperature and SBS modifier dosage on penetration of SK70# and SK90# matrix asphalt were conducted, as shown in Table 3.
Table 3.
Variance analysis of penetration for SBS modified asphalt.
In Table 3, the significance level is 0.05, when the p-value less than 0.05, that means SBS modifier dosage or temperature has a significant impact on penetration in significance level of 0.05. The smaller the p-value is, the more significant the effect is. The results showed that, the temperature had a significant effect on penetration of SBS modified asphalt, while the SBS modifier dosage had no considerable influence on it [8,9]. In addition, the aromatic hydrocarbon and resin in matrix asphalt could be absorbed by SBS modifier, which lead to the swelling behavior. This caused the great variability in the test result of penetration.
3.1.2. Softening Point
Softening point is one of the indicators used to characterize the high temperature performance of asphalt binder. It is the critical temperature which the physical state of asphalt shifts from viscid-plastic to viscous flow. The higher the softening point, the better the high temperature performance of asphalt binder [10]. The softening point of the asphalt binder with different SBS modifier dosages is as shown in Figure 2.
Figure 2.
Softening point of matrix asphalt and SBS modified asphalt.
From Figure 2, for SK70# and SK90# matrix asphalt, the addition of SBS modifier increased the softening point of the asphalt binder. The softening point of SBS modified asphalt with the modifier dosage of 4.5%, 5%, 5.5% and 6% increased 5.7%, 12.8%, 22.5% and 26.4% respectively compared to the SK70# matrix asphalt. The increase was 21.2%, 26.3%, 33.6% and 46.6% respectively, compared to the SK90# matrix asphalt [11]. The single factor variance analysis was conducted with different asphalt binder types and different SBS modifier dosages for softening point of the asphalt binder. The results are as shown in Table 4.
Table 4.
Variance analysis of softening point for SBS modified asphalt.
From Table 4, the SBS modifier had significant influence on the softening point in both SK70# and SK90# matrix asphalt, which meant the addition of SBS modifier could improve the temperature performance of asphalt binder [12]. The F-value of two kinds of asphalt binder in the variance analysis was compared and the results showed that the F-value of SK90# matrix asphalt was bigger than that of SK70# matrix asphalt. Therefore, the improving effects of SBS modifier on the softening point of SK90# matrix asphalt were significantly more than that of SK70# matrix asphalt, which meant the SBS modifier had the better improving effects on fluxed bitumen.
3.1.3. Ductility and Elastic Recovery
Ductility is a test index used to characterize the low temperature performance of asphalt binder. The higher the ductility, the better the low-temperature crack resistance of asphalt binder. The elastic recovery of asphalt binder is a mechanical index, which could reflect the elasticity capacity of asphalt binder from stress to recovery [13]. The elastic recovery index directly reflects the high temperature, low temperature, fatigue and durability performance. The temperature of ductility test was 5 °C, the stretching velocity was 5cm/min, and the temperature of the elastic recovery test was 25 °C. The results of ductility test and elastic recovery test of matrix asphalt and SBS modified asphalt are shown in Figure 3.
Figure 3.
Ductility and elastic recovery result of matrix asphalt and SBS modified asphalt.
From Figure 3, the ductility and elastic recovery of 90# matrix asphalt was higher than that of 70# matrix asphalt. The ductility and elastic recovery of asphalt binder increases with the increase of SBS modifier dosage, which meant the addition of SBS modifier could improve the low temperature performance and elastic recovery performance of asphalt binder [14,15]. The variance analysis for the influence of SBS modifier on the ductility and elastic recovery of asphalt binder is shown in Table 5.
Table 5.
Variance analysis result of ductility and elastic recovery for SBS modified asphalt.
It can be seen that SBS modifier had a significant influence on the ductility and elastic recovery of asphalt binder. For the ductility and elastic recovery of asphalt binder, the F-value of 70# matrix asphalt was bigger than that of 90# matrix asphalt, which meant the effects of SBS modifier on the ductility and elastic recovery of SK70# matrix asphalt was significantly greater than that of SK90# matrix asphalt.
3.2. Test Result of Superpave Method for SBS Modified Asphalt
3.2.1. Dynamic Shear Rheological (DSR) Test
The anti-rutting factor G*/sinδ of SBS modified asphalt was tested to study the anti-rutting performance of SBS modified asphalt at the temperature of 45 °C, 50 °C, 55 °C, 60 °C, 65 °C and 70 °C respectively. The larger the G*/sinδ, the better the high-temperature performance of asphalt, which means the high-temperature rutting resistance is better [16]. The modifier dosages were 4.5%, 5%, 5.5% and 6%, and the matrix asphalt was SK90# asphalt binder. The test results are shown in Figure 4.
Figure 4.
Rutting resistance factor of matrix asphalt and SBS modified asphalt at different temperatures.
From Figure 4, for the matrix asphalt and SBS modified asphalt, the G*/sinδ decreased with the increase of temperature, and the addition of SBS modifier can significantly improve the G*/sinδ of asphalt binder, and enhance the high-temperature rutting resistance of asphalt [17].
The difference analysis of G*/sinδ was conducted in different SBS modifier dosage, and the analysis results are shown in Table 6. The results showed that when the SBS modifier dosages increase from 0% to 5.5%, the high-temperature rutting resistance of SBS-modified asphalt increases continuously, and the difference between each pair of them was significant. When the SBS modifier dosages increased from 5.5% to 6%, there were no obvious difference between each pair of them, which meant the increase of high-temperature rutting resistance of asphalt was not significant when the modifier dosages increased from 5.5% to 6%.
Table 6.
Difference analysis of G*/sin δ at different SBS modifier dosages.
3.2.2. Brookfield Rotary Viscosity Test
Another index to measure the performance of asphalt binder is the viscosity. The smaller the viscosity of asphalt at high temperature, the better the asphalt mixture can be mixed and compacted [18]. Therefore, the SHRP method requires the rotary viscosity at 135 °C shall not exceed 3 Pa.s. The Brookfield rotary viscometer was adopted in this paper to determine the rotational viscosity of SBS modified asphalt. In the test, the rotor speed was 20 rpm/min, the rotor of SBS modified asphalt was 27#, and the mass was 10.5 g, the mass of 90# matrix asphalt sample was 8.5 g using 21# rotor. The test temperature were 135 °C, 140 °C, 150 °C, 160 °C, 170 °C, 177 °C and 190 °C respectively, and the dosages of SBS modifier were 0%, 4.5%, 5%, 5.5% and 6%. The test results are shown in Figure 5.

Figure 5.
Rotary viscosity of asphalt binder.
From Figure 5, the addition of SBS modifier could significantly improve the rotary viscosity of asphalt binder. Compared to the rotary viscosity at 135°C of matrix asphalt, when the SBS modifier dosages were 4.5%, 5%, 5.5% and 6% respectively, the rotary viscosity of asphalt binder increased by 2.42 times, 9.14 times, 16.96 times and 22.31 times respectively. And with the increase of SBS modifier dosage, the rotary viscosity of asphalt binder increased significantly. In general, the viscosity-temperature curve was used to characterize the relations of viscosity and temperature of SBS modified asphalt, as shown in Equation (1) [19].
Which, η is the asphalt viscosity (cPa·s); T is the test temperature; n is the regression coefficient; VTS is represents the temperature sensitivity of asphalt binder.
The viscosity of SBS modified asphalt with different SBS modifier dosage was fitted by Equation (1), and the relations of viscosity and temperature was determined. The results are shown in Table 7.
Table 7.
Fitting result of viscosity-temperature curve for SBS modified asphalt.
From Table 7, the fitting coefficient R2 of viscosity-temperature curve of SBS modified asphalt were all greater than 0.99, which meant that the viscosity-temperature relationship of SBS modified asphalt could be characterized better by Refutas curve. The VTS represent the temperature sensitivity of SBS modified asphalt, and the bigger value of VTS, the more distinct temperature sensitivity [20]. From Table 7, the VTS value decreased with the increase of SBS modifier dosage, which meant that the SBS modifier could significant lower the temperature sensitivity of asphalt binder.
3.2.3. Bending Beam Rheometer (BBR) Test
The bending beam rheometer test (BBR) is used to analyze the stiffness of SBS modified asphalt in SHRP test methods, by which the low temperature performance of SBS modified asphalt could be characterized [21]. The SBS modified asphalt sample is conducted short term aging with RTFOT method first, and then conducted stress aging with pressure aging vessel (PAV).
The test is loaded 240 s at the stress of 100 g (980 mN), and the creep stiffness S(t) at t = 60 s is used as one of the evaluation index of low temperature performance of SBS modified asphalt. The smaller the S(t), the better low temperature performance of SBS modified asphalt. The m value is the other index of BBR test, which characterize the change of S(t) over time. The S(t) value is required less than 300 MPa, and the m value is required more than 0.3 in SHRP method. The test temperature of −12 °C and −18 °C was used in this study, and three parallel-samples were prepared for the test. The test results of S(t) of SK90# matrix asphalt and SBS modified asphalt are shown in Figure 6.
Figure 6.
Creep stiffness S(t) of SK90# matrix asphalt and SBS modified asphalt.
From Figure 6, the S(t) values at −18 °C was bigger than that at −12 °C, and the S(t) values of both decreased with the increase of SBS modifier dosage at the temperature of −12 °C and−18 °C, which meant the low temperature performance of SBS modified asphalt had been improved. To analyze the influence of SBS modifier dosage on S(t), the single factor variance analysis for S(t) at different temperature was conducted. The results are shown in Table 8.
Table 8.
Variance analysis for S(t) of SBS modified asphalt.
Form Table 8, the p-value was both 0.001, which meant the SBS modifier dosage had significant influence on S(t) of asphalt binder. Through the compared of two F-value at −12 °C and −18 °C, the influencing effect of SBS modifier dosage on stiffness S(t) at −18 °C was less than that at −12 °C. Therefore, the improvement effect of SBS modifier dosage on the low temperature performance of asphalt binder reduced with the decrease of the test temperature.
4. Conclusions
In China, many researchers are confronted with two sets of indicators in evaluating SBS-modified asphalt, Chinese test methods and Superpave test methods, which are random in practical application. In order to make the evaluation of SBS-modified asphalt performance more reliable and targeted, this paper evaluates the adaptability of each indicator through the quantitative analysis of laboratory tests. The research results provide theoretical support for unifying the performance evaluation index of SBS-modified asphalt, and provide suitable evaluation index for the selected SBS modifier which is development by a materials company and widely used in Shaanxi province, China. Some conclusions are as follows:
(1) According to the performance evaluation tests conducted in China and other countries, the addition of SBS modifier can significantly improve the high-temperature performance of asphalt, and can also significantly reduce the temperature sensitivity of asphalt. In addition, it increased the viscosity of asphalt at high temperatures, and increased the difficulty of mixing and compaction of the asphalt mixture.
(2) For SK70# and SK90# matrix asphalt, the addition of the SBS modifier can reduce the penetration of asphalt binder in a certain extent, but the effect was not obvious, and the penetration index of asphalt binder had no obvious trends between different modifier contents. In addition, the swelling effect of SBS modified asphalt might lead to great variability of penetration test results, so the penetration test was not recommended to evaluate the performance of SBS modified asphalt.
(3) The addition of SBS modifier can significantly improve the softening point of asphalt binder, and this conclusion was in line with the dynamic shear rheological (DSR) test results in Superpave. Therefore, the softening point can be taken as an evaluation index for the high-temperature performance of SBS modified asphalt. The variance analysis shows the effects of SBS modifier on the softening point of SK90# matrix asphalt were significantly better than that of SK70# matrix asphalt.
(4) SBS modifier can considerable enhance the ductility and elastic recovery of asphalt binder, which was in line with the bending beam rheometer (BBR) test results in Superpave. The analysis of variance showed that the influence of SBS modifier on the ductility and elasticity recovery of 70# asphalt was greater than that of 90# asphalt, and the influence of SBS modifier on stiffness was greater than that of the ductility. Therefore, in the study of the influence of SBS modifier on the low temperature performance of asphalt binder, the effect of BBR test was more obvious than the low temperature ductility test. In addition, the low temperature ductility value of SBS modified asphalt was small. Therefore, the possibility of error was greater during the test. Thus, it was recommended to using the BBR test to evaluate the low-temperature performance of SBS modified asphalt.
Author Contributions
C.Z. and H.W. conceived and designed the experiments; C.Z. performed the experiments; C.Z. and H.W. analyzed the data; H.W. and Z.Y. contributed reagents/materials; C.Z. wrote the paper; J.G. and M.I. reviewed and edited the paper.
Funding
This research was funded by the research project of the National Natural Science Foundation of China (NSFC) (no. 51578075, 51878063), the Open Fund of Key Laboratory of Special Environment Road Engineering of Hunan Province (Changsha University of Science & Technology) (KFJ180503), and the Scientific Research Foundation of Xi’an Aeronautical University (2018KY0212).
Conflicts of Interest
The authors declare no conflict of interest.
References
- Wen, G.; Zhang, Y.; Zhang, Y.; Sun, K.; Fan, Y. Rheological characterization of storage-stable SBS-modified asphalts. Polym. Test. 2002, 21, 295–302. [Google Scholar] [CrossRef]
- Park, T.S.; Cho, H.K. Evaluation of Mechanical Characteristics of SBS Polymer Modified Asphalt Mixtures upon Variation of Filler Contents. Neurochem. Res. 2002, 33, 1979–1989. [Google Scholar]
- Zhao, X.; Wang, S.; Wang, Q.; Yao, H. Rheological and structural evolution of SBS modified asphalts under natural weathering. Fuel 2016, 184, 242–247. [Google Scholar] [CrossRef]
- Khodaii, A.; Mehrara, A. Evaluation of permanent deformation of unmodified and SBS modified asphalt mixtures using dynamic creep test. Constr. Build. Mater. 2009, 23, 2586–2592. [Google Scholar] [CrossRef]
- Forough, S.A. Investigating the effects of loading frequency and temperature on moisture sensitivity of SBS-modified asphalt mixtures. J. Mater. Civ. Eng. 2014, 26, 897–903. [Google Scholar]
- Huang, W.; Tang, N. Characterizing SBS modified asphalt with sulfur using multiple stress creep recovery test. Constr. Build. Mater. 2015, 93, 514–521. [Google Scholar] [CrossRef]
- Wang, Y.; Sun, L.; Zhou, J. Pavement performance evaluation of recycled styrene–butadiene–styrene-modified asphalt mixture. Int. J. Pavement Eng. 2017, 18, 404–413. [Google Scholar] [CrossRef]
- Fu, H.; Xie, L.; Dou, D.; Li, L.; Yu, M.; Yao, S. Storage stability and compatibility of asphalt binder modified by SBS graft copolymer. Constr. Build. Mater. 2007, 21, 1528–1533. [Google Scholar] [CrossRef]
- Zhao, Y.L.; Fan, G.U.; Huang, X.M. Analysis on SBS Modified Asphalt Aging Characterization Based on Fourier Transform Infrared Spectroscopy. J. Build. Mater. 2011, 14, 620–623. [Google Scholar]
- Becker, M.Y.; Müller, A.J.; Rodriguez, Y. Use of rheological compatibility criteria to study SBS modified asphalts. J. Appl. Polym. Sci. 2003, 90, 1772–1782. [Google Scholar]
- Kim, T.W.; Baek, J.; Lee, H.J.; Choi, J.Y. Fatigue performance evaluation of SBS modified mastic asphalt mixtures. Constr. Build. Mater. 2013, 48, 908–916. [Google Scholar] [CrossRef]
- Zhang, R.; Wang, H.; Gao, J.; Yang, X.; You, Z. Comprehensive performance evaluation and cost analysis of SBS-modified bioasphalt binders and mixtures. J. Mater. Civil. Eng. 2017, 29, 04017232. [Google Scholar] [CrossRef]
- Gao, J.; Wang, H.; You, Z.; Mohd Hasan, M.; Lei, Y.; Irfan, M. Rheological behavior and sensitivity of wood-derived bio-oil modified asphalt binders. Appl. Sci. 2018, 8, 919. [Google Scholar] [CrossRef]
- Morrison, G.R.; Lee, J.K.; Hesp, S.A. Chlorinated polyolefins for asphalt binder modification. J. Appl. Polym. Sci. 2010, 54, 231–240. [Google Scholar] [CrossRef]
- Jasso, M.; Bakos, D.; Stastna, J.; Zanzotto, L. Conventional asphalt modified by physical mixtures of linear SBS and montmorillonite. Appl. Clay Sci. 2012, 70, 37–44. [Google Scholar] [CrossRef]
- Background, A.; Objective, B.; Materials, C. Understanding The Performance of Modified Asphalt Binders in Mixtures: High-Temperature Characterization; Federal Highway Administration: Washington, DC, USA, 2002.
- Galooyak, S.S.; Dabir, B.; Nazarbeygi, A.E.; Moeini, A. Rheological properties and storage stability of bitumen/SBS/montmorillonite composites. Constr. Build. Mater. 2010, 24, 300–307. [Google Scholar] [CrossRef]
- Zhang, L.; Greenfield, M.L. Relaxation time, diffusion, and viscosity analysis of model asphalt systems using molecular simulation. J. Chem. Phys. 2007, 127, 194502. [Google Scholar] [CrossRef] [PubMed]
- Ji, X.P.; Zheng, N.X.; Yang, D.Q.; Hou, Y.Q. Research on Mixing Temperature of Hot-recycled Asphalt Mixture Based on Composite Curve of Viscosity-temperature. China J. Highw. Transp. 2010, 23, 16–21. [Google Scholar]
- Zhang, R.; Wang, H.; Gao, J.; You, Z.; Yang, X. High temperature performance of SBS modified bio-asphalt. Constr. Build. Mater. 2017, 144, 99–105. [Google Scholar] [CrossRef]
- Ma, T.; Huang, X.; Zhao, Y.; Yuan, H. Aging Behaviour and Mechanism of SBS-Modified Asphalt. J. Test. Eval. 2012, 40, 1186–1191. [Google Scholar] [CrossRef]
© 2019 by the authors. Licensee MDPI, Basel, Switzerland. This article is an open access article distributed under the terms and conditions of the Creative Commons Attribution (CC BY) license (http://creativecommons.org/licenses/by/4.0/).