Study on Mechanism of Series-Flow of Pollutants between Consecutive Tunnels by Numerical Simulation
Abstract
1. Introduction
2. Mathematical Model
2.1. Governing Equations
2.2. Computational Geometry, Domain, and Grid
2.3. Boundary Conditions and Numerical Algorithm
2.4. Validation
3. Results and Discussions
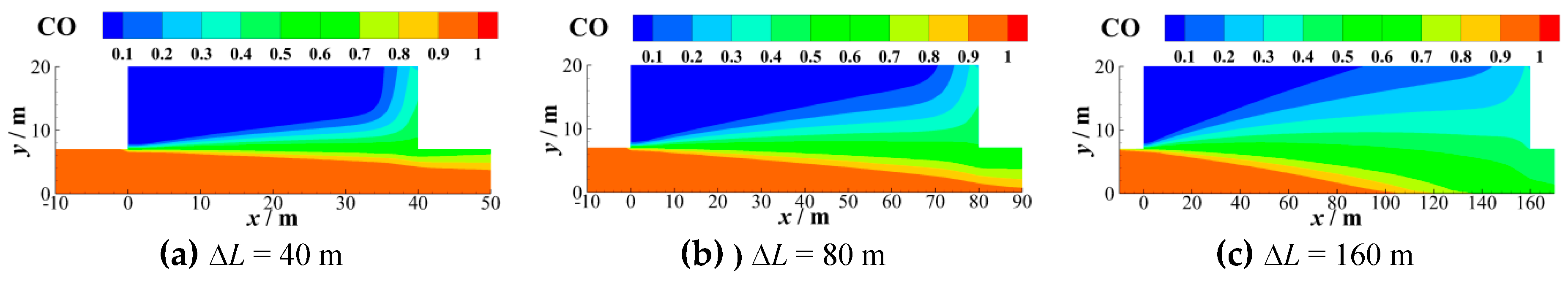
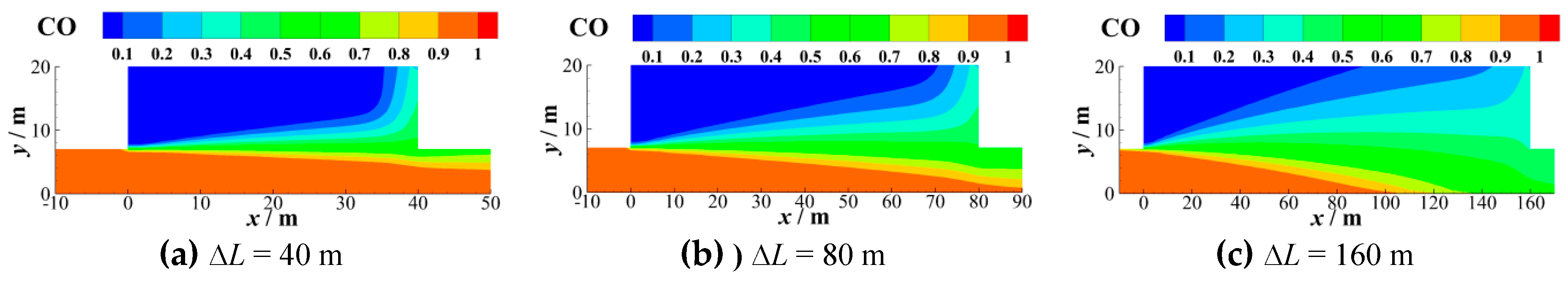
3.1. Flow Characteristic
3.2. Variation Characteristics of the Series-Flow Ratio
3.3. Construction of Series-Flow Ratio Model
3.4. Validation
4. Conclusions
Author Contributions
Funding
Conflicts of Interest
References
- Sun, L.W.; Qin, J.S.; Hong, Y.; Wang, L.Z.; Zhao, C.J.; Qin, X. Shield tunnel segment and circumferential joint performance under surface surcharge. J. Zhejiang Univ. 2017, 51, 1509–1518. [Google Scholar] [CrossRef]
- Du, T.; Yang, D.; Peng, S.; Xiao, Y. A method for design of smoke control of urban traffic link tunnel (UTLT) using longitudinal ventilation. Tunn. Undergr. Space Technol. 2015, 48, 35–42. [Google Scholar] [CrossRef]
- Li, J.; Liu, S.; Li, Y.; Chen, C.; Liu, X. Experimental study of smoke spread in titled urban traffic tunnels fires. Procedia Eng. 2012, 45, 690–694. [Google Scholar] [CrossRef][Green Version]
- Bari, S.; Naser, J. Simulation of smoke from a burning vehicle and pollution levels caused by traffic jam in a road tunnel. Tunn. Undergr. Space Technol. 2005, 20, 281–290. [Google Scholar] [CrossRef]
- Bari, S.; Naser, J. Simulation of airflow and pollution levels caused by severe traffic jam in a road tunnel. Tunn. Undergr. Space Technol. 2010, 25, 70–77. [Google Scholar] [CrossRef]
- Raaschou-nielsen, O.; Andersen, Z.J.; Jensen, S.S.; Ketzel, M.; Sorensen, M.; Hansen, J.; Loft, S.; Tjonne, A.; Overvad, K. Traffic air pollution and mortality from cardiovascular disease and all causes: A Danish cohort study. Environ. Health 2012, 11, 60. [Google Scholar] [CrossRef] [PubMed]
- Hoek, G.; Krishnan, R.M.; Beelen, R.; Peters, A.; Ostro, B.; Brunekreef, B.; Kaufman, J.D. Long-term air pollution exposure and cardio-respiratory mortality. Environ. Health 2016, 12, 43. [Google Scholar] [CrossRef] [PubMed]
- Wang, F.; Wang, M.; He, S.; Deng, Y. Computational study of effects of traffic force on the ventilation in highway curved tunnels. Tunn. Undergr. Space Technol. 2011, 26, 481–489. [Google Scholar] [CrossRef]
- Maele, K.V.; Merci, B. Application of RANS and LES field simulations to predict the critical ventilation velocity in longitudinally ventilated horizontal tunnels. Fire Safe. J. 2008, 43, 598–609. [Google Scholar] [CrossRef]
- Lee, H.C.; Yang, C.C. Scale model experiment for the ventilated air interference at intermittent tunnels. In Proceedings of the International Conference, Tunnel Safety and Ventilation, Graz, Austria, 8–10 April 2004; pp. 171–178. [Google Scholar]
- Venås, B.; Johansson, K.; Børresen, B.A.; Pedersen, N. LES analysis of dispersion from road tunnel portals. In Proceedings of the The Sixth International Symposium on Computational Wind Engineering (CWE2014), Hamburg, Germany, 8–12 June 2014. [Google Scholar]
- Zhang, X.; Zhang, T.H.; Zhu, K.; Huang, Z.Y.; Wu, K. Numerical research on the mixture mechanism of polluted and fresh air at the staggered tunnel portals. Appl. Sci. 2018, 8, 1365. [Google Scholar] [CrossRef]
- Tan, X.; Chen, W.; Dai, Y.; Wu, G.; Yang, J.; Jia, S.; Yu, H.; Li, F. Experimental research on the mixture mechanism of polluted and fresh air at the portal of small-space road tunnels. Tunn. Undergr. Space Technol. 2015, 50, 118–128. [Google Scholar] [CrossRef]
- Chen, W.; Guo, X.; Cao, C.; Dai, Y.; Wu, G.; Tan, X.; Yang, J.; Jia, S.; Yu, H.; Li, F. Research on interrelationship of exhaust air of highway forked tunnel and countermeasures. Chin. J. Rock Mech. Eng. 2008, 27, 1137–1147. [Google Scholar] [CrossRef]
- Yang, Y.; He, C.; Zeng, Y. Numerical simulation for the pollution effect between portals of twin highway tunnels. Mod. Tunn. Technol. 2009, 46, 94–98. [Google Scholar] [CrossRef]
- Xiao, Y.M.; Pan, X.H.; Zhang, J.P. Model test system design of channeling effects of air pollutants in continuous road tunnels. China J. Highw. Transp. 2015, 28, 90–97. [Google Scholar]
- Xu, P.; Jiang, S.P.; Lin, Z.; Chen, J.Z. Theoretical research on crossflow pollution in short distance and continuous road tunnels. In Proceedings of the 2012 IEEE International Conference on Industrial Engineering and Engineering Management, Hong Kong, China, 10–13 December 2012. [Google Scholar] [CrossRef]
- Tao, Y.; Dong, J.; Pan, X.; Xiao, Y.; Tu, J. Investigation of the channelling effect on pollutants dispersion between adjacent roadway tunnels. Int. J. Environ. Sci. Technol. 2017, 14, 2733–2744. [Google Scholar] [CrossRef]
- Wang, S.F. Research on the classification of highway tunnel and the concept of highway tunnel group. Highway 2009, 2, 10–14. [Google Scholar]
- An, X.; Song, B.; Tian, W.; Ma, C. Design and CFD simulations of a vortex-induced piezoelectric energy converter (VIPEC) for underwater environment. Energies 2018, 11, 330. [Google Scholar] [CrossRef]
- Tabatabaian, M. CFD module: Turbulent flow modeling. Mercury Learn. Inform. 2015, 43. [Google Scholar]
- Hong, S.W.; Exadaktylos, V.; Lee, I.B.; Amon, T.; Youssef, A.; Norton, T.; Berckmans, D. Validation of an open source CFD code to simulate natural ventilation for agricultural buildings. Comput. Electron. Agric. 2017, 13, 80–91. [Google Scholar] [CrossRef]
- Agelin-Chaab, M.; Tachie, M.F. Characteristics of turbulent three-dimensional wall jets. J. Fluids Eng. 2011, 133, 21201. [Google Scholar] [CrossRef]
- Lu, Y.Q. Heating and Ventilation Design Manual; China Building Industry Press: Peking, China, 1987; pp. 649–651. [Google Scholar]












| No. | Upstream/downstream tunnel length L (m) | Cross-Sectional Area A (m2) | D (m) | ∆L (m) | ∆L/D |
|---|---|---|---|---|---|
| #1 | 4823/4230 | 50.0 | 7.1 | 42 | 5.9 |
| #2 | 4052/3850 | 86.9 | 9.5 | 120 | 12.6 |
© 2019 by the authors. Licensee MDPI, Basel, Switzerland. This article is an open access article distributed under the terms and conditions of the Creative Commons Attribution (CC BY) license (http://creativecommons.org/licenses/by/4.0/).
Share and Cite
Zhang, H.; Hou, Y.; Wu, K.; Zhang, T.; Wu, K.; Zhang, X. Study on Mechanism of Series-Flow of Pollutants between Consecutive Tunnels by Numerical Simulation. Appl. Sci. 2019, 9, 4125. https://doi.org/10.3390/app9194125
Zhang H, Hou Y, Wu K, Zhang T, Wu K, Zhang X. Study on Mechanism of Series-Flow of Pollutants between Consecutive Tunnels by Numerical Simulation. Applied Sciences. 2019; 9(19):4125. https://doi.org/10.3390/app9194125
Chicago/Turabian StyleZhang, Honghu, Yunge Hou, Kaijie Wu, Tianhang Zhang, Ke Wu, and Xin Zhang. 2019. "Study on Mechanism of Series-Flow of Pollutants between Consecutive Tunnels by Numerical Simulation" Applied Sciences 9, no. 19: 4125. https://doi.org/10.3390/app9194125
APA StyleZhang, H., Hou, Y., Wu, K., Zhang, T., Wu, K., & Zhang, X. (2019). Study on Mechanism of Series-Flow of Pollutants between Consecutive Tunnels by Numerical Simulation. Applied Sciences, 9(19), 4125. https://doi.org/10.3390/app9194125

