Attoclock Ptychography
Abstract
1. Introduction
2. Theory
2.1. XFEL Pulses
2.2. Electron Streaking
2.3. The Extended Time-Domain Ptychography Algorithm
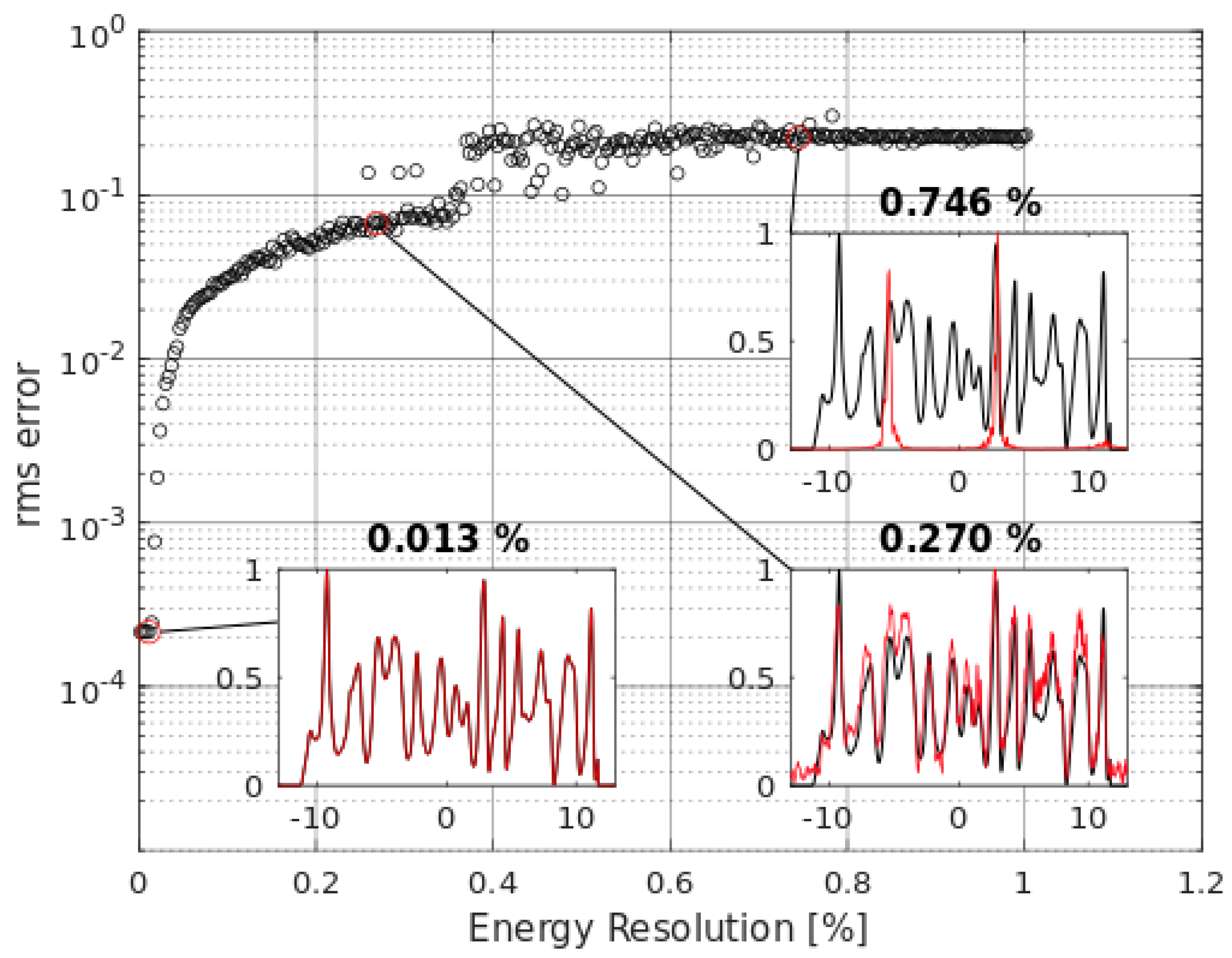
3. Simulations
4. Summary and Outlook
Author Contributions
Funding
Acknowledgments
Conflicts of Interest
References
- Hoppe, W. Beugung im inhomogenen Primärstrahlwellenfeld. I. Prinzip einer Phasenmessung von Elektronenbeugungsinterferenzen. Acta Crystallogr. Sect. A 1969, 25, 495–501. [Google Scholar] [CrossRef]
- Spangenberg, D.; Neethling, P.; Rohwer, E.; Brügmann, M.H.; Feurer, T. Time-domain ptychography. Phys. Rev. A 2015, 91, 021803. [Google Scholar] [CrossRef]
- Spangenberg, D.; Rohwer, E.; Brügmann, M.H.; Feurer, T. Ptychographic ultrafast pulse reconstruction. Opt. Lett. 2015, 40, 1002–1005. [Google Scholar] [CrossRef] [PubMed]
- Lucchini, M.; Brügmann, M.H.; Ludwig, A.; Gallmann, L.; Keller, U.; Feurer, T. Ptychographic reconstruction of attosecond pulses. Opt. Express 2015, 23, 29502–29513. [Google Scholar] [CrossRef] [PubMed]
- Spangenberg, D.-M.; Brügmann, M.; Rohwer, E.; Feurer, T. All-optical implementation of a time-domain ptychographic pulse reconstruction setup. Appl. Opt. 2016, 55, 5008–5013. [Google Scholar] [CrossRef] [PubMed]
- Heidt, A.M.; Spangenberg, D.-M.; Brügmann, M.; Rohwer, E.G.; Feurer, T. Improved retrieval of complex supercontinuum pulses from xfrog traces using a ptychographic algorithm. Opt. Lett. 2016, 41, 4903–4906. [Google Scholar] [CrossRef] [PubMed]
- Grguras, I.; Maier, A.R.; Behrens, C.; Mazza, T.; Kelly, T.J.; Radcliffe, P.; Düsterer, S.; Kazansky, A.K.; Kabachnik, N.M.; Tschentscher, T.; et al. Ultrafast X-ray pulse characterization at free-electron lasers. Nat. Photonics 2012, 6, 852–857. [Google Scholar] [CrossRef]
- Eckle, P.; Smolarski, M.; Schlup, P.; Biegert, J.; Staudte, A.; Schöffler, M.; Muller, H.G.; Dörner, R.; Keller, U. Attosecond angular streaking. Nat. Phys. 2008, 4, 565–570. [Google Scholar] [CrossRef]
- Hartmann, N.; Hartmann, G.; Heider, R.; Wagner, M.S.; Ilchen, M.; Buck, J.; Lindahl, A.O.; Benko, C.; Grünert, J.; Krzywinski, J.; et al. Attosecond time–energy structure of X-ray free-electron laser pulses. Nat. Photonics 2018, 6, 852–857. [Google Scholar] [CrossRef]
- Huang, S.; Ding, Y.; Feng, Y.; Hemsing, E.; Huang, Z.; Krzywinski, J.; Lutman, A.A.; Marinelli, A.; Maxwell, T.J.; Zhu, D. Generating single-spike hard X-ray pulses with nonlinear bunch compression in free-electron lasers. Phys. Rev. Lett. 2017, 119, 154801. [Google Scholar] [CrossRef] [PubMed]
- Helml, W.; Maier, A.R.; Schweinberger, W.; Grguraš, I.; Radcliffe, P.; Doumy, G.; Roedig, C.; Gagnon, J.; Messerschmidt, M.; Schorb, S.; et al. Measuring the temporal structure of few-femtosecond free-electron laser X-ray pulses directly in the time domain. Nat. Photonics 2014, 8, 950–957. [Google Scholar] [CrossRef]
- Düsterer, S.; Radcliffe, P.; Bostedt, C.; Bozek, J.; Cavalieri, A.L.; Coffee, R.; Costello, J.T.; Cubaynes, D.; DiMauro, L.F.; et al. Femtosecond X-ray pulse length characterization at the linac coherent light source free-electron laser. New J. Phys. 2011, 13, 093024. [Google Scholar] [CrossRef]
- Gallmann, L.; Cirelli, C.; Keller, U. Attosecond science: Recent highlights and future trends. Ann. Rev. Phys. Chem. 2012, 63, 447–469. [Google Scholar] [CrossRef] [PubMed]
- Quéré, F.; Mairesse, Y.; Itatani, J. Temporal characterization of attosecond XUV fields. J. Mod. Opt. 2005, 52, 339–360. [Google Scholar] [CrossRef]
- Thibault, P.; Dierolf, M.; Bunk, O.; Menzel, A.; Pfeiffer, F. Probe retrieval in ptychographic coherent diffractive imaging. Ultramicroscopy 2009, 109, 338–343. [Google Scholar] [CrossRef] [PubMed]
- Maiden, A.M.; Rodenburg, J.M. An improved ptychographical phase retrieval algorithm for diffractive imaging. Ultramicroscopy 2009, 109, 1256–1262. [Google Scholar] [CrossRef] [PubMed]
- Boge, R.; Heuser, S.; Sabbar, M.; Lucchini, M.; Gallmann, L.; Cirelli, C.; Keller, U. Revealing the time-dependent polarization of ultrashort pulses with sub-cycle resolution. Opt. Express 2014, 22, 26967–26975. [Google Scholar] [CrossRef] [PubMed]






© 2018 by the authors. Licensee MDPI, Basel, Switzerland. This article is an open access article distributed under the terms and conditions of the Creative Commons Attribution (CC BY) license (http://creativecommons.org/licenses/by/4.0/).
Share and Cite
Schweizer, T.; Brügmann, M.H.; Helml, W.; Hartmann, N.; Coffee, R.; Feurer, T. Attoclock Ptychography. Appl. Sci. 2018, 8, 1039. https://doi.org/10.3390/app8071039
Schweizer T, Brügmann MH, Helml W, Hartmann N, Coffee R, Feurer T. Attoclock Ptychography. Applied Sciences. 2018; 8(7):1039. https://doi.org/10.3390/app8071039
Chicago/Turabian StyleSchweizer, Tobias, Michael H. Brügmann, Wolfram Helml, Nick Hartmann, Ryan Coffee, and Thomas Feurer. 2018. "Attoclock Ptychography" Applied Sciences 8, no. 7: 1039. https://doi.org/10.3390/app8071039
APA StyleSchweizer, T., Brügmann, M. H., Helml, W., Hartmann, N., Coffee, R., & Feurer, T. (2018). Attoclock Ptychography. Applied Sciences, 8(7), 1039. https://doi.org/10.3390/app8071039
