Fault-Tolerant Control Strategy of a Wind Energy Conversion System Considering Multiple Fault Reconstruction
Abstract
:1. Introduction
2. Mathematical Modeling of WECS Based on DFIG
3. Sensor Fault Conversion
4. Design and Reconstruction of Sliding Mode Fault Observer (SMFRO)
4.1. Design of Robust Adaptive Sliding Mode Fault Observer
4.2. Robust Multiple Fault Reconstruction
5. Design and Reconstruction of Sliding Mode Fault Observer (SMFRO)
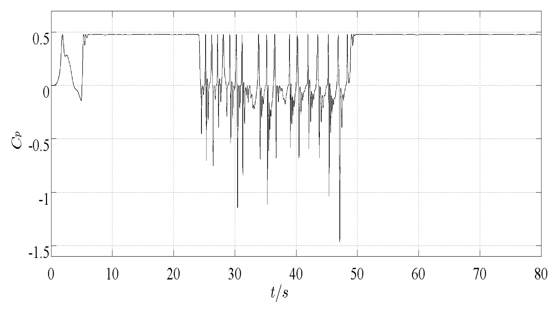
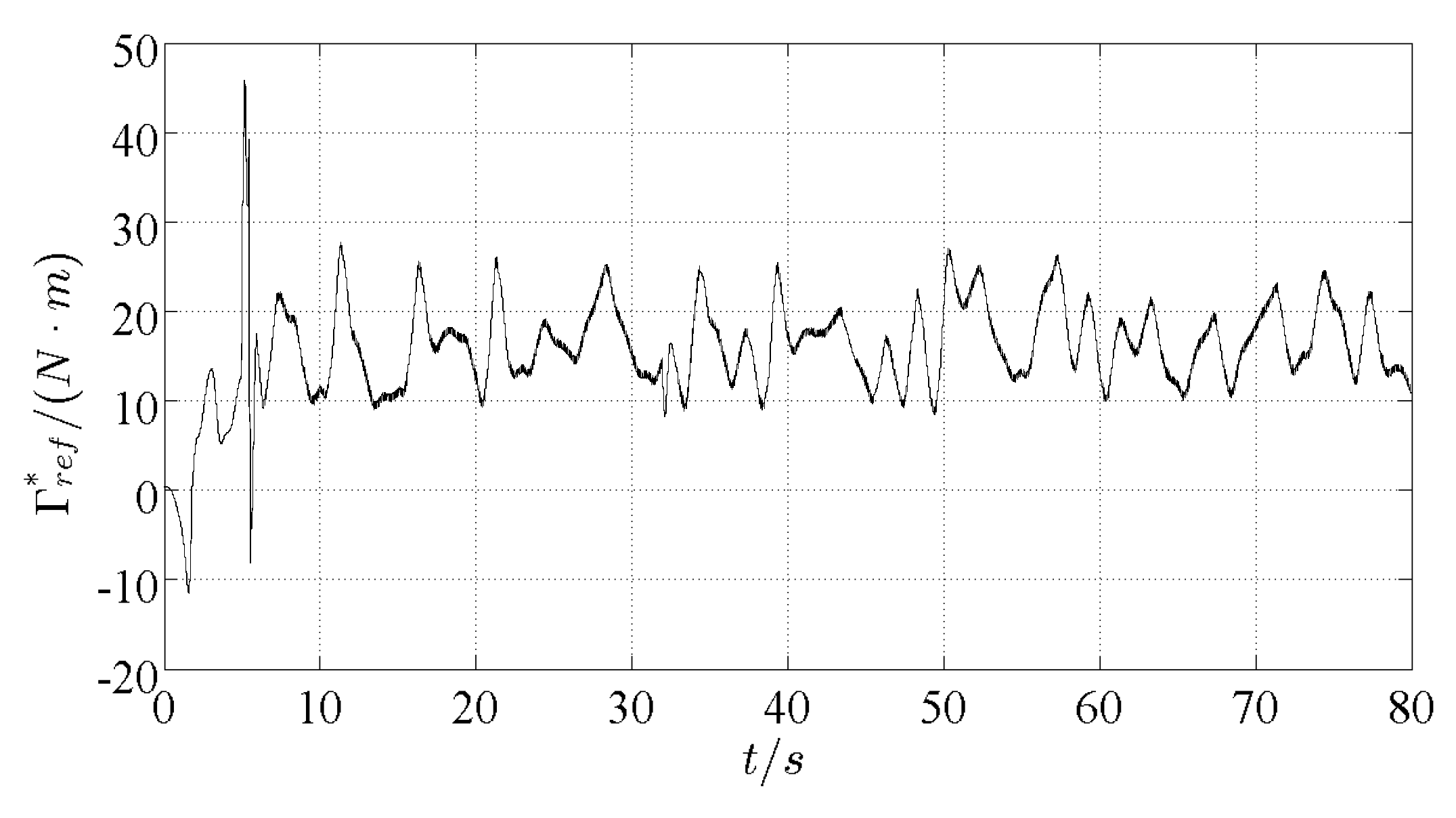
6. Experiments and Results
7. Conclusions
Author Contributions
Acknowledgments
Conflicts of Interest
References
- Xu, J.; Li, L.; Zheng, B. Wind energy generation technological paradigm diffusion. Renew. Sustain. Energy Rev. 2016, 59, 436–449. [Google Scholar] [CrossRef]
- Sun, X.; Huang, D. An Explosive Growth of Wind Power in China. Int. J. Green Energy 2014, 11, 849–860. [Google Scholar] [CrossRef]
- Kamal, E.; Aitouche, A.; Ghorbani, R.; Bayart, M. Fuzzy Scheduler Fault-Tolerant Control for Wind Energy Conversion Systems. IEEE Trans. Control Syst. Technol. 2013, 22, 119–131. [Google Scholar] [CrossRef]
- Shi, F.; Patton, R. An active fault tolerant control approach to an offshore wind turbine model. Renew. Energy 2015, 75, 788–798. [Google Scholar] [CrossRef]
- Aouaouda, S.; Chadli, M.; Boukhnifer, M.; Karimi, H.R. Robust fault tolerant tracking controller design for vehicle dynamics: A descriptor approach. Mechatronics 2015, 30, 316–326. [Google Scholar] [CrossRef]
- Hu, C.; Jing, H.; Wang, R.; Yan, F.; Chadli, M. Robust H∞ output-feedback control for path following of autonomous ground vehicles. Mech. Syst. Signal Process. 2016, 70, 414–427. [Google Scholar] [CrossRef]
- Wu, Z.Q.; Yang, Y.; Xu, C.H. Adaptive fault diagnosis and active tolerant control for wind energy conversion system. Int. J. Control Autom. Syst. 2015, 13, 120–125. [Google Scholar] [CrossRef]
- Saberi, A.; Salmasi, F.R.; Najafabadi, T.A. Sensor fault-tolerant control of wind turbine systems. In Proceedings of the 5th Conference on Thermal Power Plants (CTPP), Tehran, Iran, 10–11 June 2014; pp. 40–45. [Google Scholar]
- Takagi, T.; Sugeno, M. Fuzzy identification of systems and its applications to modeling and control. Read. Fuzzy Sets Intell. Syst. 1993, 15, 387–403. [Google Scholar]
- Youssef, T.; Chadli, M.; Karimi, H.R.; Wang, R. Actuator and sensor faults estimation based on proportional integral observer for T-S fuzzy model. J. Frankl. Inst. 2016, 354, 2524–2542. [Google Scholar] [CrossRef]
- Badihi, H.; Zhang, Y.; Hong, H. Wind Turbine Fault Diagnosis and Fault-Tolerant Torque Load Control Against Actuator Faults. IEEE Trans. Control Syst. Technol. 2015, 23, 1351–1372. [Google Scholar] [CrossRef]
- Beddek, K.; Merabet, A.; Kesraoui, M.; Tanvir, A.A.; Beguenane, R. Signal-Based Sensor Fault Detection and Isolation for PMSG in Wind Energy Conversion Systems. IEEE Tran. Instrum. Meas. 2017, 66. [Google Scholar] [CrossRef]
- Shtessel, Y.; Edwards, C.; Fridman, L.; Levant, A. Sliding Mode Control and Observation; Birkhäuser: New York, NY, USA, 2014. [Google Scholar]
- Zhao, P.; Shi, Y.; Huang, J. Proportional-integral based fuzzy sliding mode control of the milling head. Control Eng. Pract. 2016, 53, 1–13. [Google Scholar] [CrossRef]
- Jia, Z.; Yu, J.; Mei, Y.; Chen, Y.; Shen, Y.; Ai, X. Integral Backstepping Sliding Mode Control for Quadrotor Helicopter under External Uncertain Disturbances. Aerosp. Sci. Technol. 2017, 68, 299–307. [Google Scholar] [CrossRef]
- Morshed, M.J.; Fekih, A. A comparison study between two sliding mode based controls for voltage sag mitigation in grid connected wind turbines. In Proceedings of the IEEE Conference on Control Applications (CCA), Sydney, Australia, 21–23 September 2015; pp. 1913–1918. [Google Scholar]
- Morshed, M.J.; Fekih, A. Design of a second order Sliding Mode approach for DFIG-based wind energy systems. In Proceedings of the American Control Conference, Seattle, WA, USA, 24–26 May 2017; pp. 729–734. [Google Scholar]
- Chiu, C.S. Derivative and integral terminal sliding mode control for a class of MIMO nonlinear systems. Automatica 2012, 48, 316–326. [Google Scholar] [CrossRef]
- Sellami, T.; Berriri, H.; Jelassi, S.; Darcherif, A.M.; Mimouni, M.F. Sliding Mode Observers-based Fault Detection and Isolation for Wind Turbine-driven Induction Generator. Int. J. Power Electron. Drive Syst. 2017, 8, 1345–1358. [Google Scholar] [CrossRef]
- Sowmmiya, U.; Govindarajan, U. Control and power transfer operation of WRIG-based WECS in a hybrid AC/DC microgrid. IET Renew. Power Gener. 2018, 12, 359–373. [Google Scholar] [CrossRef]
- Hosseinzadeh, M.; Salmasi, F.R. Analysis and detection of a wind system failure in a micro-grid. J. Renew. Sustain. Energy 2016, 8, 043302. [Google Scholar] [CrossRef]
- Kamal, E.; Aitouche, A.; Bayart, M. Fault Tolerant Control of Wind Energy Conversion Systems Subject to Sensor Faults. In Sustainability in Energy and Buildings; Springer: Berlin/Heidelberg, Germany, 2012; pp. 231–241. [Google Scholar]
- Hosseinzadeh, M.; Salmasi, F.R. Fault-Tolerant Supervisory Controller for a Hybrid AC/DC Micro-Grid. IEEE Trans. Smart Grid 2016, 99. [Google Scholar] [CrossRef]
- Fekih, A.; Hmida, J.B.; Morshed, M.J. A feedback linearization control scheme for maximum power generation in wind energy systems. In Proceedings of the 24th Mediterranean Conference on Control and Automation, Athens, Greece, 21–24 June 2016; pp. 275–279. [Google Scholar]
- Sanchez, A.G.; Molina, M.G.; Lede, A.M.R. Dynamic model of wind energy conversion systems with PMSG-based variable-speed wind turbines for power system studies. Int. J. Hydrog. Energy 2012, 37, 10064–10069. [Google Scholar] [CrossRef]
- Kaloi, G.S.; Wang, J.; Baloch, M.H. Dynamic Modeling and Control of DFIG for Wind Energy Conversion System Using Feedback Linearization. J. Electr. Eng. Technol. 2016, 11, 1137–1146. [Google Scholar] [CrossRef]
- Munteanu, I.; Cutululis, N.A.; Bratcu, A.I.; Ceanga, E. Optimal Control of Wind Energy Systems; Springer: London, UK, 2008. [Google Scholar]
- Esbensen, T.; Sloth, C. Fault Diagnosis and Fault-Tolerant Control of Wind Turbines; Aalborg University: Aalborg, Denmark, 2008; pp. 9–23. [Google Scholar]
- Munteanu, I.; Bacha, S.; Bratcu, A.I.; Guiraud, J.; Roye, D. Energy-Reliability Optimization of Wind Energy Conversion Systems by Sliding Mode Control. IEEE Trans. Energy Convers. 2008, 23, 975–985. [Google Scholar] [CrossRef]
- Brahim, A.B.; Dhahri, S.; Hmida, F.B.; Sellami, A. Robust and simultaneous reconstruction of actuator and sensor faults via sliding mode observer. In Proceedings of the International Conference on Electrical Engineering and Software Applications, Hammamet, Tunisia, 21–23 March 2013; pp. 1–6. [Google Scholar]
- Tan, C.P.; Edwards, C. Sliding mode observers for robust detection and reconstruction of actuator and sensor faults. Int. J. Robust Nonlinear Control 2003, 13, 443–463. [Google Scholar] [CrossRef]
- Edwards, C. On the development of discontinuous observers. Int. J. Control 1994, 59, 1211–1229. [Google Scholar] [CrossRef]
- Edwards, C.; Patton, R.J.; Spurgeon, S.K. Sliding mode observers for fault detection and isolation. Automatica 2000, 36, 541–553. [Google Scholar] [CrossRef]











| Parameter Symbols | Parameter Names | Parameter Values |
|---|---|---|
| Rated voltage | ||
| Rated speed | ||
| Rated electromagnetic torque | ||
| Air density | ||
| Transmission efficiency | ||
| Transmission speed ratio | ||
| Blade length | ||
| Moment of inertia of high speed axis | ||
| Moment of inertia of low speed axis | ||
| Electromagnetic time constant |
© 2018 by the authors. Licensee MDPI, Basel, Switzerland. This article is an open access article distributed under the terms and conditions of the Creative Commons Attribution (CC BY) license (http://creativecommons.org/licenses/by/4.0/).
Share and Cite
Wang, X.; Shen, Y. Fault-Tolerant Control Strategy of a Wind Energy Conversion System Considering Multiple Fault Reconstruction. Appl. Sci. 2018, 8, 794. https://doi.org/10.3390/app8050794
Wang X, Shen Y. Fault-Tolerant Control Strategy of a Wind Energy Conversion System Considering Multiple Fault Reconstruction. Applied Sciences. 2018; 8(5):794. https://doi.org/10.3390/app8050794
Chicago/Turabian StyleWang, Xu, and Yanxia Shen. 2018. "Fault-Tolerant Control Strategy of a Wind Energy Conversion System Considering Multiple Fault Reconstruction" Applied Sciences 8, no. 5: 794. https://doi.org/10.3390/app8050794
APA StyleWang, X., & Shen, Y. (2018). Fault-Tolerant Control Strategy of a Wind Energy Conversion System Considering Multiple Fault Reconstruction. Applied Sciences, 8(5), 794. https://doi.org/10.3390/app8050794
