Stability and Dynamics of Dark-Bright Soliton Bound States Away from the Integrable Limit
Abstract
:1. Introduction
2. Setup and Prior Background
2.1. Model and Theoretical Considerations
2.2. Interactions of Symbiotic Matter Waves beyond the Integrable Limit
2.3. Numerical Methods
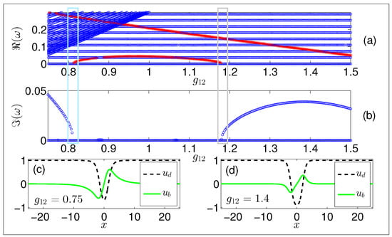
3. Numerical Results
4. Discussion
5. Conclusions
Acknowledgments
Author Contributions
Conflicts of Interest
References
- Kevrekidis, P.G.; Frantzeskakis, D.J. Solitons in coupled nonlinear Schrödinger models: A survey of recent developments. Rev. Phys. 2016, 1, 140–153. [Google Scholar] [CrossRef]
 - Kevrekidis, P.G.; Frantzeskakis, D.J.; Carretero-González, R. Emergent Nonlinear Phenomena in Bose–Einstein Condensates: Theory and Experiment; Springer: Heidelberg, Germany, 2008. [Google Scholar]
 - Carretero-González, R.; Kevrekidis, P.G.; Frantzeskakis, D.J. Nonlinear waves in Bose–Einstein condensates: Physical relevance and mathematical techniques. Nonlinearity 2008, 21, R139–R202. [Google Scholar] [CrossRef]
 - Abdullaev, F.K.; Gammal, A.; Kamtchatnov, A.M.; Tomio, L. Dynamics of matter wave bright solitons in a Bose–Einstein condensate. Int. J. Mod. Phys. B 2005, 19, 3415–3473. [Google Scholar] [CrossRef]
 - Weller, A.; Ronzheimer, J.P.; Gross, C.; Esteve, J.; Oberthaler, M.K.; Frantzeskakis, D.J.; Theocharis, G.; Kevrekidis, P.G. Experimental Observation of Oscillating and Interacting Matter Wave Dark Solitons. Phys. Rev. Lett. 2008, 101, 130401-1–130401-4. [Google Scholar] [CrossRef] [PubMed]
 - Theocharis, G.; Weller, A.; Ronzheimer, J.P.; Gross, C.; Oberthaler, M.K.; Kevrekidis, P.G.; Frantzeskakis, D.J. Multiple atomic dark solitons in cigar-shaped Bose–Einstein condensates. Phys. Rev. A 2010, 81, 063604-1–063604-15. [Google Scholar] [CrossRef]
 - Frantzeskakis, D.J. Dark solitons in atomic Bose–Einstein condensates: From theory to experiments. J. Phys. A 2010, 43, 213001-1–213001-68. [Google Scholar] [CrossRef]
 - Sakaguchi, H.; Malomed, B.A. Matter-wave solitons in nonlinear optical lattices. Phys. Rev. E 2005, 72, 046610. [Google Scholar] [CrossRef] [PubMed]
 - Borovkova, O.V.; Kartashov, Y.V.; Torner, L.; Malomed, B.A. Bright solitons from defocusing nonlinearities. Phys. Rev. E 2011, 84, 035602(R)-1–035602(R)-5. [Google Scholar] [CrossRef] [PubMed]
 - Burger, S.; Bongs, K.; Dettmer, S.; Ertmer, W.; Sengstock, K.; Sanpera, A.; Shlyapnikov, G.V.; Lewenstein, M. Dark Solitons in Bose–Einstein Condensates. Phys. Rev. Lett. 1999, 83, 5198–5201. [Google Scholar] [CrossRef]
 - Denschlag, J.; Simsarian, J.E.; Feder, D.L.; Clark, C.W.; Collins, L.A.; Cubizolles, J.; Deng, L.; Hagley, E.W.; Helmerson, K.; Reinhardt, W.P.; et al. Generating Solitons by Phase Engineering of a Bose–Einstein Condensate. Science 2000, 287, 97–101. [Google Scholar] [CrossRef] [PubMed]
 - Anderson, B.P.; Haljan, P.C.; Regal, C.A.; Feder, D.L.; Collins, L.A.; Clark, C.W.; Cornell, E.A. Watching Dark Solitons Decay into Vortex Rings in a Bose–Einstein Condensate. Phys. Rev. Lett. 2001, 86, 2926–2929. [Google Scholar] [CrossRef] [PubMed]
 - Khaykovich, L.; Schreck, F.; Ferrari, G.; Bourdel, T.; Cubizolles, J.; Carr, L.D.; Castin, Y.; Salomon, C. Formation of a Matter-Wave Bright Soliton. Science 2002, 296, 1290–1293. [Google Scholar] [CrossRef] [PubMed]
 - Strecker, K.E.; Partridge, G.B.; Truscott, A.G.; Hulet, R.G. Formation and propagation of matter-wave soliton trains. Nature 2002, 417, 150–153. [Google Scholar] [CrossRef] [PubMed]
 - Myatt, J.C.; Burt, E.A.; Ghrist, R.W.; Cornell, E.A.; Wieman, C.E. Production of Two Overlapping Bose–Einstein Condensates by Sympathetic Cooling. Phys. Rev. Lett. 1997, 78, 586–589. [Google Scholar] [CrossRef]
 - Hall, D.S.; Matthews, M.R.; Ensher, J.R.; Wieman, C.E.; Cornell, E.A. Dynamics of Component Separation in a Binary Mixture of Bose–Einstein Condensates. Phys. Rev. Lett. 1998, 81, 1539–1542. [Google Scholar] [CrossRef]
 - Stamper-Kurn, D.M.; Andrews, M.R.; Chikkatur, A.P.; Inouye, S.; Miesner, H.-J.; Stenger, J.; Ketterle, W. Optical Confinement of a Bose–Einstein Condensate. Phys. Rev. Lett. 1998, 80, 2027–2030. [Google Scholar] [CrossRef]
 - Nistazakis, H.E.; Frantzeskakis, D.J.; Kevrekidis, P.G.; Malomed, B.A.; Carretero-González, R. Bright-dark soliton complexes in spinor Bose–Einstein condensates. Phys. Rev. A 2008, 77, 033612-1–033612-12. [Google Scholar] [CrossRef]
 - Yan, D.; Chang, J.J.; Hamner, C.; Hoefer, M.; Kevrekidis, P.G.; Engels, P.; Achilleos, V.; Frantzeskakis, D.J.; Cuevas, J. Beating dark-dark solitons in Bose–Einstein condensates. J. Phys. B At. Mol. Opt. Phys. 2012, 45, 115301-1–115301-11. [Google Scholar] [CrossRef]
 - Achilleos, V.; Yan, D.; Kevrekidis, P.G.; Frantzeskakis, D.J. Dark-bright solitons in Bose–Einstein condensates at finite temperatures. New J. Phys. 2012, 14, 055006-1–055006-23. [Google Scholar] [CrossRef]
 - Pérez-García, V.M.; Beitia, J.B. Symbiotic Solitons in Heteronuclear Multicomponent Bose–Einstein condensates. Phys. Rev. A 2005, 72, 033620-1–033620-5. [Google Scholar] [CrossRef]
 - Majed, O.; Alotaibi, D; Carr, L.D. Dynamics of Vector Solitons in Bose–Einstein Condensates. arXiv, 2016; arXiv:1607.00108v2. [Google Scholar]
 - Chen, Z.; Segev, M.; Coskun, T.H.; Christodoulides, D.N.; Kivshar, Y.S. Coupled photorefractive spatial-soliton pairs. J. Opt. Soc. Am. B 1997, 14, 3066–3077. [Google Scholar] [CrossRef]
 - Ostrovskaya, E.A.; Kivshar, Y.S.; Chen, Z.; Segev, M. Interaction between vector solitons and solitonic gluons. Opt. Lett. 1999, 24, 327–329. [Google Scholar] [CrossRef] [PubMed]
 - Kivshar, Y.S.; Agrawal, G.P. Optical Solitons: From Fibers to Photonic Crystals; Academic Press: San Diego, CA, USA, 2003. [Google Scholar]
 - Christodoulides, D.N. Black and white vector solitons in weakly birefringent optical fibers. Phys. Lett. A 1988, 132, 451–452. [Google Scholar] [CrossRef]
 - Afanasjev, V.V.; Kivshar, Y.S.; Konotop, V.V.; Serkin, V.N. Dynamics of coupled dark and bright optical solitons. Opt. Lett. 1989, 14, 805–807. [Google Scholar] [CrossRef]
 - Kivshar, Y.S.; Turitsyn, S.K. Vector dark solitons. Opt. Lett. 1993, 18, 337–339. [Google Scholar] [CrossRef] [PubMed]
 - Radhakrishnan, R.; Lakshmanan, M. Bright and dark soliton solutions to coupled nonlinear Schrödinger equations. J. Phys. A Math. Gen. 1995, 28, 2683–2692. [Google Scholar] [CrossRef]
 - Buryak, A.V.; Kivshar, Y.S.; Parker, D.F. Coupling between dark and bright solitons. Phys. Lett. A 1996, 215, 57–62. [Google Scholar] [CrossRef]
 - Sheppard, A.P.; Kivshar, Y.S. Polarized dark solitons in isotropic Kerr media. Phys. Rev. E 1997, 55, 4773–4782. [Google Scholar] [CrossRef]
 - Park, Q.H.; Shin, H.J. Systematic construction of multicomponent optical solitons. Phys. Rev. E 2000, 61, 3093–3106. [Google Scholar] [CrossRef]
 - Becker, C.; Stellmer, S.; Soltan-Panahi, P.; Dörscher, S.; Baumert, M.; Richter, E.-M.; Kronjäger, J.; Bongs, K.; Sengstock, K. Oscillations and interactions of dark and dark-bright solitons in Bose–Einstein condensates. Nat. Phys. 2008, 4, 496–501. [Google Scholar] [CrossRef]
 - Busch, T.; Anglin, J.R. Dark-Bright Solitons in Inhomogeneous Bose–Einstein Condensates. Phys. Rev. Lett. 2001, 87, 010401-1–010401-4. [Google Scholar] [CrossRef] [PubMed]
 - Hamner, C.J.; Chang, J.; Engels, P.; Hoefer, M.A. Generation of Dark-Bright Soliton Trains in Superfluid-Superfluid Counterflow. Phys. Rev. Lett. 2011, 106, 065302-1–065302-4. [Google Scholar] [CrossRef] [PubMed]
 - Middelkamp, S.; Chang, J.J.; Hamner, C.; Carretero-González, R.; Kevrekidis, P.G.; Achilleos, V.; Frantzeskakis, D.J.; Schmelcher, P.; Engels, P. Dynamics of dark-bright solitons in cigar-shaped Bose–Einstein condensates. Phys. Lett. A 2011, 375, 642–646. [Google Scholar] [CrossRef]
 - Yan, D.; Chang, J.J.; Hamner, C.; Kevrekidis, P.G.; Engels, P.; Achilleos, V.; Frantzeskakis, D.J.; Carretero-González, R.; Schmelcher, P. Multiple dark-bright solitons in atomic Bose–Einstein condensates. Phys. Rev. A 2011, 84, 053630-1–053630-10. [Google Scholar] [CrossRef]
 - Álvarez, A.; Cuevas, J.; Romero, F.R.; Hamner, C.; Chang, J.J.; Engels, P.; Kevrekidis, P.G.; Frantzeskakis, D.J. Scattering of atomic dark-bright solitons from narrow impurities. J. Phys. B 2013, 46, 065302-1–065302-11. [Google Scholar] [CrossRef]
 - Inouye, S.; Andrews, M.R.; Stenger, J.; Miesner, H.-J.; Stamper-Kurn, D.M.; Ketterle, W. Observation of Feshbach resonances in a Bose–Einstein condensate. Nature 1998, 392, 151–154. [Google Scholar] [CrossRef]
 - Roberts, J.L.; Claussen, N.R.; Burke, J.P., Jr.; Greene, C.H.; Cornell, E.A.; Wieman, C.E. Resonant Magnetic Field Control of Elastic Scattering in Cold 85Rb. Phys. Rev. Lett. 1998, 81, 5109–5112. [Google Scholar] [CrossRef]
 - Donley, E.A.; Claussen, N.R.; Cornish, S.L.; Roberts, J.L.; Cornell, E.A.; Wieman, C.E. Dynamics of collapsing and exploding Bose–Einstein condensates. Nature 2001, 412, 295–299. [Google Scholar] [CrossRef] [PubMed]
 - Thalhammer, G.; Barontini, G.; de Sarlo, L.; Catani, J.; Minardi, F.; Inguscio, M. Double Species Bose–Einstein condensate with Tunable Interspecies Interactions. Phys. Rev. Lett. 2008, 100, 210402-1–210402-4. [Google Scholar] [CrossRef] [PubMed]
 - Papp, S.B.; Pino, J.M.; Wieman, C.E. Tunable Miscibility in a Dual-Species Bose–Einstein condensate. Phys. Rev. Lett. 2008, 101, 040402-1–040402-4. [Google Scholar] [CrossRef] [PubMed]
 - Chin, C.; Grimm, R.; Julienne, P.; Tiesinga, E. Feshbach resonances in ultracold gases. Rev. Mod. Phys. 2010, 82, 1225–1286. [Google Scholar]
 - Nguyen, J.H.V.; Dyke, P.; Luo, D.; Malomed, B.A.; Hulet, R.G. Collisions of matter-wave solitons. Nat. Phys. 2014, 10, 918–922. [Google Scholar]
 - Manakov, S.V. On the theory of two-dimensional stationary self-focusing of electromagnetic waves. Sov. Phys. JETP 1974, 38, 248–253. [Google Scholar]
 - Gerdzhikov, V.S.; Kulish, P.P. Multicomponent nonlinear Schrödinger equation in the case of nonzero boundary conditions. J. Sov. Math. 1983, 85, 2261–2269. [Google Scholar]
 - Prinari, B.; Ablowitz, M.J.; Biondini, G. Inverse scattering transform for the vector nonlinear Schrödinger equation with nonvanishing boundary conditions. J. Math. Phys. 2006, 47, 063508-1–063508-33. [Google Scholar] [CrossRef]
 - Yan, D.; Tsitoura, F.; Kevrekidis, P.G.; Frantzeskakis, D.J. Dark-bright solitons and their lattices in atomic Bose–Einstein condensates. Phys. Rev. A 2015, 91, 023619-1–023619-12. [Google Scholar] [CrossRef]
 - Katsimiga, G.C.; Stockhofe, J.; Kevrekidis, P.G.; Schmelcher, P. Dark-bright soliton interactions beyond the integrable limit. Phys. Rev. A 2017, 95, 013621-1–013621-11. [Google Scholar]
 - Pitaevskii, L.P.; Stringari, S. Bose–Einstein Condensation; Oxford University Press: Oxford, UK, 2003. [Google Scholar]
 - Kevrekidis, P.G.; Frantzeskakis, D.J.; Carretero-González, R. The Defocusing Nonlinear Schrödinger Equation; SIAM: Philadelphia, PA, USA, 2015. [Google Scholar]
 - Mertes, K.M.; Merrill, J.W.; Carretero-González, R.; Frantzeskakis, D.J.; Kevrekidis, P.G.; Hall, D.S. Non-Equilibrium Dynamics and Superfluid Ring Excitations in Binary Bose–Einstein Condensates. Phys. Rev. Lett. 2007, 99, 190402-1–190402-4. [Google Scholar] [CrossRef] [PubMed]
 - Egorov, M.; Opanchuk, B.; Drummond, P.; Hall, B.V.; Hannaford, P.; Sidorov, A.I. Measurement of s-wave scattering lengths in a two-component Bose–Einstein condensate. Phys. Rev. A 2013, 87, 053614-1–053614-10. [Google Scholar] [CrossRef]
 - Kelley, C.T. Solving Nonlinear Equations with Newton’s Method; Society for Industrial and Applied Mathematics: Philadelphia, PA, USA, 1995. [Google Scholar]
 - Ao, P.; Chui, S.T. Binary Bose–Einstein condensate mixtures in weakly and strongly segregated phases. Phys. Rev. A 1998, 58, 4836–4840. [Google Scholar]
 - Skryabin, D.V. Instabilities of vortices in a binary mixture of trapped Bose–Einstein condensates: Role of collective excitations with positive and negative energies. Phys. Rev. A 2000, 63, 013602-1–013602-10. [Google Scholar] [CrossRef]
 - Karamatskos, E.T.; Stockhofe, J.; Kevrekidis, P.G.; Schmelcher, P. Stability and tunneling dynamics of a dark-bright soliton pair in a harmonic trap. Phys. Rev. A 2015, 91, 043637-1–043637-10. [Google Scholar] [CrossRef]
 - Garrett, D.; Klotz, T.; Prinari, B.; Vitale, F. Dark-dark and dark-bright soliton interactions in the two-component defocusing nonlinear Schrödinger equation. Appl. Anal. 2013, 92, 379–397. [Google Scholar]
 






© 2017 by the authors. Licensee MDPI, Basel, Switzerland. This article is an open access article distributed under the terms and conditions of the Creative Commons Attribution (CC BY) license (http://creativecommons.org/licenses/by/4.0/).
Share and Cite
Katsimiga, G.C.; Stockhofe, J.; Kevrekidis, P.G.; Schmelcher, P. Stability and Dynamics of Dark-Bright Soliton Bound States Away from the Integrable Limit. Appl. Sci. 2017, 7, 388. https://doi.org/10.3390/app7040388
Katsimiga GC, Stockhofe J, Kevrekidis PG, Schmelcher P. Stability and Dynamics of Dark-Bright Soliton Bound States Away from the Integrable Limit. Applied Sciences. 2017; 7(4):388. https://doi.org/10.3390/app7040388
Chicago/Turabian StyleKatsimiga, Garyfallia C., Jan Stockhofe, Panagiotis G. Kevrekidis, and Peter Schmelcher. 2017. "Stability and Dynamics of Dark-Bright Soliton Bound States Away from the Integrable Limit" Applied Sciences 7, no. 4: 388. https://doi.org/10.3390/app7040388
APA StyleKatsimiga, G. C., Stockhofe, J., Kevrekidis, P. G., & Schmelcher, P. (2017). Stability and Dynamics of Dark-Bright Soliton Bound States Away from the Integrable Limit. Applied Sciences, 7(4), 388. https://doi.org/10.3390/app7040388
        
                                                