Measurement of Heat Flow Transmitted through a Stacked-Screen Regenerator of Thermoacoustic Engine
Abstract
:1. Introduction
2. Axial Heat Flow Estimated by Empirical Equations
3. Experiments
4. Results and Discussion
4.1. Regular Flow Channel Regenerator
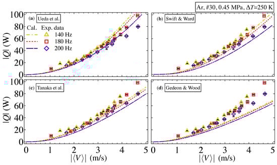
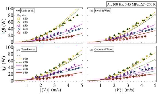
4.2. Stacked-Screen Regenerator
4.3. Discussion
5. Conclusions
Acknowledgments
Author Contributions
Conflicts of Interest
References
- Backhaus, S.; Swift, G.W. A thermoacoustic Stirling heat engine. Nature 1999, 399, 335–338. [Google Scholar] [CrossRef]
- Tong, L.S.; London, A.L. Heat-transfer and flow-friction characteristics of woven-screen and cross-rod matrices. Trans. ASME 1957, 10, 1558–1570. [Google Scholar]
- Tanaka, M.; Yamashita, I.; Chisaka, F. Flow and heat transfer characteristics of the Stirling engine regenerator in an oscillating flow. JSME Int. J. 1990, 33, 283–289. [Google Scholar] [CrossRef]
- Gedeon, D.; Wood, J.G. Oscillating-Flow Regenerator Test Rig: Hardware and Theory With Derived Correlations for Screens and Felts; NASA Contractor Report 198442; NASA-Lewis Research Center: Cleveland, OH, USA, 1996. [Google Scholar]
- Isshiki, S.; Sakano, A.; Ushiyama, I.; Isshiki, N. Studies on flow resistance and heat transfer of regenerator wire meshes of Stirling engine in oscillatory flow. JSME Int. J. Ser. B 1997, 40, 281–289. [Google Scholar] [CrossRef]
- Zhao, T.S.; Cheng, P. Oscillatory heat transfer in a pipe subjected to a laminar reciprocating Flow. Int. J. Heat Mass Transf. 2005, 48, 2473–2482. [Google Scholar] [CrossRef]
- Costa, S.C.; Tutar, M.; Barreno, I.; Esnaola, J.A.; Barrutia, H.; García, D.; González, M.A.; Prieto, J.I. Experimental and numerical flow investigation of Stirling engine regenerator. Energy 2014, 72, 800–812. [Google Scholar] [CrossRef]
- Wheatley, J.; Hofler, T.; Swift, G.W.; Migliori, A. An intrinsically irreversible thermoacoustic heat engine. J. Acoust. Soc. Am. 1983, 74, 153–170. [Google Scholar] [CrossRef]
- Tijani, M.E.H.; Spoelstra, S. A high performance thermoacoustic engine. J. Appl. Phys. 2011, 110, 093519. [Google Scholar] [CrossRef]
- Wu, Z.; Man, M.; Luo, E.; Dai, W.; Zhou, Y. Experimental investigation of a 500 W traveling-wave thermoacoustic electricity generator. Chin. Sci. Bull. 2011, 56, 1975–1977. [Google Scholar] [CrossRef]
- Yu, Z.; Jaworski, A.J.; Backhaus, S. Travelling-wave thermoacoustic electricity generator using an ultra-compliant alternator for utilization of low-grade thermal energy. Appl. Energy 2012, 99, 135–145. [Google Scholar] [CrossRef]
- Smoker, J.; Nouh, M.; Aldraihem, O.; Baz, A. Energy harvesting from a standing wave thermoacoustic-piezoelectric resonator. J. Appl. Phys. 2012, 111, 104901. [Google Scholar] [CrossRef]
- Wang, K.; Sun, D.; Zhang, J.; Xu, Y.; Luo, K.; Zhang, N.; Zou, J.; Qiu, L. An acoustically matched traveling-wave thermoacoustic generator achieving 750 W electric power. Energy 2016, 103, 313–321. [Google Scholar] [CrossRef]
- Flitcroft, M.; Symko, O.G. Ultrasonic thermoacoustic energy converter. Ultrasonics 2013, 53, 672–676. [Google Scholar] [CrossRef] [PubMed]
- Obayashi, A.; Hsu, S.H.; Biwa, T. Amplitude dependence of thermoacoustic properties of stacked wire meshes. J. Cryog. Soc. Jpn. 2012, 47, 562–567. (In Japanese) [Google Scholar] [CrossRef] [Green Version]
- Hsu, S.H.; Biwa, T. Modeling of a stacked-screen regenerator in an oscillatory flow. Jpn. J. Appl. Phys. 2016, 56, 017301. [Google Scholar] [CrossRef]
- Swift, G.W. Thermoacoustics: A Unifying Perspective for Some Engines and Refrigerators. J. Acoust. Soc. Am. 2002. [Google Scholar] [CrossRef]
- Tominaga, A. Fundamental Thermoacoustics; Uchida Rokakuho Publishing Co.: Tokyo, Japan, 1998; Chapter 7. (In Japanese) [Google Scholar]
- Tominaga, A. Thermodynamic aspects of thermoacoustic theory. Cryogenics 1995, 35, 427–440. [Google Scholar] [CrossRef]
- Ueda, Y.; Kato, T.; Kato, C. Experimental evaluation of the acoustic properties of stacked-screen regenerators. J. Acoust. Soc. Am. 2009, 125, 780–786. [Google Scholar] [CrossRef]
- Hasegawa, S.; Ashigaki, Y.; Senga, M. Thermal diffusion effect of a regenerator with complex flow channels. Appl. Therm. Eng. 2016, 104, 237–242. [Google Scholar] [CrossRef]
- Swift, G.W.; Ward, W.C. Simple harmonic analysis of regenerators. J. Therm. Heat Transf. 1996, 10, 652–662. [Google Scholar] [CrossRef]
- Kays, W.M.; London, A.L. Compact Heat Exchangers; McGraw-Hill: New York, NY, USA, 1964. [Google Scholar]
- Ward, B.; Clark, J.; Swift, G.W. Design Environment for Low-Amplitude ThermoAcoustic Energy Conversion (DeltaEC) User’s Guide (Version 6.3); Los Alamos National Laboratory: Los Alamos, NM, USA, 2012. [Google Scholar]
- Gedeon, D. Sage User’s Guide (v11 Edition); Gedeon Associates: Athens, OH, USA, 2016. [Google Scholar]
- Fusco, A.; Ward, W.; Swift, G.W. Two-sensor power measurements in lossy ducts. J. Acoust. Soc. Am. 1992, 91, 2229–2235. [Google Scholar] [CrossRef] [PubMed]
- Biwa, T.; Tashiro, Y.; Nomura, H.; Ueda, Y.; Yazaki, T. Experimental verification of a two-sensor acoustic intensity measurement in lossy ducts. J. Acoust. Soc. Am. 2008, 124, 1584–1590. [Google Scholar] [CrossRef] [PubMed]
- Wilson, D.K.; McIntosh, J.D.; Lamber, R.F. Forchhemer-type nonlinearities for high-intensity propagation of pure tones in air-saturated porous media. J. Acoust. Soc. Am. 1988, 84, 350–359. [Google Scholar] [CrossRef]
- McIntosh, J.D.; Zuroski, M.T.; Lambert, R.F. Standing wave apparatus for measuring fundamental properties of acoustic materials in air. J. Acoust. Soc. Am. 1990, 88, 1929–1938. [Google Scholar] [CrossRef]
- McIntosh, J.D.; Zuroski, M.T. Nonlinear wave propagation through rigid porous materials. I: Nonlinear parameterization and numerical solutions. J. Acoust. Soc. Am. 1990, 88, 1939–1949. [Google Scholar] [CrossRef]
- Roh, H.; Raspet, R.; Bass, H.E. Parallel capillary-tube-based extension of thermoacoustic theory for random porous media. J. Acoust. Soc. Am. 2007, 121, 1413–1422. [Google Scholar] [CrossRef] [PubMed]
- Zwikker, C.; Kosten, C.W. Sound Absorbing Materials; Elsevier: Amsterdam, The Netherlands, 1949; Chapter 2. [Google Scholar]
- Petculescu, A.; Wilen, L.A. Lumped-element technique for the measurement of complex density. J. Acoust. Soc. Am. 2001, 110, 1950–1957. [Google Scholar] [CrossRef] [PubMed]







| Stacked-Screen Regenerator | |||
| Mesh Number | Wire Diameter (mm) | Hydraulic Diameter (mm) | Volume Porosity |
| #20 | 0.2 | 1.30 | 0.87 |
| #30 | 0.22 | 0.80 | 0.78 |
| #50 | 0.14 | 0.47 | 0.77 |
| #60 | 0.12 | 0.40 | 0.77 |
| #80 | 0.12 | 0.28 | 0.70 |
| Ceramic Honeycomb Catalyst | |||
| Cell Number | Hydraulic Diameter (mm) | Volume Porosity | |
| 1200 | 0.68 | 0.89 | |
© 2017 by the authors. Licensee MDPI, Basel, Switzerland. This article is an open access article distributed under the terms and conditions of the Creative Commons Attribution (CC BY) license ( http://creativecommons.org/licenses/by/4.0/).
Share and Cite
Hsu, S.H.; Biwa, T. Measurement of Heat Flow Transmitted through a Stacked-Screen Regenerator of Thermoacoustic Engine. Appl. Sci. 2017, 7, 303. https://doi.org/10.3390/app7030303
Hsu SH, Biwa T. Measurement of Heat Flow Transmitted through a Stacked-Screen Regenerator of Thermoacoustic Engine. Applied Sciences. 2017; 7(3):303. https://doi.org/10.3390/app7030303
Chicago/Turabian StyleHsu, Shu Han, and Tetsushi Biwa. 2017. "Measurement of Heat Flow Transmitted through a Stacked-Screen Regenerator of Thermoacoustic Engine" Applied Sciences 7, no. 3: 303. https://doi.org/10.3390/app7030303
APA StyleHsu, S. H., & Biwa, T. (2017). Measurement of Heat Flow Transmitted through a Stacked-Screen Regenerator of Thermoacoustic Engine. Applied Sciences, 7(3), 303. https://doi.org/10.3390/app7030303
