Thin Film Williamson Nanofluid Flow with Varying Viscosity and Thermal Conductivity on a Time-Dependent Stretching Sheet
Abstract
:1. Introduction
2. Materials and Methods
Solution by HAM
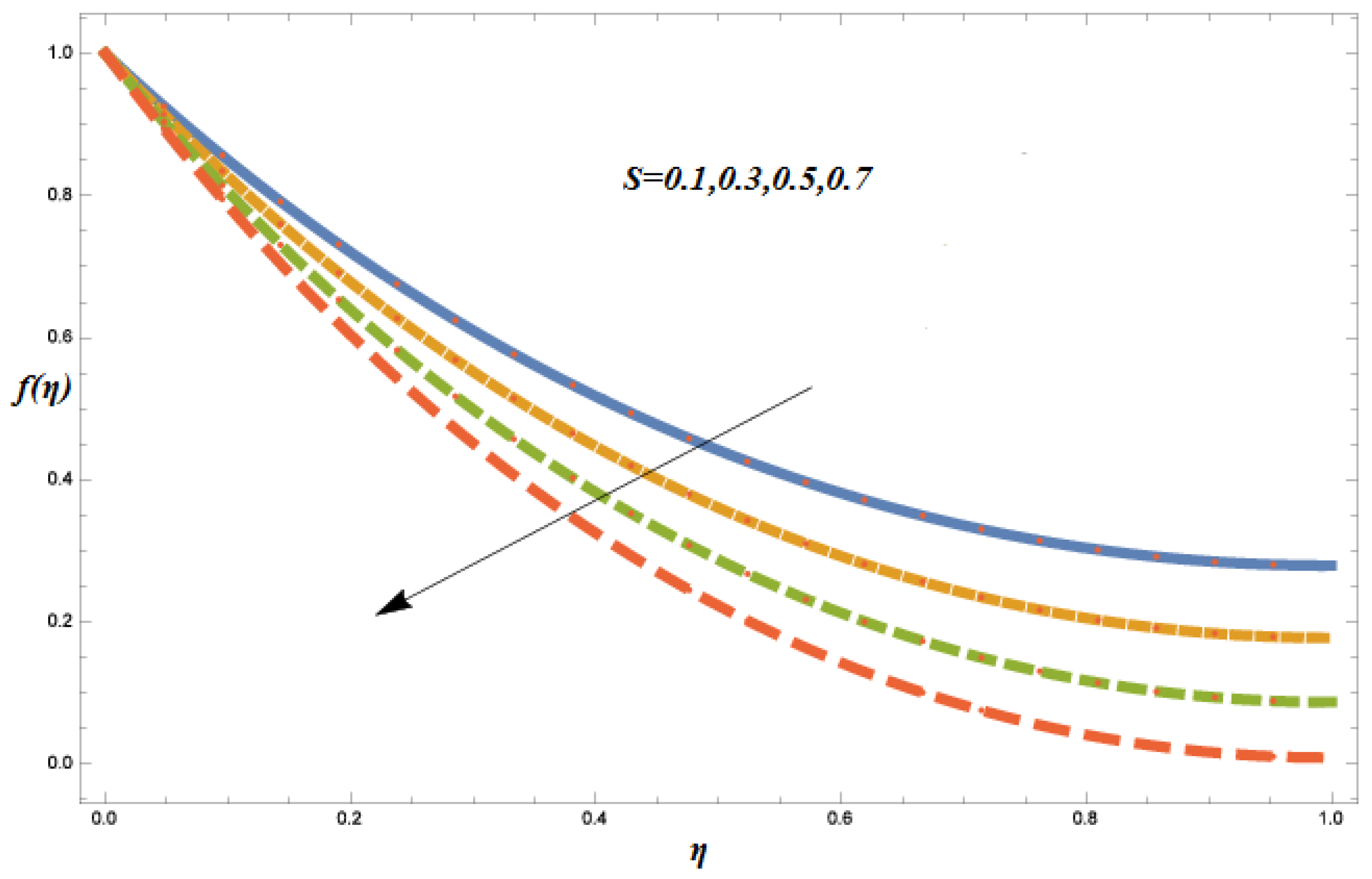
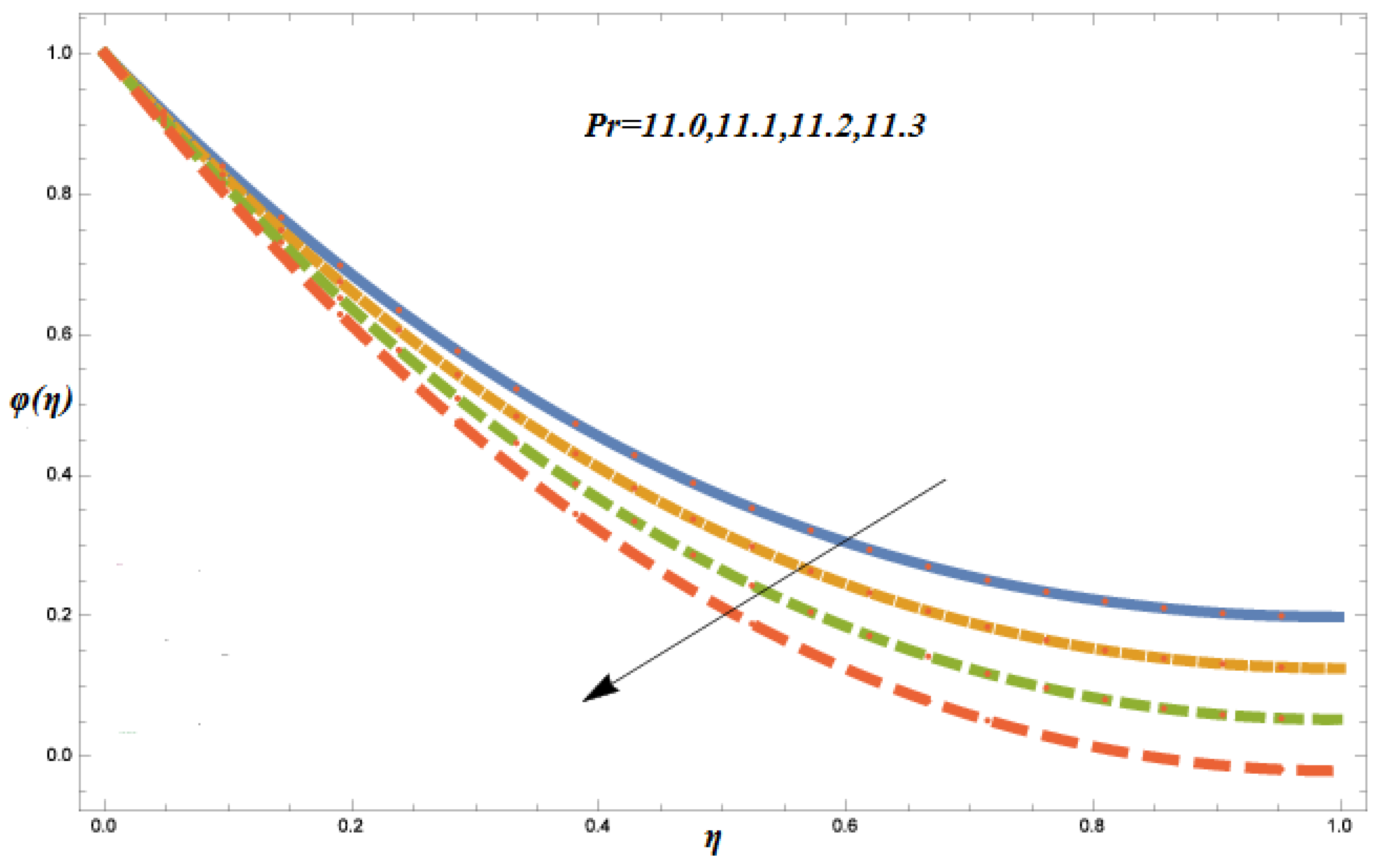
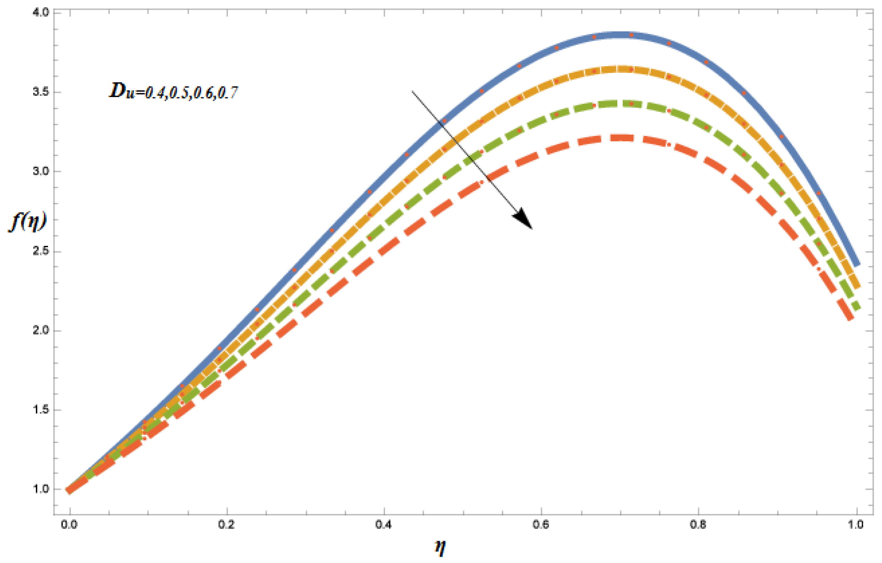
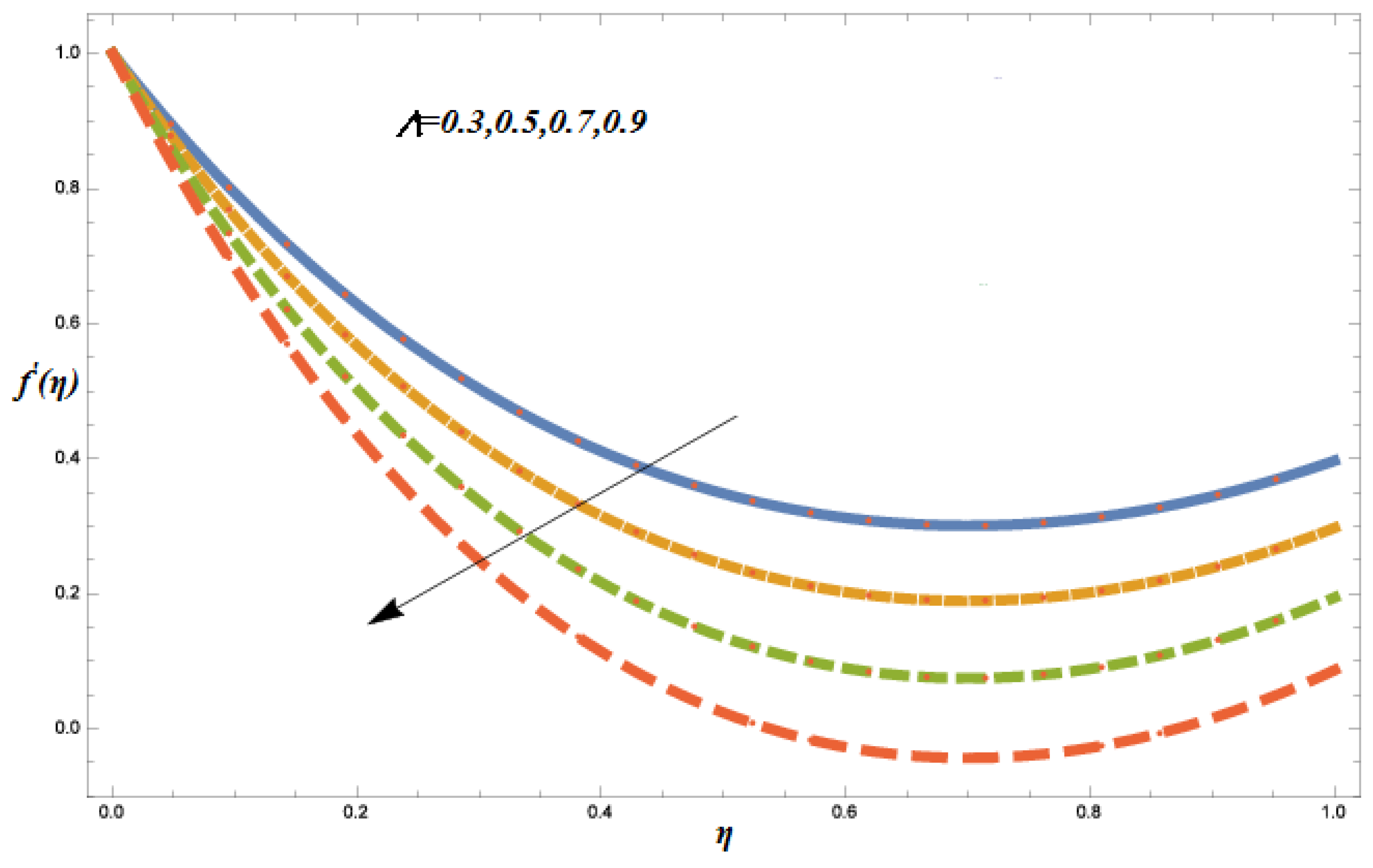
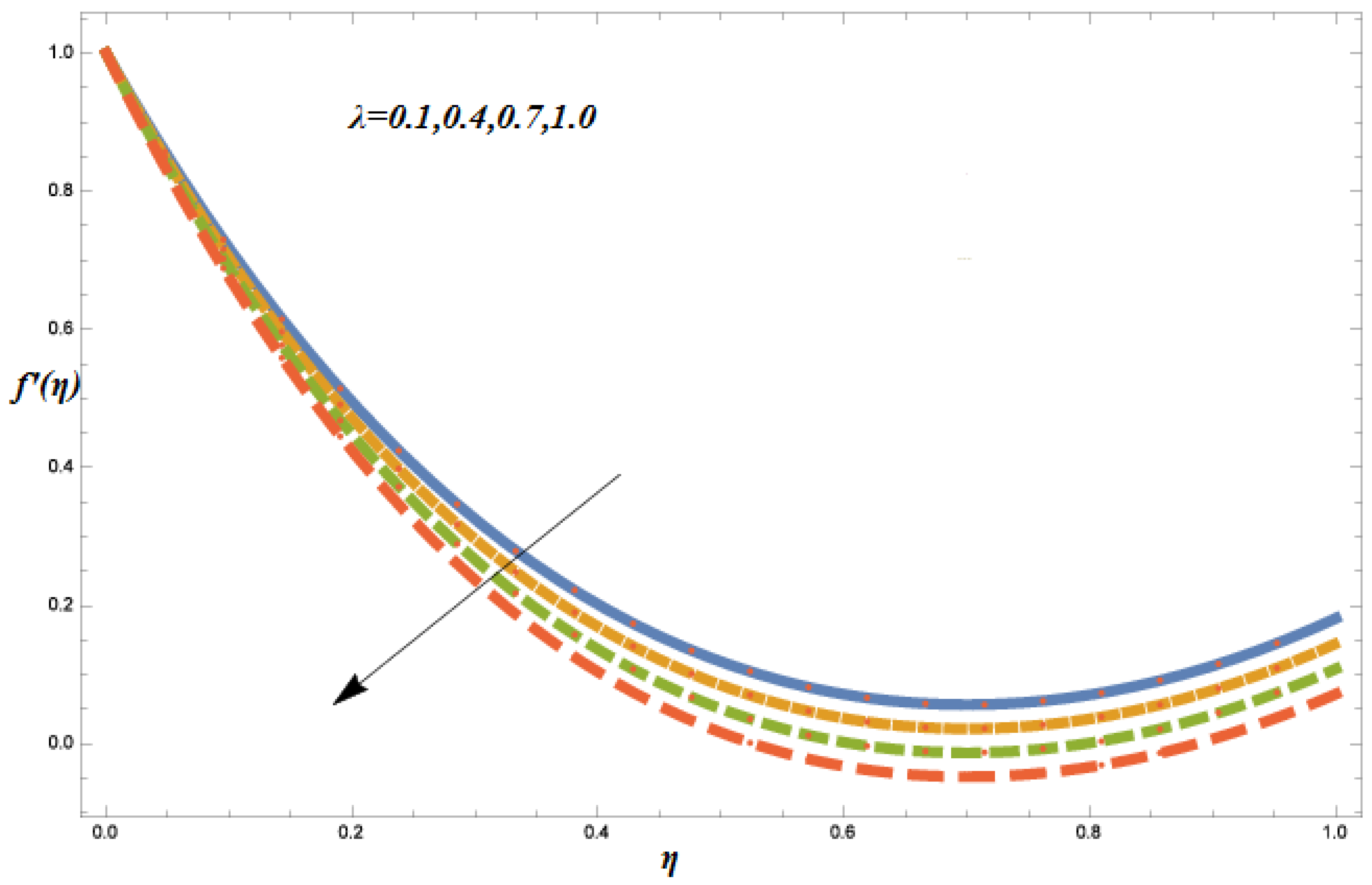
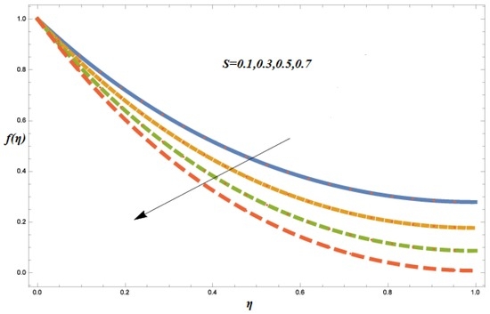
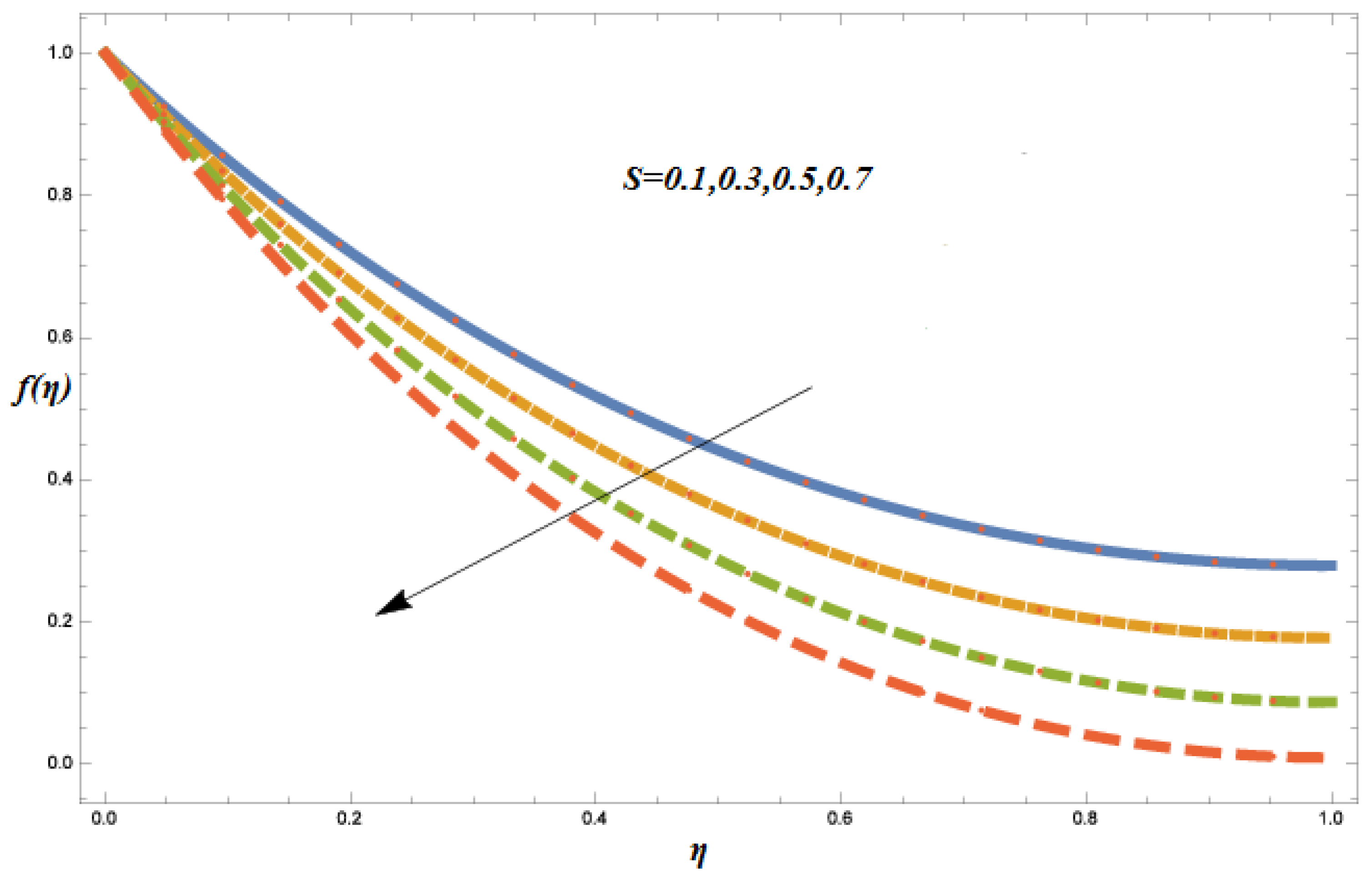
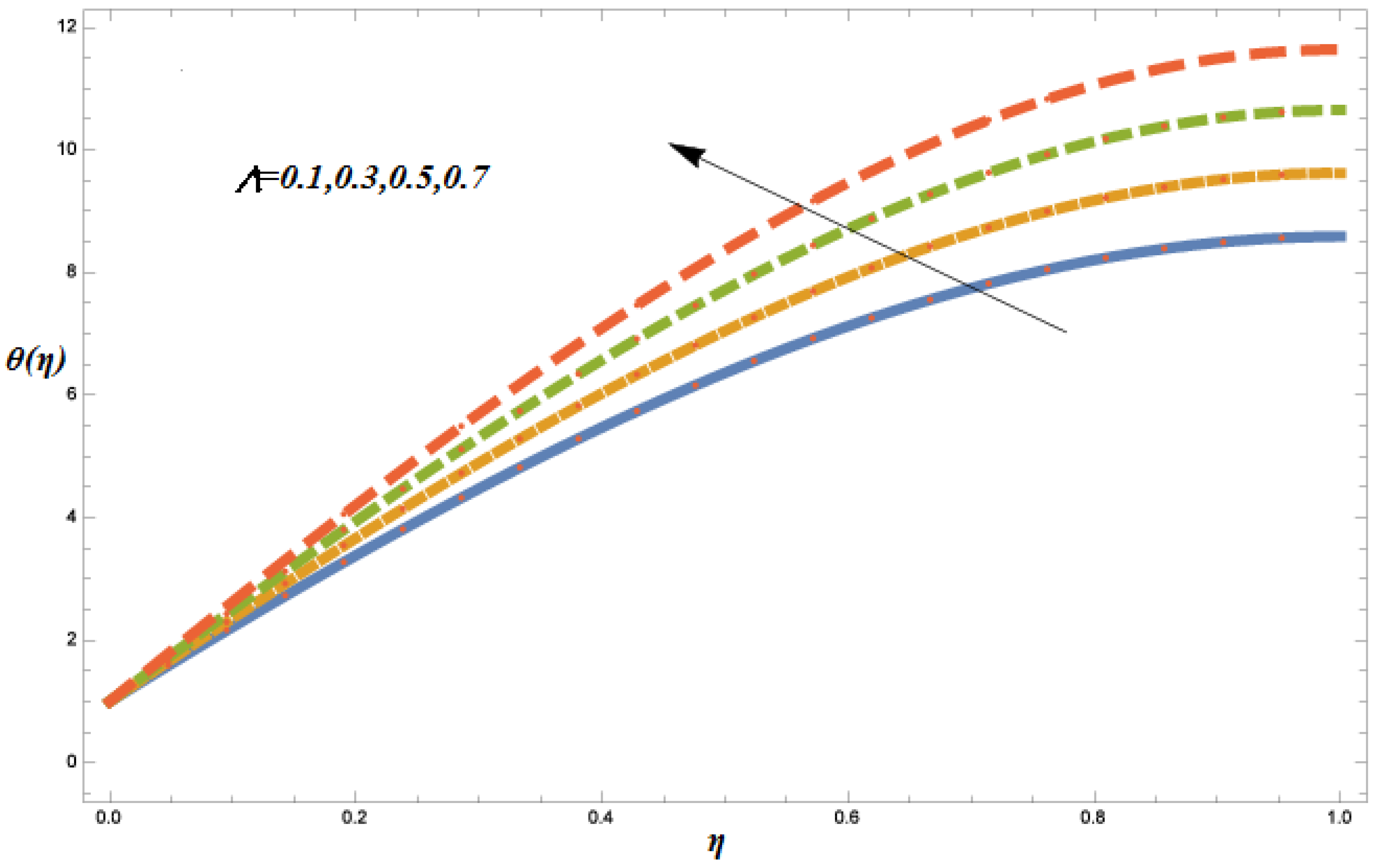
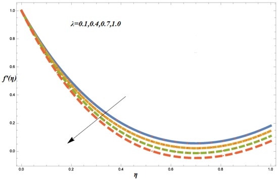
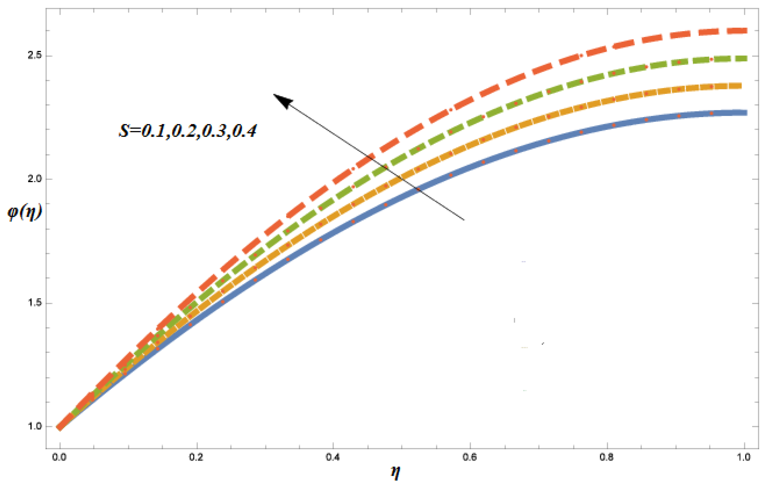
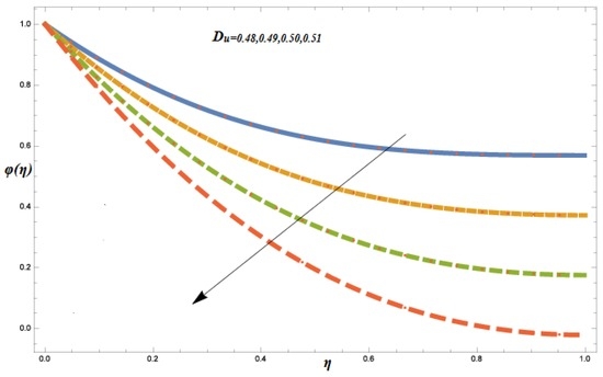
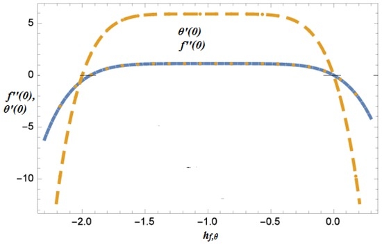
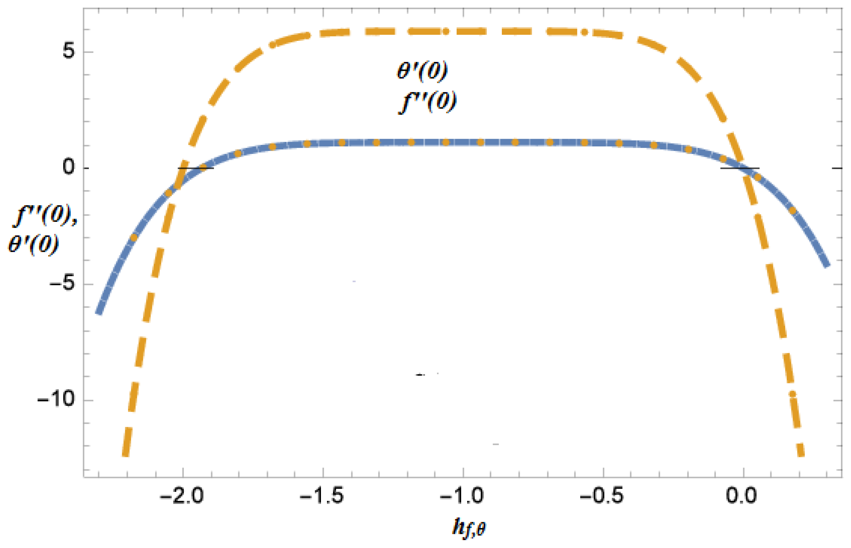
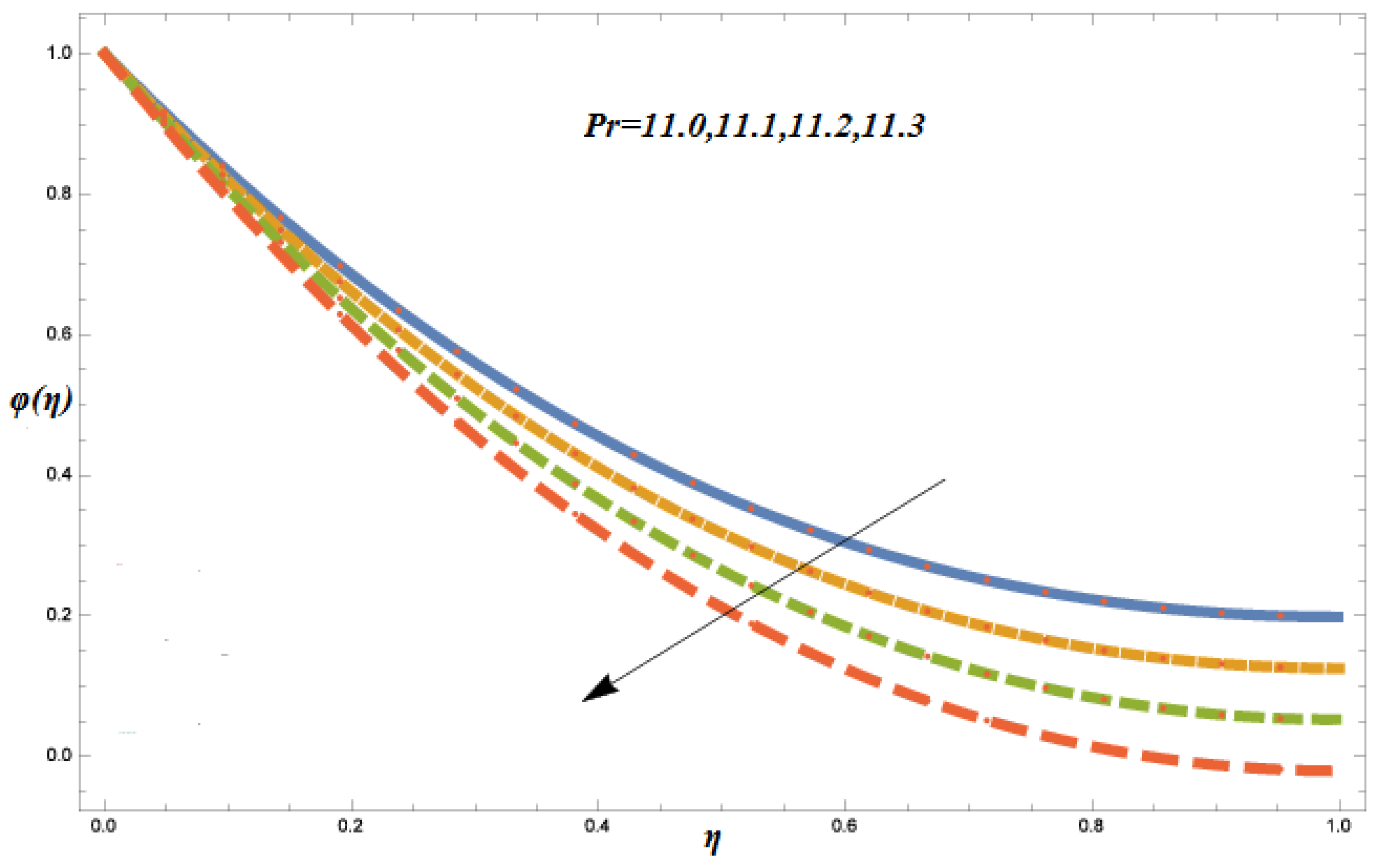
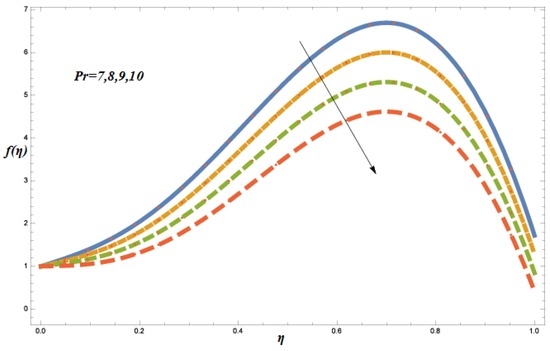
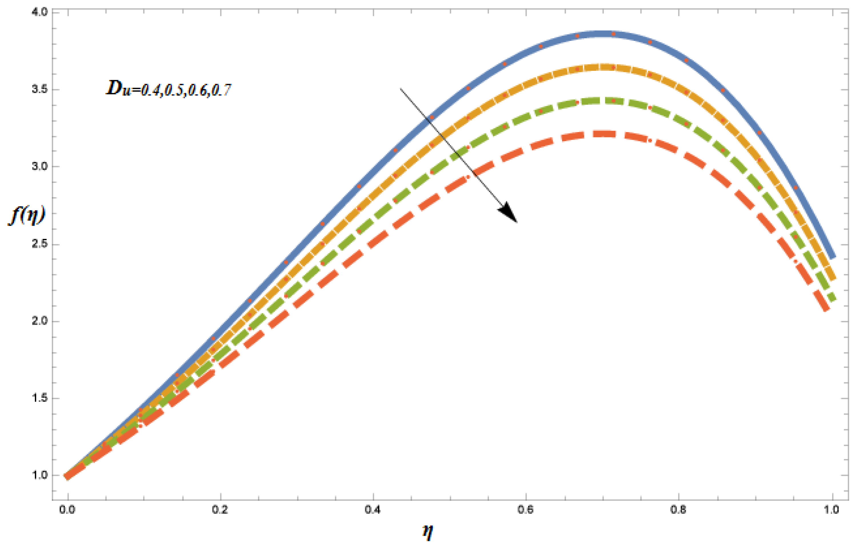
3. Results
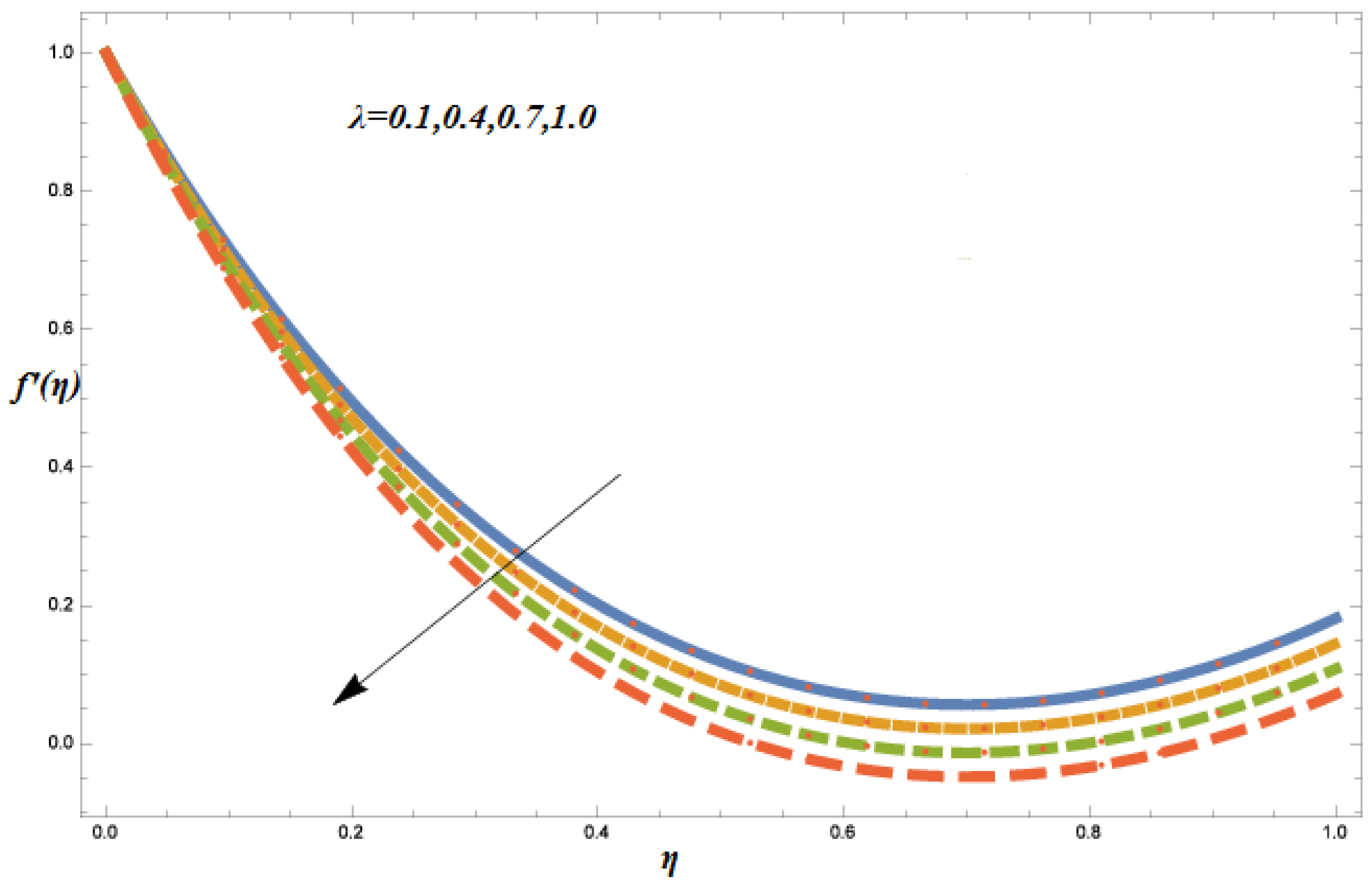
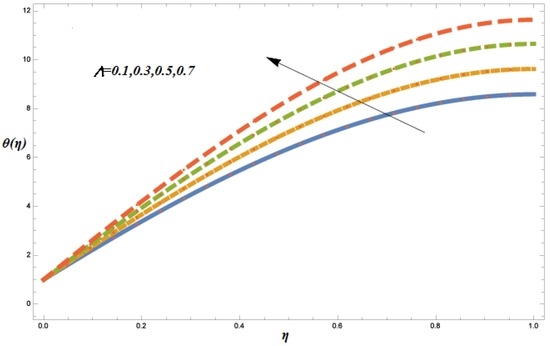
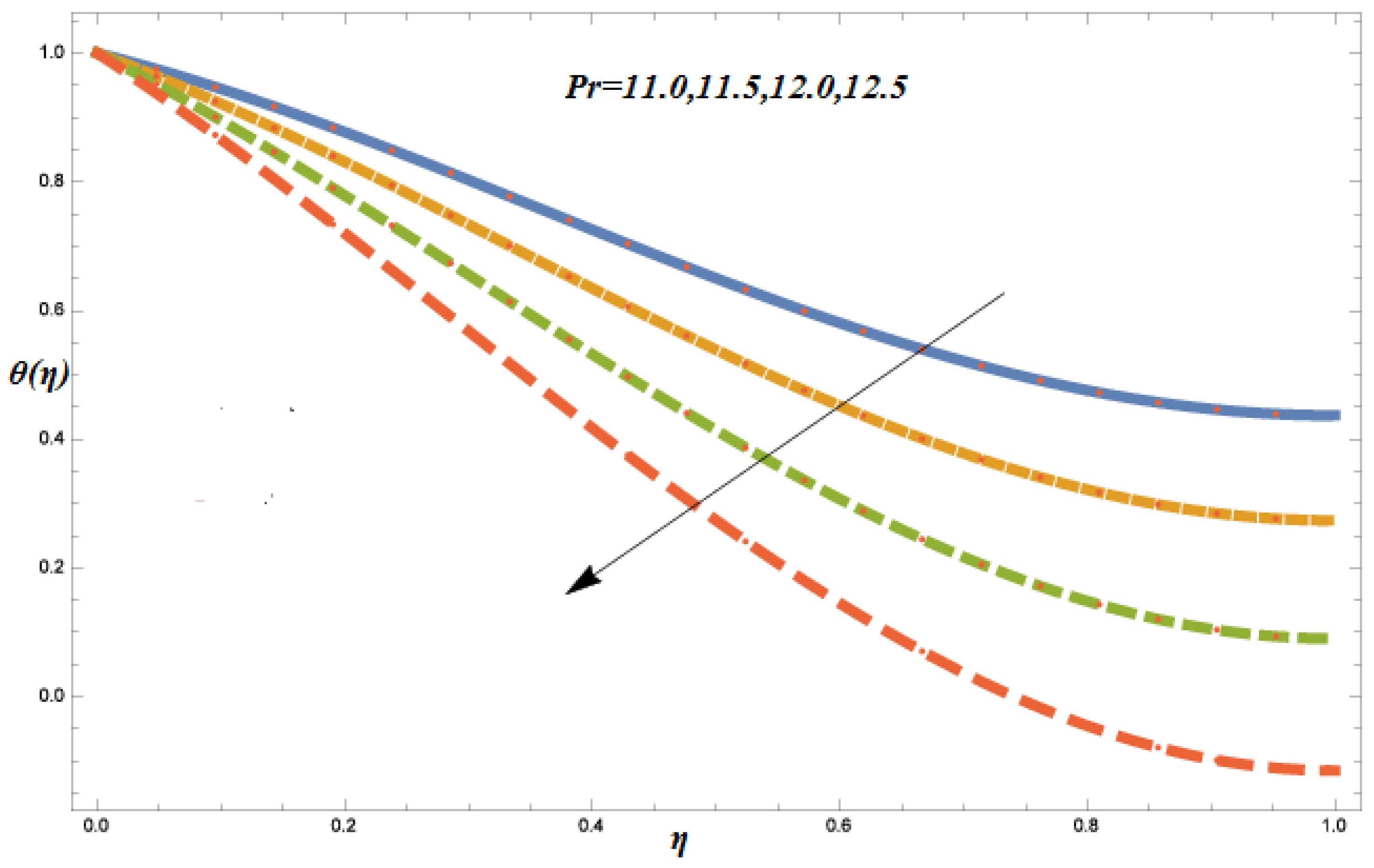
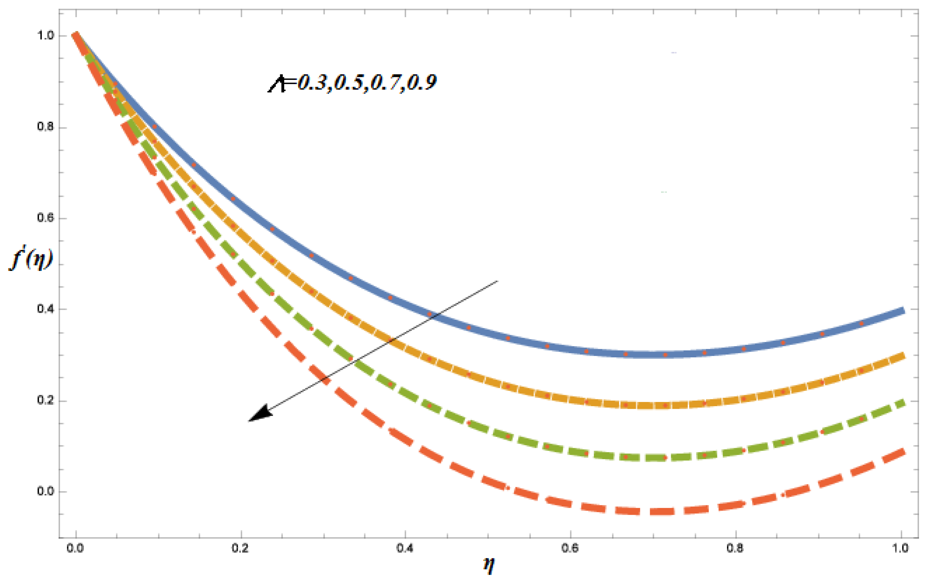
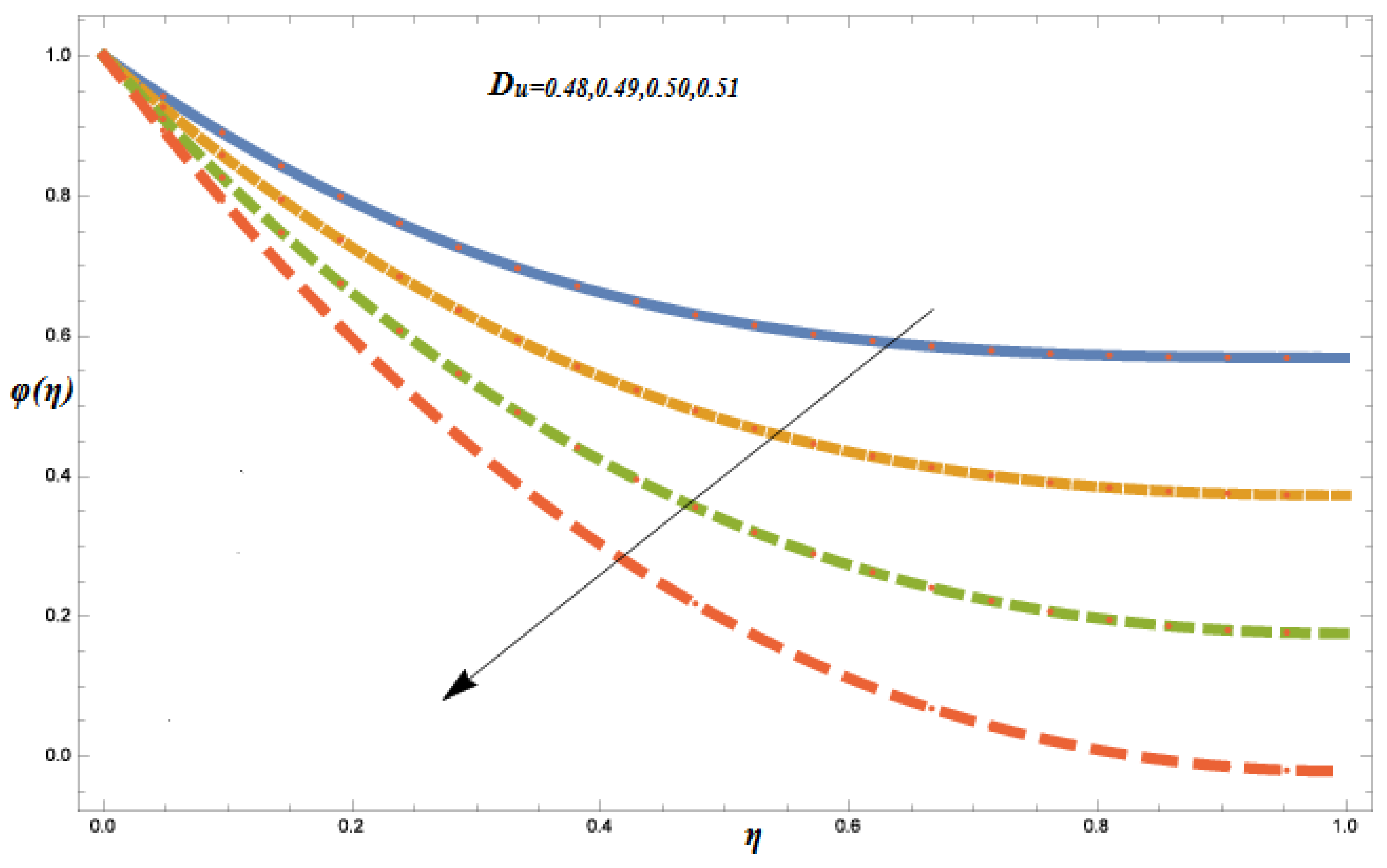
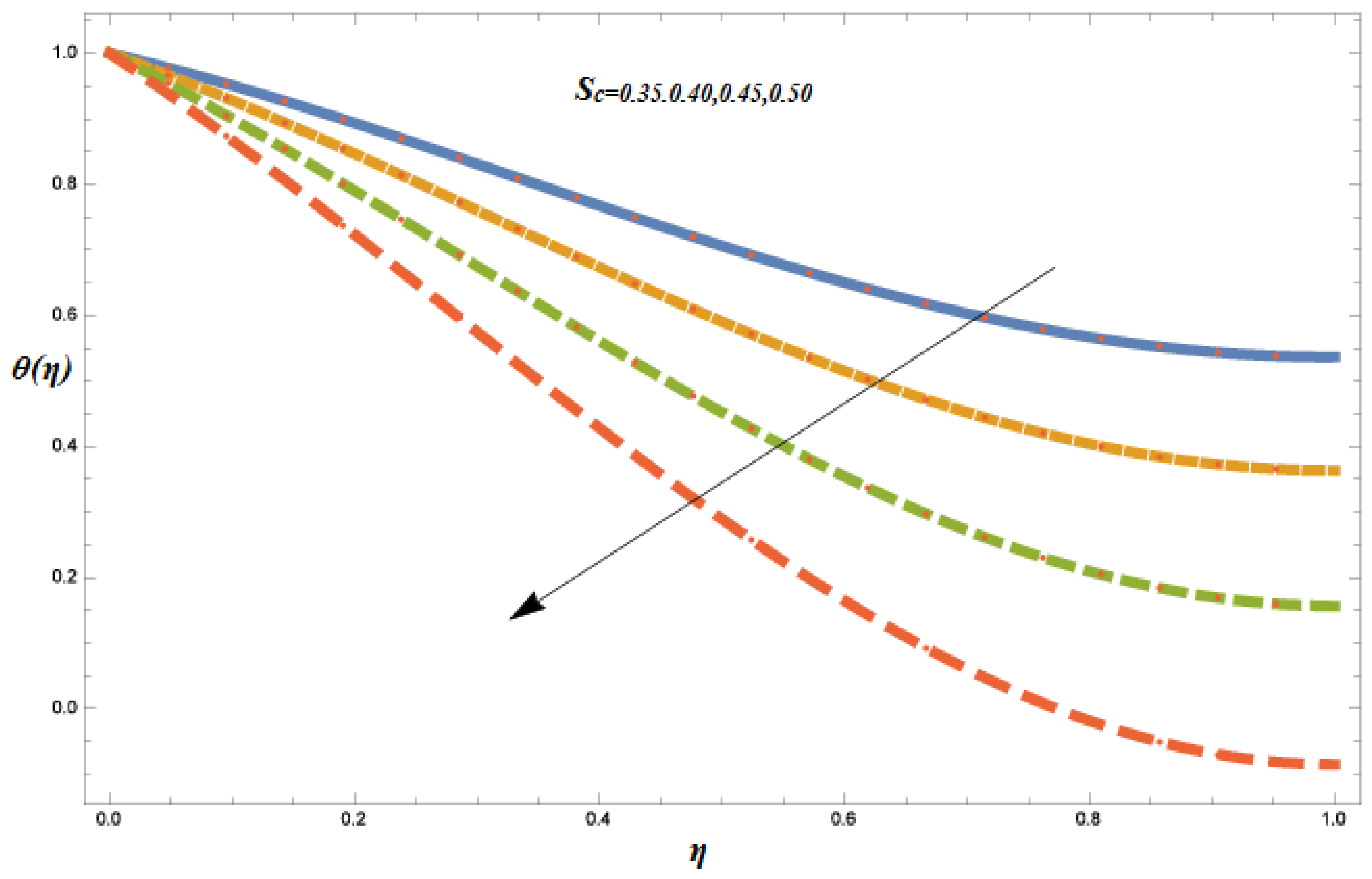
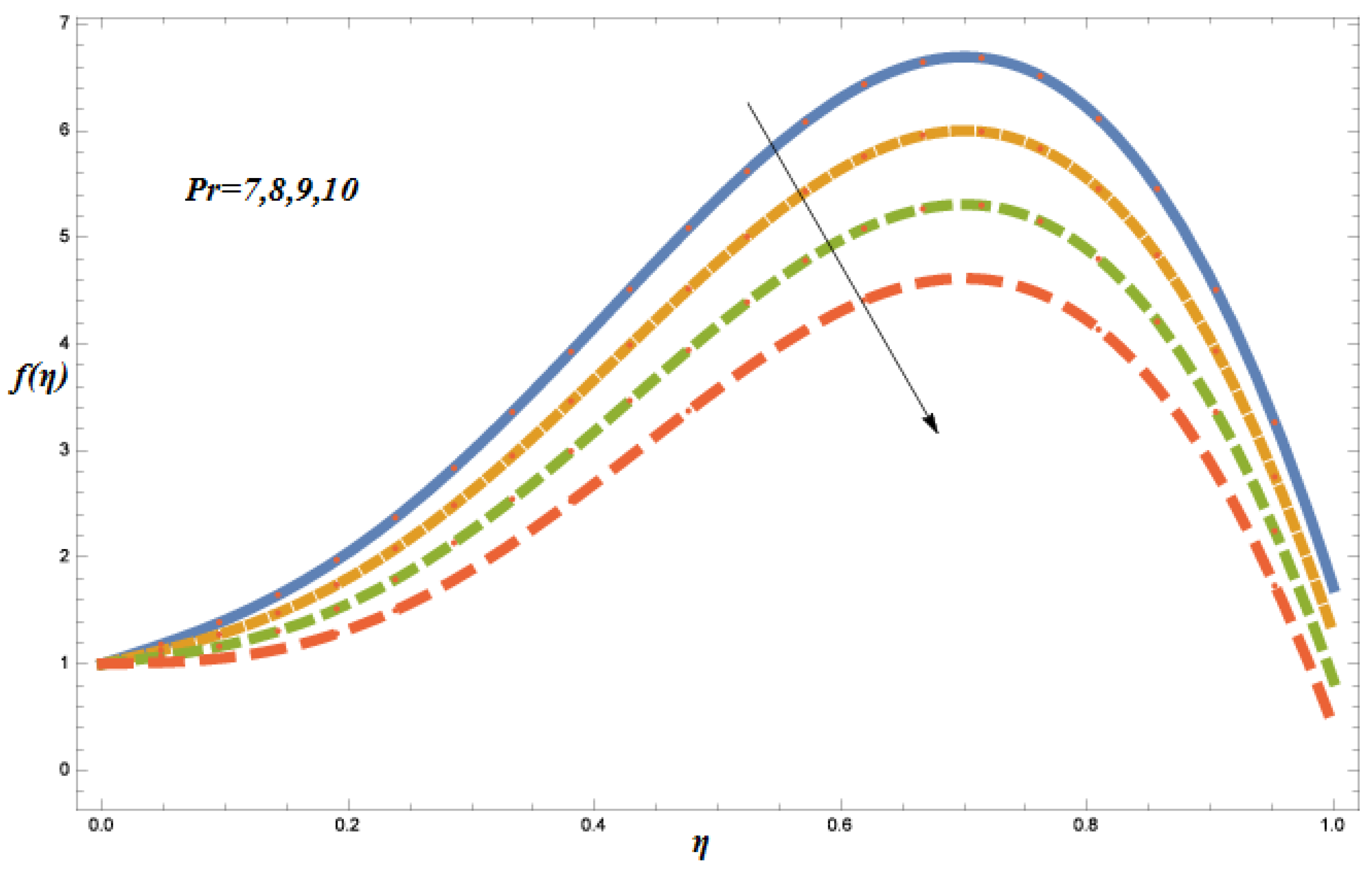
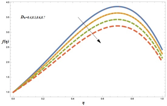
4. Discussion
5. Conclusions
- The variable effects of the fluid properties on the flow of a Williamson nanofluid are plotted through graphs and tables.
- The Dufour and Soret effects during thin film nanofluid motion are considered in the presence of thermal radiation.
- Experimental values of the Prandtl number have been used to produce the most accurate results for the Williamson nanofluid.
- The accuracy of the HAM results has been verified via numerical solutions.
Author Contributions
Conflicts of Interest
Nomenclature
| Cartesian coordinates | |
| Stretching velocity | |
| Stretching velocity constraint | |
| Temperature field | |
| Concentration filed | |
| Surface temperature | |
| Reference temperature | |
| Reference concentration | |
| Variable viscosity | |
| Fluid viscosity at reference temperature | |
| Dependency strength | |
| Temperature-dependent thermal conductivity | |
| Variable thermal conductivity parameter | |
| Kinematics viscosity | |
| Time parameter | |
| Velocity components | |
| Temperature field | |
| Concentration field | |
| Fluid density | |
| Specific heat | |
| Liquid film thickness | |
| Radiative heat fluctuation | |
| Stefan–Boltzmann constant | |
| Concentration molecular diffusivity | |
| Mean temperature | |
| Thermal diffusion ratio | |
| Thermal conductivity of the liquid film | |
| Stream function | |
| Non-dimensional thickness of the nano liquid film | |
| Variable viscosity parameter | |
| Prandtl number | |
| Non-dimensional measure of unsteadiness | |
| Dufour number | |
| Schmidt number | |
| Soret number | |
| Radiation constant | |
| Brinkman number | |
| Thermal radiation parameter | |
| Williamson fluid constant | |
| Concentration vulnerability |
References
- Chakrabarti, A.; Gupta, A.S. Hydromagnetic flow and heat transfer over a stretching sheet. Quart. J. Appl. Math. 1979, 37, 73–78. [Google Scholar]
- Sakiadis, B.C. Boundary layer behaviour on continuous moving solid surfaces. I. Boundary layer equations for two-dimensional and axisymmetric flow. II. Boundary layer on a continuous flat surface. III. Boundary layer on a continuous cylindrical surface. Am. Inst. Chem. Eng. J. 1961, 7, 26–28. [Google Scholar] [CrossRef]
- Crane, L.J. Flow past a stretching sheet. Z. Appl. Math. Phys 1970, 21, 645–647. [Google Scholar] [CrossRef]
- Gupta, P.S.; Gupta, A.S. Heat and mass transfer on a stretching sheet with suction or blowing. Can. J. Chem. Eng. 1977, 55, 744–746. [Google Scholar] [CrossRef]
- Elbashbeshy, E.M.A. Heat transfer over a stretching surface with variable surface a heat flux. J. Phys. D 1998, 31, 1951–1954. [Google Scholar] [CrossRef]
- Abd El-Aziz, M. Radiation effect on the flow and heat transfer over an unsteady stretching sheet. Int. Commun. Heat Mass Transf. 2009, 36, 521–524. [Google Scholar] [CrossRef]
- Mukhopadyay, S. Effect of thermal radiation on unsteady mixed convection flow and heat treansfer over a porous stretching surface in porous medium. Int. Commun. Heat Mass Transf. 2009, 52, 3261–3265. [Google Scholar] [CrossRef]
- Shateyi, S.; Motsa, S.S. Thermal radiation effects on heat and mass transfer over an unsteady stretching surface. Math. Probl. Eng. 2009, 2009, 13. [Google Scholar] [CrossRef]
- Abd El-Aziz, M. Thermal-diffusion and diffusion-thermo effects on combined heat and mass transfer by hydromagnetic three-dimensional free convection over a permeable stretching surface with radiation. Phys. Lett. 2007, 372, 263–272. [Google Scholar] [CrossRef]
- Hady, F.M.; Ibrahim, F.S.; Abdel-Gaied, S.M.; Eid, M.R. Radiation effect on viscous flow of a nanofluid and heat transfer over a nonlinearly stretching sheet. Nanoscale Res. Lett. 2012, 7, 229. [Google Scholar] [CrossRef] [PubMed]
- Pavlov, K.B. Magnetohydromagnetic flow of an incompressible viscous fluid caused by deformation of a surface. Magn. Gidrodin. 1974, 4, 146–148. [Google Scholar]
- Bianco, V.; Manca, O.; Nardini, S. Second Law Analysis of Al2O3-Water Nanofluid Turbulent Forced Convection in a Circular Cross Section Tube with Constant Wall Temperature. Adv. Mech. Eng. 2013, 920278. [Google Scholar] [CrossRef]
- Nadeem, S.; Haq, R.U.; Noreen, S.A.; Khan, Z.H. MHD three-dimensional Casson fluid flow past a porous linearly stretching sheet. Alex. Eng. J. 2013, 52, 577–582. [Google Scholar] [CrossRef]
- Nadeem, S.; Ul Haq, R.; Lee, C. MHD flow of a Casson fluid over an exponentially shrinking sheet. Sci. Iran. 2012, 19, 1550–1553. [Google Scholar] [CrossRef]
- Nadeem, S.; Ul Haq, R.; Akbar, N.S.; Lee, C.; Khan, Z.H. Numerical Study of Boundary Layer Flow and Heat Transfer of Oldroyd-B Nanofluid towards a Stretching Sheet. PLoS ONE 2013, 8, e69811. [Google Scholar] [CrossRef] [PubMed]
- Nadeem, S.; Ul Haq, R.; Khan, Z.H. Numerical study of MHD boundary layer flow of a Maxwell fluid past a stretching sheet in the presence of nanoparticles. J. Taiwan Inst. Chem. Eng. 2014, 45, 121–126. [Google Scholar] [CrossRef]
- Elbashbeshy, E.M.A.; Bazid, M.A.A. Heat transfer over an unsteady stretching surface with internal heat generation. Appl. Math. Comput. 2003, 138, 239–245. [Google Scholar] [CrossRef]
- Grubka, L.J.; Bobba, K.M. Heat transfer characteristics of a continuous stretching surface with variable temperature. J. Heat Transf. 1985, 107, 248–250. [Google Scholar] [CrossRef]
- Chen, C.K.; Char, M.I. Heat transfer of a continuous, stretching surface with suction or blowing. J. Math. Anal. Appl. 1988, 135, 568–580. [Google Scholar] [CrossRef]
- Pop, I.; Gorla, R.S.R.; Rashidi, M. The effect of variable viscosity on flow and heat transfer to a continuous moving flat plate. Int. J. Eng. Sci. 1992, 30, 1–6. [Google Scholar] [CrossRef]
- Pantokratoras, A. Further results on the variable viscosity on flow and heat transfer to a continuous moving flat plate. Int. J. Eng. Sci. 2004, 42, 1891–1896. [Google Scholar] [CrossRef]
- Abel, M.S.; Khan, S.K.; Prasad, K.V. Study of visco-elastic fluid flow and heat transfer over a stretching sheet with variable viscosity. Int. J. Non-Linear Mech. 2002, 37, 81–88. [Google Scholar] [CrossRef]
- Makinde, O.D.; Mishra, S.R. On Stagnation Point Flow of Variable Viscosity Nano fluids Past a Stretching Surface with Radiative Heat. Int. J. Appl. Comput. Math 2015. [Google Scholar] [CrossRef]
- Mukhopadhyay, S.; Layek, G.C.; Samad, S.K.A. Study of MHD boundary layer flow over a heated stretching sheet with variable viscosity. Int. J. Heat Mass Transf. 2005, 48, 4460–4466. [Google Scholar] [CrossRef]
- Hayat, T.; Muhammad, T.; Shehzad, S.A.; Alsaedi, A. Soret and Dufour effects in three-dimensional flow over an exponentially stretching surface with porous medium, chemical reaction and heat source/sink. Int. J. Numer. Methods Heat Fluid Flow 2015, 25, 762–781. [Google Scholar] [CrossRef]
- Alam, M.S.; Ferdows, M.; Ota, M.; Maleque, M.A. Dufour and Soret effects on steady free convection and mass transfer flow past a semi-infinite vertical porous plate in a porous medium. Int. J. Appl. Mech. Eng. 2006, 11, 535–545. [Google Scholar]
- Kafoussias, N.G.; Williams, E.W. Thermal-diffusion and diffusion thermo effects on mixed free-forced convective and mass transfer boundary layer flow with temperature dependent viscosity. Int. J. Eng. Sci. 1995, 33, 1369–1384. [Google Scholar] [CrossRef]
- Chamkha, A.J.; Ben-Nakhi, A. MHD mixed convection-radiation interaction along a permeable surface immersed in a porous medium in the presence of Soret and Dufour’s effects. Heat Mass Transf. 2008, 44, 845–856. [Google Scholar] [CrossRef]
- Afify, A.A. Similarity solution in MHD Effects of thermal diffusion and diffusion thermo on free convective heat and mass transfer over a stretching surface considering suction or injection. Commun. Nonlinear Sci. Numer. Simul. 2009, 14, 2202–2214. [Google Scholar] [CrossRef]
- Be’g, O.A.; Bakier, A.Y.; Prasad, V.R. Numerical study of free convection magnetohydrodynamic heat and mass transfer from a stretching surface to a saturated porous medium with Soret and Dufour effects. Comput. Mater. Sci. 2009, 46, 57–65. [Google Scholar] [CrossRef]
- El-Kabeir, S.M.M.; Chamkha, A.J.; Rashad, A.M.; Al-Mudhaf, H.F. Soret and Dufour effects on heat and mass transfer by non-Darcy natural convection from a permeable sphere embedded in a high porosity medium with chemically-reactive species. Int. J. Energy Technol. 2010, 2, 1–10. [Google Scholar]
- Pal, D.; Mondal, H. Effects of Soret Dufour, chemical reaction and thermal radiation on MHD non-Darcy unsteady mixed convective heat and mass transfer over a stretching sheet. Commun. Nonlinear Sci. Numer. Simul. 2011, 16, 1942–1958. [Google Scholar] [CrossRef]
- Khan, Y.; Wu, Q.; Faraz, N.; Yildirim, A. The effects of variable viscosity and thermal conductivity on a thin film flow over a shrinking/stretching sheet. Comput. Math. Appl. 2011, 61, 3391–3399. [Google Scholar]
- Aziz, R.C.; Hashim, I.; Alomari, A.K. Thin film flow and heat transfer on an unsteady stretching sheet with internal heating. Meccanica 2011, 46, 349–357. [Google Scholar] [CrossRef]
- Qasim, M.; Khan, Z.H.; Lopez, R.J.; Khan, W.A. Heat and mass transfer in nanofluid over an unsteady stretching sheet using Buongiorno’s model. Eur. Phys. J. Plus 2016, 131, 1–16. [Google Scholar] [CrossRef]
- Prashan, G.M.; Jagdish, T.; Abel, M.S. Thin film flow and heat transfer on an unsteady stretching sheet with thermal radiation, internal heating in presence of external magnetic field. Phys. Flu. Dyn. 2016, 3, 1–16. [Google Scholar]
- Ellahi, R.; Hassan, M.; Zeeshan, A. Aggregation effects on water base Al2O3—Nanofluid over permeable wedge in mixed convection. Asia-Pac. J. Chem. Eng. 2016, 11, 179–186. [Google Scholar] [CrossRef]
- Akbar, N.S.; Raza, M.; Ellahi, R. CNT suspended CuO + H2O nano fluid and energy analysis for the peristaltic flow in a permeable channel. Alex. Eng. J. 2015, 54, 623–633. [Google Scholar] [CrossRef]
- Akbar, N.S.; Raza, M.; Ellahi, R. Copper oxide nanoparticles analysis with water as base fluid for peristaltic flow in permeable tube with heat transfer. Comput. Methods Progr. Biomed. 2016, 130, 22–30. [Google Scholar] [CrossRef] [PubMed]
- Shehzad, N.; Zeeshan, A.; Ellahi, R.; Vafai, K. Convective heat transfer of nanofluid in a wavy channel: Buongiorno’s mathematical model. J. Mol. Liq. 2016, 222, 446–455. [Google Scholar] [CrossRef]
- Zeeshan, A.; Hassan, M.; Ellahi, R.; Nawaz, M. Shape effect of nanosize particles in unsteady mixed convection flow of nanofluid over disk with entropy generation. J. Process Mech. Eng. 2016, 1–9. [Google Scholar] [CrossRef]
- Liao, S.J. Homotopy Analysis Method in Nonlinear Differential Equations; Higher education press: Beijing, China, 2012. [Google Scholar]
- Liao, S. Beyond Perturbation: Introduction to the Homotopy Analysis Method; Chapman & Hall/CRC: Boca Raton, FL, USA, 2003. [Google Scholar]
- Liao, S.J. An optimal homotopy-analysis approach for strongly nonlinear differential equations. Commun. Nonlinear Sci. Numer. Simul. 2010, 15, 2003–2016. [Google Scholar] [CrossRef]
- Liao, S. On the homotopy analysis method for nonlinear problems. Appl. Math. Comput. 2004, 147, 499–513. [Google Scholar] [CrossRef]
- Abbasbandy, S.; Shirzadi, A. A new application of the homotopy analysis method: Solving the Sturm—Liouville problems. Commun. Nonlinear Sci. Numer. Simul. 2011, 16, 112–126. [Google Scholar] [CrossRef]
- Abbasbandy, S. Homotopy analysis method for heat radiation equations. Int. Commun. Heat Mass Transf. 2007, 34, 380–388. [Google Scholar] [CrossRef]
- Abbasbandy, S. The application of homotopy analysis method to solve a generalized Hirota-Satsuma coupled KdV equation. Phys. Lett. A 2007, 361, 478–483. [Google Scholar] [CrossRef]
- Das, K. Effects of thermophoresis and thermal radiation on MHD mixed convective heat and mass transfer flow. Afr. Math. Union Springer-Verl. 2012, 24, 511–524. [Google Scholar] [CrossRef]
- Qasim, M. Soret and Dufour effects on the flow of an Erying-Powell fluid over a flat plate with convective boundary condition. Eur. Phys. J Plus 2014, 129, 1–7. [Google Scholar] [CrossRef]
- Mahesh, K.; Gireesha, B.J.; Rama, S.R.G. Heat and Mass Transfer in a Nanofluid Film on an Unsteady Stretching Surface. J. Nanofluids 2015, 4, 1–8. [Google Scholar]





















| HAM solution Approximation | Numerical Solution NN | Absolute Error | |
|---|---|---|---|
| 0 | 0.000000 | 0.000000 | 0.0 |
| 0.1 | 0.0953944 | 0.0946811 | |
| 0.2 | 0.182398 | 0.180273 | |
| 0.3 | 0.262182 | 0.258722 | |
| 0.4 | 0.335840 | 0.331586 | |
| 0.5 | 0.404397 | 0.400129 | |
| 0.6 | 0.468820 | 0.465392 | |
| 0.7 | 0.530019 | 0.528247 | |
| 0.8 | 0.588856 | 0.589430 | |
| 0.9 | 0.646152 | 0.649575 | |
| 1 | 0.702691 | 0.709230 |
| HAM Solution of | Numerical Solution NN | Absolute Error | |
|---|---|---|---|
| 0 | 1.0000 | 1.00000 | 0.00000 |
| 0.1 | 1.004 | 1.00417 | |
| 0.2 | 1.00688 | 1.00706 | |
| 0.3 | 1.00886 | 1.009 | |
| 0.4 | 1.01015 | 1.01023 | |
| 0.5 | 1.01095 | 1.01096 | |
| 0.6 | 1.01139 | 1.01135 | |
| 0.7 | 1.0116 | 1.01153 | |
| 0.8 | 1.01168 | 1.01159 | |
| 0.9 | 1.0117 | 1.01159 | |
| 1 | 1.01171 | 1.01159 |
| HAM Solution | Numerical Solution NN | Absolute Error | |
|---|---|---|---|
| 0 | 1.00000 | 1.000000 | 0.000000 |
| 0.1 | 0.986139 | 0.985513 | |
| 0.2 | 0.973868 | 0.973001 | |
| 0.3 | 0.963145 | 0.962308 | |
| 0.4 | 0.953932 | 0.953301 | |
| 0.5 | 0.946195 | 0.945867 | |
| 0.6 | 0.939906 | 0.939913 | |
| 0.7 | 0.935041 | 0.935364 | |
| 0.8 | 0.931582 | 0.93216 | |
| 0.9 | 0.929513 | 0.930258 | |
| 1 | 0.928825 | 0.929628 |
© 2016 by the authors; licensee MDPI, Basel, Switzerland. This article is an open access article distributed under the terms and conditions of the Creative Commons Attribution (CC-BY) license (http://creativecommons.org/licenses/by/4.0/).
Share and Cite
Khan, W.; Gul, T.; Idrees, M.; Islam, S.; Khan, I.; Dennis, L.C.C. Thin Film Williamson Nanofluid Flow with Varying Viscosity and Thermal Conductivity on a Time-Dependent Stretching Sheet. Appl. Sci. 2016, 6, 334. https://doi.org/10.3390/app6110334
Khan W, Gul T, Idrees M, Islam S, Khan I, Dennis LCC. Thin Film Williamson Nanofluid Flow with Varying Viscosity and Thermal Conductivity on a Time-Dependent Stretching Sheet. Applied Sciences. 2016; 6(11):334. https://doi.org/10.3390/app6110334
Chicago/Turabian StyleKhan, Waris, Taza Gul, Muhammad Idrees, Saeed Islam, Ilyas Khan, and L.C.C. Dennis. 2016. "Thin Film Williamson Nanofluid Flow with Varying Viscosity and Thermal Conductivity on a Time-Dependent Stretching Sheet" Applied Sciences 6, no. 11: 334. https://doi.org/10.3390/app6110334
APA StyleKhan, W., Gul, T., Idrees, M., Islam, S., Khan, I., & Dennis, L. C. C. (2016). Thin Film Williamson Nanofluid Flow with Varying Viscosity and Thermal Conductivity on a Time-Dependent Stretching Sheet. Applied Sciences, 6(11), 334. https://doi.org/10.3390/app6110334

