Abstract
This study aims to establish whether lignin-treated soils could result in greater soil strength and stimulate seed germination and growth, which can be essential for slope bioengineering. Three different soil types with a range of plasticity were treated with lignin solutions of 1% and 3%. The changes in soil strength and seed growth were observed for 40 days to simulate the long-term field performance. Two methods to treat the soils were employed: Method 1 involved mixing lignin solutions with the whole soil sample, while Method 2 involved spraying the lignin solutions on the already-prepared soil sample. The results indicated that the lignin concentration and the soil treatment method could affect soil strength, whereas soils treated with 3% lignin solution using Method 1 consistently produced greater soil strength values. The lignin-treated soils were able to retain more moisture at the end of the experiment than the untreated soils. Both lignin-treated and untreated soils produced similar results on seed germination and growth, suggesting that lignin does not have a negative effect on slope bioengineering.
1. Introduction
Slope erosion has long been an environmental and geotechnical concern in many countries, resulting in economic loss. Different engineering solutions, mostly involving cement and geosynthetics, have been successfully used in practice to tackle this issue. However, recent research has shown that alternative environmentally friendly products like biopolymers can also be employed for soil stabilization [1,2,3,4,5,6,7,8]. For instance, lignin, a complex and heterogeneous biopolymer that is a component of plant cell walls, has lately drawn the attention of the scientific community due to its availability and relatively low cost. Lignin is a by-product of sugar cane and paper mill production, which is considered industrial waste. Several studies [8,9,10,11,12,13,14,15,16,17,18,19,20,21,22,23,24,25,26,27,28,29] have been performed on soil treated with lignin, predominantly focusing on soil strength improvement in the laboratory environment, with limited research on its long-term field performance. In addition, although a few studies have been performed on biopolymers [30,31,32,33,34,35,36,37,38,39,40,41,42,43,44,45,46,47,48,49,50,51], only limited research on the effect of lignin on seed germination and growth has been conducted to date. Vegetation can decrease soil erosion and stabilize slopes by increasing the strength of soil mass by vegetation roots and reducing water runoff on the slope surface.
This study aims to improve our understanding of the use of lignin in current engineering and environmental practices. The objectives of this study were to establish (a) how lignin solutions could affect the strength of different soils, (b) what method of lignin application could produce superior outcomes and (c) how lignin could affect germination and growth of vegetation. The results of this study will enhance understanding of soil improvement with lignin and assist engineers and practitioners with selecting alternative environmentally friendly solutions to erosion issues.
2. Literature Review
Effect of lignin on soil properties. Several studies have been conducted to understand the effect of lignin on the engineering properties of soil, including its strength. Table 1 summarizes the insights from these studies with a focus on the soil type, lignin concentration and the type of testing. A few well-documented studies are briefly discussed below. Tingle and Santoni [9] used lignin to stabilize clay soil and reported that the unconfined compressive strength (UCS) of lignin-treated clay improved significantly at a 5% lignin concentration. Al Mahamud et al. [10] used lignin sulfonate and cement (0.6%, 1%, 2%) to enhance the strength properties of clays. The investigators noted that the UCS increased with lignin content while increasing cement content more than a certain point decreased UCS. Bai et al. [11] showed that 3% of lignin increased the UCS of loess (silty soil) by about 180%. Loranger et al. [12] reported that the addition of lignin (1–2%) increased the mechanical strength of quarry sand by more than 60%. Vaina et al. [13] found that the California bearing ratio (CBR) of lignin-treated clay significantly increased after 7 days of curing age.
Table 1.
Summary of studies on the effect of lignin on soil properties.
In summary, the previous studies primarily dealt with the engineering properties of plastic clay or silt, while limited research was conducted on cohesionless materials such as sand and gravel. The majority of studies employed a series of UCS tests in which cylindrical specimens of soil were treated with lignin to obtain UCS. In these studies, the soil was thoroughly mixed with lignin solutions with a relatively low concentration of 1–5% and cured at a different time (mostly 7–10 days).
Effect of biopolymers on vegetation growth. Vegetation is an essential part of the bioengineering of slopes as it creates a mesh structure with interconnected roots, forming a root-reinforced soil mass. Several studies, summarized in Table 2, have been conducted on vegetation growth in relation to slope stability [30,31,32], erosion control [33], dusting [30,34,35], microbially induced calcium carbonate precipitation [36] and vegetation [34,37,38,39]. Chang et al. [40] explored xanthan and β-glucan gums with red–yellow soil and reported that biopolymer-treated soil promoted the soil environment for vegetation growth. Ni et al. [41] used xanthan, guar, agar, and beta-glucan gums in laboratory experiments with clayey soil and reported that these biopolymers promoted vegetation growth and improved seed germination. Using field studies, Cho and Chang [42,43] revealed that biopolymers such as xanthan gum, guar gum, and agar gum were sustainable materials for promoting surface vegetation growth. Ko et al. [44] observed that biopolymer-treated river sand slopes with grass increased slope stability and erosion resistance.
Table 2.
Summary of studies on biopolymer and vegetation growth.
A recent review study by Savy and Cozzolino [45] summarized advances in the use of lignin in agriculture to stimulate plant development; however, only limited research on the effect of lignin on vegetation growth in relation to slope bioengineering has been conducted to date. A recent study [34] showed that lignin could play a significant role in soil–plant interactions and improve vegetation growth within 2 to 3 years, helping to stabilize desert dunes. However, due to the limited research, the effect of lignin on seed germination and vegetation growth remains unclear and needs further investigation.
3. Materials and Methods
This study included a series of experiments on three different soil types treated with different solutions of lignin. The change in the soil strength over 40 days was estimated by conducting pocket penetrometer and vane shear tests. Three types of seeds were used to estimate the effect of lignin on seed germination and growth. The following section details the materials used and the experimental procedure.
3.1. Materials Used
Three different soil types were used: Soil 1 (black clay), Soil 2 (brown silt), and Soil 3 (sand). The rationale for this selection was to investigate the effect of lignin on the properties of high-plasticity (Soil 1), low-plasticity (Soil 2), and non-plastic (Soil 3) soils. A series of standardized laboratory tests were performed to estimate soil plasticity [52], maximum dry density and optimum water content [53], and specific gravity tests [54]. Additionally, X-ray tests were conducted to estimate the soil mineral composition. The following data were obtained:
Soil 1: High-plasticity black clay with a liquid limit of 79.2% and a plasticity index of 46.0%, which is classified as CH, according to the Unified Soil Classification System (USCS). The optimum moisture content (OMC) was 27.0%, with a maximum dry density of 1.35 g/cm3. The specific gravity was 2.71. The results of the X-ray diffraction test revealed the following dominant clay minerals: smectite, kaolinite, and illite.
Soil 2: Low-plasticity brown silt (USCS classification is ML) had a liquid limit of 38.0% and a plasticity index of 11.1%. The specific gravity was 2.77, the maximum dry density was 1.72 g/cm3, and the optimum moisture content was 21.7%. The mineral composition included quartz, kaolinite and calcite.
Soil 3: Well-graded non-plastic sand (USCS classification was SW), which had the maximum dry density of 1.85 g/cm3 with an optimum water content of 13.0%. It predominantly consisted of quartz.
Lignin. The ammonium lignosulfonate lignin was commercially acquired from Dustex, Australia. The properties of lignin were as follows: calcium lignosulphonate lignin was a brown viscose liquid with a pH (10% solution) of 5.4 ± 3.0, dry matter of 55.0 ± 1.0%, and a density of 1285 kg/m3. The lignin was a mixture of water (51%) and calcium lignosulfonate (49%). The lignin solutions used to treat the soils were prepared by mixing lignin with distilled water. Two solutions of lignin were prepared; that is, 1% and 3% of the lignin mass to the total mass of the dry soil. It is noted that solutions of lignin with greater concentrations (>3%) were too viscous, and it was challenging to mix such solutions with soil.
Seeds. Commercially available Couch (Cynodon dactylon), Rhodes grass (Chloris gayana), and Forest blue grass (Bothriochloa bladhii) [55] were utilized in this study as these native seeds have been widely used in engineering practices in Queensland, Australia.
3.2. Experimental Program
Laboratory work consisted of soil examination, specimen preparations, a series of pocket penetrometers and hand vane shear tests to measure the change in soil strength over time, and observation and monitoring of seed growth in soil with and without lignin. The pocket penetrometer tests were conducted using a Geo-Pocket penetrometer and a 6.4 mm plunger with a capacity of 0–6 kg/cm2. The standardized vane shear tests were conducted according to ASTM D2573-08, the Standard Test Method for Field Vane Shear Tests in Cohesive Soil [56].
3.2.1. Soil Specimen Preparations
Two methods were used to treat the soil with lignin: Method 1 involved mixing soil with lignin solutions, and Method 2 was about spraying lignin solution on the already-prepared soil samples. The rationale for using two methods was as follows: Method 1 was used in previous laboratory studies to prepare specimens for unconfined compression and triaxial tests [3,8]. In this method, the whole soil mass was mixed with lignin solutions to produce small-sized specimens. This method proved effective for a relatively small amount of soil involved, but it might be rather expensive in practice. Method 2 appeared more cost-effective in real engineering practice [57], but in this case, the lignin solution was only applied on the surface of the soil mass.
Method 1. The lignin was mixed with distilled water to produce lignin solutions of either 1% or 3%. The lignin solutions were then mixed with the oven-dried soil to achieve the desired value of the initial water content, which was equal to the optimum water content of each soil. The solution was manually mixed with the soil for 30 min. The treated soil was sealed in a plastic bag and allowed to rest in a controlled temperature room for 24 h to ensure an even moisture distribution in the whole sample. The soil was then placed into an aluminum foil tray with a length of 31.5 cm, width of 26 cm, and height of 5 cm. Each soil was compacted in two layers in the tray to achieve the maximum dry density. However, it was challenging to achieve such high values of dry density due to technical issues during the compaction process. The following values of dry density were achieved: 1.30 g/cm3 for Soil 1, 1.63 g/cm3 for Soil 2, and 1.77 g/cm3 for Soil 3, which were within the 95% range of the dry density.
Method 2. The oven-dried soil was first mixed with distilled water to prepare soil specimens with the same initial water content as in Method 1. The moist soil was placed in a sealed plastic bag and allowed to rest in a controlled-temperature room for 24 h to ensure an even moisture distribution. The soil was placed in an aluminum tray of the same size as in Method 1 and compacted in two layers to achieve the same value of dry density as in Method 1. The lignin solutions of the same concentration (1% and 3%) as in Method 1 were sprayed (700 mL) on top of the soil surface.
For each method, the soil sample in the tray was divided into three equal parts: the left part was for Couch seeds, the middle part was for Rhodes grass seeds, and the right part was for Forest blue grass seeds. The seeds were spread evenly in their designated parts, and the following seed mass was used following the government’s recommendations for garden areas: 0.3 g for Coach, 0.7 g for Rhodes grass, and 0.7 g for Forest bluegrass. The seeds were covered in a thin layer of soil and watered. To help the seeds germinate and grow, 100 mL of water was sprayed on the soil surface twice per week.
3.2.2. Soil Testing
Pocket penetrometer (PP) tests were regularly conducted to estimate the change in soil strength over 40 days. At least five tests were performed in different locations at each measurement, and an average PP value (in kPa) was obtained, reported, and analyzed. To estimate the unconfined compressive strength (UCS) of the studied soils, the empirical correlation suggested by Burt [58] was used, where UCS = 0.8 × PP. Note that this test is typically conducted on cohesive soil, and it is challenging to perform this test on cohesionless material like sand or gravel. For this reason, the PP data could only be obtained for Soil 1 and Soil 2.
To estimate the shear strength of soil with and without lignin, a standard vane shear test was conducted at the end of each experiment (40 days from the beginning). After the vane shear test, the soil specimen in each experiment was cut through for visual observations of the depth of the lignin treatment. In addition, at the end of each experiment, soil samples were collected for water content tests to determine the amount of moisture that remained in the soil after 40 days.
4. Results and Discussion
4.1. Compressive and Shear Strength Characteristics
Pocket penetrometer tests. Figure 1 and Figure 2 show the results from a series of PP tests conducted over 40 days on each soil treated with different lignin concentrations. These results are compared with the data obtained for the untreated soil (only water) to estimate the positive contribution of lignin treatment.
Figure 1.
Unconfined compressive strength of Soil 1 treated with (a) 3% lignin solution and (b) 1% lignin solution.
Figure 2.
Unconfined compressive strength of Soil 2 treated with (a) 3% lignin solution and (b) 1% lignin solution.
As can be seen in Figure 1, the strength of Soil 1 treated with lignin increased over time; however, so did the strength of the untreated soil. The latter can be attributed to the soil surface drying, which was observed during testing. However, compared to the untreated soil, the soil mixed with lignin solutions consistently produced greater values of soil strength. The difference in strength (almost twofold) was the most pronounced when Method 1 was used. According to Bagheri et al. [3], an increase in the strength of lignin-treated soil can occur because lignin fills the pore space between soil particles and adds a biopolymer coating to the particles. A similar tendency was observed for Soil 2 (Figure 2), where the soil specimen mixed with 3% lignin solution exhibited a much greater value (1.5–2 times compared to the untreated soils) of strength over time.
The comparison between the lignin treatment methods indicates that the mixing of soil with lignin (Method 1) was associated with greater increases in soil strength. It can also be observed from Figure 1 and Figure 2 that, for both Soils 1 and 2, the strength of soil treated with lignin solutions by Method 2 was similar to the strength of untreated soil.
The data given in Figure 1 and Figure 2 suggest that the addition of lignin could increase the strength of both high (Soil 1) and low (Soil 2) plasticity soil, especially when Method 1 was used. Interestingly, for both soils, the noticeable increase in the strength of lignin-treated soils began to occur after 7–10 days from the beginning of the experiment. This finding correlated with the laboratory results of previous studies that indicated that a curing time of 7–10 days was sufficient to reach a high value of strength.
Although an increase in soil strength over time can be observed in Figure 1 and Figure 2, the obtained points tend to fluctuate. This data variation can be attributed to the following reasons:
- -
- For each measurement, at least five pocket penetrometer tests were conducted, and the average value was used to estimate the soil surface strength. The PP measurements were performed in different parts of the soil samples. As the soil mass was not homogenous (due to the soil nature and experimental preparations), different values were sometimes obtained, depending on the point selected for the measurement.
- -
- For each experiment, the soil surface was sprayed with 100 mL of water twice per week to stimulate seed germination and growth, and changes in moisture on the soil surface contributed to the soil inhomogeneity.
- -
- Over time, the soil samples had a natural tendency to dry on the surface, initiating surface cracks. This process contributed to the soil inhomogeneity as well, and impacted the measured soil strength.
Vane shear tests. The results of vane shear tests are summarized in Figure 3. Despite the soil type, similar results were obtained; that is, the specimens treated with lignin solutions produced greater strength than the untreated specimens. Interestingly, the vane shear strength of the black and brown soil specimens mixed with 1% lignin solution exhibited a greater strength than the specimens treated with the 3% lignin solution. Also, when the lignin solution was sprayed on the surface of all three soil specimens, the vane shear strength of the specimen with 3% lignin was always slightly greater than the strength of the specimens treated with 1% lignin solution. The obtained data suggest that treatment of all three soils with the lignin solution increased the vane shear strength of the soil. Also, similar to the pocket penetrometer test data, Method 1 produced the soil specimens with greater vane shear strength compared to Method 2.
Figure 3.
Results of vane shear tests conducted at the end of the experiment: (a) Soil 1; (b) Soil 2; (c) Soil 3.
The vane shear test is typically conducted on soft, cohesive soils like Soils 1 and 2. However, it was also possible to obtain a vane shear strength value for Soil 3 because, at the end of the long-term experiment, the sand developed apparent cohesion due to soil suction [59]. In addition, the treatment of the sand with lignin solution significantly increased its vane shear strength (more than six times the untreated soil strength, Figure 3c), suggesting that lignin helped to develop adhesive bonding between the sand grains, making it stronger. These results appeared promising for the possible bioengineering treatment of slopes consisting of sand.
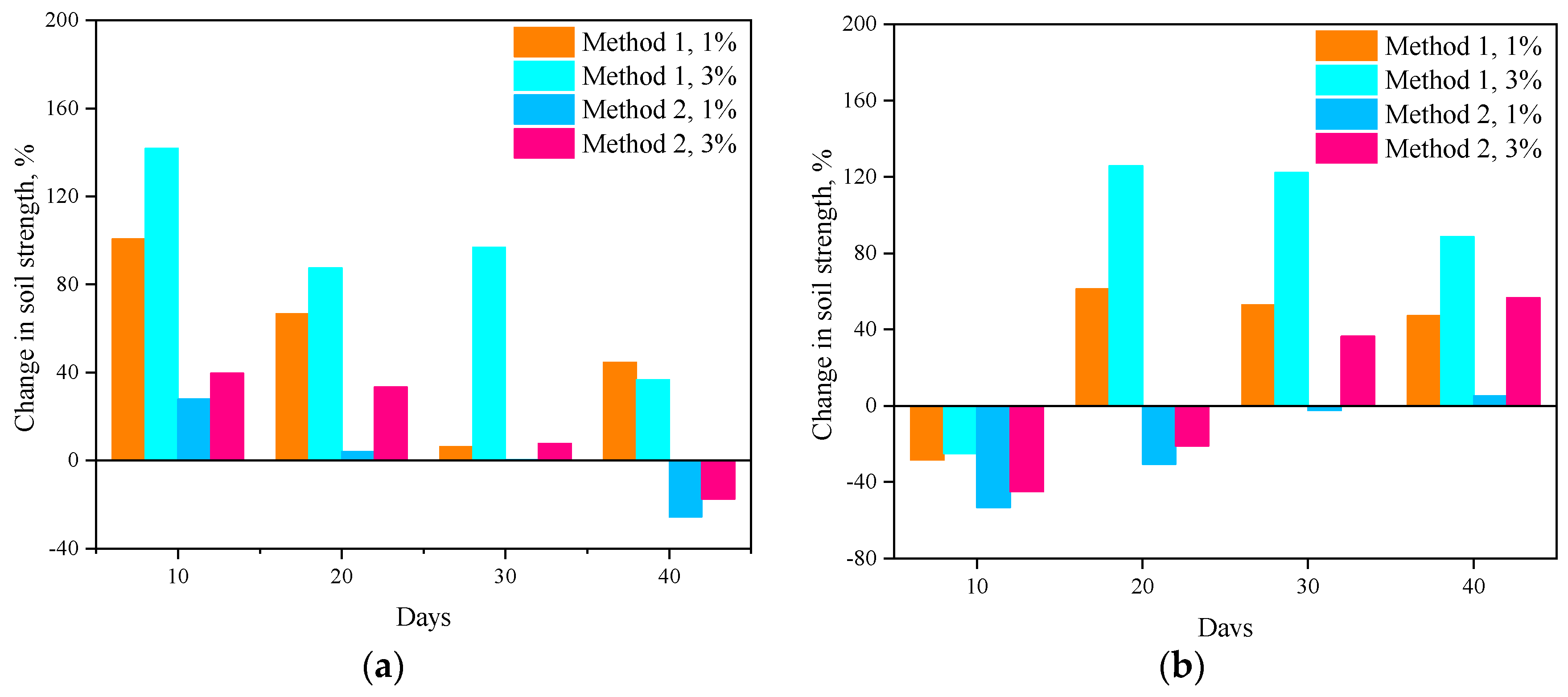
Effect of lignin on soil strength. The experimental data indicated that adding lignin to each tested soil generally led to an increase in soil strength. The obtained results are replotted in Figure 4 as the percentage of soil strength changes over time in comparison to the strength of the untreated soil specimens. For the lignin-treated Soil 1, the maximum increase in strength occurred after the first ten days, whereas Method 1 was associated with the greatest (more than 100%) increase in strength. Interestingly, the percentage of strength increase gradually diminished over time but remained positive (about 40%) after 40 days. However, for the soil specimens prepared by Method 2 (spray), the change in strength, compared to the untreated soil, became negligible after 30 days.
Figure 4.
Change in soil strength (%) over 40 days: (a) Soil 1; (b) Soil 2.
Unlike Soil 1, Soil 2 treated with lignin showed no increase in strength after 10 days, compared to the untreated specimens. However, the strength gradually increased over time, especially for Method 1, when the strength increased by 60% and 120% for the specimens mixed with 1% and 3% lignin, respectively. For the specimens sprayed with 1% lignin, no significant change in the strength was observed after 40 days.
The results from the vane shear tests (Figure 5) indicated that for each soil and lignin concentration, the vane shear strength of the treated soil exceeded the strength of the untreated soil. Method 1 significantly improved the soil strength with at least a 100% increase for each soil type compared to the untreated soil. Method 2 also produced soil samples with a greater strength than the untreated soil, but the increase was smaller, generally in the range of 50–100%.
Figure 5.
Change in vane shear strength (%) for Soil 1; Soil 2; Soil 3.
4.2. Visual Observations and Water Content
When lignin-treated soils underwent natural drying, a firm surface was formed. This dehydrated soil was strong and stiff enough to provide additional strength. This process was the most pronounced for Soil 3 mixed with 1% (Figure 6b) and 3% (Figure 6a) lignin solution. Interestingly, the lignin-treated soils managed to retain more moisture compared to the untreated soils by the end of the experiment.
Figure 6.
A view of the firm surface formed in Soil 3 mixed with (a) 3% and (b) 1% lignin solution.
The data on water content measured for each soil after 40 days are given in Figure 7. The increased water content was observed for Soil 1 treated with lignin solutions. Soil 3, treated with lignin, was also able to hold more water than the untreated sample. The water retention capacity of the lignin-treated soils can be a compelling factor for vegetation growth in places with limited precipitation. Previous studies have shown that biopolymers, including lignin, can lead to the formation of electrical charges around the soil particles that have a stronger bond with water molecules [39,60,61].
Figure 7.
Results of water content tests conducted at the end of the experiment: (a) Soil 1; (b) Soil 2; (c) Soil 3.
4.3. Seed Germination and Growth
Vegetation is an essential factor in increasing soil resistance to erosion. The vegetation root system can reinforce soil mass, preventing soil particle detachment. Fast vegetation growth contributes to effective soil stability treatment; however, the vegetation can fail due to insufficient precipitation (water access). In this study, seed germination and growth were monitored over 40 days, and the following observations were made: (1) The seed growth occurred for all types of soil and all concentrations of lignin (Figure 8 and Figure 9). (2) Rhodes grass growth was much better than the growth of the other two types of seeds. This was the case for all types of soil and lignin concentrations. (3) Better growth was observed for Soil 1 compared to the other two types of soil. (4) Less growth was observed for Soil 2 as its surface underwent significant drying. (5) The spray method was associated with better vegetation growth for all three soils.

Figure 8.
Seed germination and growth in Soil 1: untreated soil (a–c), treated with 1% lignin solution (d–f), and treated with 3% lignin solution (g–i)—10 days (a,d,g), 20 days (b,e,h), and 30 days (c,f,i).
Figure 9.
Seed germination and growth in Soil 3: untreated soil (a–c), treated with 1% lignin solution (d–f), and treated with 3% lignin solution (g–i)—10 days (a,d,g), 20 days (b,e,h), and 30 days (c,f,i).
To stimulate seed germination and growth, 100 mL of water was sprayed on the top of each soil twice per week. The rationale was to establish whether the seeds would germinate in lignin-treated soil and how it would be different from untreated soil under the same conditions. It is noted that daily watering and precipitation-controlled conditions would provide a better environment for seed growth [39], while less watering could result in fewer germinations [34] compared to the present study. The results indicated that considering the amount of watering in this study, the lignin-treated soils provided a suitable environment for seed germination and growth, comparable with the untreated soil. This study showed similar rates of seed germination and growth for both lignin-treated and untreated soils.
5. Conclusions
In this study, a laboratory investigation of different soil types treated with 1% and 3% lignin solutions was conducted to understand the effect of lignin on soil strength and seed growth. Based on the obtained data, the following conclusions can be drawn:
- -
- The application of lignin biopolymer increased the strength of all three tested soil types. Both pocket penetrometer and vane shear test results indicated that the soil treated with lignin produced greater strength, especially when a 3% lignin solution was used. For high-plasticity Soil 1, the maximum increase in the strength, compared to the untreated control soil sample, occurred after the first 10 days, while for low-plasticity Soil 2, the maximum increase in the strength occurred later, within 20–30 days.
- -
- The increase in soil strength was greater when lignin solutions were mixed with soil (Method 1) compared to the other method (Method 2) when lignin solutions were sprayed on the surface of the soil mass.
- -
- The lignin-treated soil could retain more water over the long term compared to the untreated soil. This was more pronounced for very plastic soil (Soil 1) and non-plastic sand (Soil 3) than for Soil 2. This extra moisture could contribute to better vegetation growth, leading to greater resistance to soil erosion.
- -
- Both lignin-treated and untreated soils produced similar results on seed germination and growth, suggesting that lignin does not have a negative effect on vegetation. The outcomes of this study indicate that the addition of lignin to soil can improve soil strength without negative effects on the environment and vegetation growth, which is important for alternative slope bioengineering methods.
Author Contributions
Conceptualization, I.G. and J.S.; methodology, I.G. and Q.T.; investigation, I.G. and Q.T.; writing—original draft preparation, I.G. and S.A.; writing—review and editing, I.G., S.A. and J.S.; supervision, I.G. All authors have read and agreed to the published version of the manuscript.
Funding
This research received no external funding. This research was performed with the financial assistance of the Griffith University Postgraduate Research Scholarship, GUPRS.
Institutional Review Board Statement
Not applicable.
Informed Consent Statement
Not applicable.
Data Availability Statement
The data that support the findings of this study are available from the corresponding author upon reasonable request.
Conflicts of Interest
The authors declare no conflicts of interest.
References
- Bagheri, P.; Gratchev, I.; Rybachuk, M. Effects of Xanthan Gum Biopolymer on Soil Mechanical Properties. Appl. Sci. 2023, 13, 887. [Google Scholar] [CrossRef]
- Dehghan, H.; Tabarsa, A.; Latifi, N.; Bagheri, Y. Use of xanthan and guar gums in soil strengthening. Clean Technol. Environ. Policy 2019, 21, 155–165. [Google Scholar] [CrossRef]
- Bagheri, P.; Gratchev, I.; Son, S.; Rybachuk, M. Durability, Strength, and Erosion Resistance Assessment of Lignin Biopolymer Treated Soil. Polymers 2023, 15, 1556. [Google Scholar] [CrossRef]
- Chang, I.; Im, J.; Prasidhi, A.K.; Cho, G.-C. Effects of Xanthan gum biopolymer on soil strengthening. Constr. Build. Mater. 2015, 74, 65–72. [Google Scholar] [CrossRef]
- Jang, C.; Yang, B.; Hong, W.-T.; Ahn, J.; Jung, J. Soil improvement using agar gum polymer for seismic liquefaction mitigation. Soil Dyn. Earthq. Eng. 2024, 177, 108405. [Google Scholar] [CrossRef]
- Chang, I.; Cho, G.-C. Strengthening of Korean residual soil with β-1, 3/1, 6-glucan biopolymer. Constr. Build. Mater. 2012, 30, 30–35. [Google Scholar] [CrossRef]
- Soldo, A.; Miletic, M.; Auad, M.L. Biopolymers as a sustainable solution for the enhancement of soil mechanical properties. Sci. Rep. 2020, 10, 267. [Google Scholar] [CrossRef]
- Bagheri, P.; Gratchev, I.; Zolghadr, M.; Son, S.; Kim, J.M. Mitigation of Soil Erosion and Enhancement of Slope Stability Through the Utilization of Lignin Biopolymer. Polymers 2024, 16, 1300. [Google Scholar] [CrossRef]
- Tingle, J.S.; Santoni, R.L. Stabilization of clay soils with nontraditional additives. Transp. Res. Rec. 2003, 1819, 72–84. [Google Scholar] [CrossRef]
- Al Mahamud, M.A.; Indraratna, B. Elastic modules of soils treated with lignosulfonate. In Proceedings of the 11th Australia New Zealand Conference on Geomechanics, Melbourne, Australia, 15–18 July 2012. [Google Scholar]
- Bai, Z.; Li, D.; Zhao, D.; Lu, W.; Liu, J. Experimental research on collapsibility of Xi’an Loess improved by calcium lignosulfonate. Coatings 2023, 13, 157. [Google Scholar] [CrossRef]
- Loranger, B.; Barbieri, D.M.; Rieksts, K.; Økern, J.; Stolpestad, S.S.; Hoff, I.; Scibilia, E. Mechanical and freezing behavior of quarry waste sands stabilized with two nontraditional additives. Cold Reg. Sci. Technol. 2024, 221, 104168. [Google Scholar] [CrossRef]
- Vaiana, R.; Oliviero Rossi, C.; Perri, G. An eco-sustainable stabilization of clayey road subgrades by lignin treatment: An overview and a comparative experimental investigation. Appl. Sci. 2021, 11, 11720. [Google Scholar] [CrossRef]
- Bolander, P. Laboratory testing of nontraditional additives for stabilization of roads and trail surfaces. Transp. Res. Rec. 1999, 1652, 24–31. [Google Scholar] [CrossRef]
- Indraratna, B.; Mahamud, M.A.A.; Vinod, J.S. Chemical and mineralogical behaviour of lignosulfonate treated soils. In Proceedings of the GeoCongress 2012: State of the Art and Practice in Geotechnical Engineering, Oakland, CA, USA, 25–29 March 2012; pp. 1146–1155. [Google Scholar]
- Chen, Q.; Indraratna, B. Shear behaviour of sandy silt treated with lignosulfonate. Can. Geotech. J. 2015, 52, 1180–1185. [Google Scholar] [CrossRef]
- Zhang, T.; Cai, G.; Liu, S. Assessment of mechanical properties in recycled lignin-stabilized silty soil as base fill material. J. Clean. Prod. 2018, 172, 1788–1799. [Google Scholar] [CrossRef]
- Zhang, T.; Cai, G.; Liu, S. Application of lignin-stabilized silty soil in highway subgrade: A macroscale laboratory study. J. Mater. Civ. Eng. 2018, 30, 04018034. [Google Scholar] [CrossRef]
- Zhang, T.; Liu, S.; Zhan, H.; Ma, C.; Cai, G. Durability of silty soil stabilized with recycled lignin for sustainable engineering materials. J. Clean. Prod. 2020, 248, 119293. [Google Scholar] [CrossRef]
- Kong, X.; Wang, G.; Liang, Y.; Zhang, Z.; Cui, S. The engineering properties and microscopic characteristics of high-liquid-limit soil improved with lignin. Coatings 2022, 12, 268. [Google Scholar] [CrossRef]
- Liu, Y.; Chang, M.; Wang, Q.; Wang, Y.; Liu, J.; Cao, C.; Zheng, W.; Bao, Y.; Rocchi, I. Use of Sulfur-Free Lignin as a novel soil additive: A multi-scale experimental investigation. Eng. Geol. 2020, 269, 105551. [Google Scholar] [CrossRef]
- Liu, Y.; Zheng, W.; Wang, Q.; Cao, C.; Chang, M.; Rocchi, I. Evaluating sulfur-free lignin as a sustainable additive for soil improvement against frost resistance. J. Clean. Prod. 2020, 251, 119504. [Google Scholar] [CrossRef]
- Singh, S.P.; Palsule, P.S.; Anand, G. Strength properties of expansive soil treated with sodium lignosulfonate. In Problematic Soils and Geoenvironmental Concerns: Proceedings of IGC 2018; Springer: Singapore, 2020; pp. 665–679. [Google Scholar]
- Ji, S.G.; Wang, B.Z.; Yang, X.J.; Fan, H.H. Experimental study of dispersive clay modified by calcium lignosulfonate. Rock Soil Mech. 2021, 42, 3. [Google Scholar]
- Amulya, G.; Moghal, A.A.B.; Basha, B.M.; Almajed, A. Coupled Effect of Granite Sand and Calcium Lignosulphonate on the Strength Behavior of Cohesive Soil. Buildings 2022, 12, 1687. [Google Scholar] [CrossRef]
- Boobalan, S.C.; Devi, M.S. Investigational study on the influence of lime and coir fiber in the stabilisation of expansive soil. Mater. Today Proc. 2022, 60, 311–314. [Google Scholar] [CrossRef]
- Du, X.; Wu, Q.; Ma, Q.; Tian, Y.; Zhang, J. Study on Strengthening and Waterproofing Mechanism of Calcium Lignosulfonate in Silty Soil Sites. Coatings 2023, 13, 1402. [Google Scholar] [CrossRef]
- Varsha, B.; Moghal, A.A.B.; Rehman, A.U.; Chittoori, B.C.S. Shear, Consolidation Characteristics and Carbon Footprint Analysis of Clayey Soil Blended with Calcium Lignosulphonate and Granite Sand for Earthen Dam Application. Sustainability 2023, 15, 6117. [Google Scholar] [CrossRef]
- Vakili, A.H.; Awam, A.; Keskin, İ. Innovative application of recycled waste biopolymers to enhance the efficiency of traditional compacted clay liners of landfill systems: Mitigating leachate impact. Mater. Lett. 2024, 365, 136487. [Google Scholar] [CrossRef]
- Kavazanjian, E., Jr.; Iglesias, E.; Karatas, I. Biopolymer soil stabilisation for wind erosion control. In Proceedings of the 17th International Conference on Soil Mechanics and Geotechnical Engineering, Alexandria, Egypt, 5–9 October 2009; Volume 1–4, pp. 881–884. [Google Scholar]
- Luiz, C.; Schauffler, G.P.; Lemos-Blainski, J.M.; Rosa, D.J.; Di Piero, R.M. Mechanisms of action of aloe polysaccharides and xanthan gum for control of black rot in cauliflower. Sci. Hortic. 2016, 200, 170–177. [Google Scholar] [CrossRef]
- Josifovski, J.; Susinov, B.; Atanasovska, A.N. Experimental and Numerical Modeling of Soil-Vegetation-Atmospheric Interaction on Slopes and Erosion Control Using Biopolymers and Vegetation. In Proceedings of the 4th European Regional Conference of IAEG, EUROENGEO, Dubrovnik, Croatia, 8–12 October 2024. [Google Scholar]
- Tran, A.T.P.; Chang, I.; Cho, G.C. Soil water retention and vegetation survivability improvement using microbial biopolymers in drylands. Geomech. Eng. 2019, 17, 475–483. [Google Scholar]
- Wang, H.; De Vries Frits, P.; Jin, Y. A win-win technique of stabilizing sand dune and purifying paper mill black-liquor. J. Environ. Sci. 2009, 21, 488–493. [Google Scholar] [CrossRef]
- Zezin, A.B.; Mikheikin, S.V.; Rogacheva, V.B.; Zansokhova, M.F.; Sybachin, A.V.; Yaroslavov, A.A. Polymeric stabilizers for protection of soil and ground against wind and water erosion. Adv. Colloid Interface Sci. 2015, 226, 17–23. [Google Scholar] [CrossRef]
- Naeimi, M.; Chu, J.; Khosroshahi, M.; Zenouzi, L.K. Soil stabilisation for dunes fixation using microbially induced calcium carbonate precipitation. Geoderma 2023, 429, 116183. [Google Scholar] [CrossRef]
- Nikolovska, A.; Josifovski, J.O.; Susinov, B. Stabilization of surface erosion on slopes using polymers and vegetation. In Proceedings of the 16th International Symposium on Water Management and Hydraulic Engineering, Skopje, North Macedonia, 5–7 September 2019; pp. 488–499. [Google Scholar]
- Yang, Q.W.; Pei, X.J.; Huang, R.Q. Impact of polymer mixtures on the stabilisation and erosion control of silty sand slope. J. Mt. Sci. 2019, 16, 470–485. [Google Scholar] [CrossRef]
- Chang, I.; Prasidhi, A.K.; Im, J.; Shin, H.D.; Cho, G.C. Soil treatment using microbial biopolymers for anti-desertification purposes. Geoderma 2015, 253, 39–47. [Google Scholar] [CrossRef]
- Ni, J.; Wang, Z.T.; Geng, X.Y. Vegetation growth promotion and overall strength improvement using biopolymers in vegetated soils. Can. Geotech. J. 2023, 61, 1294–1310. [Google Scholar] [CrossRef]
- Cho, G.C.; Chang, I. Cementless soil stabilizer–biopolymer. In Proceedings of the 2018 World Congress on Advances in Civil, Environmental, & Materials Research (ACEM18), Incheon, Republic of Korea, 27–31 August 2018; pp. 27–31. [Google Scholar]
- Cho, G.C.; Kwon, Y.M. Biopolymer-based soil treatment (BPST). In Proceedings of the 2022 World Congress on Advances in Civil, Environmental, & Materials Research (ACEM22), Seoul, Republic of Korea, 16–19 August 2022. [Google Scholar]
- Ko, D.; Kang, J. Biopolymer-Reinforced Levee for Breach Development Retardation and Enhanced Erosion Control. Water 2020, 12, 1070. [Google Scholar] [CrossRef]
- Wang, S.; Zhao, X.; Zhang, J.; Jiang, T.; Wang, S.; Zhao, J.; Meng, Z. Water retention characteristics and vegetation growth of biopolymer-treated silt soils. Soil Tillage Res. 2023, 225, 105544. [Google Scholar] [CrossRef]
- Savy, D.; Cozzolino, V. Novel fertilising products from lignin and its derivatives to enhance plant development and increase the sustainability of crop production. J. Clean. Prod. 2022, 366, 132832. [Google Scholar] [CrossRef]
- Liu, J.; Chen, Z.; Kanungo, D.P.; Song, Z.; Bai, Y.; Wang, Y.; Li, D.; Qian, W. Topsoil reinforcement of sandy slope for preventing erosion using water-based polyurethane soil stabilizer. Eng. Geol. 2019, 252, 125–135. [Google Scholar] [CrossRef]
- Seo, S.; Lee, M.; Im, J.; Kwon, Y.M.; Chung, M.K.; Cho, G.C.; Chang, I. Site application of biopolymer-based soil treatment (BPST) for slope surface protection: In-situ wet-spraying method and strengthening effect verification. Constr. Build. Mater. 2021, 307, 124983. [Google Scholar] [CrossRef]
- Che, W.; Liu, J.; Hao, S.; Ren, J.; Song, Z.; Bu, F. Application of colloid-sand coating treated by a hydrophilic polysaccharide biopolymer material for topsoil stability control. Geoderma 2022, 424, 115994. [Google Scholar] [CrossRef]
- Ni, J.; Chen, J.; Liu, S.; Hao, G.; Geng, X. Experimental Study of the Usage of Combined Biopolymer and Plants in Reinforcing the Clayey Soil Exposed to Acidic and Alkaline Contaminations. Appl. Sci. 2022, 12, 5808. [Google Scholar] [CrossRef]
- Ni, J.; Zhao, R.J.; Chen, J.Q.; Geng, X.Y. Mechanical and hydraulic characteristics of unvegetated or vegetated loess soils amended with xanthan gum. Transp. Geotech. 2024, 48, 101350. [Google Scholar] [CrossRef]
- Wan, J.; Tang, Z.; Liu, Y.; Xiao, H.; Wang, H. Study on the improvement of clay properties by xanthan gum and its application on ecological slope protection engineering. Environ. Technol. 2024, 45, 2762–2775. [Google Scholar] [CrossRef] [PubMed]
- ASTM D4318-17; Standard Test Methods for Liquid Limit, Plastic Limit, and Plasticity Index of Soils. ASTM International: West Conshohocken, PA, USA, 2017.
- ASTM D698-12; Standard Test Methods for Laboratory Compaction Characteristics of Soil Using Standard Effort (12,400 ft-lbf/ft3 (600 kN-m/m3)). ASTM International: West Conshohocken, PA, USA, 2012.
- ASTM D854-23; Standard Test Methods for Specific Gravity of Soil Solids by the Water Displacement Method. ASTM International: West Conshohocken, PA, USA, 2023.
- NSW Government. Rhodes Grass. Available online: https://www.dpi.nsw.gov.au/agriculture/pastures-and-rangelands/species-varieties/pf/factsheets/rhodes-grass (accessed on 8 April 2025).
- ASTM D2573-08; Standard Test Method for Field Vane Shear Test in Cohesive Soil. ASTM International: West Conshohocken, PA, USA, 2008. [CrossRef]
- Gratchev, I.; Bagheri, P.; Sugawara, J. Application of biopolymer for soil improvement: Laboratory and field experience. In Proceedings of the Thirteenth International Conference on Geotechnique, Construction Materials and Environment, GEOMATE, Tsu, Japan, 14–16 November 2023; The GEOMATE International Society: Kyoto, Japan, 2023. [Google Scholar]
- Burt, L.G. Handbook of Geotechnical Investigation and Design Tables; Taylor & Francis: Oxfordshire, UK, 2007. [Google Scholar]
- Ravindran, S.; Gratchev, I. Effect of Water Content on Apparent Cohesion of Soils from Landslide Sites. Geotechnics 2022, 2, 385–394. [Google Scholar] [CrossRef]
- Narjary, B.; Aggarwal, P.; Singh, A.; Chakraborty, D.; Singh, R. Water availability in different soils in relation to hydrogel application. Geoderma 2012, 187, 94–101. [Google Scholar] [CrossRef]
- Sharma, K.; Kaith, B.S.; Kumar, V.; Kalia, S.; Kumar, V.; Swart, H.C. Water retention and dye adsorption behavior of Gg-cl-poly (acrylic acid-aniline) based conductive hydrogels. Geoderma 2014, 232, 45–55. [Google Scholar] [CrossRef]
Disclaimer/Publisher’s Note: The statements, opinions and data contained in all publications are solely those of the individual author(s) and contributor(s) and not of MDPI and/or the editor(s). MDPI and/or the editor(s) disclaim responsibility for any injury to people or property resulting from any ideas, methods, instructions or products referred to in the content. |
© 2025 by the authors. Licensee MDPI, Basel, Switzerland. This article is an open access article distributed under the terms and conditions of the Creative Commons Attribution (CC BY) license (https://creativecommons.org/licenses/by/4.0/).









