Model Test of Dynamic Response of Living Poles Slope Under Train Loads
Abstract
1. Introduction
2. Model Test of the Living Poles Slope Under the Action of Train Vibration
2.1. Original Slopes
2.2. Similar Materials
2.3. Model Box and Model Boundary Condition
2.4. Filling the Embankment Slope
2.5. The Layout Scheme of Monitoring Point
2.6. Vibration Exciter and Data Acquisition System
2.7. Test Scheme of Exciting Force
3. Dynamic Response of Living Poles Slope Under the Train Loads
3.1. Dynamic Stress Response of Embankment Slope Under Train Load
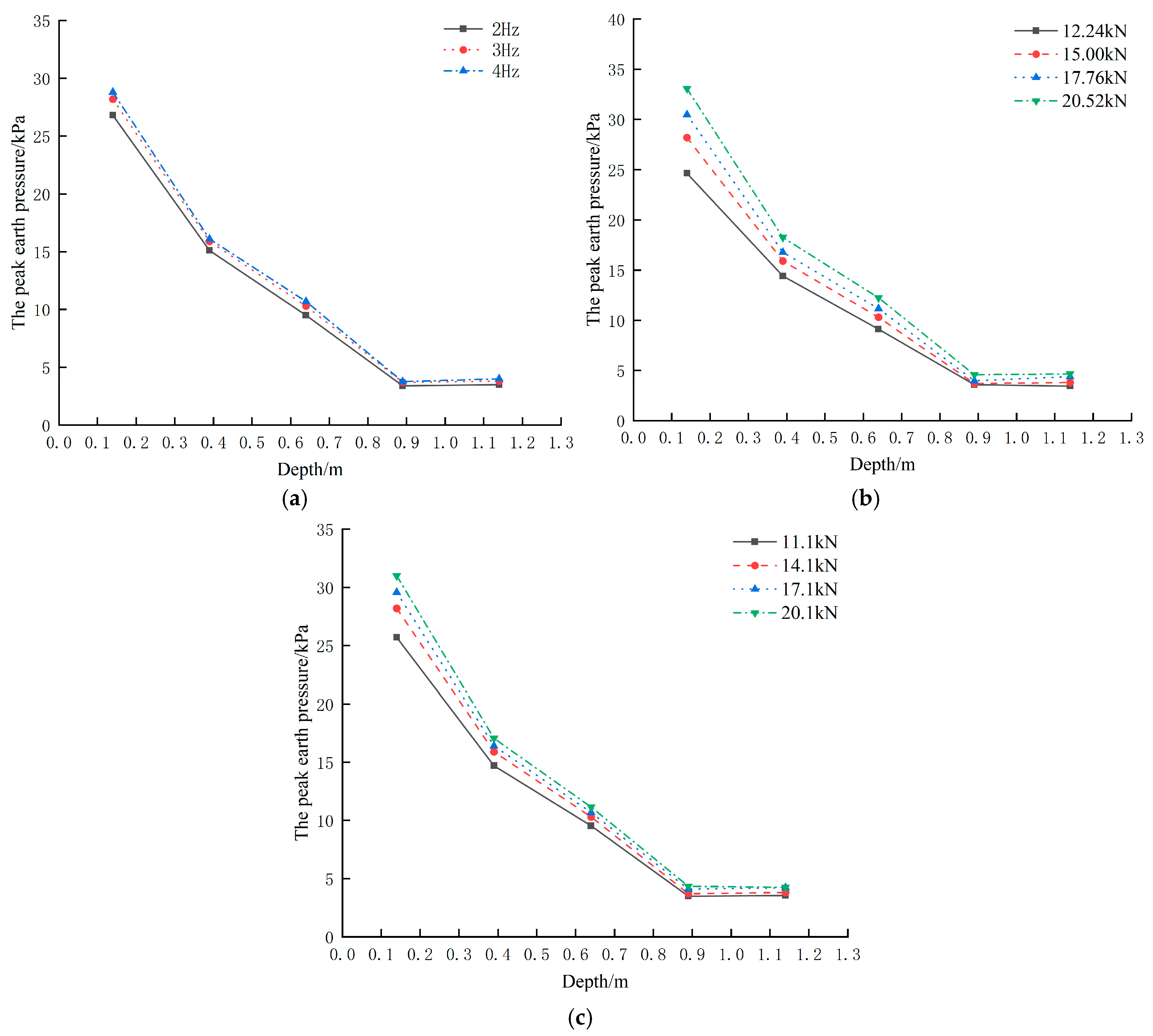
3.1.1. Variation Law of Earth Pressure Response Peak with Different Train Loads
3.1.2. Distribution Law of Slope Displacement of the Embankment Slope
3.2. Dynamic Stress Response Law of Living Poles Under Train Load
3.2.1. Bending Moment of Taproot of Living Poles
3.2.2. Stress Distribution of Lateral Roots
4. Discussion
4.1. Transfer of Dynamic Additional Stress in the Slope Body
4.2. The Effect of Living Poles on the Stability of the Embankment Slope
5. Conclusions
- (1)
- With the increase of excitation frequency, peak value under excitation, and excitation amplitude, the earth pressure on the embankment slope improve continuously, which reflects that the higher the train speed, the larger the train axle load and the greater the impact load caused by track unevenness, the more significant the dynamic response of the embankment slope is. For the living poles embankment slope in this test, the earth pressure gradually decays along the depth direction, with the rate of decay being faster on the upper and slower on the lower. The attenuation is faster on the surface of the foundation bed and at the bottom of the foundation bed than in the body of the embankment, and the depth mainly affected by the dynamic load is about 0.89 m.
- (2)
- The dynamic displacement of the slope surface increases with the raising of the train axle load, and the dynamic displacement of the bed layer is larger than that of the embankment slope body. However, the foundation bed is not suitable for the support of living poles. For the body of the embankment slope, the displacement response of the upper part of the embankment slope body and the position about 1/4 slope elevation from the slope foot is the largest. When the support of living poles is carried out, the support should be strengthened at these two positions.
- (3)
- The bending moment of the taproot and the stress of the lateral root increase with the raising of the train axle load, and the stress response of the living pole located at the slope top of the embankment is the largest. By comparing and analyzing the stress amplitudes of the measured points on the lateral root with different distances from the slope surface, it is known that the slope face has an amplification effect on the train vibration load, and the farther away from the track, the smaller the amplification effect is. In addition, due to the presence of lateral roots, the taproot of the living stump had multiple points of contra flexure, and the bending moment of the taproot part between the lateral roots showed a law of larger on the top and smaller on the bottom.
Author Contributions
Funding
Institutional Review Board Statement
Informed Consent Statement
Data Availability Statement
Conflicts of Interest
References
- Zhu, H.; Zhang, L. Root-soil-water hydrological interaction and its impact on slope stability. Georisk Assess. Manag. Risk Eng. Syst. Geohazards 2019, 13, 349–359. [Google Scholar] [CrossRef]
- Yamase, K.; Todo, C.; Torii, N.; Tanikawa, T.; Yamamoto, T.; Ikeno, H.; Ohashi, M.; Dannoura, M.; Hirano, Y. Dynamics of soil reinforcement by roots in a regenerating coppice stand of Quercus serrata and effects on slope stability. Ecol. Eng. 2021, 162, 106169. [Google Scholar] [CrossRef]
- Wang, X.; Hong, M.-M.; Huang, Z.; Zhao, Y.-F.; Ou, Y.-S.; Jia, H.-X.; Li, J. Biomechanical properties of plant root systems and their ability to stabilize slopes in geohazard-prone regions. Soil Tillage Res. 2019, 189, 148–157. [Google Scholar] [CrossRef]
- Xu, Z.-M.; Huang, R.-Q.; Tang, Z.-G.; Wang, S.-D. Limitations of biotechnical slope protection and contribution of vegetation to deep seated landslide preparation. Yanshilixue Yu Gongcheng Xuebao/Chin. J. Rock Mech. Eng. 2005, 24, 438–450. [Google Scholar]
- Schiechtl, H.M.; Stern, R. Ground Bioengineering Techniques for Slope Protection and Erosion Control; Wiley-Blackwell: Hoboken, NJ, USA, 1996. [Google Scholar]
- Zhu, Y.; Yang, H.; Liu, Y.; Jiang, X.; Deng, R.; Huang, L.; Yin, P.; Lai, G. Numerical simulation of the combined slope protection effect of living stump and bamboo anchor. Geotech. Geol. Eng. 2021, 40, 635–645. [Google Scholar] [CrossRef]
- Niu, J.; Zhou, Y.; Zhang, J.; Duan, D.; Chen, K.P. Tensile strength of root and soil composite based on new tensile apparatus. J. Southwest JiaoTong Univ. 2022, 57, 191–199. [Google Scholar]
- Niu, J.; Zhang, J.; Yan, S.; Jiang, X.; Wang, F. Seismic stability analysis of shallow overburden slopes with vegetation protection. Environ. Earth Sci. 2024, 83, 477. [Google Scholar] [CrossRef]
- Prasad, A.; Kazemian, S.; Kalantari, B.; Huat, B.B.; Mafian, S. Stability of tropical residual soil slope reinforced by live pole: Experimental and numerical investigations. Arab. J. Sci. Eng. 2012, 37, 601–618. [Google Scholar] [CrossRef]
- Kamchoom, V.; Leung, A.K. Hydro-mechanical reinforcements of live poles to slope stability. Soils Found. 2018, 58, 1423–1434. [Google Scholar] [CrossRef]
- Stokes, A.; Atger, C.; Bengough, A.G.; Fourcaud, T.; Sidle, R.C. Desirable plant root traits for protecting natural and engineered slopes against landslides. Plant Soil 2009, 324, 1–30. [Google Scholar] [CrossRef]
- Zhang, J.-J.; Niu, J.-Y.; Fu, X.; Cao, L.-C.; Xie, Q. Shaking table test of seismic responses of anchor cable and lattice beam reinforced slope. J. Mt. Sci. 2020, 17, 1251–1268. [Google Scholar] [CrossRef]
- Leal, D.; Winter, M.G.; Seddon, R.; Nettleton, I.M. A comparative life cycle assessment of innovative highway slope repair techniques. Transp. Geotech. 2020, 22, 100322. [Google Scholar] [CrossRef]
- Maffra, C.R.B.; Sousa, R.d.S.; Sutili, F.J.; Pinheiro, R.J.B. Evaluation of live cuttings effect on slope stability. Floresta Ambiente 2018, 26, e20170738. [Google Scholar] [CrossRef]
- Ren, X.; Wu, J.; Tang, Y.; Yang, J. Propagation and attenuation characteristics of the vibration in soft soil foundations induced by high-speed trains. Soil Dyn. Earthq. Eng. 2019, 117, 374–383. [Google Scholar] [CrossRef]
- Tang, Y.; Yang, Q.; Ren, X.; Xiao, S. Dynamic response of soft soils in high-speed rail foundation: In situ measurements and time domain finite element method model. Can. Geotech. J. 2019, 56, 1832–1848. [Google Scholar] [CrossRef]
- Qu, S.; Yang, J.; Zhu, S.; Zhai, W.; Kouroussis, G.; Zhang, Q. Experimental study on ground vibration induced by double-line subway trains and road traffic. Transp. Geotech. 2021, 29, 100564. [Google Scholar] [CrossRef]
- Liang, T.; Bengough, A.; Knappett, J.; MuirWood, D.; Loades, K.W.; Hallett, P.D.; Boldrin, D.; Leung, A.K.; Meijer, G. Scaling of the reinforcement of soil slopes by living plants in a geotechnical centrifuge. Ecol. Eng. 2017, 109, 207–227. [Google Scholar] [CrossRef]
- TB 10001-2016; Code for Design of Railway Earth Structure. Chinese National Standard: Beijing, China, 2016.
- Cox, S.; Wang, A.; Morison, C.; Carels, P.; Kelly, R.; Bewes, O. A test rig to investigate slab track structures for controlling ground vibration. J. Sound Vib. 2006, 293, 901–909. [Google Scholar] [CrossRef]
- Liu, H.; Sun, G.; Kong, G.; Li, H. Experimental study on dynamic soil pressure distribution law of X-shaped pile-raft composite foundation for ballastless track. Chin. J. Geotech. Eng. 2016, 38, 1933–1940. [Google Scholar]
- Jan, W.B.; Hu, Z.Z.; Fan, X.F. Response of slope to cyclic loading. J. Rock Mech. Eng. 2008, 27, 2562–2567. [Google Scholar]
- Jiang, X.L.; Wang, Z.H.; Yang, H. Dynamic response law and stability of living stump slopes under train loading. J. Vib. Eng. 2023, 1–10. [Google Scholar]
- Long, J.; Li, M.; Cui, L.; Zhang, L.; Lu, J. A method for calculating stabilizing pile spacing by integrating the mechanical characteristics of soil arching. Arab. J. Geosci. 2022, 15, 299. [Google Scholar] [CrossRef]
- Zhuang, Y.; Wang, K. Finite element analysis on the dynamic behavior of soil arching effect in piled embankment. Transp. Geotech. 2018, 14, 8–21. [Google Scholar] [CrossRef]
- Jiang, X.L.; Liu, W.J.; Yang, H. Study on Mechanical Characteristics of Living Stumps and Reinforcement Mechanisms of Slopes. Sustainability 2024, 16, 4294. [Google Scholar] [CrossRef]
- Liang, T.; Knappett, J.; Bengough, A.; Ke, Y.X. Small-scale modelling of plant root systems using 3D printing, with applications to investigate the role of vegetation on earthquake-induced landslides. Landslides 2017, 14, 1747–1765. [Google Scholar] [CrossRef]













| Physical Quantity | Similarity Relation | Similarity Factor | Postscript |
|---|---|---|---|
| ) | 7 | controlled quantity | |
| ) | 1 | controlled quantity | |
| ) | 1 | controlled quantity | |
| ) | 1 | ||
| ) | 1 | ||
| ) | 1 | ||
| ) | 49 | ||
| ) | 0.14 | ||
| Displacement (u) | 7 | ||
| ) | 1 | ||
| Time (t) | 7 |
| Burial Depth/m | Moisture Content/% | Dry Density/g∙cm−3 | Compacting Factor/K |
|---|---|---|---|
| −0.45 | 12.3 | 1.79 | 0.96 |
| −0.65 | 11.9 | 1.78 | 0.95 |
| −0.85 | 12.5 | 1.78 | 0.95 |
| −1.05 | 13.1 | 1.85 | 0.98 |
| −1.25 | 12.8 | 1.76 | 0.94 |
| Working Conditions | Frequency/Hz | Axle Load/kN | Amplitude/kN | Peak/kN |
|---|---|---|---|---|
| 1 | 2 | 15 | 14.1 | 29.1 |
| 2 | 3 | 15 | 14.1 | 29.1 |
| 3 | 4 | 15 | 14.1 | 29.1 |
| 4 | 3 | 12.24 | 14.1 | 26.65 |
| 5 | 3 | 17.76 | 14.1 | 31.86 |
| 6 | 3 | 20.52 | 14.1 | 34.62 |
| 7 | 3 | 15 | 11.1 | 25.1 |
| 8 | 3 | 15 | 17.1 | 32.1 |
| 9 | 3 | 15 | 20.1 | 35.1 |
Disclaimer/Publisher’s Note: The statements, opinions and data contained in all publications are solely those of the individual author(s) and contributor(s) and not of MDPI and/or the editor(s). MDPI and/or the editor(s) disclaim responsibility for any injury to people or property resulting from any ideas, methods, instructions or products referred to in the content. |
© 2024 by the authors. Licensee MDPI, Basel, Switzerland. This article is an open access article distributed under the terms and conditions of the Creative Commons Attribution (CC BY) license (https://creativecommons.org/licenses/by/4.0/).
Share and Cite
Jiang, X.; Wang, Z.; Yang, H.; Wang, H. Model Test of Dynamic Response of Living Poles Slope Under Train Loads. Appl. Sci. 2024, 14, 11355. https://doi.org/10.3390/app142311355
Jiang X, Wang Z, Yang H, Wang H. Model Test of Dynamic Response of Living Poles Slope Under Train Loads. Applied Sciences. 2024; 14(23):11355. https://doi.org/10.3390/app142311355
Chicago/Turabian StyleJiang, Xueliang, Zihao Wang, Hui Yang, and Haodong Wang. 2024. "Model Test of Dynamic Response of Living Poles Slope Under Train Loads" Applied Sciences 14, no. 23: 11355. https://doi.org/10.3390/app142311355
APA StyleJiang, X., Wang, Z., Yang, H., & Wang, H. (2024). Model Test of Dynamic Response of Living Poles Slope Under Train Loads. Applied Sciences, 14(23), 11355. https://doi.org/10.3390/app142311355

