Inline Monitoring of Lithium Brines with Low-Field NMR
Abstract
1. Introduction
2. Materials and Methods
3. Results
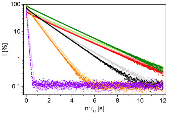
3.1. Transverse 1H Relaxation Measurements
Transverse Relaxation of Aqueous LiCl Solutions
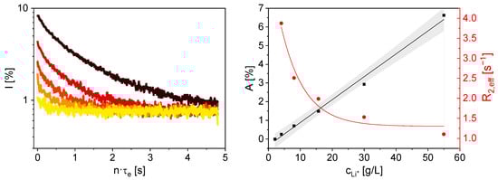
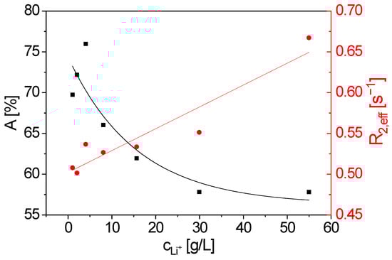
3.2. Transverse 7Li Relaxation Measurements
3.2.1. Static Measurements with the Minispec mq20
3.2.2. Static Measurements with the V Sensor
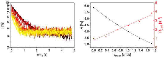
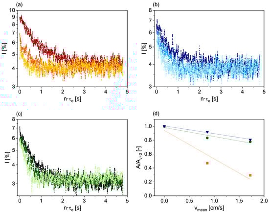
3.3. Inline Measurements on Flowing Lithium-Containing Samples
4. Discussion and Conclusions
Author Contributions
Funding
Institutional Review Board Statement
Informed Consent Statement
Data Availability Statement
Acknowledgments
Conflicts of Interest
Abbreviations
| CPMG | Carr–Purcell–Meiboom–Gill pulse sequence |
| ICP-OES | Inductively coupled plasma—optical emission spectrometry |
| NMR | Nuclear Magnetic Resonance |
| rf | Radio frequency |
References
- Steiger, K.; Hilgers, C.; Kolb, J. Lithiumbedarf Für Die Batteriezellen-Produktion in Deutschland Und Europa Im Jahr 2030; KIT: Karlsruhe, Germany, 2022. [Google Scholar]
- Bowler, A.L.; Bakalis, S.; Watson, N.J. A review of in-line and on-line measurement techniques to monitor industrial mixing processes. Chem. Eng. Res. Des. 2020, 153, 463–495. [Google Scholar] [CrossRef]
- Wüthrich, K. NMR studies of structure and function of biological macromolecules. Biosci. Rep. 2003, 23, 119–153. [Google Scholar] [CrossRef]
- Chinn, S.C.; Cook-Tendulkar, A.; Maxwell, R.; Wheeler, H.; Wilson, M.; Xie, Z.H. Qualification of Automated Low-Field NMR Relaxometry for Quality Control of Polymers in a Production Setting. Polym. Test. 2007, 26, 1015–1024. [Google Scholar] [CrossRef]
- Kern, S.; Wander, L.; Meyer, K.; Guhl, S.; Mukkula, A.R.G.; Holtkamp, M.; Salge, M.; Fleischer, C.; Weber, N.; King, R.; et al. Flexible automation with compact NMR spectroscopy for continuous production of pharmaceuticals. Anal. Bioanal. Chem. 2019, 411, 3037–3046. [Google Scholar] [CrossRef] [PubMed]
- Mitchell, J.; Gladden, L.F.; Chandrasekera, T.C.; Fordham, E.J. Low-field permanent magnets for industrial process and quality control. Prog. Nucl. Magn. Reson. Spectrosc. 2014, 76, 1–60. [Google Scholar] [CrossRef] [PubMed]
- Fan, K.; Zhang, M. Recent developments in the food quality detected by non-invasive nuclear magnetic resonance technology. Crit. Rev. Food Sci. Nutr. 2019, 59, 2202–2213. [Google Scholar] [CrossRef]
- Markert, A.; Rudszuck, T.; Gerasimov, M.; Krewer, U.; Nirschl, H.; Guthausen, G. Lithium Mobility in Graphite Anodes at Different States of Charge as Observed by NMR. J. Phys. Chem. C 2025, 129, 3951–3958. [Google Scholar] [CrossRef]
- Letellier, M.; Chevallier, F.; Béguin, F.; Frackowiak, E.; Rouzaud, J.-N. The first in situ 7Li NMR study of the reversible lithium insertion mechanism in disorganised carbons. J. Phys. Chem. Solids 2004, 65, 245–251. [Google Scholar] [CrossRef]
- Zaghib, K.; Tatsumi, K.; Sawada, Y.; Higuchi, S.; Abe, H.; Ohsaki, T. 7Li - NMR of Well-Graphitized Vapor-Grown Carbon Fibers and Natural Graphite Negative Electrodes of Rechargeable Lithium-Ion Batteries. J. Electrochem. Soc. 1999, 146, 2784–2793. [Google Scholar] [CrossRef]
- Appelt, S.; Kuhn, H.; Häsing, F.W.; Blümich, B. Chemical analysis by ultrahigh-resolution nuclear magnetic resonance in the Earths magnetic field. Nat. Phys. 2006, 2, 105–109. [Google Scholar] [CrossRef]
- Fukushima, E.; Roeder, S.B.W. Experimental Pulse NMR, A Nuts and Bolts Approach; Addison-Wesley Publishing Company Inc.: London, UK, 1981. [Google Scholar]
- Abragam, A. Principles of Nuclear Magnetism; Oxford University Press: Oxford, UK, 1961. [Google Scholar]
- Blümich, B.; Blümich, P.; Pauly. Essential NMR; Springer Nature: Cham, Switzerland, 2005. [Google Scholar]
- Schmid, E.; Rondeau, S.; Rudszuck, T.; Nirschl, H.; Guthausen, G. Inline NMR via a Dedicated V-Shaped Sensor. Sensors 2023, 23, 2388. [Google Scholar] [CrossRef]
- Schmid, E.; Pertzel, T.O.; Nirschl, H.; Guthausen, G. Characterization of Flow with a V-Shaped NMR Sensor. Sensors 2024, 24, 6163. [Google Scholar] [CrossRef]
- Herold, H.; Hardy, E.H.; Ranft, M.; Wassmer, K.H.; Nestle, N. Online Rheo-TD NMR for analysing batch polymerisation processes. Microporous Mesoporous Mater. 2013, 178, 74–78. [Google Scholar] [CrossRef]
- Corver, J.; Guthausen, G.; Kamlowski, A. In-line non-contact check weighing (NCCW) with nuclear magnetic resonance (NMR) presents new opportunities and challenges in process control. Pharm. Eng. 2005, 25, 18–30. [Google Scholar]
- Colnago, L.A.; Andrade, F.D.; Souza, A.A.; Azeredo, R.B.V.; Lima, A.A.; Cerioni, L.M.; Osan, T.M.; Pusiol, D.J. Why is Inline NMR Rarely Used as Industrial Sensor? Challenges and Opportunities. Chem. Eng. Technol. 2014, 37, 191–203. [Google Scholar] [CrossRef]
- Foley, D.A.; Bez, E.; Codina, A.; Colson, K.L.; Fey, M.; Krull, R.; Piroli, D.; Zell, M.T.; Marquez, B.L. NMR flow tube for online NMR reaction monitoring. Anal. Chem. 2014, 86, 12008–12013. [Google Scholar] [CrossRef]
- Keifer, P.A. Flow techniques in NMR spectroscopy. Annu. Rep. NMR Spectrosc. 2007, 62, 1–47. [Google Scholar] [CrossRef]
- Rudszuck, T.; Zick, K.; Groß, D.; Nirschl, H.; Guthausen, G. Dedicated NMR sensor to analyze relaxation and diffusion in liquids and its application to characterize lubricants. Magn. Reson. Chem. 2021, 59, 825–834. [Google Scholar] [CrossRef]
- Carr, H.Y.; Purcell, E.M. Effects of Diffusion on Free Precession in Nuclear Magnetic Resonance Experiments. Phys. Rev. 1954, 94, 630–638. [Google Scholar] [CrossRef]
- Meiboom, S.; Gill, D. Modified spin-echo method for measuring nuclear relaxation times. Rev. Sci. Instrum. 1958, 29, 688–691. [Google Scholar] [CrossRef]
- Herold, H.; Hardy, E.H.; Wassmer, K.H.; Nestle, N. Towards Online-Rheo-TD-NMR in Bypass Lines for Analysing of Batch Polymerization Processes. Chem. Ing. Tech. 2012, 84, 93–99. [Google Scholar] [CrossRef]
- Schmid, E.; Kontschak, L.; Nirschl, H.; Guthausen, G. NMR in Battery Anode Slurries with a V-Shaped Sensor. Sensors 2024, 24, 3353. [Google Scholar] [CrossRef] [PubMed]
- Hürlimann, M.; Griffin, D. Spin dynamics of Carr–Purcell–Meiboom–Gill-like sequences in grossly inhomogeneous B0 and B1 fields and application to NMR well logging. J. Magn. Reson. 2000, 143, 120–135. [Google Scholar] [CrossRef] [PubMed]
- Callaghan, P.T. Principles of Nuclear Magnetic Resonance Microscopy; Oxford University Press: New York, NY, USA, 1991. [Google Scholar]
- Pope, J.M. Quantitative NMR Imaging of Flow. Concept Magn. Res 1993, 5, 281–302. [Google Scholar] [CrossRef]
- Gao, J.-H.; Liu, H.-L. Inflow effects on functional MRI. NeuroImage 2012, 62, 1035–1039. [Google Scholar] [CrossRef]









| Measurement | LiCl in Water Solutions | Samples from a Lithium Extraction Process |
|---|---|---|
| 1H static, mq20 | x | x |
| 7Li static, mq20 | x | |
| 7Li static, V sensor | x | |
| 7Li flow, V sensor | x |
| Sample/ Element | Li | Na | K | Ca | Sr | Si | Mg | Mn | Fe | Cu | Zn |
|---|---|---|---|---|---|---|---|---|---|---|---|
| 1 | 27,109 | 649 | 185 | 0.12 | 0.19 | 2.8 | 0.005 | <0.21 | <0.99 | <5.5 | <0.71 |
| 2 | 884 | 665 | 252 | 267 | 13 | 54 | 3.6 | 1.5 | 2.4 | <0.53 | 0.79 |
| 3 | 350 | - | - | - | - | - | - | - | - | - | - |
| 4 | 176 | 28,360 | 4167 | 8334 | 418 | 2.5 | 5.8 | 0.36 | <0.11 | <0.31 | <0.09 |
| 5 | 12 | 28,657 | 4205 | 7998 | 427 | 62 | 118 | 26 | 26 | <0.53 | 5.3 |
| Parameter | Value |
|---|---|
| Larmor frequency | 20.02 MHz |
| 90° pulse duration | 7.76 µs |
| Pulse attenuation | 24 dB |
| Echo time τe | 8 ms |
| Number of echoes n | 1500 |
| Recycle delay | 10 s |
| Receiver gain | 59 dB |
| Number of averages | 16 |
| Parameter | Value |
|---|---|
| Larmor frequency | 7.77 MHz |
| 90° pulse duration | 7 µs |
| Pulse attenuation | 10 dB |
| Echo time τe | 2.8 ms |
| Number of echoes n | 600 |
| Recycle delay | 20 s |
| Receiver gain | 119 dB |
| Number of averages | 16 |
| Parameter | Value |
|---|---|
| Larmor frequency | 8.64 MHz |
| 90° pulse duration | 15.5 µs |
| Pulse attenuation | 7 dB |
| Echo time τe | 1.5 ms |
| Number of echoes n | 3199 |
| Recycle delay | 20 s |
| Receiver gain | 110 dB |
| Number of averages | 176 |
Disclaimer/Publisher’s Note: The statements, opinions and data contained in all publications are solely those of the individual author(s) and contributor(s) and not of MDPI and/or the editor(s). MDPI and/or the editor(s) disclaim responsibility for any injury to people or property resulting from any ideas, methods, instructions or products referred to in the content. |
© 2025 by the authors. Licensee MDPI, Basel, Switzerland. This article is an open access article distributed under the terms and conditions of the Creative Commons Attribution (CC BY) license (https://creativecommons.org/licenses/by/4.0/).
Share and Cite
Schmid, E.; Lerner, R.; Rudszuck, T.; Nirschl, H.; Guthausen, G. Inline Monitoring of Lithium Brines with Low-Field NMR. Appl. Sci. 2025, 15, 9987. https://doi.org/10.3390/app15189987
Schmid E, Lerner R, Rudszuck T, Nirschl H, Guthausen G. Inline Monitoring of Lithium Brines with Low-Field NMR. Applied Sciences. 2025; 15(18):9987. https://doi.org/10.3390/app15189987
Chicago/Turabian StyleSchmid, Eric, Rahel Lerner, Thomas Rudszuck, Hermann Nirschl, and Gisela Guthausen. 2025. "Inline Monitoring of Lithium Brines with Low-Field NMR" Applied Sciences 15, no. 18: 9987. https://doi.org/10.3390/app15189987
APA StyleSchmid, E., Lerner, R., Rudszuck, T., Nirschl, H., & Guthausen, G. (2025). Inline Monitoring of Lithium Brines with Low-Field NMR. Applied Sciences, 15(18), 9987. https://doi.org/10.3390/app15189987

