Next Article in Journal
Optimization Study on Key Parameters for Mechanical Excavation of Deep-Buried Large-Section Metro Station
Previous Article in Journal
Research on Preparation Process of Ultrafine Spherical WC-10Co-4Cr Spraying Powder Based on Spray Granulation
 
 
Font Type:
Arial Georgia Verdana
Font Size:
Aa Aa Aa
Line Spacing:
Column Width:
Background:
Article

Mechanical Properties and Energy Evolution Characteristics of Crushed Quartz Sandstone After Grouting Reinforcement

1
School of Resources and Safety Engineering, Central South University, Changsha 410083, China
2
Hunan Key Laboratory of Resources Exploitation and Hazard Control for Deep Metal Mines, Changsha 410083, China
*
Author to whom correspondence should be addressed.
Appl. Sci. 2025, 15(18), 10217; https://doi.org/10.3390/app151810217
Submission received: 27 August 2025 / Revised: 16 September 2025 / Accepted: 18 September 2025 / Published: 19 September 2025

Abstract

Grouting-reinforced crushed rock is widely used for stability control in tunneling and deep mining, yet the coupled influence of particle size, curing time, grouting pressure, and clay content on post-grouting mechanical behavior remains insufficiently quantified. This study investigates the uniaxial compressive response and energy-evolution characteristics of grouting-reinforced crushed quartz sandstone under a multi-factor experimental program. Using a custom test setup and standardized loading protocol, stress–strain responses were recorded and decomposed into elastic-strain energy and dissipated energy to interpret the failure evolution. Results reveal systematic trends and interactions among the four factors in terms of strength, stiffness, and energy evolution, demonstrating that energy-based indices provide a robust lens for interpreting failure processes in grouting-reinforced crushed rock. These findings offer practical insights for optimizing grouting parameters for construction and post-grouting stability assessment in underground engineering.

1. Introduction

With the rapid development of industrialization and urbanization, tunnel engineering, underground space projects, and mining engineering have expanded into deeper geological strata and environmentally sensitive regions, particularly in southwest China [1]. Globally, escalating resources demand and infrastructure needs have further driven advancements in these fields, with projects increasingly encountering complex challenges such as high in situ stress, high temperature, high groundwater pressure, and mining-induced disturbances. These conditions frequently lead to stress concentration and progressive rock failure, necessitating effective reinforcement strategies. Grouting technology has emerged as a critical solution, enhancing the physical and mechanical properties of fractured rock masses through cementation. By improving post-peak strength, ductility and deformation characteristics, grouting significantly stabilizes surrounding rock stability and preserves tunnel integrity [2].
In field applications, grouting effectiveness is governed by a combination of construction techniques and environmental factors, including water-cement ratio, rock fragmentation and operational parameters. Consequently, systematic investigation of the mechanical behavior and energy evolution of grouted fractured rock masses under variable conditions is essential for optimizing grouting protocols in deep, geologically unstable environments.
Prior studies have established foundational insights into grouting mechanics. For instance, Liu et al. [3] developed a novel fissured rock specimen preparation method and demonstrated the role of grouting in enhancing fractured rock masses strength and stability. Pan et al. [4] evaluated the influence of water-cement ratio on grouting performance with a self-designed grouting reinforcement testing device, while Wang et al. [5] quantified the effect of particle size and water-cement ratio on grouting reinforcement characteristics and mechanical properties. Han et al. [6] developed a grouting test system to evaluate injectability under parameters such as particle size, compaction degree, water-cement ratio, clay content, and grouting pressure. Sha et al. [7] designed a novel grouting apparatus to study cement-based grout properties and performance.
Recent advancements include Bao et al. [8], who modeled grout diffusion patterns under varying pressures and durations, supported by industrial trials in high-gassy coal seams. Xu et al. [9] further utilized an enhanced numerical manifold method (NMM) to investigate fault zones, revealing how in situ stress, grouting coverage, and timing affect reinforcement outcomes. Qiao et al. [10] explored electric pulse fracturing technology impact on grouting efficiency, successfully applying it to soft roof treatment in the Caijiashan Coal Mine. Hua et al. [11] conducted numerical simulations for water-rich karst tunnels and analyzed grouting scope under critical water table heights. Lu et al. [12] linked cement grout hydration temperature changes to reinforcement effectiveness, validated via wave velocity measurements. Li et al. [13] conducted shear tests on grouted samples via indoor tests and numerical modeling, finding that increasing the mechanical properties of grouting material can enhance the strengthening of rock fracture. Li et al. [14] examined the rheological properties of three cement-based materials, finding that diffusion distances positively correlate with grouting pressure; these distances decrease as the water-cement ratio increases. Shear test of grouted samples was conducted with indoor test and numerical modeling. The test data coincide well with simulation results. Damage initiates at the weakest position in the composite material. Increasing mechanical property of grouting material would be helpful for strengthening rock fracture. Lastly, seepage velocity decreases exponentially and evidently in confined seepage test for the grouted rock.
While these studies have established valuable foundational knowledge, some limitations persist. First, current research has predominantly examined parameters in isolation, particularly focusing on water-cement ratios and particle size distributions [3,4,5,6,7,13,14], while neglecting the complex interactions between operational parameters (grouting pressure), temporal factors (curing time), and environmental conditions (clay content). Second, existing investigations have primarily relied on macro-mechanical indicators, with insufficient attention to the energy evolution mechanisms that govern failure processes in grouted rock masses. Third, there is a notable absence of comprehensive studies that systematically quantify the combined effects of these variables under conditions that replicate the heterogeneous nature of real-world fractured rock formations.
To address the above gaps, this study (i) develops an integrated laboratory grouting apparatus that permits simultaneous, independent control of multiple variables; (ii) conducts a comprehensive, multi-factor investigation of the effects of grouting pressure, curing time, rock fragmentation degree (particle-size gradation), and clay content on both mechanical properties and energy-evolution characteristics; and (iii) provides a energy-based analysis of the failure process that yields new insight into post-peak behavior of grouted fractured rock. Using this device, fractured quartz-sandstone aggregates were grouted with a cement slurry under controlled factor levels and cured; the resulting cylindrical specimens were then subjected to uniaxial compression to quantify strength, deformation, and energy indices. Figure 1 schematically illustrates the grouting process and experimental workflow. Collectively, the multi-parameter control and energy-evolution framework furnish trend-level guidance on the bearing capacity of grouting-reinforced rock masses while clarifying the mechanisms governing their failure.

2. Materials and Methods

2.1. Grouting Reinforcement Testing Device

To bridge the gap between theoretical advancements and practical validation in grouting reinforcement, this study necessitated the development of a specialized laboratory testing device capable of systematically evaluating key factors influencing grouting efficacy. Conventional equipment suffers from three major limitations: (1) specimen scaling in prior studies fails to replicate realistic fracture networks in rock masses; (2) insufficient pressure regulation mechanisms limit precise control over grouting parameters; and (3) single-variable control systems restrict multi-parameter grouting experiments. To overcome these limitations, we designed and fabricated a Fractured Rock Mass Grouting Reinforcement Testing Device, as shown in Figure 2, which integrates three core subsystems: a controlled air compression unit, a modular grouting chamber, and customizable specimen molds.
The compressed-air unit supplies pressure to a metered injection line that includes a regulator, a check valve, and a fine-control valve upstream of the specimen inlet port. The grouting chamber houses the cylindrical specimen and provides a sealed path for inflow and an outlet/bleed port to purge entrapped air and prevent back-pressure artifacts. A re-lief valve is installed on the pressure line as a safety measure. The modular molds are mechanically keyed to the chamber to maintain alignment and minimize leakage at the specimen boundaries during injection. Injection pressure is adjustable over 0–1 MPa, ena-bling both low-pressure permeation and higher-pressure infiltration regimens as required by the test conditions. A pressure transducer mounted proximal to the inlet continuously monitors the pressure. Prior to each series, the chamber and lines are assembled with fresh seals (O-rings/gaskets as specified by the chamber design) and hydraulic leak checks are performed at the target pressure level. During injection, the outlet/bleed port is opened initially to evacuate air and is then throttled to maintain a stable inflow; excess grout is allowed to escape through the outlet to avoid pneumatic lock and to promote uniform penetration.
Collectively, this device allows a stable and well-monitored pressure-controlled condition while preserving specimen-scale confinement and enabling controlled variation in curing and material parameters.

2.2. Materials and Specimen Preparation

In fractured rock environments typical of mining, transportation, and hydraulic tunnel projects, grouting reinforcement primarily functions as a dual mechanism of fracture filling and structural bonding. As shown in Figure 3, the light blue areas represent the diffusion process of the grout. The grout penetrates porous zones and fractures (illustrated as light blue regions in Figure 3), solidifying to form a cohesive cement grout-fractured rock composite that enhances load-bearing capacity composite structure [15,16].
To investigate the bearing characteristics and energy evolution of grouted rock masses under uniaxial compression, cylindrical specimens (50 mm diameter × 100 mm height) were prepared with four controlled variables: particle size, grouting pressure, clay content, and curing time. The weathered quartz sandstone aggregates used in the tests sourced from the Shenzhen-Dongguan Intercity Metro Project were categorized into four particle size ranges: 0–5 mm (severe damage), 5–10 mm (moderate damage), 10–15 mm (mild damage), and 15–20 mm (simulating slight surrounding rock damage) [3,17].
A cementitious grout was prepared using volcanic ash PM325 cement and water at a 1:0.7 mass ratio based on field practices. The water-to-cement ratio of 0.7 was selected in strict accordance with the field construction specifications of the referenced project to ensure the direct applicability of the laboratory results to real-world scenarios. Aggregates of the designated sizes were placed into molds, and grout was injected using the device described in Section 2.1. To evaluate pressure-dependent penetration and bonding, four injection-Four pressure levels (50 kPa, 100 kPa, 200 kPa, 400 kPa) were applied. Because clay content disproportionately impacts small aggregates, 5–10 mm aggregates were used to study clay effects. Field surveys along the Shenzhen–Dongguan Intercity Railway tunneling project indicated that the fines/clay fraction of weathered quartz-sandstone aggregates is typically around 2–7% in normal construction sections, while geologically sensitive segments affected by local water/mud inrush can exhibit elevated contents (~45–55%). To cover both conditions, three representative levels were adopted in this study: <2% (low bound/near-clean aggregate), 2–7% (normal condition), and 45–55% (extreme condition). Therefore, three levels (1.5%, 6.1%, and 50.9%) were chosen and obtained by fully mixing site-obtained fines with the designated aggregate fractions at soil: aggregate: water ratios of 0.8:1:5, 1.2:1:5, and 1.6:1:5 (Figure 4) before molding and grouting. These mixtures were molded and grouted to produce four clay content variants. Finally, to assess curing-time effects, specimens with large aggregates (15–20 mm) were cured for 28 days (standard) and 42 days (extended). All specimens were demolded after 48 h and stored in a humidity-controlled chamber (20 °C, 95% RH) until testing.

2.3. Uniaxial Compression Test

Previous studies have indicated that during excavation unloading, a portion of the in situ stress around tunnels is released at the excavation face, inducing instantaneous rebound deformation in the surrounding rock. Another portion of the stress propagates deeper into the rock mass, causing stress redistribution and local stress concentration, which continuously adjusts to achieve a new equilibrium state adapted to the current environment. This results in a progression from uniaxial to biaxial to triaxial stress states, forming a gradient damage morphology characterized by fractures, plastic zones, and elastic regions [18].
Therefore, uniaxial compression tests were conducted to investigate how particle size, grouting pressure, clay content, and curing time affect the mechanical response and failure modes of grouting-reinforced crushed rock. Tests used a computer-controlled universal testing machine MIT CD1305 (Figure 5) with a calibrated load cell and vertical displacement recording; thin low-friction interlayers were applied at the platens to mitigate end effects. Each test was recorded by a high-resolution camera aligned with the loading axis for digital image correlation (DIC) under stable front illumination, enabling full-field deformation and localization analysis. Specimens were loaded under displacement control at a constant rate of 0.3 mm min−1 until post-peak residual strength or failure was reached. Axial stress–strain curves were computed based on the measured force–displacement da-ta; the uniaxial compressive strength (UCS) was taken as the peak stress. The elastic mod-ulus (E) was determined by least-squares fitting over the linear segment of the stress–strain curve (typically 30–60% of peak).
In total 18 tests were performed (Table 1): particle size (0–5, 5–10, 10–15, 15–20 mm) at 28 d and 42 d curing; grouting pressure (50, 100, 200, 400 kPa); clay content {0, 1.45, 6.13, 50.90%}. Because each condition required >30 d curing, full triplicates across all combinations were infeasible; instead, the representative condition 50 kPa/0–5 mm/0% clay was tested in triplicate (n = 3) to verify repeatability, while the remaining conditions were n = 1 and interpreted as trend evidence.

2.4. Replication and Repeatability

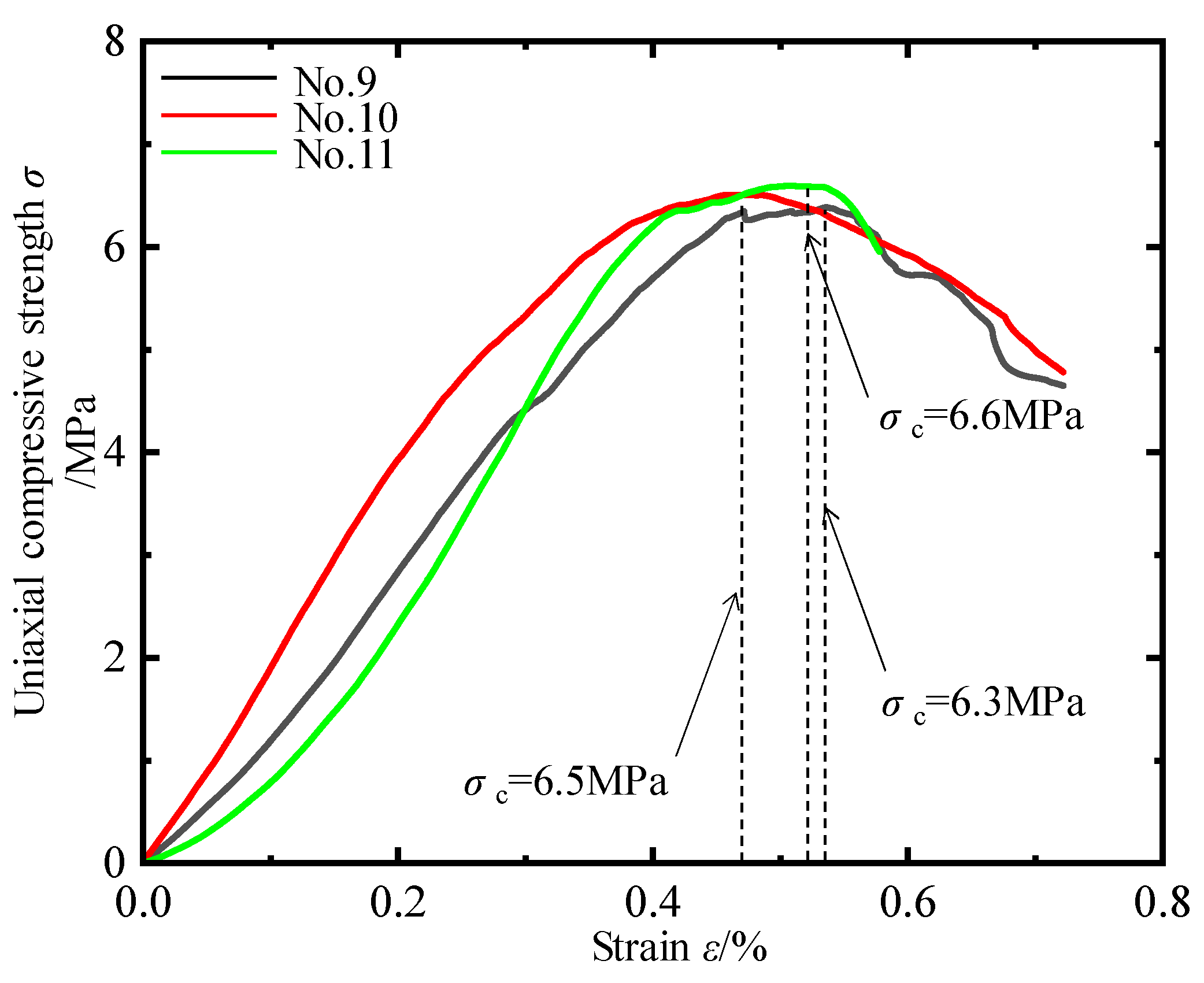
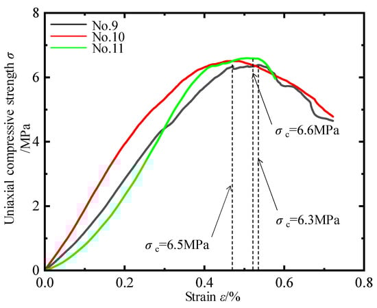
Considering that each grouting condition required >30 days of curing and involved a multi-step workflow of specimen preparation. Consequently, full triplicates across all factor combinations were infeasible within the study window. To assess measurement consistency without compromising the breadth of factor coverage, we selected one representative condition of 50 kPa injection pressure, 0–5 mm particle size, 0% clay—for replication (n = 3), while the remaining conditions were tested once (n = 1). The complete test matrix and the specimen count per condition (n) are summarized in Table 1.
Replication followed the same protocol as the single-run tests (Section 2.1, Section 2.2 and Section 2.3). For each replicate we recorded force–displacement and derived axial stress–strain, as shown in Figure 6. The three replicated tests produced closely aligned σ–ε curves, indicating good repeatability of the loading boundary conditions and the grouting/curing workflow. For this replicated condition, the peak stresses were 6.5, 6.6, and 6.3 MPa, yielding UCS = 6.47 ± 0.15 MPa. For non-replicated conditions (n = 1), we report single values and refrain from formal between-condition hypothesis tests; trends are interpreted with engineering context and complemented by dimensionless energy ratios where appropriate.
While the replicated condition demonstrates good repeatability and supports the reliability of the custom grouting apparatus and the test procedure, the absence of replication for other conditions constitutes a limitation in statistical generalizability. This constraint is stated explicitly in the Discussion, and expanded replication across additional factor combinations will be pursued in future work.

3. Results

3.1. Force-Displacement Characteristics of Grouting-Reinforced Rock Masses

The stress–strain behavior of original rock mass and grouting-reinforced rock mass under uniaxial loading reveals distinct modes. As shown in Figure 6, the original rock specimen exhibits brittle failure mode, characterized by abrupt post-peak stress reduction. In contrast, grouted specimen demonstrates ductile failure behavior with gradual post-peak stress decline and higher deformation capacity at equivalent load levels. This transition is further illustrated in Figure 7, where grouted specimens exhibit a brittle-to-ductile failure mode and maintain residual load-bearing capacity even after peak strength, indicating enhanced energy dissipation.
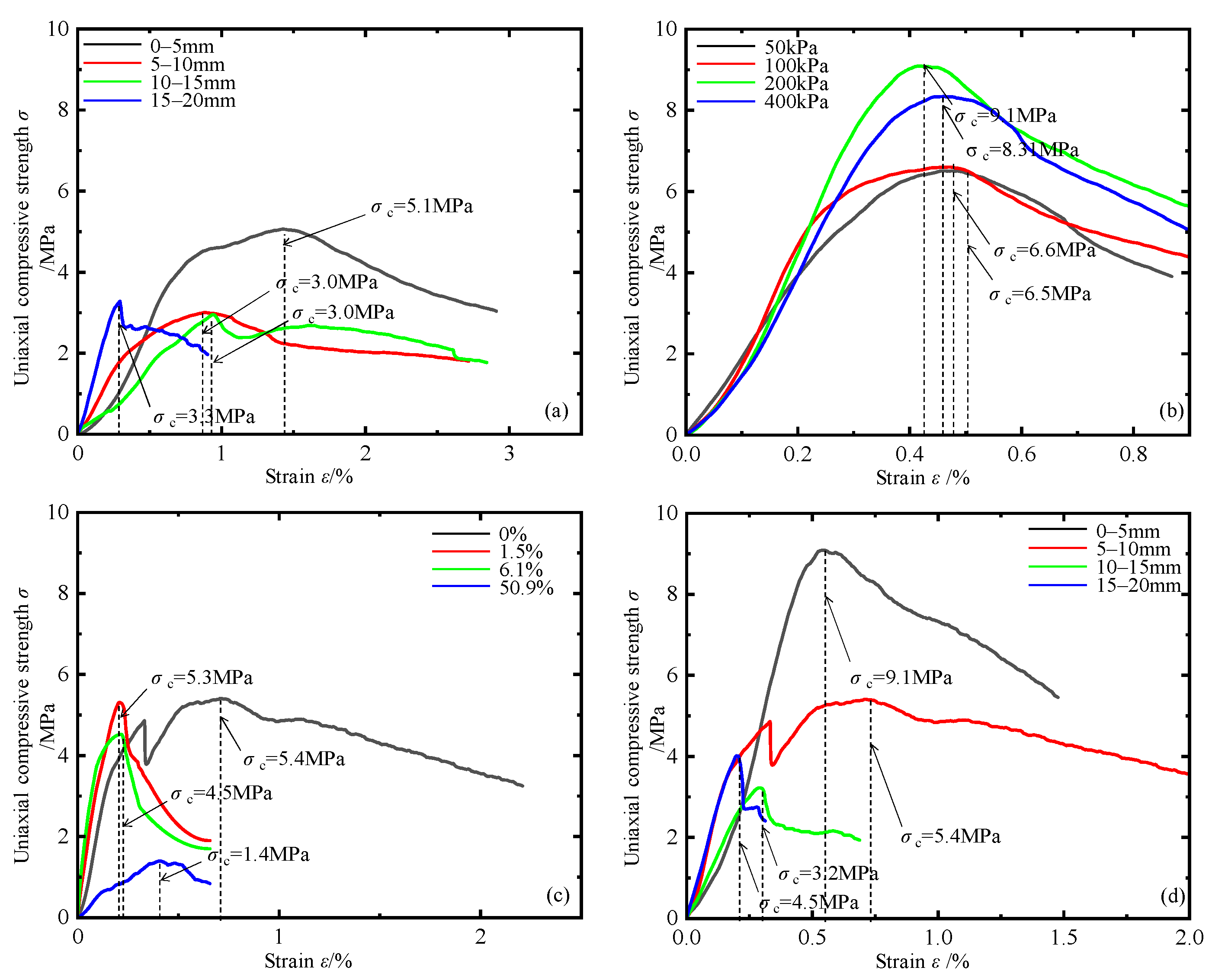
Figure 8a illustrates the profound influence of particle size (rock fragmentation degree) on the mechanical behavior after 28 days of curing. The specimen with the finest particles (0–5 mm) exhibits the highest peak strength and the most pronounced ductile failure pattern, evidenced by a broad, stable post-peak stress plateau that signifies extensive internal microcracking and sustained energy dissipation. As the particle size gradually increases, the effectiveness of grouting in improving the specimen’s strength and ductile failure characteristics decreases, with the curve for the largest particle size (15–20 mm) showing a significantly reduced peak strength compared to other particle sizes. By comparing Figure 8a,d, it can be observed that extending the curing time can significantly increase the peak strength of the grouted solid and improve its ductile failure characteristics, though this improvement effect gradually becomes less pronounced as the particle size increases.
Figure 8b demonstrates the effect of grouting pressure on the stress–strain response. The application of grouting pressure markedly enhances the peak strength compared to unreinforced rock. Notably, the specimen grouted at 200 kPa achieves an optimal combination of high peak strength and a prolonged, stable post-peak deformation phase, indicating a preferential range of grouting pressure—around 200–400 kPa—within which performance was improved under the specific conditions tested. Specimens grouted at higher pressures (400 kPa) display a less stable, more abrupt post-peak behavior, suggesting potential over-penetration or damage to the fracture network that compromises the ductility.
Figure 8c highlights the severely detrimental impact of clay content on grouting efficacy. The clay-free (0%) specimen serves as a baseline, demonstrating high strength and a well-defined ductile failure. The introduction of even a small amount of clay (1.5%) causes a drastic reduction in both peak and residual strength, with the post-peak curve becoming increasingly jagged, indicative of unstable crack propagation and a weakened grout-rock interface. This trend accelerates with higher clay content (6.1% and 50.9%), where the specimens exhibit very low strength and an almost perfectly brittle, catastrophic failure with no residual capacity, underscoring the critical challenge clay poses to grout bonding and load transfer.
Particle size of crushed stone significantly influences the uniaxial compressive strength (UCS) of grouted specimens, as shown in Figure 9. The UCS of grouted rock masses exhibits a “decrease-increase” trend with increasing particle size. Specifically, specimen with particle sizes of 10–15 mm demonstrates lowest UCS compared to other size groups. The uniaxial compressive strength of the specimen with a crushed stone particle size 0–5 mm was 9.1 MPa, the uniaxial compressive strength of the specimen with a crushed stone particle size 5–10 mm was 5.4 MPa, the uniaxial compressive strength of the specimen with a crushed stone particle size 10–15 mm was 3.2 MPa, and the uniaxial compressive strength of the specimen with a crushed stone particle size 15–20 mm was 4.0 MPa at a curing time of 42 days. The uniaxial compressive strength of the specimen with a crushed stone particle size of 10–15 mm was 64.5% lower than that of the specimen with a crushed stone particle size of 0–5 mm, 40.4% lower than that of the specimen with a crushed stone particle size of 5–10 mm, and 19.7% lower than that of the specimen with a crushed stone particle size of 15–20 mm.
As shown in Figure 9, the uniaxial compressive strength of the specimen with crushed stone particle size 0–5 mm was 5.1 MPa, the uniaxial compressive strength of the specimen with gravel size 5–10 mm and 10–15 mm was 3.0 MPa, and the uniaxial compressive strength of the specimen with crushed stone particle size 15–20 mm was 3.3 MPa at the curing time of 28 days. This is consistent with the experimental results of Wang Qi et al. [5].
As shown in Figure 9, the curing time significantly influences the uniaxial compressive strength (UCS) of grouted rock masses. When the crushed stone particle size increases from 0 to 5 mm to 15–20 mm, the UCS of specimens cured for 42 days increases by 44.3%, 44.6%, 8.4%, and 18.3%, respectively, compared to those cured for 28 days. The strength enhancement from extended curing is more pronounced in specimens with smaller particle sizes. This is attributed to the reduced internal voids in fine-grained aggregates, where cement grout fills micro-voids to form fine-veined structures, and prolonged curing promotes microstructural densification. These findings provide practical guidance for field applications: timely cement grouting and extended curing periods should be prioritized in heavily fractured surrounding rock conditions to optimize reinforcement efficacy.
As shown in Figure 10, the grouting pressure has a significant influence on the uniaxial compressive strength (UCS) of grouted rock masses. As the grouting pressure increases, the UCS initially rises and then declines. The specimen with a grouting pressure of 200 kPa exhibits the highest UCS, surpassing those at other pressure levels. The UCS of specimens with grouting pressures of 50 kPa, 100 kPa, 200 kPa, and 400 kPa is 6.5 MPa, 6.6 MPa, 9.1 MPa, and 8.3 MPa, respectively. This phenomenon can be explained from two perspectives. First, for grouting-reinforced fractured rock masses without fillers, the grout envelops the rock particles, flows through voids between rock blocks, and fills these voids, following permeation or filling reinforcement modes [19]. Such grouted rock masses consist of three components: fractured rock, hardened grout matrix, and interfacial zones between rock and grout. For high-strength fractured rock masses like the micro-weathered quartz sandstone grouted in this study (where rock block strength exceeds grout matrix strength), increased grouting pressure impacts the system in two ways: (1) the skeleton effect of densely packed rock blocks enhances localized strength, and (2) increased interfacial weak zones disrupt grout matrix continuity, reducing overall strength [20,21,22,23]. The final UCS depends on the interplay between rock block strength and interfacial bonding. For high-strength fractured rock masses, low-to-moderate grouting pressure primarily enhances UCS through improved rock block interlocking. However, excessive pressure expands interfacial weak zones, weakening the grout matrix. Beyond a critical pressure threshold (e.g., >200 kPa), interfacial debonding surpasses skeleton strengthening, leading to UCS decline, as shown in Figure 11.
Additionally, Dr. Yanlei Wang [19] simulated grout diffusion under varying pressures using 3DEC software, demonstrating that moderate pressure promotes grout penetration into fractures, while excessive pressure exceeds critical thresholds, triggering secondary crack propagation and destabilizing rock masses. This aligns with the experimental results observed here.
As shown in Figure 12, for grouted rock masses with filling media, the clay content has a significant impact on the uniaxial compressive strength (UCS) of the specimens. As the clay content increases, the UCS of the grouted rock masses gradually decreases. The UCS of the grouted rock mass with 0% clay content is 5.4 MPa, while those with 1.5%, 6.1%, and 50.9% clay content is 5.3 MPa, 4.5 MPa, and 1.4 MPa, respectively. The primary reason is that the soil enveloping the crushed stone reduces the interfacial bonding strength between the cement grout and the crushed stone. Additionally, higher clay content increases the thickness of the soil layer and the volume of the soil-rock mixture, thereby reducing the effective rock block content within the specimen. This intensifies the weakening effect on the strength of the grouted rock mass, as illustrated in Figure 13.

3.2. Macroscopic Failure Characteristics of Grouting-Reinforced Rock Mass

Due to inherent defects such as air voids and fissures within grouted specimens, the damage extent varies with particle size, grouting pressure, and clay content. A schematic diagram of fracture failure was developed based on photographs captured during testing, as shown in Figure 14. Compared to intact rock specimens, grouted specimens exhibit more denser and finer crack propagation during compression, resulting in more complex failure modes. Crack density and complexity inversely correlate with specimen strength, with weaker specimens showing more intricate fracture networks.
Under uniaxial loading conditions, the failure path of grouted specimens primarily follows longitudinal cracking, resulting in surface spalling or thin, blocky fragments. The failure path propagates along primary longitudinal fissures traversing fracture planes, accompanied by numerous secondary cracks. Within grouted specimens, cracks predominantly initiate at rock-grout interfacial zones, as the compressive loading involves coupled interactions between the rock block support system and the grout matrix skeleton. However, due to disparities in their mechanical properties, the two systems cannot deform synchronously, leading to interfacial slippage, stress concentration, and crack initiation.
As shown in Figure 14a, with increasing crushed stone particle size, the damage degree of the grouted rock mass gradually decreases, accompanied by a reduction in the number of primary and secondary cracks and the absence of large-scale spalling. The primary reason is that grouted rock masses with smaller particle sizes have higher rock block content and greater density, where the rock block support system predominantly bears the load during compression. Compared to the grout matrix skeleton, the rock block system exhibits a higher elastic modulus and greater resistance to deformation. However, when exceeding its bearing capacity, brittle failure dominates, leading to rock block spalling, as shown in Figure 15. With increasing particle size, the voids between rock blocks enlarge, and the grout matrix skeleton gradually assumes the primary load-bearing role. The grout skeleton has a smaller deformation modulus and weaker resistance to deformation, resulting in progressive deformation and reduced damage, with fewer cracks formed.
As shown in Figure 14b, under grouting pressures of 50 kPa and 100 kPa, the grouted rock mass exhibits a higher number of cracks, while at 200 kPa and 400 kPa, fewer cracks are observed. This correlates well with the strength of the grouted rock masses. At higher pressures, the impact of cement grout compacts the crushed stone aggregates, forming dense particle clusters. With constant rock block content, the voids between aggregates decrease in number but increase in size. The grout fills these voids, creating larger grout veins. These veins reduce the deformation modulus of the grouted rock mass, enhancing ductility and reducing both damage severity and crack density.
As shown in Figure 14c, for clay contents of 1.5% and 6.1%, the failure characteristics of the grouted rock mass remain largely unaffected. However, at 50.9% clay content, severe spalling occurs. This aligns with the observed uniaxial compressive strength trends. Higher clay content leads to clay envelopes reducing the interfacial strength between crushed stone and grout, while isolated rock particles fail to form an effective support system. Consequently, the grouted rock mass exhibits weaker load-bearing capacity and intensified damage.
Additionally, the propagation paths of cracks within grouted rock masses are categorized into three modes: interfacial propagation (along rock-grout interfaces), matrix propagation (through the grout matrix), and rock-penetrating propagation (through rock blocks), as shown in Figure 16. In low-strength grouted rock masses (Figure 16b), cracks predominantly propagate via interfacial and matrix modes. In contrast, high-strength grouted rock masses (Figure 16a) exhibit all three propagation modes. This distinction arises from the dominant load-bearing mechanisms:
High-strength systems: The rock block support system governs load transfer. Upon exceeding its ultimate strength, multi-mode crack propagation occurs (interfacial, matrix, and rock-penetrating).
Low-strength systems: The grout matrix skeleton dominates reinforcement, with intact rock blocks preventing rock-penetrating cracks. Thus, only interfacial and matrix propagation modes develop.

3.3. Energy Calculation Method of Grouting-Reinforced Rock Mass

The deformation and failure of grouted rock masses are governed by energy accumulation and dissipation processes, driven by inherent defects such as voids and interfacial discontinuities. Dissipated energy (WD) induces irreversible damage to the grouted structure, as crack initiation and propagation involve continuous energy conversion and consumption [24]. Generally, dissipated energy contributes to damage formation, leading to strength degradation, while the release of stored elastic energy (WE) within rock mass units triggers structural failure. Analyzing these energy evolution mechanisms during rock failure and its correlation with strength and global failure mechanisms provides critical insights into the intrinsic relationship between strength degradation and macroscopic damage evolution [25]. Thus, energy evolution principles can effectively characterize the deformation and failure behaviors of grouted rock masses.
Considering a unit volume of rock mass subjected to external forces and deforming under adiabatic conditions (i.e., a closed system), the total input energy W from external work can be expressed via the first law of thermodynamics [26]:
W = W E + W D
where WD represents the dissipated energy of the unit, and WE denotes the releasable elastic strain energy of the unit.
The irreversible dissipated energy WD is consumed by internal damage and plastic deformation within the unit, and its evolution adheres to the second law of thermodynamics—internal state changes align with entropy increase. Figure 17 illustrates the stress–strain curve of a rock mass unit, where the area WD corresponds to energy dissipated during damage and plastic deformation. The shaded area WE represents the stored releasable strain energy, which is the elastic strain energy released upon unloading. Here, E is the unloading elastic modulus. Thermodynamically, energy dissipation is unidirectional and irreversible, whereas energy release is bidirectional and reversible under specific conditions.
The releasable elastic strain energy WE of the grouted rock mass is derived as follows:
W E = 1 2 E σ 1 2 + σ 2 2 + σ 3 2 2 υ σ 1 σ 2 + σ 2 σ 3 + σ 1 σ 3
In the equation, σ1, σ2, and σ3 are the three principal stresses, representing the maximum, intermediate, and minimum principal stresses, respectively; E is the elastic modulus, and ν is the Poisson’s ratio. Since the study involves uniaxial loading tests and simplifies the generalized Hooke’s law, the expression for WE can be derived as follows [24]:
W E = 1 2 σ 1 ε 1 = σ 1 2 2 E 1
In the equation, ε1 is defined as the axial strain. Under uniaxial loading conditions, the testing machine performs work on the specimen by applying normal stress, with σ2 = σ3 = 0. Assuming the unloading curve at any load level follows a linear path with the elastic modulus E as its slope, the input energy W per unit volume of the grouted rock mass can be simplified as:
W = 0 ε 1 σ 1 d ε 1
The dissipated energy WD in the grouted rock mass arises from interparticle sliding of crushed stone particles and the energy consumed during crack formation and propagation:
W D = 0 ε 1 σ 1 d ε 1 σ 1 2 2 E 1

3.4. Energy Evolution Characteristics of Grouted Rock Mass Specimens

Under uniaxial loading conditions, grouted rock masses exhibit consistent energy evolution patterns characterized by three distinct phases, Initial compaction stage (Phase I), Elastic-plastic stage (Phase II) and Macro-failure stage (Phase III), as shown in Figure 18. Detailed quantitative data corresponding to each stage are provided in Table 2. These phases correlate with progressive damage accumulation and structural failure.
Phase 1: Initial compaction stage (Phase I) corresponds to the initial loading, where the energy conversion is dominated by the compaction of inherent voids and interfacial adjustments between grout and rock particles. The total input energy W, elastic strain energy WE, and dissipated energy WD are relatively low. During this phase, the external input energy is converted slightly more into WE than WD, though the difference is marginal. The dissipated energy primarily drives the closure of inherent joints and voids within the grouted rock mass, as well as slippage between the grout and fractured rock particles.
Phase 2: Elastic-plastic stage (Phase II) occurs during the pre-peak elastoplastic deformation of the specimen. As the specimen enters the elastic regime, internal voids are fully compacted, but stress concentrations trigger the initiation and propagation of microcracks. This phase involves a cycle of crack nucleation—propagation—localized failure. The crack tips accumulate elastic strain energy, causing WE to rise rapidly. Concurrently, microcrack activity consumes energy, leading to a gradual increase in WD. However, the growth rate of WD remains slower than that of W and WE.
Phase 3: Macro-failure stage (Phase III) is defined as the stage in which the specimen undergoes macroscopic failure, characterized by a rapid stress drop and significant deformation following the peak stress. During this phase, the accumulated elastic energy (WE) is released abruptly, while the dissipated energy (WD) increases markedly. This intense energy release promotes the rapid propagation and interconnection of macroscopic cracks, leading to irreversible damage and ultimately, the structural collapse of the grouted rock mass.
Table 2 lists the peak dissipated energy for each condition and each variable (curing time, grouting pressure, clay content, particle size). In addition, the group mean and standard deviation across each variable level are also provided. The replicated condition shows low within-condition scatter (UCS = 6.47 ± 0.15 MPa, see Section 2.4), confirming good repeatability. By contrast, the between-level standard deviations are relatively large, especially for particle size and clay content, indicating that the peak dissipated energy is highly sensitive to these variables.
For a given particle size (e.g., 0–5 mm), the peak dissipated energy decreased from 32.62 MJ·m−3 (28-day) to 10.41 MJ·m−3 (42-day), indicating a potential transition from a more ductile to a more brittle failure mode with longer curing. A very strong trend is observed where finer particles (0–5 mm) yield significantly higher peak dissipated energy (32.62 MJ·m−3 at 28-day) compared to coarser particles (15–20 mm, 1.74 MJ·m−3 at 28-day). This suggests that grouting is most effective in enhancing energy absorption capacity in highly fragmented rock. The relationship with grouting pressure appears complex and non-linear. Peak dissipated energy first increased from 9.78 MJ·m−3 (50 kPa) to 13.93 MJ·m−3 (100 kPa), then decreased with further pressure increase to 7.44 MJ·m−3 (200 kPa), indicating a potential optimal pressure range for energy enhancement. The presence of clay drastically reduces the peak dissipated energy. Even a small clay content (1.5%) caused a sharp drop in the peak dissipated energy from 23.58 MJ·m−3 (0%) to 2.31 MJ·m−3, highlighting the profoundly negative impact of clay on grouting efficacy.
As shown in Figure 17, during the third stage of energy evolution in grouted rock masses, the dissipated energy (WD) is generally higher than the elastic strain energy (WE) for all specimens, indicating significant plastic deformation in the grouted rock masses, which is consistent with the characteristics observed in the stress–strain curves. After the peak strength, the grouted rock mass retains residual load-bearing capacity due to the cementation effect of cement grout, which gradually declines with increasing strain, manifesting progressive failure and pronounced ductile deformation. Grouting increases the strength of the fractured rock mass, enabling greater energy accumulation and dissipation during loading. This suggests that grouting reinforcement in engineering practices enhances rock mass stability by providing significant load-bearing support to overlying strata and introducing ductile behavior. Simultaneously, grouting reduces energy accumulation and stress redistribution within the surrounding rock, thereby mitigating stress concentration and effectively restraining the progressive deformation of roadway surrounding rock.

3.5. Load-Bearing Characteristics of Grouting-Reinforced Rock Mass

The stress–strain curve of the grouted rock mass characterizes its deformation-to-failure process under external loading, reflecting the progressive loss of bearing capacity. The brittleness index describes the rock’s resistance to deformation prior to reaching peak stress and the post-peak loss of bearing capacity [27]. The grouted rock masses generally exhibit significant plastic deformation, and their residual bearing capacity plays a crucial role in stabilizing the overlying rock strata of roadways. Based on energy analysis, the post-peak bearing capacity can be quantified using the parameter Av.
A ν = σ e σ f t f t e
where σe and σf denote the peak and post-peak stresses after normalization, respectively, while te and tf represent the corresponding time at post-peak time and peak time, respectively.
Figure 19 illustrates the post-peak stress reduction rates for specimens with different particle sizes and curing durations. According to Equation (6), the parameter Av increases as post-peak stress σf decreases, indicating a faster rate of stress decline after the peak. Compared with specimens cured for 28 days, those cured for 42 days exhibited post-peak stress decline rate that increased by 185.3%, 118.2%, 425.8%, and 548.2% for increasing particle sizes. This trend indicates that extended curing time generally accelerate the post-peak stress reduction rate, resulting in the allowable post-peak deformation and diminishing the residual bearing capacity. Therefore, in practical engineering, the time-dependent evolution of grouting efficacy must be carefully considered. Secondary grouting should be promptly applied in a timely manner to fractured rock masses when the curing age exceeds a specific threshold to maintain post-peak bearing capacity.
Figure 20 presents the effects of grouting pressure on post-peak stress reduction. As particle size increases, the post-peak stress decline rate of grouted rock masses generally increases, suggesting that larger particles reduce allowable post-peak deformation and degrade bearing capacity. Higher grouting pressures similarly intensify the post-peak stress decline rate, further limiting deformation tolerance and weakening structural capacity.
For clay-bearing grouted rock masses, as shown in Figure 21, a clay content of 1.5% significantly increases the post-peak stress decline rate compared to clay-free specimens. However, beyond this threshold, further increases in clay content result in a reduced decline rate. This is attributed to the inherently lower strength of clay-bearing grouted rock masses, which restricts the potential for further strength degradation. Overall, higher clay content leads to accelerated the post-peak stress decline rate, reduced allowable deformation, and weakened bearing capacity. In engineering practice, it is essential to account for the effects of curing time, rock fragmentation degree, grouting pressure, and clay content on the post-grouting mechanical response. A comprehensive understanding of these factors is vital for optimizing the reinforcement performance of fractured rock masses.

4. Discussion

Our findings advance the current understanding of grouting mechanics in several important ways that distinguish this study from previous research. While earlier investigations have established the importance of factors such as water-cement ratio and particle size [5,6], the current study provides novel insights into the previously neglected but critically important interactive effects of grouting pressure, curing time, and clay content. Unlike previous studies that examined parameters in isolation, our integrated approach reveals how these factors synergistically influence reinforcement efficacy, providing a more comprehensive understanding that better reflects real-world engineering conditions.
Through experiments conducted with a self-designed apparatus, this study systematically analyzed the strength, energy evolution during failure, and post-peak bearing capacity of grouted rock masses under varying conditions. The mechanisms by which curing time, rock fragmentation degree, grouting pressure, and clay content influence grouted rock mass strength were elucidated. Furthermore, the energy evolution and post-peak bearing capacity characteristics during the failure of grouted rock masses under different conditions were revealed. These findings provide practical guidance for maintaining roadways and tunnels in deep and geologically complex formations. Future research should focus on the mechanisms of grouting reinforcement under complex stress environments and the variations in grouting efficacy across lithology diverse fractured rock masses. Such efforts would better simulate real-world engineering conditions, refine the understanding of grouting mechanisms, and enhance the precision of engineering guidance, as shown in Figure 22.
It should be noted that a limitation of this study is the lack of statistical replication for each testing condition, with only partial replicate experiments conducted, which was primarily constrained by the practical difficulties of specimen preparation. Future work will focus on incorporating replication to enhance the statistical power of the findings. In practical engineering, the complex stress environments of roadways/tunnels and lithological heterogeneity of rock masses exert non-negligible impacts on grouting efficacy. Therefore, the effects of stress conditions and lithological combinations on grouting reinforcement will be critical targets for subsequent research. It is also important to note that the energy calculation equations employed in this study do not explicitly account for the effects of pore pressure changes within the grouted specimen. This simplification was adopted primarily because the low strength of the material often lead to rapid instability and failure before significant pore pressure redistribution can occur under the present loading conditions. This approach is consistent with methods used in prior studies on similar low-strength, cemented materials [4,5,28], where the focus is on the macroscopic mechanical response. Consequently, while the calculated values of energy dissipation (WD) and elastic energy (WE) provide a valuable comparative basis, they should be interpreted as effective values reflecting the combined solid-fluid response under undrained or partially drained conditions. Future work incorporating pore pressure measurements would be essential to decouple these effects and provide a more precise quantification of energy partitioning.
Based on the findings of this study, several avenues for future research are proposed: Firstly, the behavior of grouted rock under true triaxial and dynamic loading conditions should be investigated to better simulate in situ stress environments. Secondly, a comprehensive durability assessment, including long-term creep, cyclic wetting-drying, and freeze–thaw tests, is essential to evaluate the long-term stability and service life of grouting reinforcements in harsh geological environments. In addition, the Φ50 × 100 mm small sample size averages mesoscale heterogeneity; therefore, direct transfer of strength/energy indices to large, clay- or water-rich blocks is not warranted. The use of larger samples or scaled physical models, and integration with numerical simulations to improve transferability to engineering practice. These studies will be crucial for advancing the application of grouting technology in critical infrastructure projects.

5. Conclusions

This study addresses some gaps in the existing literature by providing systematic evidence of the complex interactions between key grouting parameters and their combined effects on reinforcement effectiveness. The findings offer substantial advancements over previous research by delivering quantitative relationships that can inform optimized grouting protocol design for complex geological conditions. Key findings are summarized as follows:
(1)
Curing time enhances strength but reduces energy dissipation capacity. While longer curing significantly improves uniaxial compressive strength, it also promotes brittle failure modes, as evidenced by a notable decrease in dissipated energy.
(2)
Clay content is a critical degradation factor. Contents exceeding 6% drastically weaken mechanical performance and reduce energy absorption—for example, resulting in a 74.2% reduction in UCS at 50.9% clay content. This underscores the necessity of preliminary clay detection and treatment in grouting projects.
(3)
A laboratory-optimal grouting pressure range (200~400 kPa) exists for maximizing both strength and energy absorption. The relationship between grouting pressure and mechanical behavior is non-linear, emphasizing the importance of pressure optimization in practice to avoid over-penetration or insufficient reinforcement.
(4)
Finer particle sizes (higher fragmentation degrees) considerably improve grouting effectiveness, leading to higher strength and significantly enhanced energy dissipation due to more effective grout penetration and interlocking.
(5)
The post-peak stress reduction rate Av effectively evaluates the post-peak bearing performance. Under uniaxial loading, Av increases with higher curing time, particle size, grouting pressure, and clay content, corresponding to reduced post-peak deformation capacity and diminished bearing capacity.
(6)
The findings regarding grout performance are constrained to the tested curing durations and controlled laboratory conditions. The model and its validation are constrained to the specific lithologies and sample sizes tested in this study. We strongly caution against its uncritical application to different geological conditions or scales without further validation, as its generality is indeed not yet proven.

Author Contributions

S.W.: Conceptualization, Writing—review and editing, Funding acquisition. J.W.: Writing—review and editing, Funding acquisition. J.S.: Writing—original draft. Z.Z.: Supervision. All authors have read and agreed to the published version of the manuscript.

Funding

This research was funded by National Natural Science Foundation of China, grant number No. 52174099 and No. 52308385.

Data Availability Statement

Data will be made available on request.

Acknowledgments

The work described in this paper was supported by the National Natural Science Foundation of China (No. 52174099 and No. 52308385), for which the authors are very thankful.

Conflicts of Interest

The authors declare no conflicts of interest. The funders had no role in the design of the study; in the collection, analyses, or interpretation of data; in the writing of the manuscript; or in the decision to publish the results.

Abbreviations

abbreviationsMeaning
RHRelative humidity
UCSUniaxial compressive strength
WDDissipated energy
WEStored elastic energy
WTotal input energy
EElastic Modulus
σ1Maximum principal stresses
σ2Intermediate principal stresses
σ3Minimum principal stresses
νThe poisson’s ratio
AvThe post-peak bearing capacity

References

  1. Wang, S. Experimental investigation of rock breakage by a conical pick and its application to non-explosive mechanized mining in deep hard rock. Int. J. Rock Mech. Min. Sci. 2019, 122, 104063. [Google Scholar] [CrossRef]
  2. Zhang, N.; Wang, B.; Zheng, X. Analysis on Grouting Reinforcement Results in Secondary Support of Soft Rock Roadway in Kilometre Deep Mine. Coal Ence. Technol. 2010, 38, 34–38. [Google Scholar]
  3. Liu, Q.; Lei, G.; Peng, X.; Lu, C.; Wei, L. Rheological Characteristics of Cement Grout and its Effect on Mechanical Properties of a Rock Fracture. Rock Mech. Rock Eng. 2018, 51, 613–625. [Google Scholar] [CrossRef]
  4. Pan, R.; Wang, Q.; Jiang, B.; Li, S.C.; Sun, H.B.; Qin, Q.; Yu, H.C.; Lu, W. Failure of bolt support and experimental study on the parameters of bolt-grouting for supporting the roadways in deep coal seam. Eng. Fail. Anal. 2017, 80, 218–233. [Google Scholar] [CrossRef]
  5. Wang, Q.; Wang, L.; Liu, B.H.; Jiang, B.; Zhang, H.J.; Xu, S. Study on void characteristics and mechanical properties of grouting bodies in fractured surrounding rock. J. China Univ. Min. Technol. 2019, 48, 1197–1205. [Google Scholar]
  6. Han, C.; Wei, J.; Zhang, W.; Yang, F.; Yin, H.; Xie, D.; Xie, C. Quantitative permeation grouting in sand layer with consideration of grout properties and medium characteristics. Constr. Build. Mater. 2022, 327, 126947. [Google Scholar] [CrossRef]
  7. Sha, F.; Lin, C.; Li, Z.; Liu, R. Reinforcement simulation of water-rich and broken rock with Portland cement-based grout. Constr. Build. Mater. 2019, 221, 292–300. [Google Scholar] [CrossRef]
  8. Bao, R.; Zhou, F.; Shang, H.; Song, S. Study on key grouting blocking parameters of gas drainage boreholes in soft coal seams. Heliyon 2024, 10, e28303. [Google Scholar] [CrossRef]
  9. Xu, X.; Wu, Z.; Weng, L.; Chu, Z.; Liu, Q.; Zhou, Y. Numerical investigation of geostress influence on the grouting reinforcement effectiveness of tunnel surrounding rock mass in fault fracture zones. J. Rock Mech. Geotech. Eng. 2024, 16, 81–101. [Google Scholar] [CrossRef]
  10. Qiao, X.; Zhang, R.; Zhang, L.; Zhang, X.; Zhang, X. Study on the Parameters of Strengthening Soft Surrounding Rock by Electric Pulse Grouting in the Mining Face. Sustainability 2023, 15, 2314. [Google Scholar] [CrossRef]
  11. Hua, T.; Liu, S.; Zhang, X.; Meng, L.; Wang, P. Numerical analysis of grouting of water-enriched karst highway tunnel based on critical water-enriched height. Processes 2023, 11, 149. [Google Scholar] [CrossRef]
  12. Lu, H.; Qiu, J.; Kong, X.; He, Z. Experimental study on temperature characterization during cement grouting reinforcement. Case Stud. Therm. Eng. 2023, 41, 102577. [Google Scholar] [CrossRef]
  13. Li, Z.; Liu, H.; Dun, Z.; Ren, L.; Fang, J. Grouting effect on rock fracture using shear and seepage assessment. Constr. Build. Mater. 2020, 242, 118131. [Google Scholar] [CrossRef]
  14. Li, L.; Wang, Y.; Mu, W.; Wang, X.; Wei, J.; Li, X. Grouting characteristics of cement-based materials added multitype additives considering the time-varying rheology. Constr. Build. Mater. 2025, 472, 140914. [Google Scholar] [CrossRef]
  15. Gothäll, R.; Stille, H. Fracture–fracture interaction during grouting. Tunn. Undergr. Space Technol. 2010, 25, 199–204. [Google Scholar] [CrossRef]
  16. Sun, L.; Grasselli, G.; Liu, Q.; Tang, X. Coupled hydro-mechanical analysis for grout penetration in fractured rocks using the finite-discrete element method. Int. J. Rock Mech. Min. Sci. 2019, 124, 104138. [Google Scholar] [CrossRef]
  17. Zang, C.; Yang, L.; Chen, M.; Chen, Y. Study of bearing characteristics and damage law of grouting-reinforced bodies. Minerals 2023, 13, 591. [Google Scholar] [CrossRef]
  18. Si, X.; Luo, Y.; Luo, S. Influence of lithology and bedding orientation on failure behavior of “D” shaped tunnel. Theor. Appl. Fract. Mech. 2024, 129, 104219. [Google Scholar] [CrossRef]
  19. Wang, Y.L. Study on Mechanical Deformation Characteristics and Grouting Reinforcement Effects of Fractured Rock Mass; Chongqing University: Chongqing, China, 2019. [Google Scholar]
  20. Kahraman, S.; Alber, M. Estimating unconfined compressive strength and elastic modulus of a fault breccia mixture of weak blocks and strong matrix. Int. J. Rock Mech. Min. Sci. 2006, 43, 1277–1287. [Google Scholar] [CrossRef]
  21. Kahraman, S.; Alber, M. Triaxial strength of a fault breccia of weak rocks in a strong matrix. Bull. Eng. Geol. Environ. 2008, 67, 435–441. [Google Scholar] [CrossRef]
  22. Kahraman, S.; Alber, M.; Fener, M.; Gunaydin, O. Evaluating the geomechanical properties of Misis fault breccia (Turkey). Int. J. Rock Mech. Min. Sci. 2008, 45, 1469–1479. [Google Scholar] [CrossRef]
  23. Afifipour, M.; Moarefvand, P. Failure patterns of geomaterials with block-in-matrix texture: Experimental and numerical evaluation. Arab. J. Geosci. 2014, 7, 2781–2792. [Google Scholar] [CrossRef]
  24. Zhao, G.; Liu, Z.; Meng, X.; Zhang, R.; Kao, S.; Qi, M. Energy accumulation and dissipation test and analysis method of height-diameter ratio sandstone. J. China Coal Soc. 2022, 47, 1110–1121. [Google Scholar]
  25. Xie, H.P.; Ju, Y.; Li, L.Y. Rock strength and failure criterion based on energy dissipation and release principle. Chin. J. Rock Mech. Eng. 2005, 24, 3003–3010. [Google Scholar]
  26. Xie, H.P.; Ju, Y.; Li, L.Y.; Peng, R.D. Energy mechanism of deformation and failure of rock mass. Chin. J. Rock Mech. Eng. 2008, 27, 1729–1740. [Google Scholar]
  27. Zhang, J.; Ai, C.; Li, Y.W.; Zeng, J.; Qiu, D.Z. Brittleness evaluation index based on energy variation in the whole process of rock failure. Chin. J. Rock Mech. Eng. 2017, 36, 1326–1340. [Google Scholar]
  28. Wu, X.-K.; Zhao, G.-M.; Meng, X.-R.; Liu, C.-Y.; Liu, Z.-X.; Huang, S.-J.; Zhang, Q.-H. Load-bearing characteristics and energy evolution of fractured rock masses after granite and sandstone grouting. J. Cent. South Univ. 2024, 31, 2810–2825. [Google Scholar] [CrossRef]
Figure 1. Grouting reinforcement process and brief experiment procedures.
Figure 1. Grouting reinforcement process and brief experiment procedures.
Applsci 15 10217 g001
Figure 2. Fractured Rock Mass Grouting Reinforcement Testing Device.
Figure 2. Fractured Rock Mass Grouting Reinforcement Testing Device.
Applsci 15 10217 g002
Figure 3. Schematic diagram of grouting reinforcement and grout diffusion structure.
Figure 3. Schematic diagram of grouting reinforcement and grout diffusion structure.
Applsci 15 10217 g003
Figure 4. Schematic diagram of crushed stone with varied clay contents.
Figure 4. Schematic diagram of crushed stone with varied clay contents.
Applsci 15 10217 g004
Figure 5. MIT CD1305 microcomputer-controlled electronic universal testing machine system.
Figure 5. MIT CD1305 microcomputer-controlled electronic universal testing machine system.
Applsci 15 10217 g005
Figure 6. Repeated experiment for test condition of 50 kPa injection pressure, 0–5 mm particle size and 0% clay.
Figure 6. Repeated experiment for test condition of 50 kPa injection pressure, 0–5 mm particle size and 0% clay.
Applsci 15 10217 g006
Figure 7. Stress–strain curves of grouted and original rock masses under uniaxial loading.
Figure 7. Stress–strain curves of grouted and original rock masses under uniaxial loading.
Applsci 15 10217 g007
Figure 8. Stress–strain curves of different specimens under uniaxial loading: (a) Specimens with varying particle sizes (curing time: 28 days); (b) Specimens with varying grouting pressures; (c) Specimens with varying clay contents; (d) Specimens with varying particle sizes (curing time: 42 days).
Figure 8. Stress–strain curves of different specimens under uniaxial loading: (a) Specimens with varying particle sizes (curing time: 28 days); (b) Specimens with varying grouting pressures; (c) Specimens with varying clay contents; (d) Specimens with varying particle sizes (curing time: 42 days).
Applsci 15 10217 g008
Figure 9. Peak uniaxial compressive strength of grouted rock masses for varying curing times and particle sizes.
Figure 9. Peak uniaxial compressive strength of grouted rock masses for varying curing times and particle sizes.
Applsci 15 10217 g009
Figure 10. Peak uniaxial compressive strength of grouted rock masses for varying grouting pressures (note: Error bars (mean ± SD) are displayed only where n ≥ 2; other tests are single observations (n = 1) and are plotted without error bars).
Figure 10. Peak uniaxial compressive strength of grouted rock masses for varying grouting pressures (note: Error bars (mean ± SD) are displayed only where n ≥ 2; other tests are single observations (n = 1) and are plotted without error bars).
Applsci 15 10217 g010
Figure 11. Mechanism of pressurized grouting reinforcement: (a) Non-grouted fractured rock mass; (b) Pressurized-grouted fractured rock mass; (c) High-pressure-grouted fractured rock mass.
Figure 11. Mechanism of pressurized grouting reinforcement: (a) Non-grouted fractured rock mass; (b) Pressurized-grouted fractured rock mass; (c) High-pressure-grouted fractured rock mass.
Applsci 15 10217 g011
Figure 12. Peak uniaxial compressive strength of grouted rock masses for varying clay contents.
Figure 12. Peak uniaxial compressive strength of grouted rock masses for varying clay contents.
Applsci 15 10217 g012
Figure 13. Grouting reinforcement mechanism in clay-bearing fractured rock masses: (a) Non-grouted fractured rock mass (clay-free); (b) Grouted fractured rock mass (clay-free); (c) Grouted fractured rock mass (clay-bearing).
Figure 13. Grouting reinforcement mechanism in clay-bearing fractured rock masses: (a) Non-grouted fractured rock mass (clay-free); (b) Grouted fractured rock mass (clay-free); (c) Grouted fractured rock mass (clay-bearing).
Applsci 15 10217 g013
Figure 14. Crack propagation in different specimens: (a) Varying particle sizes; (b) Varying grouting pressures; (c) Varying clay contents.
Figure 14. Crack propagation in different specimens: (a) Varying particle sizes; (b) Varying grouting pressures; (c) Varying clay contents.
Applsci 15 10217 g014
Figure 15. Mechanism of the internal support system in grouted rock masses.
Figure 15. Mechanism of the internal support system in grouted rock masses.
Applsci 15 10217 g015
Figure 16. Failure modes of grouted rock masses: (a) High-strength grouted rock mass; (b) Low-strength grouted rock mass.
Figure 16. Failure modes of grouted rock masses: (a) High-strength grouted rock mass; (b) Low-strength grouted rock mass.
Applsci 15 10217 g016
Figure 17. Quantitative relationship between energy dissipation (WD) and releasable elastic strain energy (WE) in unit volume.
Figure 17. Quantitative relationship between energy dissipation (WD) and releasable elastic strain energy (WE) in unit volume.
Applsci 15 10217 g017
Figure 18. Energy evolution of grouted rock mass specimens: (a) Varying particle sizes (curing time: 28 days); (b) Varying particle sizes (curing time: 42 days); (c) Varying grouting pressures; (d) Varying clay contents.
Figure 18. Energy evolution of grouted rock mass specimens: (a) Varying particle sizes (curing time: 28 days); (b) Varying particle sizes (curing time: 42 days); (c) Varying grouting pressures; (d) Varying clay contents.
Applsci 15 10217 g018
Figure 19. Post-peak bearing strength reduction rate of varying curing times and particle sizes.
Figure 19. Post-peak bearing strength reduction rate of varying curing times and particle sizes.
Applsci 15 10217 g019
Figure 20. Post-peak bearing strength reduction rate of varying grouting pressures.
Figure 20. Post-peak bearing strength reduction rate of varying grouting pressures.
Applsci 15 10217 g020
Figure 21. Post-peak bearing strength reduction rate of varying clay content.
Figure 21. Post-peak bearing strength reduction rate of varying clay content.
Applsci 15 10217 g021
Figure 22. Engineering practice suggestion.
Figure 22. Engineering practice suggestion.
Applsci 15 10217 g022
Table 1. Summary of uniaxial compression test conditions.
Table 1. Summary of uniaxial compression test conditions.
Test No.Particle SizeGrouting PressureCuring TimeClay Content
10–5 mm200 kPa28 day0%
25–10 mm200 kPa28 day0%
310–15 mm200 kPa28 day0%
415–20 mm200 kPa28 day0%
50–5 mm200 kPa42 day0%
65–10 mm200 kPa42 day0%
710–15 mm200 kPa42 day0%
815–20 mm200 kPa42 day0%
90–5 mm50 kPa42 day0%
100–5 mm50 kPa42 day0%
110–5 mm50 kPa42 day0%
120–5 mm100 kPa42 day0%
130–5 mm200 kPa42 day0%
140–5 mm400 kPa42 day0%
155–10 mm200 kPa42 day0%
165–10 mm200 kPa42 day1.5%
175–10 mm200 kPa42 day6.1%
185–10 mm200 kPa42 day50.9%
Table 2. Physio-mechanical properties of rock masses (after reductions in rock parameters) in mining stope.
Table 2. Physio-mechanical properties of rock masses (after reductions in rock parameters) in mining stope.
Test No.Project σ i /MPa σ p /MPa W i / M j · m 3 W p / M j · m 3 W D i / M j · m 3 W D p / M j · m 3 Mean   of   W D p / M j · m 3 Standard   Deviation   of   W D p / M j · m 3 W E i / M j · m 3 W E p / M j · m 3
1Particle
Size
(28 day)
0–5 mm1.65.12.346.00.932.612.614.01.413.4
25–10 mm0.53.00.217.70.112.10.15.6
310–15 mm0.63.01.014.20.54.10.510.1
415–20 mm0.53.30.25.20.11.70.13.5
5Particle
Size
(42 day)
0–5 mm3.99.16.425.13.710.49.210.52.714.7
65–10 mm1.15.40.328.60.123.60.25.0
710–15 mm0.53.20.25.20.11.70.13.5
815–20 mm0.64.00.24.30.11.10.13.2
9 *Grouting
Pressure
50 kPa1.26.50.419.00.19.59.92.80.39.4
10100 kPa2.56.61.320.40.413.90.96.5
11200 kPa2.89.11.519.60.57.41.012.2
12400 kPa2.08.31.120.90.48.70.712.2
13Clay
cement
0%1.15.40.328.60.123.68.210.40.25.0
141.45%1.15.30.26.60.12.30.14.3
156.13%1.54.50.27.30.15.00.12.3
1650.90%0.21.40.23.30.11.80.11.5
* denotes the test was repeated three times (n = 3) for repeatability check.
Disclaimer/Publisher’s Note: The statements, opinions and data contained in all publications are solely those of the individual author(s) and contributor(s) and not of MDPI and/or the editor(s). MDPI and/or the editor(s) disclaim responsibility for any injury to people or property resulting from any ideas, methods, instructions or products referred to in the content.

Share and Cite

MDPI and ACS Style

Wang, S.; Shi, J.; Zhou, Z.; Wu, J. Mechanical Properties and Energy Evolution Characteristics of Crushed Quartz Sandstone After Grouting Reinforcement. Appl. Sci. 2025, 15, 10217. https://doi.org/10.3390/app151810217

AMA Style

Wang S, Shi J, Zhou Z, Wu J. Mechanical Properties and Energy Evolution Characteristics of Crushed Quartz Sandstone After Grouting Reinforcement. Applied Sciences. 2025; 15(18):10217. https://doi.org/10.3390/app151810217

Chicago/Turabian Style

Wang, Shaofeng, Jianlong Shi, Zilong Zhou, and Jinbiao Wu. 2025. "Mechanical Properties and Energy Evolution Characteristics of Crushed Quartz Sandstone After Grouting Reinforcement" Applied Sciences 15, no. 18: 10217. https://doi.org/10.3390/app151810217

APA Style

Wang, S., Shi, J., Zhou, Z., & Wu, J. (2025). Mechanical Properties and Energy Evolution Characteristics of Crushed Quartz Sandstone After Grouting Reinforcement. Applied Sciences, 15(18), 10217. https://doi.org/10.3390/app151810217

Note that from the first issue of 2016, this journal uses article numbers instead of page numbers. See further details here.

Article Metrics

Back to TopTop