Effect of Ion Release on Color Stability of Zirconia: A Comparative Study
Abstract
1. Introduction
2. Materials and Methods
2.1. Sample Preparation
2.2. Coloring Protocol and Color Measurement
2.3. Assessment of pH Variation and Ion Release Dynamics
2.4. Statistical Analysis
3. Results
3.1. Colorimetric Results of Zirconia Test Pieces with Different Thicknesses at Different Immersion Times
3.2. Colorimetric Results of Different Immersion Times at Different Thicknesses
3.3. Colorimetric Changes and Lightness Ratio (L*) of Zirconia Specimens After 3 Months of Coloring Solution Aging
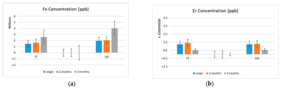
3.4. Subsection pH Fluctuations and Ion Release Dynamics During 3-Month Aging
4. Discussion
5. Conclusions
Author Contributions
Funding
Institutional Review Board Statement
Informed Consent Statement
Data Availability Statement
Acknowledgments
Conflicts of Interest
References
- Akhlaghi, O.; Camposilvan, E.; Garnier, V.; Goharibajestani, Z.; Khabbaz, S.; Ow-Yang, C.; Jorand, Y.; Gremillard, L.; Chevalier, J. Conventional sintering of nano-crystalline Yttria-Stabilized Zirconia enables high-strength, highly translucent and opalescent dental ceramics. Dent. Mater. 2024, 40, 1031–1040. [Google Scholar] [CrossRef] [PubMed]
- Li, M.; Cokic, S.; Van Meerbeek, B.; Vleugels, J.; Zhang, F. Novel zirconia ceramics for dental implant materials. J. Mater. Sci. Technol. 2025, 210, 97–108. [Google Scholar] [CrossRef]
- Lin, W.S.; Chen, L.; Alfaraj, A. 3D-printed Zirconia and Lithium Disilicate in Dentistry and Their Clinical Applications. Int. J Prosthodont. 2025, 38, 12–26. [Google Scholar] [CrossRef] [PubMed]
- Su, G.; Zhang, Y.; Jin, C.; Zhang, Q.; Lu, J.; Liu, Z.; Wang, Q.; Zhang, X.; Ma, J. 3D printed zirconia used as dental materials: A critical review. J. Biol. Eng. 2023, 17, 78. [Google Scholar] [CrossRef] [PubMed]
- Kui, A.; Manziuc, M.; Petruțiu, A.; Buduru, S.; Labuneț, A.; Negucioiu, M.; Chisnoiu, A. Translucent Zirconia in Fixed Prosthodontics-An Integrative Overview. Biomedicines 2023, 11, 3116. [Google Scholar] [CrossRef]
- Huang, B.; Chen, M.; Wang, J.; Zhang, X. Advances in zirconia-based dental materials: Properties, classification, applications, and future prospects. J. Dent. 2024, 147, 105111. [Google Scholar] [CrossRef]
- Lakhloufi, S.; Labjar, N.; Labjar, H.; Serghini- Idrissi, M.; El Hajjaji, S. Electrochemical behavior and surface stability of dental zirconia ceramics in acidic environments. J. Mech. Behav. Biomed. Mater. 2024, 150, 106288. [Google Scholar] [CrossRef]
- Fadavi, F.; Mohammadi-Bassir, M.; Sarabi, N.; Rezvani, M.B.; Jafari-Semnani, S.; Rastegar Moghaddam, M.; Labbaf, H. Effect of Low-Temperature Degradation, Ph-Cycling and Simulated Tooth Brushing on Surface Roughness, Topography, and Polish Retention of Yttrium-Stabilized Tetragonal Zirconia. J. Dent. 2023, 24, 293–304. [Google Scholar] [CrossRef]
- Alnassar, T.M. Color Stability of Monolithic Zirconia in Various Staining Liquids: An In Vitro Study. Appl. Sci. 2022, 12, 9752. [Google Scholar] [CrossRef]
- Mahrous, A.I.; Salama, A.A.; Shabaan, A.A.; Abdou, A.; Radwan, M.M. Color stability of two different resin matrix ceramics: Randomized clinical trial. BMC Oral Health 2023, 23, 665. [Google Scholar] [CrossRef]
- Falkensammer, F.; Arnetzl, G.V.; Wildburger, A.; Freudenthaler, J. Color stability of different composite resin materials. J. Prosthet. Dent. 2013, 109, 378–383. [Google Scholar] [CrossRef] [PubMed]
- Sulaiman, T.A.; Rodgers, B.; Suliman, A.A.; Johnston, W.M. Color and translucency stability of contemporary resin-based restorative materials. J. Esthet. Restor. Dent. 2021, 33, 899–905. [Google Scholar] [CrossRef] [PubMed]
- Jaâfoura, S.; Kikly, A.; Fejjeri, M.; Nasri, S.; Brini, M.; Kammoun, D. Color Stability of Microhybrid Composite Resins Depending on the Immersion Medium. Eur. J. Dent. 2025, 19, 500–512. [Google Scholar] [CrossRef]
- Souza, L.F.B.; Soares, P.M.; Ribeiro, V.F.; Scotti, N.; Kleverlaan, C.J.; Bacchi, A.; Pereira, G.K.R. Influence of coloring techniques on the surface characteristics and color stability of a monolithic zirconia ceramic. J. Prosthet. Dent. 2023, 130, 392.e391–392.e399. [Google Scholar] [CrossRef]
- İnal, C.B.; Bankoğlu Güngör, M.; Karakoca Nemli, S. Effects of Coloring Liquid Dipping Time and Surface Finishing Procedures on the Optical Properties of Monolithic Zirconia. Niger. J. Clin. Pract. 2024, 27, 496–503. [Google Scholar] [CrossRef] [PubMed]
- Chen, Z.; Zhang, M.; Zhang, R.; Hao, P. Effect of the coloring liquid shade and dipping time on the color, transparency, and flexural strength of monolithic zirconia. J. Prosthet. Dent. 2024, 132, 229.e221–229.e228. [Google Scholar] [CrossRef]
- Alzahrani, K.M.; Alhaqbani, M.M.; Basalem, S.A.; Alsubaie, F.; AlRabiah, M.; Alzahrani, A.; AlAali, K.A.; Farooq, I.; Vohra, F.; Abduljabbar, T. Effect of Staining Drinks on the Color Stability of Grit Blasted and Non-Grit Blasted Monolithic Zirconia: An In Vitro Study. Crystals 2022, 12, 1331. [Google Scholar] [CrossRef]
- Nam, J.Y.; Park, M.G. Effects of aqueous and acid-based coloring liquids on the hardness of zirconia restorations. J. Prosthet. Dent. 2017, 117, 662–668. [Google Scholar] [CrossRef]
- Nam, J.Y.; Park, M.G. Effects of treatment with aqueous and acid-based coloring liquid on the color of zirconia. J. Prosthet. Dent. 2019, 121, 363.e361–363.e365. [Google Scholar] [CrossRef]
- Sala, D.; Ciambellotti, S.; Giachetti, A.; Turano, P.; Rosato, A. Investigation of the Iron(II) Release Mechanism of Human H-Ferritin as a Function of pH. J. Chem. Inf. Model 2017, 57, 2112–2118. [Google Scholar] [CrossRef]
- Ress, J.; Martin, U.; Bosch, J.; Bastidas, D.M. pH-Triggered Release of NaNO(2) Corrosion Inhibitors from Novel Colophony Microcapsules in Simulated Concrete Pore Solution. ACS Appl. Mater. Interfaces 2020, 12, 46686–46700. [Google Scholar] [CrossRef] [PubMed]
- Al-Haj Husain, N.; Özcan, M.; Dydyk, N.; Joda, T. Conventional, Speed Sintering and High-Speed Sintering of Zirconia: A Systematic Review of the Current Status of Applications in Dentistry with a Focus on Precision, Mechanical and Optical Parameters. J. Clin. Med. 2022, 11, 4892. [Google Scholar] [CrossRef]
- Tabatabaian, F. Color in Zirconia-Based Restorations and Related Factors: A Literature Review. J. Prosthodont. 2018, 27, 201–211. [Google Scholar] [CrossRef]
- Celik, S.; Ucar, Y.; Ekren, O. Effect of coloring liquids on color of zirconia frameworks and bond strength of zirconia/veneering ceramic. J. Prosthet Dent. 2020, 124, 110–115. [Google Scholar] [CrossRef] [PubMed]
- Wang, F.; Takahashi, H.; Iwasaki, N. Translucency of dental ceramics with different thicknesses. J. Prosthet. Dent. 2013, 110, 14–20. [Google Scholar] [CrossRef]
- Choi, Y.J.; Razzoog, M.E. Masking ability of zirconia with and without veneering porcelain. J. Prosthodont. 2013, 22, 98–104. [Google Scholar] [CrossRef]
- Kumagai, N.; Hirayama, H.; Finkelman, M.D.; Ishikawa-Nagai, S. The effect of translucency of Y-TZP based all-ceramic crowns fabricated with different substructure designs. J. Dent. 2013, 41, e87–e92. [Google Scholar] [CrossRef] [PubMed]
- Yılmaz Savaş, T.; Akın, C. Effects of sintering protocol and dipping time on the optical properties of monolithic zirconia. J. Prosthet. Dent. 2022, 127, e801. [Google Scholar] [CrossRef]
- Ghinea, R.; Pérez, M.M.; Herrera, L.J.; Rivas, M.J.; Yebra, A.; Paravina, R.D. Color difference thresholds in dental ceramics. J. Dent. 2010, 38, e57–e64. [Google Scholar] [CrossRef]
- Pérez Mdel, M.; Saleh, A.; Yebra, A.; Pulgar, R. Study of the variation between CIELAB delta E* and CIEDE2000 color-differences of resin composites. Dent. Mater. J. 2007, 26, 21–28. [Google Scholar] [CrossRef]
- Gómez-Polo, C.; Muñoz, M.P.; Lorenzo Luengo, M.C.; Vicente, P.; Galindo, P.; Martín Casado, A.M. Comparison of the CIELab and CIEDE2000 color difference formulas. J. Prosthet. Dent. 2016, 115, 65–70. [Google Scholar] [CrossRef] [PubMed]
- Schanda, J. CIE Colorimetry; John Wiley & Sons: Hoboken, NJ, USA, 2007; pp. 25–78. [Google Scholar]
- Sen, N.; Isler, S. Microstructural, physical, and optical characterization of high-translucency zirconia ceramics. J. Prosthet. Dent. 2020, 123, 761–768. [Google Scholar] [CrossRef] [PubMed]
- Čokić, S.M.; Li, M.; Huang, S.; Vleugels, J.; Van Meerbeek, B.; Zhang, F. Coloring Multilayer Zirconia May Affect Its Optical and Mechanical Properties. J. Dent. Res. 2024, 103, 1091–1099. [Google Scholar] [CrossRef]
- Chopra, D.; Guo, T.; Gulati, K.; Ivanovski, S. Load, unload and repeat: Understanding the mechanical characteristics of zirconia in dentistry. Dent. Mater. 2024, 40, e1–e17. [Google Scholar] [CrossRef]
- Yılmaz Savaş, T.; Aykent, F. Effect of fabrication techniques on the optical properties of zirconia-based systems. J. Prosthet. Dent. 2021, 125, e521–e528. [Google Scholar] [CrossRef]
- Dokuzlu, S.N.; Subaşı, M.G. Effect of sintering programs and surface treatments on monolithic zirconia. J. Adv. Prosthodont. 2024, 16, 25–37. [Google Scholar] [CrossRef]
- Hafezeqoran, A.; Sabanik, P.; Koodaryan, R.; Ghalili, K.M. Effect of sintering speed, aging processes, and different surface treatments on the optical and surface properties of monolithic zirconia restorations. J. Prosthet. Dent. 2023, 130, 917–926. [Google Scholar] [CrossRef]
- Wei, C.; Gremillard, L. Surface treatment methods for mitigation of hydrothermal ageing of zirconia. J. Eur. Ceram. Soc. 2019, 39, 4322–4329. [Google Scholar] [CrossRef]
- Mayinger, F.; Buser, R.; Laier, M.; Schönhoff, L.M.; Kelch, M.; Hampe, R.; Stawarczyk, B. Impact of the material and sintering protocol, layer thickness, and thermomechanical aging on the two-body wear and fracture load of 4Y-TZP crowns. Clin. Oral. Investig. 2022, 26, 6617–6628. [Google Scholar] [CrossRef]
- DiDomizio, R.; Lupulescu, A.; Glicksman, M. Simulation of Fick′s Verification of the 2nd Law. Diffus. Fundam. 2006, 4, 1–14. [Google Scholar] [CrossRef]
- Kontonasaki, E.; Rigos, A.E.; Ilia, C.; Istantsos, T. Monolithic Zirconia: An Update to Current Knowledge. Optical Properties, Wear, and Clinical Performance. Dent. J. 2019, 7, 90. [Google Scholar] [CrossRef] [PubMed]
- Aydoğdu, H.M.; Yıldız, P.; Ünlü, D.G. A comparative study of translucency and color perception in monolithic zirconia and lithium disilicate veneers. Heliyon 2024, 10, e23789. [Google Scholar] [CrossRef]
- Tabatabaian, F.; Motamedi, E.; Sahabi, M.; Torabzadeh, H.; Namdari, M. Effect of thickness of monolithic zirconia ceramic on final color. J. Prosthet. Dent. 2018, 120, 257–262. [Google Scholar] [CrossRef]
- Supornpun, N.; Oster, M.; Phasuk, K.; Chu, T.G. Effects of shade and thickness on the translucency parameter of anatomic-contour zirconia, transmitted light intensity, and degree of conversion of the resin cement. J. Prosthet. Dent. 2023, 129, 213–219. [Google Scholar] [CrossRef] [PubMed]
- Tabatabaian, F.; Dalirani, S.; Namdari, M. Effect of Thickness of Zirconia Ceramic on Its Masking Ability: An In Vitro Study. J. Prosthodont. 2019, 28, 666–671. [Google Scholar] [CrossRef]
- Çakmak, G.; Donmez, M.B.; Kashkari, A.; Johnston, W.M.; Yilmaz, B. Effect of thickness, cement shade, and coffee thermocycling on the optical properties of zirconia reinforced lithium silicate ceramic. J. Esthet. Restor. Dent. 2021, 33, 1132–1138. [Google Scholar] [CrossRef]
- Kim, H.K.; Kim, S.H.; Lee, J.B.; Han, J.S.; Yeo, I.S.; Ha, S.R. Effect of the amount of thickness reduction on color and translucency of dental monolithic zirconia ceramics. J. Adv. Prosthodont. 2016, 8, 37–42. [Google Scholar] [CrossRef] [PubMed]
- Pala, K.; Reinshagen, E.M.; Attin, T.; Hüsler, J.; Jung, R.E.; Ioannidis, A. Masking capacity of minimally invasive lithium disilicate restorations on discolored teeth-The impact of ceramic thickness, the material′s translucency, and the cement color. J. Esthet. Restor. Dent. 2024, 36, 107–115. [Google Scholar] [CrossRef]
- Saláta, J.; Szabó, F.; Csuti, P.; Antal, M.; Márton, P.; Hermann, P.; Borbély, J.; Ábrám, E. Effect of thickness, translucency, and substrates on the masking ability of a polymer-infiltrated ceramic-network material. J. Esthet. Restor. Dent. 2023, 35, 886–895. [Google Scholar] [CrossRef]
- Saker, S.; Özcan, M. Effect of surface finishing and polishing procedures on color properties and translucency of monolithic zirconia restorations at varying thickness. J. Esthet. Restor. Dent. 2021, 33, 953–963. [Google Scholar] [CrossRef]
- Turgut, S. Optical properties of currently used zirconia-based esthetic restorations fabricated with different techniques. J. Esthet. Restor. Dent. 2020, 32, 26–33. [Google Scholar] [CrossRef] [PubMed]
- Ângela Mazıero Volpato, C.; Francısco Cesar, P.; Antônıo Bottıno, M. Influence of Accelerated Aging on the Color Stability of Dental Zirconia. J. Esthet. Restor. Dent. 2016, 28, 304–312. [Google Scholar] [CrossRef] [PubMed]
- McGlinn, P.J.; McLeod, T.; Leturcq, G.; Aly, Z.; Blackford, M.G.; Zhang, Z.; Li, H.; Lumpkin, G.R. Aqueous Dissolution and Surface Alteration Studies of Nd-bearing Zirconolite in 0.001M Citric Acid at 90 °C. MRS Proc. 2003, 807, 219. [Google Scholar] [CrossRef]
- Nakamura, T.; Okamura, S.; Nishida, H.; Kawano, A.; Tamiya, S.; Wakabayashi, K.; Sekino, T. Fluorescence and physical properties of thulium and erbium co-doped dental zirconia. Dent. Mater. J. 2021, 40, 1080–1085. [Google Scholar] [CrossRef]
- Paravina, R.D.; Ghinea, R.; Herrera, L.J.; Bona, A.D.; Igiel, C.; Linninger, M.; Sakai, M.; Takahashi, H.; Tashkandi, E.; Perez Mdel, M. Color difference thresholds in dentistry. J. Esthet. Restor. Dent. 2015, 27 (Suppl. S1), S1–S9. [Google Scholar] [CrossRef]
- Pekkan, G.; Özcan, M.; Subaşı, M.G. Clinical factors affecting the translucency of monolithic Y-TZP ceramics. Odontology 2020, 108, 526–531. [Google Scholar] [CrossRef] [PubMed]
- Carrabba, M.; Vichi, A.; Tozzi, G.; Louca, C.; Ferrari, M. Cement opacity and color as influencing factors on the final shade of metal-free ceramic restorations. J. Esthet. Restor. Dent. 2022, 34, 423–429. [Google Scholar] [CrossRef]
- Dai, S.; Chen, C.; Tang, M.; Chen, Y.; Yang, L.; He, F.; Chen, B.; Xie, H. Choice of resin cement shades for a high-translucency zirconia product to mask dark, discolored or metal substrates. J. Adv. Prosthodont. 2019, 11, 286–296. [Google Scholar] [CrossRef]
- Kang, C.M.; Huang, Y.W.; Wu, S.H.; Mine, Y.; Lee, I.T.; Peng, T.Y. Evaluation of shade correspondence between high-translucency pre-colored zirconia and shade tab by considering the influence of cement shade and substrate materials. Heliyon 2023, 9, e23046. [Google Scholar] [CrossRef]
- Alrabeah, G.; Alamro, N.; Alghamdi, A.; Almslam, A.; Azaaqi, M. Influences of luting cement shade on the color of various translucent monolithic zirconia and lithium disilicate ceramics for veneer restorations. J. Adv. Prosthodont. 2023, 15, 238–247. [Google Scholar] [CrossRef]






| Zirconia Material | Manufacturer | Translucency | Flexural Strength | Density | Coloring Liquid |
|---|---|---|---|---|---|
| TT ONE Multilayer | UPCERA (Liaoning TT Co., Ltd., Shenzhen, China) | 47% | 1000 MPa | >6.0 g/cm3 | ZirColor ST (A2 shade) |
| DD cubeX2 ML | Dental Direkt GmbH (Spenge, Germany) | 49% | 700–1050 MPa | >6.0 g/cm3 | DD Shade Liquid (A2 shade) |
Disclaimer/Publisher’s Note: The statements, opinions and data contained in all publications are solely those of the individual author(s) and contributor(s) and not of MDPI and/or the editor(s). MDPI and/or the editor(s) disclaim responsibility for any injury to people or property resulting from any ideas, methods, instructions or products referred to in the content. |
© 2025 by the authors. Licensee MDPI, Basel, Switzerland. This article is an open access article distributed under the terms and conditions of the Creative Commons Attribution (CC BY) license (https://creativecommons.org/licenses/by/4.0/).
Share and Cite
Thalib, A.M.; Gumilar, K.E.; Israyani; Wang, S.-M.; Kuo, L.-R.; Fan, F.-Y.; Liu, C.-M. Effect of Ion Release on Color Stability of Zirconia: A Comparative Study. Appl. Sci. 2025, 15, 6364. https://doi.org/10.3390/app15116364
Thalib AM, Gumilar KE, Israyani, Wang S-M, Kuo L-R, Fan F-Y, Liu C-M. Effect of Ion Release on Color Stability of Zirconia: A Comparative Study. Applied Sciences. 2025; 15(11):6364. https://doi.org/10.3390/app15116364
Chicago/Turabian StyleThalib, Alqarama Mahardhika, Khanisyah Erza Gumilar, Israyani, Shang-Ming Wang, Li-Rong Kuo, Fang-Yu Fan, and Chung-Ming Liu. 2025. "Effect of Ion Release on Color Stability of Zirconia: A Comparative Study" Applied Sciences 15, no. 11: 6364. https://doi.org/10.3390/app15116364
APA StyleThalib, A. M., Gumilar, K. E., Israyani, Wang, S.-M., Kuo, L.-R., Fan, F.-Y., & Liu, C.-M. (2025). Effect of Ion Release on Color Stability of Zirconia: A Comparative Study. Applied Sciences, 15(11), 6364. https://doi.org/10.3390/app15116364

