The Research on Deep Learning-Driven Dimensionality Reduction and Strain Prediction Techniques Based on Flight Parameter Data
Abstract
1. Introduction
2. Flight Parameter Preprocessing
2.1. Composition of the Flight Data
- (1)
- Flight landing and take-off labeling information, such as flight time, and flight subject, etc.;
- (2)
- Aircraft attitude parameters, such as altitude, speed, Mach number, latitude and longitude, wind speed, acceleration in all directions, pitch angle, and roll angle;
- (3)
- Information on the status of aircraft maneuver parameters, such as the deflection of the rudder and flaps as well as the position of the horizontal stabilization plane;
- (4)
- Condition parameters of the power unit, such as high and low-pressure engine speeds, and full engine oil level.
2.2. Extraction of Effective Flight Phases
2.3. Interpolated Data for Different Sampling Rate
3. Flight Maneuver Recognition
3.1. Typical Load State Recognition
3.2. Flight Maneuver Recognition
4. Strain Measurement and Calculation of Wings
4.1. Finite Element Modelling
4.2. Virtual Strain Bridge
4.2.1. Arrangements of Virtual Strain Bridges
4.2.2. The formation of Virtual Strain Bridge
4.2.3. Strain Measurement by Virtual Strain Bridge
4.3. Definition of Load Condition
4.4. Virtual Calibration Sample Data
4.4.1. Load Strain Sample Data
4.4.2. Strain Sample Data at Critical Locations
5. Strain/Load Prediction Based on Deep Learning Model
5.1. Dimensionality Reduction by Neural Networks
5.2. Deep Learning Modelling for Strain Prediction
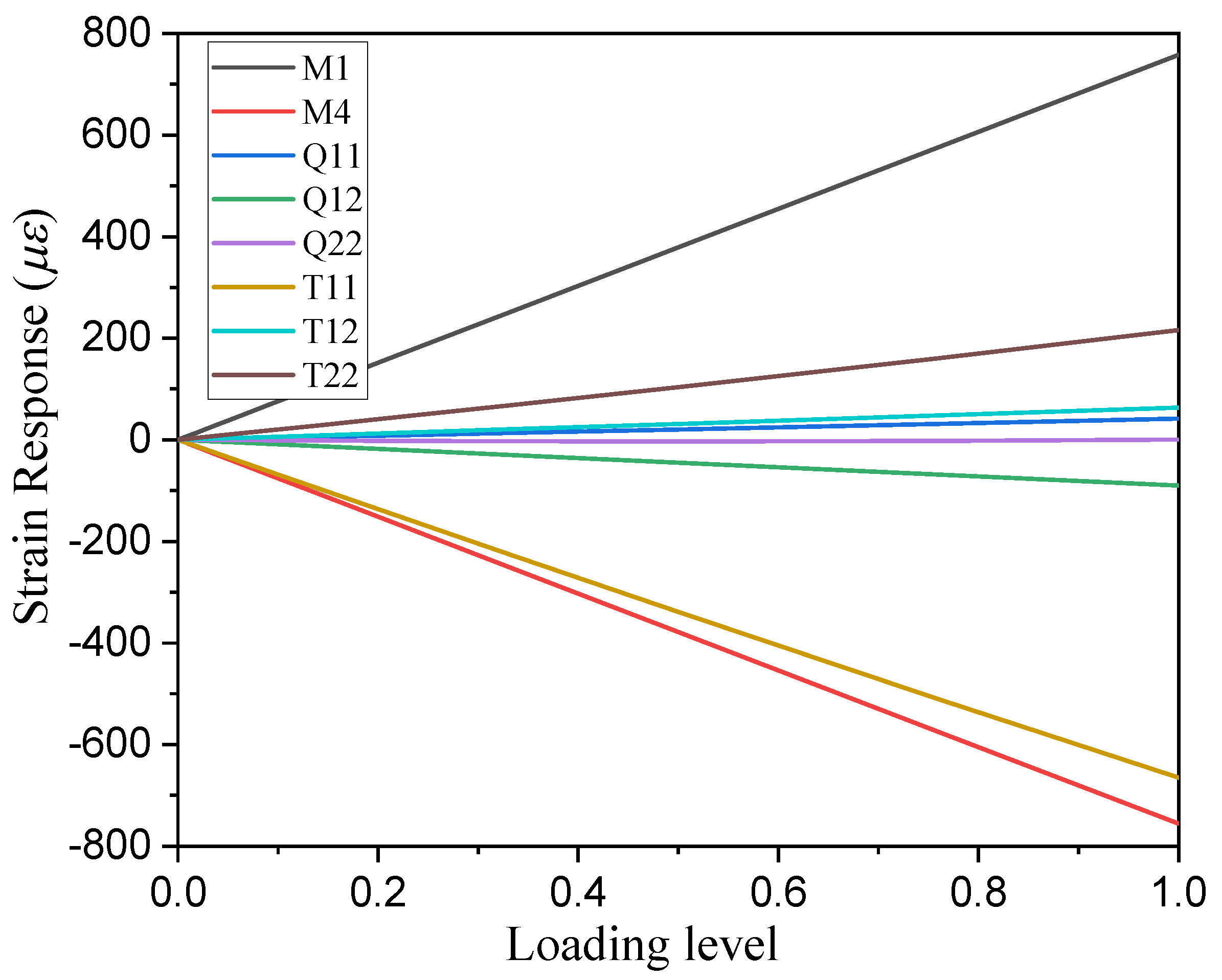
5.3. Flight Parameter–Strain Model Simulation Results
6. Conclusions
- (1)
- Compared to methods such as locally linear embedding (LLE), principal component analysis (PCA), etc., the AE model has the smallest maximum MSE (the maximum MSE does not exceed 0.068, meeting the requirements), and the clustering effect is also obvious. Under equal conditions, the priority should be given to the AE model for flight data dimensionality reduction.
- (2)
- The long short-term memory (LSTM) model has temporal characteristics. Combined with the AE model and FMR, this model can accurately estimate the load or strain of key parts. Particularly, the accuracy of predicting strain amplitudes is higher than that of RNN and other neural network models.
- (3)
- Compared to recurrent neural network (RNN) model, the LSTM model has a smaller area of uncertainty within the 95% confidence interval, indicating better stability. Therefore, the LSTM model is more suitable for learning and training the flight data model, and can be also used for subsequent preparation of the aircraft load and stress spectrum.
Author Contributions
Funding
Institutional Review Board Statement
Informed Consent Statement
Data Availability Statement
Conflicts of Interest
Appendix A
Appendix A.1. Note 1 Shear Stress and Torque Virtual Strain
Appendix A.2. Note 2 Original Samples from Virtual Calibration
| Load Level | ||||||||
|---|---|---|---|---|---|---|---|---|
| 0 | 0 | 0 | 0 | 0 | 0 | 0 | 0 | 0 |
| 0.01 | 7.577 | −7.577 | 0.399 | −0.897 | −0.117 | −6.854 | 0.616 | 2.005 |
| 0.02 | 15.154 | −15.153 | 0.798 | −1.795 | −0.231 | −13.706 | 1.233 | 4.012 |
| 0.035 | 26.52 | −26.517 | 1.398 | −3.14 | −0.399 | −23.979 | 2.159 | 7.026 |
| 0.058 | 43.569 | −43.563 | 2.299 | −5.159 | −0.641 | −39.376 | 3.548 | 11.557 |
| 0.091 | 69.144 | −69.128 | 3.654 | −8.188 | −0.983 | −62.445 | 5.636 | 18.376 |
| 0.142 | 107.509 | −107.469 | 5.694 | −12.731 | −1.449 | −96.985 | 8.776 | 28.655 |
| 0.218 | 165.06 | −164.967 | 8.771 | −19.548 | −2.041 | −148.646 | 13.501 | 44.193 |
| 0.332 | 251.392 | −251.177 | 13.426 | −29.78 | −2.684 | −225.769 | 20.63 | 67.793 |
| 0.503 | 380.897 | −380.399 | 20.502 | −45.154 | −3.077 | −340.497 | 31.417 | 103.936 |
| 0.759 | 575.149 | −573.983 | 31.341 | −68.306 | −2.252 | −509.884 | 47.825 | 160.178 |
| 1 | 757.888 | −755.784 | 41.835 | −90.242 | 0.386 | −665.208 | 63.515 | 215.963 |

Appendix A.3. Note 3 The Settings of All Deep Learning Models Used in This Paper
| Input Layer | Encoder Layer | Decoder Layer | Activation Function | Loss Function | Optimizer | Training Epochs | Batch Size |
|---|---|---|---|---|---|---|---|
| 18 dimensions | 13 neurons | 18 neurons | ReLU | MSE | Adam optimizer | 200 | 32 |
| Input Data | Target Dimensionality | Test Set Size | Random Seed | Loss Function | Linear Regression Model |
|---|---|---|---|---|---|
| 18 dimensions | 13 components | 50% | 42 | MSE | Linear Regression |
| Input Data | Target Dimensionality | Test Set Size | Random Seed | Loss Function |
|---|---|---|---|---|
| 18 dimensions | 13 components | 50% | 42 | MSE |
| Input Data | Simple RNN Layer | Activation Function | Loss Function | Validation Sets | Training Epochs | Batch Size |
|---|---|---|---|---|---|---|
| 13 dimensions | 50 neurons | ReLU | MSE | 20% | 50 | 32 |
| Input Data | LSTM Layer Layer | Activation Function | Loss Function | Validation Sets | Training Epochs | Batch Size |
|---|---|---|---|---|---|---|
| 13 dimensions | 50 neurons | ReLU | MSE | 20% | 50 | 32 |
References
- Zhou, L.; Li, X.; Li, M.; Żur, K.K. The smoothed finite element method for time-dependent mechanical responses of MEE materials and structures around Curie temperature. Comput. Methods Appl. Mech. Eng. 2020, 370, 113241. [Google Scholar] [CrossRef]
- Hughes, A.J.; Barthorpe, R.J.; Dervilis, N.; Farrar, C.R.; Worden, K. A probabilistic risk-based decision framework for structural health monitoring. Mech. Syst. Signal Process. 2021, 150, 107339. [Google Scholar] [CrossRef]
- Vinogradov, Y.I.; Menkov, G.B. Study of Stress-Strain State of an Aircraft Body at Steering Loads. Mech. Solids 2020, 55, 423–436. [Google Scholar] [CrossRef]
- He, H.; Zeng, B.; Wu, X.; Hou, J.; Wang, Y.; Wang, Y.; Wang, N. Higher matrix stiffness promotes VSMC senescence by affecting mi-tochondria-ER contact sites and mitochondria/ER dysfunction. FASEB J. 2023, 37, e23318. [Google Scholar] [CrossRef] [PubMed]
- Brown, E.R.; McCollom, N.N.; Moore, E.E.; Hess, A. Prognostics and Health Management—A data-driven approach to supporting the F-35 Lightning II. In Proceedings of the 2007 IEEE Aerospace Conference, Big Sky, MT, USA, 3–10 March 2007. [Google Scholar]
- Davies, A. Global Defense Procurement and the F-35 Joint Strike Fighter. Secur. Chall. 2019, 15, 79–81. [Google Scholar]
- Lei, W.Y.; Turkiyyah, G.; Knio, O. Finite Element Discretizations for Variable-Order Fractional Diffusion Problems. J. Sci. Comput. 2023, 97, 5. [Google Scholar] [CrossRef]
- Hu, Y.; Li, Y.; Yan, D.; Jiao, Z.; Yuan, D.; Qin, C.; Li, Y. Strain transfer of fiber Bragg grating sensors in fiber-reinforced polymer composites with different fiber orientations and temperatures. Measurement 2024, 225, 114005. [Google Scholar] [CrossRef]
- Duncan, J.S. Pilot’s Handbook of Aeronautical Knowledge; United States Department of Transpor-tation, Federal Aviation Administration, Airman Testing Standards Branch: Oklahoma City, OK, USA, 2016.
- Li, L.; Zhang, X.; Qian, C.; Wang, R. Basic flight maneuver generation of fixed-wing plane based on proximal policy optimization. Neural Comput. Appl. 2023, 35, 10239–10255. [Google Scholar] [CrossRef]
- Yang, J.F.; Zhang, N.; He, Y.L.; Zhu, Q.X.; Xu, Y. Novel dual-network autoencoder based adversarial domain adaptation with Wasserstein divergence for fault diagnosis of unlabeled data. Expert. Syst. Appl. 2024, 238, 122393. [Google Scholar] [CrossRef]
- Jeong, S.H.; Lee, K.B.; Ham, J.H.; Kim, J.H.; Cho, J.Y. Estimation of maximum strains and loads in aircraft landing using artificial neural network. Int. J. Aeronaut. Space Sci. 2020, 21, 117–132. [Google Scholar] [CrossRef]
- Hou, C.K.J.; Behdinan, K. Neural Networks with Input Dimensionality Reduction for Efficient Temperature Distribution Prediction in a Warm Stamping Process. J. Appl. Comput. Mech. 2022, 8, 1431–1444. [Google Scholar] [CrossRef]
- Gandy, M.; Martin, L. Wireless Sensors for Aging Aircraft Health Monitoring. Lockheed Martin Internal Document, 2000. Available online: https://my.ece.utah.edu/~cfurse/Center%20of%20Excellence/wiring_papers/wireless_sensors_for_ag_2001.pdf (accessed on 1 March 2024).
- Silva, G.N.; Sant’Anna, I.C.; Cruz, C.D.; Nascimento, M.; Azevedo, C.F.; Glória, L.S. Neural networks and dimensionality reduction to increase predictive efficiency for complex traits. Genet. Mol. Res. 2022, 21, gmr18982. [Google Scholar] [CrossRef]
- Bucci, A.; He, L.D.; Liu, Z. Combining dimensionality reduction methods with neural networks for realized volatility forecasting. Ann. Oper. Res. 2023. [Google Scholar] [CrossRef]
- Mendez, M.A. Linear and nonlinear dimensionality reduction from fluid mechanics to machine learning. Meas. Sci. Technol. 2023, 34, 042001. [Google Scholar] [CrossRef]
- Nateghi, V.; Manzi, M. Machine learning methods for nonlinear dimensionality reduction of the thermospheric density field. Adv. Space Res. 2023, 72, 4106–4114. [Google Scholar] [CrossRef]
- Bunnell, S.; Gorrell, S.; Salmon, J.; Thelin, C.; Ruoti, C. Structural design space exploration using principal component analysis. J. Comput. Inf. Sci. Eng. 2020, 20, 061014. [Google Scholar] [CrossRef]
- Rahbari, A.; Rébillat, M.; Mechbal, N.; Canu, S. Unsupervised damage clustering in complex aeronautical composite structures monitored by Lamb waves: An inductive approach. Eng. Appl. Artif. Intell. 2021, 97, 104099. [Google Scholar] [CrossRef]
- Shitomi, R.; Tsuji, M.; Fujimura, Y.; Funatomi, T.; Mukaigawa, Y.; Morimoto, T.; Oishi, T.; Takamatsu, J.; Ikeuchi, K. Unsupervised learning with a physics-based autoencoder for estimating the thickness and mixing ratio of pigments. J. Opt. Soc. Am. A 2023, 40, 116–128. [Google Scholar] [CrossRef] [PubMed]
- Liu, Z.B.; Liu, F.J.; Wang, Y.C.; Zhang, Y.L.; Sun, Z.X.; Zhang, M.S. Prediction of retaining structure deformation of ultra-deep foundation pit by empirical mode decomposition with recurrent neural networks. Environ. Earth Sci. 2023, 82, 553. [Google Scholar] [CrossRef]
- Erol, B.; Inkaya, T. Long short-term memory network based deep transfer learning approach for sales forecasting. J. Fac. Eng. Arch. Gaz. 2024, 39, 191–202. [Google Scholar] [CrossRef]
- Bärmann, A.; Burlacu, R.; Hager, L.; Kutzer, K. An Approximation Algorithm for Optimal Piecewise Linear Interpolations of Bounded Variable Products. J. Optim. Theory Appl. 2023, 199, 569–599. [Google Scholar] [CrossRef]
- Thiam, A.; Baratoux, D.; Fall, M.; Faye, G.; Ouattara, G. Multi-Parameter Statistical Analysis of K, Th, and U Concentrations in Eastern Senegal: Implications for the Interpretation of Airborne Radiometrics. Geosciences 2023, 13, 263. [Google Scholar] [CrossRef]
- Zhang, M.; Xia, S.; Huang, Y.; Tian, J.; Yin, Z. Research on Engine Thrust and Load Factor Prediction by Novel Flight Maneuver Recognition Based on Flight Test Data. Aerospace 2023, 10, 961. [Google Scholar] [CrossRef]
- Korada, V.S.; Kumar, J. Finite elements limit analysis formulation using the power type yield criterion for plane strain and axisymmetric stability problems. Comput. Geotech. 2023, 162, 105667. [Google Scholar] [CrossRef]
- Elakkiya, M.K. Novel deep learning models with novel integrated activation functions for autism screening: AutiNet and MinAutiNet. Expert. Syst. Appl. 2024, 238, 122102. [Google Scholar] [CrossRef]
- Zhao, Y.; Wang, Y.C.; Hao, J.B.; Wang, Y.Q.; Wang, K.C.; Tai, S.Y. Study on mechanical properties of cellular structures with negative Poisson’s ratio based on the development of Abaqus plug-in tool. Compos. Struct. 2023, 322, 117348. [Google Scholar] [CrossRef]















| Flight Parameter Name | Unit | Flight Parameter Name | Unit |
|---|---|---|---|
| Deflection Angle of Left Horizontal Stabilizer | rad | Pitch Angle | rad |
| Deflection Angle of Right Horizontal Stabilizer | rad | Roll Angle | rad |
| Deflection Angle of Left Aileron | rad | Yaw Angle | rad |
| Deflection Angle of Right Aileron | rad | Axial Angular Acceleration | rad/ |
| Rudder Deflection Angle | rad | Normal Angular Acceleration | rad/ |
| Left Leading Edge Slats Deflection Angle | rad | Lateral Angular Acceleration | rad/ |
| Right Leading-Edge Slats Deflection Angle | rad | Normal Load Factor | g |
| Pitch Angular Velocity | rad/s | Axial Load Factor | g |
| Roll Angular Velocity | rad/s | Lateral Load Factor | g |
| Yaw Angular Velocity | rad/s | Mach Number | Ma |
| Dynamic Pressure | MPa | Atmospheric Airspeed | m/s |
| Total Aircraft Fuel Quantity | kg | Sideslip Angle | rad |
| Elevation | m | Attack Angle | rad |
| Low-Pressure Turbine Speed of Right Engine | m/s | Low-Pressure Turbine Speed of Left Engine | m/s |
| High-Pressure Turbine Speed of Left Engine | m/s | High-Pressure Turbine Speed of Right Engine | m/s |
| Ground Speed vg/(m/s) | Flight Stage |
|---|---|
| vg = 0 | Ground run |
| vg ≤ 80 | Taxi, take-off, approach landing, descent |
| vg > 80 | Climbing, heading out, aerobatics, cruising. |
| Raw Data | Data after Interpolation | ||||
|---|---|---|---|---|---|
| Total Oil Volume/kg | Low-Pressure Speed of the Left Engine | Normal Load/g | Total Oil volume/kg | Low-Pressure Speed of the Left Engine | Normal Load/g |
| 1367 | 73.7 | 11.547 | 1367 | 73.7 | 11.547 |
| 11.406 | 1366.875 | 73.7 | 11.406 | ||
| 73.7 | 11.496 | 1366.75 | 73.7 | 11.496 | |
| 11.211 | 1366.625 | 73.65 | 11.211 | ||
| 73.6 | 11.539 | 1366.5 | 73.6 | 11.539 | |
| 73.6 | 11.070 | 1366.375 | 73.6 | 11.070 | |
| 11.453 | 1366.25 | 73.6 | 11.453 | ||
| 73.6 | 11.754 | 1366.125 | 73.6 | 11.754 | |
| 1366 | 73.6 | 10.992 | 1366 | 73.6 | 10.992 |
| Rolling Angular Rate (deg/s) | Ground Speed (m/s) | Altitude (m) | Inertial Attack Angle (deg) | Status Category | |
|---|---|---|---|---|---|
| 0.52 | 199.44 | 1438 | 2.77 | 107.69 | M1 |
| 0.27 | 83.44 | 1577 | 10.79 | 388.81 | M2 |
| −0.02 | 211.06 | 4197 | 4.04 | 287 | M3 |
| −0.02 | 201.25 | 6230 | 10.04 | 350.97 | M4 |
| 0.05 | 215.25 | 7025 | 3.54 | 501.17 | M5 |
| −0.02 | 193.75 | 7868 | 12.68 | 712.12 | M6 |
| Shear Force (kN) | Bending Moment (kN·m) | Torque (kN·m) | |||
|---|---|---|---|---|---|
| 5 | 14.91 | 1.66 | 2014.02 | −184.3 | 63.2 |
| 8 | 20.67 | 2.38 | 2788.74 | −319.26 | 73.72 |
| 10 | 21.85 | 2.62 | 2947.55 | −427.91 | 54.27 |
| 15 | 26.8 | 3.41 | 3606.49 | −687.65 | 24.54 |
| 18 | 24.99 | 3.47 | 3357.53 | −874.91 | −39.75 |
| 20 | 19.8 | 3.16 | 2655.46 | −1030.43 | −113.17 |
| Shear Force (kN) | Bending Moment (kN·m) | Torque (kN·m) | |||
|---|---|---|---|---|---|
| −1.0000 | −1.0000 | −1.0000 | −1.0000 | 1.0000 | 0.8874 |
| −0.6000 | −0.0314 | −0.2063 | −0.0270 | 0.6810 | 1.0000 |
| −0.3333 | 0.1675 | 0.0658 | 0.1724 | 0.4242 | 0.7919 |
| 0.3333 | 1.0000 | 0.9388 | 1.0000 | −0.1898 | 0.4737 |
| 0.7333 | 0.6953 | 1.0000 | 0.6873 | −0.6324 | −0.2143 |
| 1.0000 | −0.1779 | 0.6552 | −0.1944 | −1.0000 | −1.0000 |
| Loads | Strain of Critical Position (με) | The Bending Moment Bridge (με) | Shear Bridge (με) | Torque Bridge (με) |
|---|---|---|---|---|
| 5 | 2093.2 | 2014.02 | −184.3 | 63.2 |
| 8 | 2957.07 | 2788.74 | −319.26 | 73.72 |
| 10 | 3206.18 | 2947.55 | −427.91 | 54.27 |
| 15 | 4076.41 | 3606.49 | −687.65 | 24.54 |
| 18 | 4005.85 | 3357.53 | −874.91 | −39.75 |
| 20 | 3466.17 | 2655.46 | −1030.43 | −113.17 |
| Loads | Strain of Critical Position (με) | The Bending Moment Bridge (με) | Shear Bridge (με) | Torque Bridge (με) |
|---|---|---|---|---|
| 5 | −1 | −1 | 1 | 0.88742 |
| 8 | −0.1288 | −0.02702 | 0.68099 | 1 |
| 10 | 0.1224 | 0.17243 | 0.42418 | 0.79186 |
| 15 | 1 | 1 | −0.18977 | 0.4737 |
| 18 | 0.9288 | 0.68733 | −0.6324 | −0.2143 |
| 20 | 0.3846 | −0.19441 | −1 | −1 |
Disclaimer/Publisher’s Note: The statements, opinions and data contained in all publications are solely those of the individual author(s) and contributor(s) and not of MDPI and/or the editor(s). MDPI and/or the editor(s) disclaim responsibility for any injury to people or property resulting from any ideas, methods, instructions or products referred to in the content. |
© 2024 by the authors. Licensee MDPI, Basel, Switzerland. This article is an open access article distributed under the terms and conditions of the Creative Commons Attribution (CC BY) license (https://creativecommons.org/licenses/by/4.0/).
Share and Cite
Huang, W.; Wang, R.; Zhang, M.; Yin, Z. The Research on Deep Learning-Driven Dimensionality Reduction and Strain Prediction Techniques Based on Flight Parameter Data. Appl. Sci. 2024, 14, 3938. https://doi.org/10.3390/app14093938
Huang W, Wang R, Zhang M, Yin Z. The Research on Deep Learning-Driven Dimensionality Reduction and Strain Prediction Techniques Based on Flight Parameter Data. Applied Sciences. 2024; 14(9):3938. https://doi.org/10.3390/app14093938
Chicago/Turabian StyleHuang, Wenbo, Rui Wang, Mengchuang Zhang, and Zhiping Yin. 2024. "The Research on Deep Learning-Driven Dimensionality Reduction and Strain Prediction Techniques Based on Flight Parameter Data" Applied Sciences 14, no. 9: 3938. https://doi.org/10.3390/app14093938
APA StyleHuang, W., Wang, R., Zhang, M., & Yin, Z. (2024). The Research on Deep Learning-Driven Dimensionality Reduction and Strain Prediction Techniques Based on Flight Parameter Data. Applied Sciences, 14(9), 3938. https://doi.org/10.3390/app14093938

