A Material Stress–Strain–Time–Temperature Creep Model for the Analysis of Asphalt Cores in Embankment Dams
Abstract
1. Introduction
2. Materials and Specimen Preparation
3. Results of Long-Term Triaxial Creep Tests at Different Temperatures
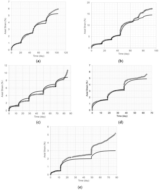
4. Proposed Material Model and Analysis of the Test Results
4.1. Viscoelastic Theory
4.2. Analysis of the Test Results
5. Discussion and Practical Implications
6. Summary and Conclusions
- The magnitude of radially confining stress levels has insignificant effects on the stress–strain relationship of HAC in the creep-stable state that has been compacted with a vibratory roller in the field.
 - The long-term triaxial creep test results showed that the curves of creep strains with time could be fit well toward a strain-stable state by applying the generalized Kelvin model in the linear form of creep compliance with two Kelvin elements in the temperature range of 5–30 °C.
 - The relationships of the viscoelasticity and temperature parameters were established based on the test results, and a material stress–strain–time–temperature creep model (SSTTC model) was proposed. The creep curves obtained using the SSTTC model showed good agreement with the test curves of the asphalt specimens with reasonable variations.
 - The volumetric strain was compressive strain during the long-term triaxial creep tests. The asphalt concrete specimens failed at high strain levels, as the bitumen (binder) was torn off the aggregates.
 - An equivalent Poisson ratio up to the creep-stable state was, based on the recorded axial and volumetric strains, estimated to be 0.37.
 - The creep-stable modulus Ecs of an asphalt core during construction is about 10 times lower than that in the adjacent transition zones. The asphalt core must resist the applied stresses from the transition zones by deforming.
 - The relationships between the viscoelastic parameters and temperature for the SSTTC model must be determined for the asphalt mix used in the core, and the construction process and temperature changes in the asphalt core during construction and reservoir impounding must be specified. The strains in the asphalt core, calculated by using the SSTTC model in a numerical analysis, can be compared with the allowable strains of an asphalt concrete mix to evaluate the safety of an asphalt core in an embankment dam. If core cracking is likely to occur and could lead to unacceptable leakage or even dam rupture, the design of the ACED must be modified or mitigation measures must be introduced to prevent any serious and unacceptable consequences of the cracking.
 
Funding
Institutional Review Board Statement
Informed Consent Statement
Data Availability Statement
Acknowledgments
Conflicts of Interest
References
- ICOLD. Asphalt Concrete Cores for Embankment Dams; Bulletin 179; International Commission on Large Dams (ICOLD): Paris, France, 2018. [Google Scholar]
 - Hydropower & Dams. Asphaltic Concrete Cores for Dams; Listing in H & D World Atlas and Industry Guide; Hydropower & Dams: Sutton, UK, 2023. [Google Scholar]
 - Feng, S.; Wang, W.; Hu, W.; Deng, Y.; Yang, J.; Wu, S.; Zhang, C.; Höeg, K. Design and performance of the Quxue asphalt-core rockfill dam. Soils Found. 2020, 60, 1036–1049. [Google Scholar] [CrossRef]
 - Pircher, W.; Schwab, P. Design, construction and behaviour of the asphaltic concrete core wall of the Finstertal Dam. In Proceedings of the 16th ICOLD Congress, R49-Q61, San Francisco, CA, USA, 13–17 June 1988; pp. 901–924. [Google Scholar]
 - Gallacher, D. Asphaltic concrete core at the Megget Dam. In Proceedings of the 16th International Congress on Large Dams, R.39-Q.61, San Francisco, CA, USA, 13–17 June 1988; pp. 707–731. [Google Scholar]
 - Rienossl, K. Embankment dams with asphaltic concrete cores experience and recent test results. In Proceedings of the 11th International Congress on Large Dams, R.45-Q.42, Madrid, Spain, 11–15 June 1973; pp. 801–816. [Google Scholar]
 - Schober, W. Considerations and investigations for the design of a rockfill dam with a 92 m high bituminous mix core. In Proceedings of the 11th International Congress on Large Dams, R.34-Q.42, Madrid, Spain, 11–15 June 1973; pp. 575–600. [Google Scholar]
 - Haas, H. Zur Eignung und Optimierung von Asphaltbeton für Kerndichtungen in Staudämmen; Part 3; Bitumen: Heft, UK, 1983; pp. 97–106. [Google Scholar]
 - Feiner, A.; Lehnert, J.; Lohr, A. Asphaltic concrete core problems and their solutions. In Proceedings of the 12th International Congress on Large Dams, R.3-Q.44, Mexico City, Mexico, 29 March–2 April 1976; pp. 33–47. [Google Scholar]
 - Wang, W.; Höeg, K. Simplified material model for analysis of asphalt core in embankment dams. Constr. Build. Mater. 2016, 124, 199–207. [Google Scholar] [CrossRef]
 - Grenier, S.; Konrad, J.M.; Péloquin, É.; Longtin, H. Effects of compaction method on the properties of asphalt concrete for dams and dykes. In Proceedings of the CDA 2010 Annual Conference, Canadian Dam Association (CAD), Niagara Falls, ON, Canada, 2–7 October 2010. [Google Scholar]
 - DL/T 5363-2016; Specifications for Construction of Hydraulic Rolled Bituminous Concrete. China Water and Power Press: Beijing, China, 2016. (In Chinese)
 - Tong, J.; Shen, K.; Ma, T.; Zhang, J. Characterizing the tension-compression asymmetric viscoelasticity of asphalt mixture using the uniaxial tension and compression test. Constr. Build. Mater. 2022, 350, 128854. [Google Scholar] [CrossRef]
 - Gu, L.; Zhang, W.; Ma, T.; Qiu, X.; Xu, J. Numerical simulation of viscoelastic behavior of asphalt mixture using fractional constitutive model. J. Eng. Mech. 2021, 147, 04021027. [Google Scholar] [CrossRef]
 - Lagos-Varas, M.; Movilla-Quesada, D.; Arenas, J.P.; Raposeiras, A.C.; Castro-Fresno, D.; Calzada-Pérez, M.A.; Vega-Zamanillo, A.; Maturana, J. Study of the mechanical behavior of asphalt mixtures using fractional rheology to model their viscoelasticity. Constr. Build. Mater. 2019, 200, 124–134. [Google Scholar] [CrossRef]
 
















| Sieve Size (mm) | Bitumen Content | ||||
|---|---|---|---|---|---|
| 9.5–19 | 4.75–9.5 | 0–4.75 | 0–0.075 | ||
| Ratio (%) of mineral weight | 16 | 24 | 52 | 8.0 | 6.8 | 
| Temperature (°C)  | Confining Stress (MPa)  | Modulus (MPa)  | Retardation Time (Day)  | ||||
|---|---|---|---|---|---|---|---|
| Eg | E1 | E2 | Ecs | τ1 | τ2 | ||
| 5 | 0.5 | 65 | 36 | 20 | 10.7 | 4 | 9 | 
| 0.8 * | 80 | 55 | 40 | 18.0 | 3 | 8 | |
| 1.0 | 70 | 40 | 26 | 12.9 | 5 | 10 | |
| 15 | 0.5 | 40 | 30 | 20 | 9.2 | 3 | 8 | 
| 1.0 | 42 | 32 | 23 | 10.1 | 3 | 7 | |
| 1.5 | 50 | 43 | 32 | 13.4 | 3 | 8 | |
| 20 | 0.5 | 37 | 32 | 23 | 9.8 | 2.5 | 7 | 
| 0.8 * | 37 | 34 | 23 | 10.0 | 3 | 7 | |
| 1.0 | 26 | 20 | 10 | 5.3 | 3 | 7 | |
| 1.5 | 30 | 25 | 18 | 7.8 | 5 | 8 | |
| 25 | 0.5 | 28 | 24 | 14 | 6.7 | 2 | 5 | 
| 1.0 | 28 | 24 | 14 | 6.7 | 4 | 8 | |
| 30 | 0.8 * | 20 | 17 | 7 | 4.0 | 4 | 10 | 
Disclaimer/Publisher’s Note: The statements, opinions and data contained in all publications are solely those of the individual author(s) and contributor(s) and not of MDPI and/or the editor(s). MDPI and/or the editor(s) disclaim responsibility for any injury to people or property resulting from any ideas, methods, instructions or products referred to in the content.  | 
© 2024 by the author. Licensee MDPI, Basel, Switzerland. This article is an open access article distributed under the terms and conditions of the Creative Commons Attribution (CC BY) license (https://creativecommons.org/licenses/by/4.0/).
Share and Cite
Wang, W. A Material Stress–Strain–Time–Temperature Creep Model for the Analysis of Asphalt Cores in Embankment Dams. Appl. Sci. 2024, 14, 3399. https://doi.org/10.3390/app14083399
Wang W. A Material Stress–Strain–Time–Temperature Creep Model for the Analysis of Asphalt Cores in Embankment Dams. Applied Sciences. 2024; 14(8):3399. https://doi.org/10.3390/app14083399
Chicago/Turabian StyleWang, Weibiao. 2024. "A Material Stress–Strain–Time–Temperature Creep Model for the Analysis of Asphalt Cores in Embankment Dams" Applied Sciences 14, no. 8: 3399. https://doi.org/10.3390/app14083399
APA StyleWang, W. (2024). A Material Stress–Strain–Time–Temperature Creep Model for the Analysis of Asphalt Cores in Embankment Dams. Applied Sciences, 14(8), 3399. https://doi.org/10.3390/app14083399
        