Practice-Oriented Controller Design for an Inverse-Response Process: Heuristic Optimization versus Model-Based Approach
Abstract
1. Introduction
2. MRDP Design of HO-ARCs for IPDT Model
- Explicitly—the equivalent delay of the filter can be added to the delay of the identified process model by setting the total dead time of the loop as follows
2.1. IPDT Approximation of Non-Minimum Phase Process
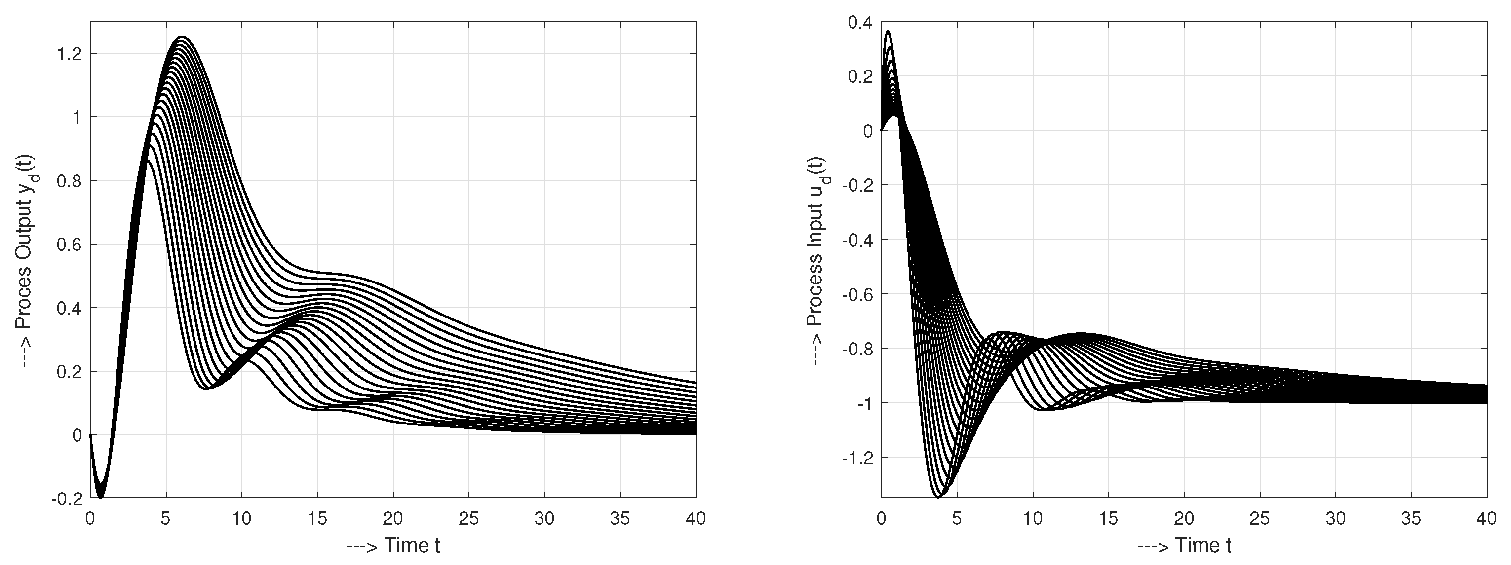
2.2. Closed-Loop Responses Based on the IPDT Model of the SOPDTUZ Process
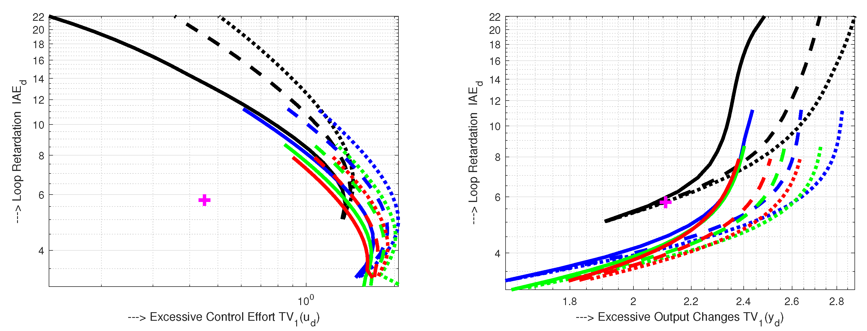
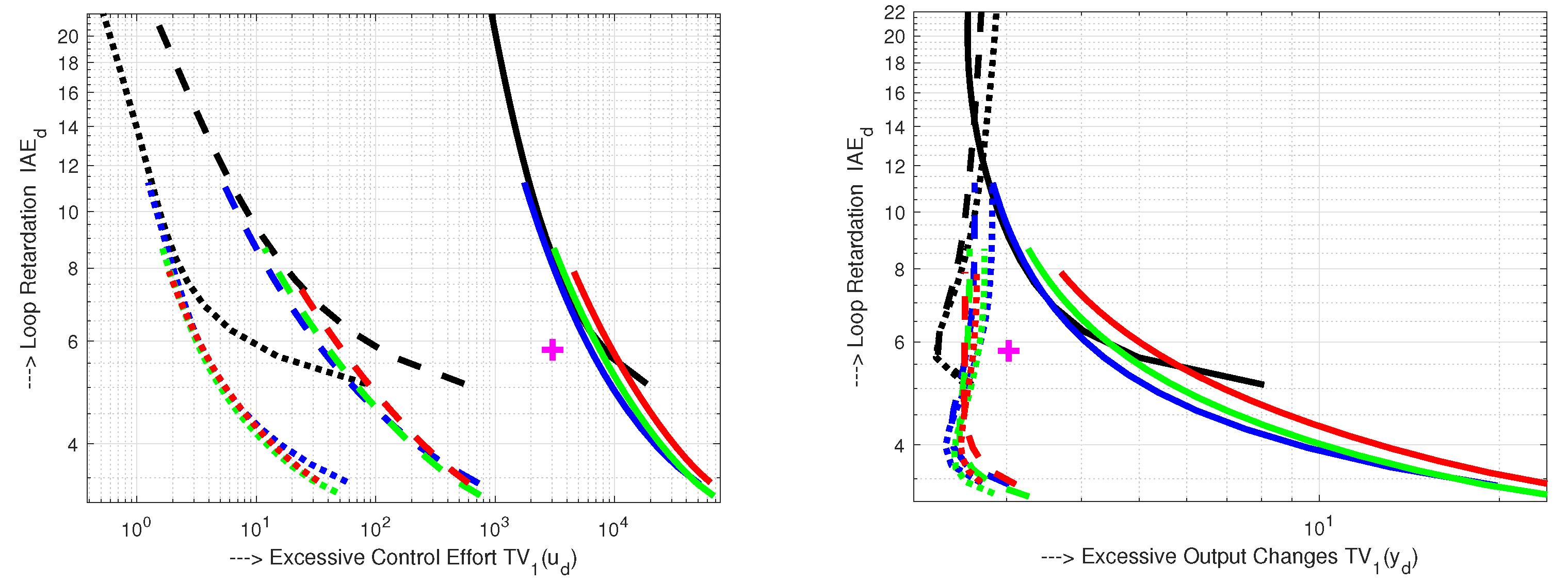
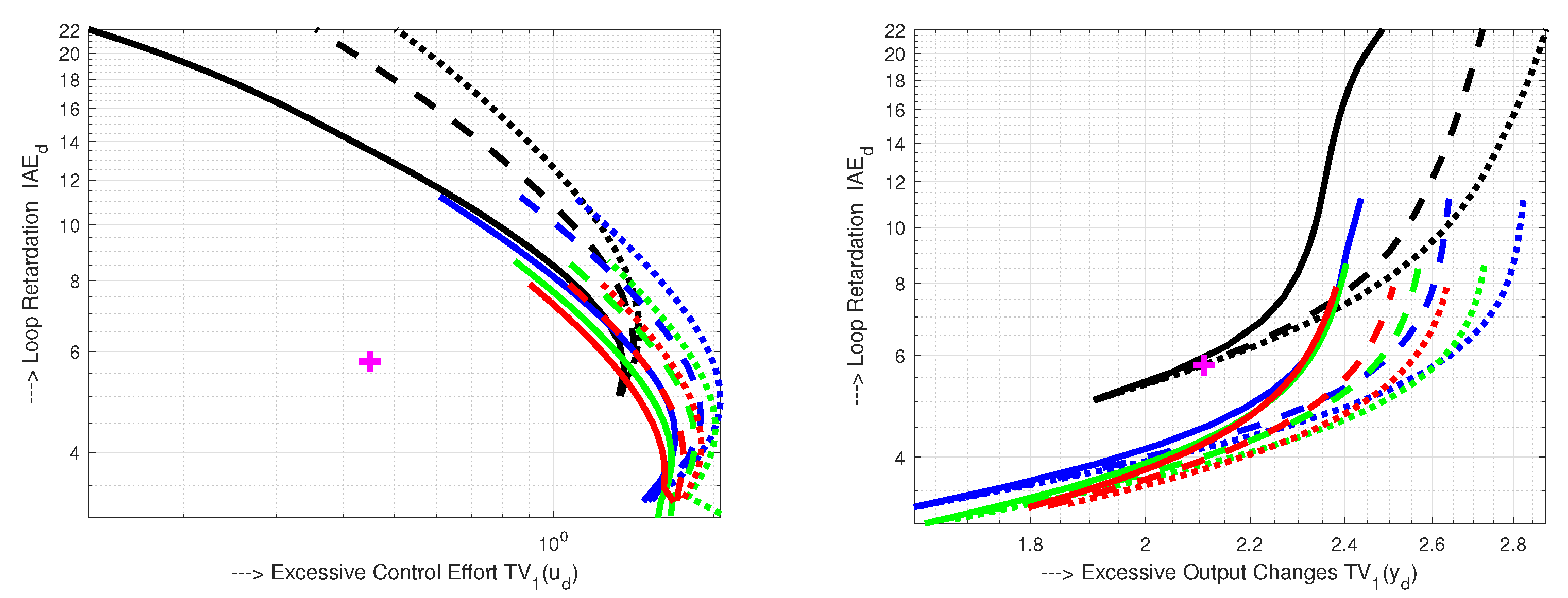
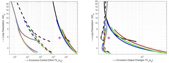
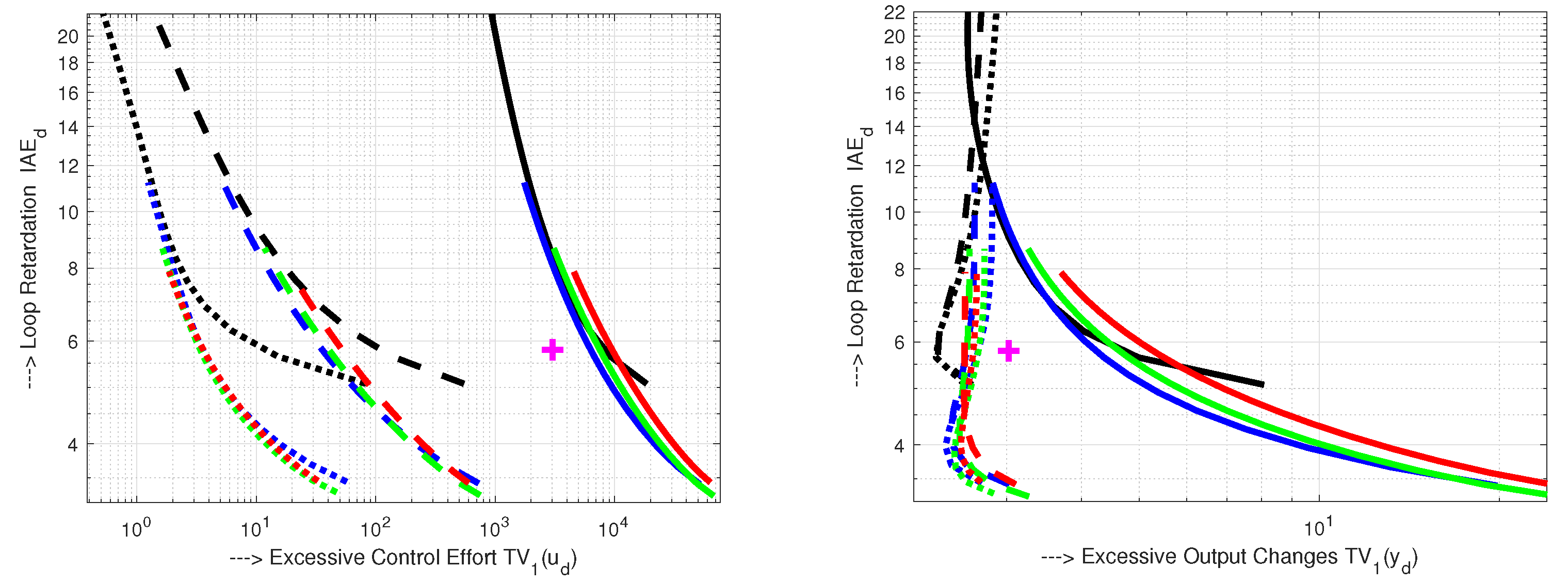
3. Speed–Effort and Speed–Wobbling Characteristics
4. Linear and Constrained Controller Design
Stability and Absolute Stability of the Closed Loop with MRDP Controller
5. Discussion
- Instead of parallel filtered PID controllers based on heuristic optimization and knowledge of the exact process model [8], the article proposes the use of HO-AR controllers with odd values of the derivative degree , whose parameters are tuned based on a simplified IPDT process model;
- Instead of in the original article [8], not allowing for modification of the noise attenuation, it is recommended that (ideally and if possible at least ) be used to better attenuate the measurement noise;
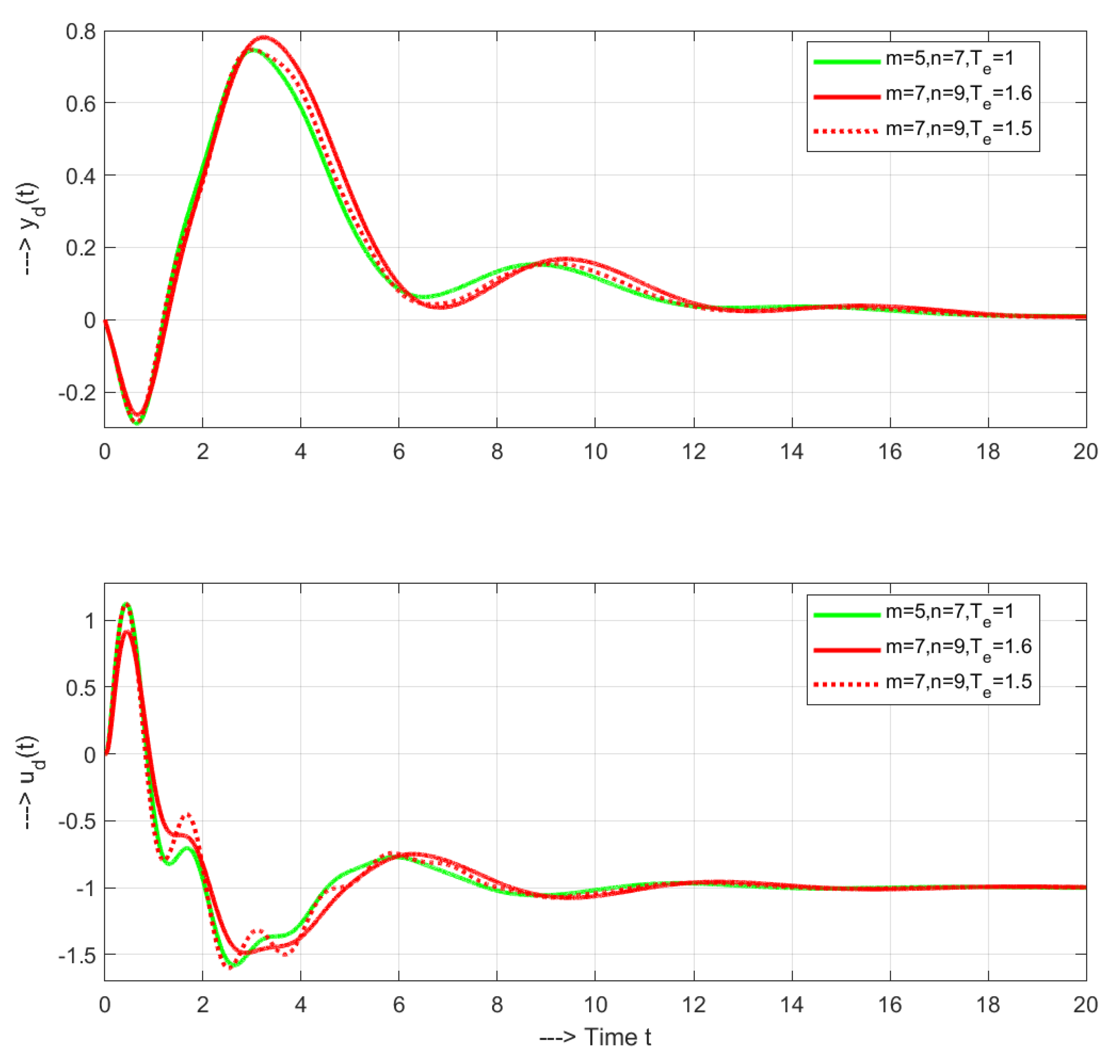
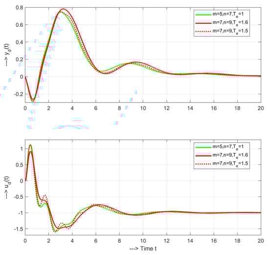
- A substantial increase in control performance (reduction in excessive controller effort in the range of and also reduction in the output wobbling) can be achieved by choosing ;
- From the point of view of the POCD, no further optimization of the controller is required apart from the selection of the tuning parameters m, , and n;
- Thanks to the nature of such an IPDT approximation of the measured step response and the controller design used, the whole procedure can be described as a generalization of the Ziegler and Nichols method [12] for HO-ARCs and inverse response processes;
- An additional advantage of the new approach is that HO-AR controllers offer easier adaptation to technological requirements, allow reconstruction of input disturbance, ensure high-quality transients even in systems with limited control signal, and thus, better fulfil all POCD requirements.
6. Conclusions
Author Contributions
Funding
Institutional Review Board Statement
Informed Consent Statement
Data Availability Statement
Acknowledgments
Conflicts of Interest
Abbreviations
| 1P | One-Pulse, response with two monotonic segments (one extreme point) |
| 2DoF | Two Degrees of Freedom |
| AR | Automatic Reset |
| ARC | Automatic Reset Controller |
| AW | Anti-Windup |
| ADRC | Active Disturbance Rejection Control |
| DOB | Disturbance Observer |
| HO | Higher-Order |
| HO-AR | Higher-Order Automatic Reset |
| Integral of Absolute Error | |
| IPDT | Integrator Plus Dead Time |
| MFC | Model-Free Control |
| MRDP | Multiple Real Dominant Pole |
| PD | Proportional–Derivative |
| Proportional with mth order Derivative, nth-order filter | |
| Proportional with mth order Derivative, nth-order filter and automatic Reset | |
| PI | Proportional–Integral |
| PID | Proportional–Integral–Derivative |
| PIDA | Proportional–Integral–Derivative–Accelerative |
| POCD | Practice-Oriented Controller Design |
| SE | Speed–Effort |
| SOPDTUZ | Second Order Plus Dead Time with Unstable Zero |
| SW | Speed–Wobbling |
| TV | Total Variation |
| TV1 | Deviation from 1P Shape |
Appendix A. Multiple Read Dominant Pole (MRDP) Controller Tuning
| 0.0598 | 0.0915 | 0.10930 | 0.1208 | |
| 0.2846 | 0.1747 | 0.12537 | 0.09748 | |
| 3.4475 | 2.4434 | 2.08980 | 1.9025 | |
| 0 | 0.7166 | 0.84823 | 0.8808 | |
| 0 | 0.0709 | 0.15599 | 0.2026 | |
| 0 | 0 | 0.01425 | 0.02726 | |
| 0 | 0 | 0.002210 | ||
| 0 | 0 | 0 | ||
| 0 | 0 | 0 |
Appendix A.1. 2DoF Controller
References
- Seborg, D.; Edgar, T.; Mellichamp, D. Process Dynamics and Control; John Wiley: New York, NY, USA, 1989. [Google Scholar]
- Boskovic, M.C.; Sekara, T.B.; Rapaic, M.R. Novel tuning rules for PIDC and PID load frequency controllers considering robustness and sensitivity to measurement noise. Int. J. Electr. Power Energy Syst. 2020, 114, 105416. [Google Scholar] [CrossRef]
- De Keyser, R.; Bonilla Alarcon, J.; Ionescu, C.M. A comparative study of several control techniques applied to a boost converter. In Proceedings of the 10th International Conference on Optimization of Electrical and Electronic Equipment, Brasov, Romania, 18–19 May 2006; Volume 2, pp. 71–78. [Google Scholar]
- Isidori, A. The zero dynamics of a nonlinear system: From the origin to the latest progresses of a long successful story. Eur. J. Control 2013, 19, 369–378. [Google Scholar] [CrossRef]
- Alfaro, V.M.; Vilanova, R. MoReRT Control of Inverse Response Processes. In Model-Reference Robust Tuning of PID Controllers; Springer International Publishing: Cham, Switzerland, 2016; pp. 65–77. [Google Scholar]
- Xu, G.; Wu, T.; Zhang, Z.; Yue, G. The two-degree-of-freedom parallel control for inverse response plus time delay. Syst. Sci. Control Eng. 2019, 7, 90–95. [Google Scholar] [CrossRef]
- Zhu, H.; Zhang, G.; Shao, H. Control of the process with inverse response and dead-time based on disturbance observer. In Proceedings of the 2005 American Control Conference, Portland, OR, USA, 8–10 June 2005; Volume 7, pp. 4826–4831. [Google Scholar]
- Alfaro, V.M.; Vilanova, R. Robust tuning of 2DoF five-parameter PID controllers for inverse response controlled processes. J. Process Control 2013, 23, 453–462. [Google Scholar] [CrossRef]
- Glattfelder, A.; Schaufelberger, W. Control Systems with Input and Output Constraints; Springer: Berlin, Germany, 2003. [Google Scholar]
- Foyen, S.; Kvammen, M.E.; Fosso, O.B. Prony’s method as a tool for power system identification in Smart Grids. In Proceedings of the 2018 International Symposium on Power Electronics, Electrical Drives, Automation and Motion (SPEEDAM), Amalfi, Italy, 20–22 June 2018; pp. 562–569. [Google Scholar]
- Balaguer, P.; Alfaro, V.; Arrieta, O. Second order inverse response process identification from transient step response. ISA Trans. 2011, 50, 231–238. [Google Scholar] [CrossRef]
- Ziegler, J.G.; Nichols, N.B. Optimum settings for automatic controllers. Trans. ASME 1942, 64, 759–768. [Google Scholar]
- Huba, M.; Chamraz, S.; Bisták, P.; Vrančić, D. Making the PI and PID Controller Tuning Inspired by Ziegler and Nichols Precise and Reliable. Sensors 2021, 18, 6157. [Google Scholar] [CrossRef]
- Meneses, H.; Cambronero, K.; Louzao, J.; Arrieta, O.; Vilanova, R. Development of an Open-Source Software Tool to Analyze Closed-Loop Control Systems. In Proceedings of the 2022 International Symposium on Accreditation of Engineering and Computing Education (ICACIT), Cusco, Peru, 3–4 November 2022; pp. 1–6. [Google Scholar]
- Åström, K.J.; Hägglund, T. Advanced PID Control; ISA: Research Triangle Park, NC, USA, 2006. [Google Scholar]
- Bennett, S. The Past of PID Controllers. In Proceedings of the IFAC Workshop on Digital Control: Past, Present and Future of PID Control, Terrassa, Spain, 5–7 April 2000; Volume 33, pp. 1–11. [Google Scholar]
- Huba, M.; Bisták, P.; Vrančić, D. Series PID Control with Higher-Order Derivatives for Processes Approximated by IPDT Models. IEEE TASE 2023. accepted. [Google Scholar] [CrossRef]
- Huba, M.; Bistak, P.; Vrancic, D. Parametrization and Optimal Tuning of Constrained Series PIDA Controller for IPDT Models. Mathematics 2023, 11, 4229. [Google Scholar] [CrossRef]
- Ackermann, J. Abtastregelung; Springer: Berlin, Germany, 1988. [Google Scholar]
- Han, J. From PID to Active Disturbance Rejection Control. Ind. Electron. IEEE Trans. 2009, 56, 900–906. [Google Scholar] [CrossRef]
- Sariyildiz, E.; Ohnishi, K. A Guide to Design Disturbance Observer. J. Dyn. Sys. Meas. Control 2013, 136, 021011. [Google Scholar] [CrossRef]
- Huba, M.; Žáková, K.; Bisták, P.; Hypiusová, M.; Ťapák, P. Seeking a unique view to control of simple models. In Proceedings of the 12th IFAC Symposium Advances in Control Education, Philadelphia, PA, USA, 7–9 July 2019. [Google Scholar]
- Bisták, P.; Huba, M.; Chamraz, S.; Vrančić, D. IPDT Model-Based Ziegler-Nichols Tuning Generalized to Controllers with Higher-Order Derivatives. Sensors 2023, 23, 3787. [Google Scholar] [CrossRef] [PubMed]
- Huba, M.; Bistak, P.; Vrančič, D. Comparing filtered PI, PID and PIDD2 control for the FOTD plants. In Proceedings of the 4rd IFAC Conference on Advances in Proportional-Integral-Derivative Control, Almeria, Spain, 12–14 June 2024. [Google Scholar]
- Huba, M.; Vrančić, D.; Bisták, P. PID Control with Higher Order Derivative Degrees for IPDT Plant Models. IEEE Access 2021, 9, 2478–2495. [Google Scholar] [CrossRef]
- Ferrari, M.; Visioli, A. A software tool to understand the design of PIDA controllers. In Proceedings of the 13th IFAC Symposium on Advances in Control Education ACE 2022, Hamburg, Germany, 24–27 July 2022; Volume 55, pp. 249–254. [Google Scholar]
- Åström, K.; Hagander, P.; Sternby, J. Zeros of sampled systems. Automatica 1984, 20, 31–38. [Google Scholar] [CrossRef]
- Huba, M.; Bistak, P.; Vrancic, D. Robust Stability Analysis of Filtered PI and PID Controllers for IPDT Processes. Mathematics 2023, 11, 30. [Google Scholar] [CrossRef]
- Visioli, A. Practical PID Control; Springer: London, UK, 2006. [Google Scholar]
- Huba, M. Filter choice for an effective measurement noise attenuation in PI and PID controllers. In Proceedings of the ICM2015, Nagoya, Japan, 6–8 March 2015. [Google Scholar]
- Skogestad, S. Simple analytic rules for model reduction and PID controller tuning. J. Process Control 2003, 13, 291–309. [Google Scholar] [CrossRef]
- Slotine, J.; Li, W. Applied Nonlinear Control; Prentice Hall: Englewood Cliffs, NJ, USA, 1991. [Google Scholar]
- Föllinger, O. Nichtlineare Regelungen; R. Oldenbourg Verlag: München, Germany, 1993. [Google Scholar]
- Vítečková, M.; Víteček, A. 2DOF PI and PID controllers tuning. In Proceedings of the 9th IFAC Workshop on Time Delay Systems, Praha, Czech Republic, 7–9 June 2010; Volume 9, pp. 343–348. [Google Scholar]
- Huba, M.; Gao, Z. Uncovering Disturbance Observer and Ultra-Local Plant Models in Series PI Controllers. Symmetry 2022, 14, 640. [Google Scholar] [CrossRef]
- Gao, Z. On the centrality of disturbance rejection in automatic control. ISA Trans. 2014, 53, 850–857. [Google Scholar] [CrossRef] [PubMed]
- Wu, Z.; Gao, Z.; Li, D.; Chen, Y.; Liu, Y. On transitioning from PID to ADRC in thermal power plants. Control Theory Technol. 2021, 19, 3–18. [Google Scholar] [CrossRef]
- Lin, P.; Wu, Z.; Fei, Z.; Sun, X.M. A Generalized PID Interpretation for High-Order LADRC and Cascade LADRC for Servo Systems. IEEE Trans. Ind. Electron. 2022, 69, 5207–5214. [Google Scholar] [CrossRef]
- Sun, Y.; Su, Z.G.; Sun, L.; Zhao, G. Time-Delay Active Disturbance Rejection Control of Wet Electrostatic Precipitator in Power Plants. IEEE Trans. Autom. Sci. Eng. 2022, 20, 1–13. [Google Scholar] [CrossRef]
- Wang, R.; Li, X.; Zhang, J.; Zhang, J.; Li, W.; Liu, Y.; Fu, W.; Ma, X. Speed Control for a Marine Diesel Engine Based on the Combined Linear-Nonlinear Active Disturbance Rejection Control. Math. Probl. Eng. 2018, 2018, 7641862. [Google Scholar] [CrossRef]
- Madonski, R.; Herbst, G.; Stankovic, M. ADRC in output and error form: Connection, equivalence, performance. Control Theory Technol. 2023, 21, 56–71. [Google Scholar] [CrossRef]
- Amokrane, S.B.; Laidouni, M.Z.; Adli, T.; Madonski, R.; Stankovic, M. Active disturbance rejection control for unmanned tracked vehicles in leader–follower scenarios: Discrete-time implementation and field test validation. Mechatronics 2024, 97, 103114. [Google Scholar] [CrossRef]
- Fliess, M.; Join, C. Model-free control. Int. J. Control 2013, 86, 2228–2252. [Google Scholar] [CrossRef]
- Fliess, M.; Join, C. An alternative to proportional-integral and proportional-integral-derivative regulators: Intelligent proportional-derivative regulators. Int. J. Robust Nonlinear Control 2021, 32, 9512–9524. [Google Scholar] [CrossRef]
- Vrančić, D.; Huba, M. High-Order Filtered PID Controller Tuning Based on Magnitude Optimum. Mathematics 2021, 9, 1340. [Google Scholar] [CrossRef]










Disclaimer/Publisher’s Note: The statements, opinions and data contained in all publications are solely those of the individual author(s) and contributor(s) and not of MDPI and/or the editor(s). MDPI and/or the editor(s) disclaim responsibility for any injury to people or property resulting from any ideas, methods, instructions or products referred to in the content. |
© 2024 by the authors. Licensee MDPI, Basel, Switzerland. This article is an open access article distributed under the terms and conditions of the Creative Commons Attribution (CC BY) license (https://creativecommons.org/licenses/by/4.0/).
Share and Cite
Bistak, P.; Huba, M.; Vrancic, D. Practice-Oriented Controller Design for an Inverse-Response Process: Heuristic Optimization versus Model-Based Approach. Appl. Sci. 2024, 14, 2890. https://doi.org/10.3390/app14072890
Bistak P, Huba M, Vrancic D. Practice-Oriented Controller Design for an Inverse-Response Process: Heuristic Optimization versus Model-Based Approach. Applied Sciences. 2024; 14(7):2890. https://doi.org/10.3390/app14072890
Chicago/Turabian StyleBistak, Pavol, Mikulas Huba, and Damir Vrancic. 2024. "Practice-Oriented Controller Design for an Inverse-Response Process: Heuristic Optimization versus Model-Based Approach" Applied Sciences 14, no. 7: 2890. https://doi.org/10.3390/app14072890
APA StyleBistak, P., Huba, M., & Vrancic, D. (2024). Practice-Oriented Controller Design for an Inverse-Response Process: Heuristic Optimization versus Model-Based Approach. Applied Sciences, 14(7), 2890. https://doi.org/10.3390/app14072890

