You are currently viewing a new version of our website. To view the old version click .
Applied Sciences
  • Article
  • Open Access

13 March 2024

Concurrent Sprint Swimming Interval and Dryland Training: Performance and Biomechanical Variable Changes within a Mesocycle

,
and
1
Division of Aquatic Sports, School of Physical Education and Sports Science, National and Kapodistrian University of Athens, 17237 Athens, Greece
2
Sports Performance Laboratory, School of Physical Education and Sports Science, National and Kapodistrian University of Athens, 17237 Athens, Greece
*
Author to whom correspondence should be addressed.
This article belongs to the Special Issue Applied Biomechanics in Sports Performance, Injury Prevention and Rehabilitation

Abstract

The aim of this study was to examine the effects of concurrent dryland and sprint swimming interval training (SIT), and of SIT only, on swimmers’ performance and biomechanical variables before, during, and following 6 weeks of training. Twenty-four swimmers (age: 16.5 ± 2.9 years) were assigned to three groups of equal performance level and applied concurrent dryland and SIT three times per week, as follows: (i) maximum strength (three sets × four repetitions, load 90% of one-repetition maximum) [1RM]) prior to SΙT (group: G-MS); (ii) muscular endurance (2 sets × 20 repetitions, load 55% of 1RM) prior to SΙT (group: G-ME); and (iii) SΙT only (consisting of 2 series of 4 × 50 m sprints (group: G-CON)). Performance time, stroke rate (SR), stroke length (SL), and stroke index (SI) were measured during 4 × 50 m sprints. For pre- vs. post-performance time, SR, SL, and SI were similar between groups (p > 0.05). SR increased in G-MS and G-ME in week 6 vs. week 1 (p = 0.02), while SL and SI were similar between groups (p > 0.05). Concurrent dryland compared with sprint interval swimming training on the same day may progressively increase SR within a 6-week period, and all types of training improved front crawl efficiency following a mesocycle of training.

1. Introduction

Competitive swimmers may apply maximum strength (3–5 sets, 3–5 repetitions, >85% of one-repetition maximum [1RM]) or muscular endurance in dryland training (2–4 sets, >12 repetitions, 40–60% of 1RM) prior to swimming training [1,2]. Following dryland training, the swimmers participate in swimming training to improve endurance [3] or sprint interval swimming training (SIT) with maximum effort to improve anaerobic potential [4,5,6]. Within a training microcycle, coaches may plan more than two dryland strength training sessions prior to in-water training, and this is regularly repeated during a mesocycle or longer periods of training [7].
There is evidence that the long-term concurrent application of dryland strength and endurance swimming training may improve performance compared with swimming training only, and this has been extensively reviewed and supported with experimental findings [2,8,9,10]. However, no study in swimming has examined the possible effects of concurrent dryland maximum strength or muscular endurance training and SIT on swimmers’ performance. On the contrary, it has been well documented that a long-term application of SIT only may improve swimmers’ performance in race distances ranging from 50 to 400 m [11,12,13].
In addition, alterations in biomechanical variables such as stroke rate (SR), stroke length (SL), and stroke index (SI) may explain swimming performance [14]. However, controversial findings have been reported for biomechanical variables from a combination of dryland training (80–90% of maximal load) with endurance training [10,15,16]. Previous findings indicated increments in SR and SL after 4 weeks [16] but not after 6 to 12 weeks [10,15]. However, high-intensity swimming training applied during 4 weeks of intervention increased SR during maximal efforts of the 100 and 400 m front crawl [17]. It is possible that the biomechanical alterations observed during a training period depend on the swimmers’ level as well as the characteristics of the training [18,19].
To our knowledge, no study in swimming has examined the effects of concurrent dryland maximum strength or muscular endurance training and SIT applied on the same day on SR, SL, and SI during and after a training period. In addition, there is limited information available concerning the progression of swimmers’ SR, SL, and SI during a training period when different concurrent training plans have been applied. The aim of this study was to examine the effects of concurrent dryland maximum strength and SIT, as well as muscular endurance and SΙT, and SΙT only, on swimmers’ performance and biomechanical variables before, during, and following 6 weeks of training. We hypothesized that swimmers will improve their performance and biomechanical characteristics irrespective of the training combination.

2. Materials and Methods

2.1. Participants

Twenty-four national-level competitive swimmers (twelve males and twelve females) volunteered to participate in this study. All swimmers had participated in the national championship of the previous year. As inclusion criteria, each swimmer needed to meet the following: (i) be free from injury; (ii) indicate no use of medication prior to or during the training period; (iii) have at least 5 years of experience in competitive swimming; and (iv) participate in six swimming training sessions and two to three dryland sessions per week. After a thorough explanation of this study’s procedures, all swimmers or their legal guardians signed a consent form accepting their participation in this study. The local institutional review board approved the experimental protocol (approved number: 1111), which was according to the Helsinki Declaration.

2.2. Study Design

A 3-group repeated-measure design was applied with pre-training and post-training period measurements. Following baseline testing, swimmers were divided into three groups of equal performance levels according to their 100 m swimming performance, and then completed a 6-week training mesocycle. Swimmers’ characteristics in each group are shown in Table 1.
Table 1. Anthropometric and performance characteristics of the participants in each group.
During the 6-week period, swimmers of the G-MS group (n = 8) performed a maximum strength dryland training session prior to SIT. Swimmers in the G-ME group (n = 8) performed a muscular endurance dryland training session prior to SIT, while G-CON (n = 8) performed the SIT only. All groups applied the concurrent session three times per week and 20 min after the dryland session. G-CON performed easy stretching and arm-swing exercises prior to SIT during the intervention days and no dryland training was applied within the mesocycle of intervention. All the swimming training sessions were the same for all groups. Measurements were conducted during the specific preparation period of the second seasonal cycle of the year-round training plan. All tests as well as training sessions were completed at the same time of the day (17:00 to 19:00 p.m.) in a 50 m outdoor swimming pool with a water temperature of 27 °C. Ambient temperature during testing ranged between 20 and 25 °C. All SIT testing procedures during, as well as prior to and post the 6-week period were carried out by experienced and certified personnel. The experimental design of the study is shown in Figure 1.
Figure 1. Experimental design of the study: 1RM: one-repetition maximum; SR: stroke rate; SL: stroke length; SI: stroke index.

2.3. Testing Procedures

All swimmers were evaluated before (pre) and after (post) the 6-week training period. On day 1, body mass and body height (Seca, Hamburg, Germany) were measured and body mass index was calculated. Body fat percentage was estimated according to Jackson and Pollock’s method [20] and lean body mass (LBM) was calculated according to Boer’s method [21]. On day 2, the swimmers performed 200 and 400 m front crawl tests, applying maximum effort. The recovery period between 200 and 400 m was 30 min, including a 5 to 10 min period of active recovery. From the two timed distances (200 and 400 m), the linear relationship of time vs. distance was drawn and the critical speed (CS) was determined as the slope of the regression line [3]. On day 3, the swimmers completed four repetitions of 50 m front crawl sprints (4 × 50 m) using a push-off start from within the water and starting every 2 min. The mean swimming performance time was used for the statistical analysis. Moreover, swimming time of each repetition was used to calculate the decrement score (DS) [22]. On day 4, performance time in a 100 m front crawl test with maximum effort was recorded. In all testing sessions, the SR was calculated by the time to complete 3 stroke cycles, and SL was calculated by the ratio of swimming speed to SR. SI was calculated by the product of SL and swimming speed. All biomechanical variables were measured at every 50 m during the 4 × 50 m sprints and the 100 m test and were averaged to obtain one value for each test, which was used for the statistical analysis. On day 5, the individual 1RM was evaluated in bench press (ICC = 0.99), seated pulley rowing (swimmers were allowed to move their torso during the pull; ICC = 0.98), and half squat exercises (knee angle 90°; ICC = 0.99) using standard procedures [23]. Prior to each swimming testing procedure, the swimmers performed an 800 m standardized warm-up (400 m slow front crawl swimming, 4 × 50 m front crawl drills, and 4 × 50 m front crawl swimming with progressively increasing speed).

2.4. Training Content and Testing

Both maximum strength and muscular endurance dryland sessions consisted of sit-ups and back extension exercises (3 sets × 15 repetitions and 30 s resting interval) and three resistance training exercises that have been previously included in dryland sessions for competitive swimmers [15]. The dryland sessions’ characteristics are shown in Figure 2. The training volume of both dryland sessions were equalized by manipulating the number of sets, repetitions, load/intensity, and movement tempo as it is shown in Equation (1) [24]:
T r a i n i n g v o l u m e = S e t s × R e p e t i t i o n s × % 1 R M × M T
where %1RM (repetition maximum) is the training load/intensity and MT is the movement tempo during a repetition in bench press, seated pulley rowing, or half squat.
Figure 2. A graphic representation of the maximum strength and muscular endurance dryland training sessions applied by the swimmers in the group of maximum strength (G-MS) and in the group of muscular endurance (G-ME) prior to sprint swimming training during the 6-week training period; 1RM: one-repetition maximum.

2.5. Sprint Swimming Interval Training and Decrement Score

The SIT session was the same in all experimental groups and it was applied after an 800 m standardized warm-up (400 m slow front crawl swimming, 4 × 50 m front crawl drills, and 4 × 50 m front crawl swimming with progressively increasing speed), including two sets of 4 repetitions for 50 m sprints. The first set was performed in front crawl and the second set in the personally preferred swimming stroke. Both sets were applied using a push-off start and starting every 2 min. A five-minute passive resting interval was allowed between the two sets. The daily training volume during the days when SIT applied, was 3000 m and the swimming training during the remaining 3 days of the week ranged from 3200 to 5000 m. The training intensity was adjusted according to CS and applied in three training zones: (i) zone 1 corresponding to 95–97% of CS, (ii) zone 2 corresponding to 99–101% of CS, and (iii) zone 3 corresponding to 104–107% of CS [3]. Performance time of the first 4 × 50 m front crawl training set in the first SIT session of each week was recorded by experienced timekeepers and the mean time as well as the calculated DS were used for the statistical analysis. Moreover, the SR, SL, and SI were calculated during the first set of 4 × 50 m sprints and the mean values from each set in each week were used for the statistical analysis. The internal training load of daily swimming training was estimated by calculating the session rating of perceived exertions (session-RPE) and using a 10-point Borg scale [25]. The swimming training volume was recorded daily and was stored for subsequent analysis.

2.6. Statistical Analysis

Normal distribution of the data was tested using Kolmogorov–Smirnov test and sphericity was verified using a Mauchly test. When the assumption of sphericity was not met, the significance of F ratios was adjusted according to the Greenhouse–Geisser correction. Analysis of variance on repeated measures in two factors (3 groups × time points) was used for all dependent variables (anthropometric characteristics, performance time in the 4 × 50 m, 100 m, SR, SL, SI, and 1RM). A Tukey honest significant difference as a post hoc test was used to compare the means when significant F ratios were found. In addition, analysis of variance in two factors (3 groups × repeated measures) was used for all dependent variables as well as training volume and training load during the 6-week training period. The Δ values were estimated from post- to pre-measurements and from week 6 to week 1 for the performance time, the SR, SL, and SI. Furthermore, one-way analysis of variance between groups was used for percentage differences (%Δ). To estimate the size of the main effects and interaction, the partial eta-squared (ηp2) values from the analysis of variance were used. The ηp2 was considered small if the value was ≤0.01, medium if it was ≤0.06, and large if it was ≥0.14. The ηp 2 for the sample size in the present study (n = 24) separated by three equal groups with sample (n = 8) resulted in a power of analysis corresponding to 0.71 [26]. Pearson correlation was used to examine relationships between variables and was qualitatively interpretated as small (r = 0.1–0.3), moderate (r = 0.3–0.5), large (r = 0.5–0.7), very large (r = 0.7–0.9), and nearly perfect (r > 0.9) [27]. The ICC using 1-way random effects was used to test the reliability. Data are presented as mean ± SD. Statistical significance was set at p ≤ 0.05.

3. Results

3.1. Anthropometric Characteristics

Swimmers’ body weight, body height, body fat, and LBM were similar between groups (F(2,21) = 0.86, p = 0.43, ηp2 = 0.08 [medium], Table 2). In addition, the body height increased (F(2,21) = 8.83, p = 0.01, ηp2 = 0.30 [large]), while body fat decreased in all groups (F(2,21) = 30.39, p = 0.01, ηp2 = 0.49 [large]) after the 6-week training period (Table 2).
Table 2. Swimmers’ anthropometric characteristics in pre- vs. post-training period. The group of maximum strength (G-MS), the group of muscular endurance (G-ME), and the control group (G-CON).

3.2. Training Load and Training Volume

The mean training volume was similar among G-MS, G-ME, and G-CON (F(2,21) = 0.88, p = 0.43, ηp2 = 0.07 [medium]), along with training load during the 6-week intervention period (F(2,21) = 3.17, p = 0.06, ηp2 = 0.23 [large], Table 3).
Table 3. Mean training volume and training load during the 6-week period for the three groups of swimmers. The group of maximum strength (G-MS), the group of muscular endurance (G-ME), and the control group (G-CON).

3.3. Performance in the 4 × 50 m and 100 m Tests

Performance time of the 4 × 50 m sprints was similar among G-MS, G-ME, and G-CON (group effect, F(2,21) = 0.89, p = 0.42, ηp2 = 0.07 [medium]) and decreased (indicating improvement) in all groups after the 6-week training period (effect of time, F(1,2) = 11.86, p = 0.01, ηp2 = 0.36 [large], Figure 3a). Accordingly, the calculated DS during the 4 × 50 m sprints was similar between groups (F(2,21) = 0.17, p = 0.85, ηp2 = 0.01 [small]) and decreased following the 6-week training period (G-MS, pre: 2.5 ± 1.9 vs. post: 1.6 ± 0.1%, G-ME, pre: 2.7 ± 1.7 vs. post: 1.5 ± 0.1%, G-CON, pre: 3.0 ± 1.5 vs. post: 1.5 ± 0.1%, p = 0.01).
Figure 3. Performance time changes in the 4 × 50 m sprints (panel (a)) and 100 m (panel (b)) prior to and post the 6-week training period for the three groups of swimmers participating in the study. G-MS: group of maximum strength, G-ME: group of muscular endurance, and G-CON: control group. * p < 0.05, between pre- and post-measurements.
Performance time in the 100 m test was similar between groups (F(2,21) = 1.11, p = 0.35, ηp2 = 0.09 [medium]) and decreased (indicating improvement) after the 6-week training period (G-MS: 5.0 ± 2.8%, G-ME: 4.4 ± 2.2%, and G-CON: 2.1 ± 3.2%, p = 0.01, Figure 3b).

3.4. Biomechanical Variables in the 4 × 50 m and 100 m Tests

The biomechanical variables during the 4 × 50 m test (SR, SL, SI) were similar between groups (p = 0.39–0.49). Moreover, SR and SL were unchanged in all groups (p = 0.11–0.45, Table 4); however, the SI increased in the G-MS, G-ME, and G-CON after the 6-week training period (F(1,21) = 10.03, p = 0.01, ηp2 = 0.32 [large], Table 4). All of the biomechanical variables during the 100 m test were similar between groups (effect of group, F(2,21) = 0.47, p = 0.63, ηp2 = 0.04 [medium]). The SR increased in all groups (G-MS: 8.7 ± 14.8%, G-ME: 5.3 ± 3.6%, and G-CON: 1.9 ± 3.2%, p = 0.01) but the SL and SI were unchanged in all groups after the 6-week training period (p = 0.25–0.57, Table 4).
Table 4. The biomechanical variable changes in the 4 × 50 sprints and 100 m front crawl test prior to and post the 6-week training mesocycle for the three groups of swimmers participating in the study. G-MS: group of maximum strength, G-ME: group of muscular endurance, and G-CON: control group.
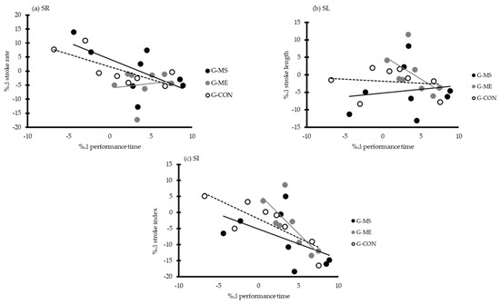
The %Δ of performance time was negatively correlated with %Δ of SI in G-ME and G-CON (r = −0.75 and r = −0.82, respectively, p < 0.05, Figure 4), while no correlation was observed in G-MS (r = −0.51, p > 0.05). Moreover, in G-CON, the %Δ of performance time was negatively correlated with %Δ of SR (r = −0.74, p < 0.05), while no correlation was observed in G-ME and G-MS (r = −0.13, r = 0.61, respectively, p > 0.05). Moreover, no correlation was observed in %Δ of performance time with the %Δ in the SL of all groups (r = −0.55–0.14, p > 0.05, Figure 4).
Figure 4. The correlations of the %Δ stroke rate (SR, panel (a)), stroke length (SL, panel (b)), stroke index (SI, panel (c)) with the %Δ in performance time for groups of maximum strength (G-MS), muscular endurance (G-ME), and control group (G-CON).

3.5. Performance and Biomechanical Variable Percentage Changes in Post- vs. Pre-Measurements

Performance time percentage changes, as well as the corresponding changes on the SR, SL, and SI measured in the 4 × 50 m sprints post and prior to the 6-week mesocycle, were not different between groups (performance time, F(2,21) = 0.97, p = 0.39, ηp2 = 0.09 [medium], biomechanical variables, p > 0.05, Table 5).
Table 5. Performance time, stroke rate (SR), stroke length (SL), and stroke index (SI) percentage changes (%Δ) in the 4 × 50 m sprints at post and prior to the 6-week training period. G-MS: group of maximum strength, G-ME: group of muscular endurance, and G-CON: control group.

3.6. One-Repetition Maximum Strength

The maximum strength in bench press was similar between groups (p = 0.43, Table 6). However, G-MS and G-ME increased their 1RM in the seated pulley rowing (F(1,2) = 45.99, p = 0.01, ηp2 = 0.69 [large], Table 6) and the half squat (F(1,2) = 32.94, p = 0.01, ηp2 = 0.61 [large], Table 6) compared with G-CON.
Table 6. Post vs. prior to one-repetition maximum (1RM) strength in the bench press, the seated pulley rowing, and the half squat in the group of maximum strength (G-MS), the group of muscular enduarance (G-ME), and the control group (G-CON).

3.7. Performance and Biomechanical Variables during the 6-Week Training Period

3.7.1. Performance

Performance time that was recorded in the first session of each week during the 4 × 50 m training set was similar among G-MS, G-ME, and G-CON during the 6-week training period (F(2,21) = 1.05, p = 0.37, ηp2 = 0.09 [medium], Figure 5). Furthermore, all groups decreased (indicating improvement) their performance time in the 4 × 50 m training set in weeks 4, 5, and 6 compared with week 1 (F(5,105) = 11.73, p = 0.01, ηp2 = 0.36 [large], Figure 5). In addition, the calculated DS was similar among G-MS, G-ME, and G-CON during the 6-week training period (F(2,21) = 0.09, p = 0.90, ηp2 = 0.00 [small], Figure 5). Furthermore, all groups decreased their DS in week 4 compared with weeks 1 and 2 (F(5,105) = 2.78, p = 0.02, ηp2 = 0.12 [medium], Figure 5).
Figure 5. Performance time changes in the 4 × 50 m training set (panel (a)) and decrement score (DS, panel (b)) during the 6-week training period. G-MS: group of maximum strength, G-ME: group of muscular endurance, and G-CON: control group. * p <0.05, performance changes in weeks 4, 5, and 6 compared with week 1 (panel (a)), and decrement score changes in week 4 compared with weeks 1 and 2 (panel (b)).

3.7.2. Biomechanical Variables

The SR in G-MS and G-ME increased, while SR in G-CON decreased in week 6 compared with week 1 (group × time interaction, F(10,105) = 2.21, p = 0.02, ηp2 = 0.18 [large], Figure 6). Moreover, the swimmers in G-ME managed to increase their SR to a higher extent in week 6 (F(14,147) = 1.80, p = 0.04, ηp2 = 0.15 [large], Figure 6).
Figure 6. Stroke rate changes in the 4 × 50 m training set during the 6 weeks of training period in the three groups of swimmers participating in the study. G-MS: group of maximum strength, G-ME: group of muscular endurance, and G-CON: control group. # p < 0.05, between G-MS and G-ME compared with G-CON.
The SL was similar among the G-MS, G-ME, and G-CON during the 6-week training period (Figure 7). In addition, all groups increased their SL in weeks 4 and 5 compared with week 1 (F(5,105) = 5.01, p = 0.01, ηp2 = 0.19 [large], Figure 7). The G-MS increased the SL between week 4 and week 1 by 2.4 ± 4.5%, compared with 5.4 ± 6.6% and 3.1 ± 6.6% increments in the G-ME and G-CON, respectively (Figure 7). The G-MS increased the SL by 1.8 ± 4.1% between week 5 and week 1 compared with 5.6 ± 6.8%, and 2.1 ± 5.9% increments in the G-ME and G-CON, respectively (Figure 7).
Figure 7. Stroke length changes in the 4 × 50 m training set during the 6-week training period in the three groups of swimmers participating in the study. G-MS: group of maximum strength, G-ME: group of muscular endurance, and G-CON: control group. * p < 0.05, weeks 4 and 5 compared with week 1 for all groups.
The SI was similar among the G-MS, G-ME, and G-CON during the 6-week training period (Figure 8). In addition, in all groups, the SI increased in weeks 4, 5, and 6 compared with weeks 1, 2, and 3 (F(5,105) = 10.03, p = 0.01, ηp2 = 0.32 [large], Figure 8).
Figure 8. Stroke index changes in the 4 × 50 m training set during the 6 weeks of training period in the three groups of swimmers participating in the study. G-MS: group of maximum strength, G-ME: group of muscular endurance, and G-CON: control group * p < 0.05, weeks 4, 5, and 6 compared with weeks 1, 2, and 3 for all groups.
The G-MS showed higher %Δ values of the performance time compared with G-CON between week 6 and week 1 (F(2,21) = 3.66, p = 0.04, ηp2 = 0.26 [large], Table 7). However, the corresponding %Δ values of the SR, SL, and SI were similar between groups (p > 0.05, Table 7).
Table 7. Performance time, stroke rate (SR), stroke length (SL), and stroke index (SI) percentage differences (%Δ) in the 4 × 50 m training set in week 6 vs. week 1 for the three groups of swimmers participating in the study. G-MS: group of maximum strength, G-ME: group of muscular endurance, and G-CON: control group.

4. Discussion

The study examined the effects of concurrent maximum strength or muscular endurance dryland and SIT, as well as SIT only, on swimming performance and biomechanical variables before, during, and following a 6-week mesocycle of training. Swimming performance time showed a decrease (indicating improvement) in the 4 × 50 m sprints and the 100 m test in all groups after the training period compared with pre-training. Moreover, the SR and SL remained unchanged, while SI increased in all groups. Considering the progression of biomechanical variables within the 6 weeks of training, the present findings indicate that swimmers in the G-MS and G-ME increased their SR compared with G-CON, while the SL and SI were maintained in all groups.

4.1. Pre- vs. Post-Training Changes

Swimmers in all groups managed to improve swimming performance after the 6-week training period. Previous studies have reported that the concurrent training applied two to four times per week improved performance by 2% to 4% in distances of 25 to 400 m after 6 to 12 weeks of training [10,28,29]. However, in previous studies, the swimmers did not perform concurrent training on the same training session. In particular, they followed a concurrent application under different periodization models; for example, they applied dryland and swimming sessions separated by 7 h or on different days [10,15,16].
Moreover, SIT training only may mask swimming performance improvement during the concurrent dryland and SIT training, since such a type of training may by itself improve performance [13,15,30]. Probably, the concurrent dryland and SIT, or SIT alone, improved the aerobic and anaerobic metabolism during the 6 weeks of training period [31,32,33]. Furthermore, irrespective of concurrent resistance and SIT, or SIT only, the expected increments in glycolytic, oxidative enzyme activity, muscle buffering capacity, and ionic regulation is apparent [31,32,33]. Notwithstanding, swimmers in the current study managed to improve the performance after 18 sessions compared with a previous study, where 27 sessions were applied [13].
On the contrary, the SR and SL remained unaltered after the 6-week training period and this is in agreement with previous findings [10,15]. However, the swimmers increased their SI after 6 weeks of training in all groups. Irrespective of the training group, all swimmers were more efficient (higher SI) during the 4 × 50 m sprints after the 6-week mesocycle [14]. Possibly, neuromuscular and mechanical adaptations occur after the application of the concurrent maximum strength or muscular endurance dryland training and SIT, or SIT only. It is well known that the SI is a biomechanical parameter that relates with swimming speed [14] and it is possible that SI increments may be more closely connected to speed improvements.
The correlation of performance changes with SI changes indicates that the swimmers in the G-ME and G-CON who improved their SI were also able to improve performance in the 4 × 50 m training set. The increased SI with unchanged SL during the 4 × 50 m sprints may indicate that the swimmers applied more propulsive force during this set, but without affecting their swimming economy. The last was also observed in a previous study where the increased SR without a decreased SL helped in adjusting stroke mechanics and maintain economy [33]. The performance change in G-CON was correlated with SR change, indicating that swimmers in this group were able to improve SR concomitantly with their performance. It is possible that SIT during the 6-week period improved specific fitness aspects (i.e., buffering capacity, aerobic power) concomitantly with swimming efficiency [34]. However, we did not measure any physiological variables, and further studies need to be conducted for safer conclusions.
Despite the fact that no %Δ difference was found between groups (Table 5), the swimmers in G-MS and G-ME presented a 3 to 4% performance improvement compared with a ~1% decrement in G-CON, both in performance time of the 4 × 50 m sprints and the 100 m test, and in the SR, SL, and SI (see Table 5). These findings, however, indicate a trend for a beneficial effect of a concurrent application of MS or ME and SIT compared with SIT only. Moreover, G-MS and G-ME groups managed to increase the maximum strength in upper and lower body muscles, which may be translated to as a facilitated transfer of land strength gains in water, and this may persist to a subsequent mesocycle of training. However, this was not possible to be tested in the present study.
The increased muscular strength may allow swimmers to activate or recruit more muscle fibers during testing with maximum efforts as it is reflected by the higher SR during the 100 m test following the training period. This is also supported by the unchanged LBM after 6 weeks of training. Then, maximum strength gains in the G-MS and G-ME may be attributed to neural adaptations that may occur in this period of training [35,36,37]. However, the lack of significant findings in the biomechanical variables between groups may be explained by the fact that SIT only training may have induced similar neuromuscular adjustments [31,32,33].

4.2. Progression of Performance and Biomechanical Variables during the 6-Week Training Period

The swimmers in all groups improved their performance within the 4th week of training (see Figure 4). Other studies have reported similar findings, either with the concurrent training [10] or with a sprint interval training only [38]. However, the present study is the first that examined the progression of swimming performance during a training period and including different dryland training content. Possibly, these types of training and the specific characteristics (intensity, rest, duration) facilitated cardiovascular and neural adaptations in a short period of 4 weeks of swimming training [38]. Despite the fact that we did not measure any physiological variables in the current study, we found that DS (indicating fatigability) was similar between groups throughout the 6 weeks of training period. In addition, the calculated DS was decreased in all groups in the 4th compared with 1st and 2nd weeks. It is possible that physiological and neural adjustments occurred in the 4th week in agreement with performance improvements at the same time point of intervention (see Figure 4). This finding in the current study may indicate that the swimmers perceived less effort (decreased DS) during the 4 × 50 m training set, because of the training-induced adaptations (see Figure 4).
It has been shown that the biomechanical variables may explain any performance progression within this short period of training [39]. We found that all groups increased their SL and SI during the 6-week training period. These SL and SI increments may be connected with strength gains and related variables such as motor unit recruitment [37]. In addition, the SL and SI increased (see Figure 6 and Figure 7) while DS was decreased (see Figure 4) at week 4 in all groups. It is likely that swimmers in all groups adjusted their technique to be more efficient (decreased DS) during the 4 × 50 m training set. However, the G-MS and G-ME groups increased their SR during the 4 × 50 m training set. This may indicate that the concurrent application of MS or ME with the SIT session facilitated a progressive increase in muscle strength and adequate neural adaptations, increasing SR and SL. However, any fatigue induced by MS and ME sessions may have forced swimmers to adjust to a higher SR during the subsequent swimming training session [40]. Thus, the increase in SR in the MS and ME groups in week 6 may indicate accumulated fatigue. Whatever the case, swimmers in each group may have applied different adjustments in biomechanical variables that progressively increased the speed in the MS and ME groups.
Possibly, the concurrent application of dryland training with the characteristics of maximum strength or muscular endurance and SIT is a promising type of training compared with SIT only, in improving the biomechanical variables in swimmers. Then, swimming coaches may construct a training session which includes the concurrent MS and SIT or ME and SIT. There are some limitations of the present study that should be mentioned. Both male and female swimmers participated in the study and the SIT session included short duration efforts and resting intervals (approximately 35 s and 90 s, respectively) between each 50 m sprint.

5. Conclusions

The swimmers improved performance irrespective of the training intervention during and following the training period. In addition, the swimmers in all groups increased the SL and SI during the 6-week training period. This finding reflects a better efficiency during the 4 × 50 m sprint interval training set. However, only G-MS and G-ME groups improved their SR in the last week of training period compared with G-CON. It is likely that dryland training when applied concurrently with swimming SIT facilitates an improvement in biomechanical variables. The swimmers may perform maximum strength or muscle endurance dryland training concurrently with swimming SIT. Such an approach is equally effective in performance enhancement as SIT alone. However, the concurrent application may be more promising in enhancing biomechanical variables and progressively increase stroke efficiency in swimmers.

Author Contributions

Conceptualization, G.G.A., I.C. and A.G.T.; methodology, G.G.A. and A.G.T.; software, G.G.A.; validation, A.G.T.; formal analysis, G.G.A.; investigation, G.G.A., I.C. and A.G.T.; resources, A.G.T.; data curation, G.G.A. and I.C.; writing—original draft preparation, G.G.A. and A.G.T.; writing—review and editing, A.G.T.; visualization, G.G.A.; supervision, A.G.T.; project administration, A.G.T. All authors have read and agreed to the published version of the manuscript.

Funding

This research received no external funding.

Institutional Review Board Statement

The local institutional review board approved the experimental protocol (approved number: 4 November 2019, 1111), which confirmed to the Helsinki Declaration.

Data Availability Statement

The data will be made available upon reasonable request to the corresponding author.

Acknowledgments

The authors would like to thank the swimmers for their participation in the study.

Conflicts of Interest

The authors declare no conflicts of interest, financial or otherwise.

References

  1. Arsoniadis, G.; Botonis, P.; Bogdanis, G.C.; Terzis, G.; Toubekis, A. Acute and Long-Term Effects of Concurrent Resistance and Swimming training on Swimming Performance. Sports 2022, 10, 29. [Google Scholar] [CrossRef] [PubMed]
  2. Crowley, E.; Harrison, A.J.; Lyons, M. The Impact of Resistance Training on Swimming Performance: A systematic Review. Sports Med. 2017, 47, 2285–2307. [Google Scholar] [CrossRef] [PubMed]
  3. Toubekis, A.G.; Tokmakidis, S.P. Metabolic responses at various intensities relative to critical swimming velocity. J. Strength Cond. Res. 2013, 27, 1731–1741. [Google Scholar] [CrossRef]
  4. Cuenca-Fernández, F.; Boullosa, D.; Ruiz-Navarro, J.J.; Gay, A.; Morales-Ortíz, E.; López-Contreras, G.; Arellano, R. Lower fatigue and faster recovery of ultra-short race pace swimming training sessions. Res. Sports Med. 2023, 31, 21–34. [Google Scholar] [CrossRef] [PubMed]
  5. Kabasakalis, A.; Nikolaidis, S.; Tsalis, G.; Mougios, V. Response of blood biomarkers to sprint interval swimming. Int. J. Sports Physiol. Perf. 2020, 15, 1442–1447. [Google Scholar] [CrossRef] [PubMed]
  6. Papadimitriou, K.; Kabasakalis, A.; Papadopoulos, A.; Mavridis, G.; Tsalis, G. Comparison of Ultra-Short Race Pace and High-Intensity Interval Training in Age Group Competitive Swimmers. Sports 2023, 11, 186. [Google Scholar] [CrossRef] [PubMed]
  7. Wirth, K.; Keiner, M.; Fuhrmann, S.; Nimmerichter, A.; Haff, G.G. Strength training in swimming. Int. J. Environ. Res. Public Health 2022, 19, 5369. [Google Scholar] [CrossRef]
  8. Crowley, E.; Harrison, A.J.; Lyons, M. Dry-Land Resistance Training Practices of Elite Swimming Strength and Conditioning Coaches. J. Strength Cond. Res. 2018, 32, 2592–2600. [Google Scholar] [CrossRef]
  9. Amaro, N.M.; Marinho, D.A.; Marques, M.C.; Batalha, N.P.; Morouço, P.G. Effects of Dry-Land Strength and Conditioning Programs in Age group Swimmers. J. Strength Cond. Res. 2017, 31, 2447–2454. [Google Scholar] [CrossRef]
  10. Aspenes, S.; Kjendlie, P.L.; Hoff, J.; Helgerud, J. Combined strength and endurance raining in competitive swimmers. J. Sports Sci. Med. 2009, 8, 357–365. [Google Scholar]
  11. Nugent, F.J.; Comyns, T.M.; Burrows, E.; Warrington, G.D. Effects of low volume, high-intensity training on performance in competitive swimmers: A systematic review. J. Strength Cond. Res. 2017, 31, 837–847. [Google Scholar] [CrossRef] [PubMed]
  12. Pla, R.; Le Meur, Y.; Aubry, A.; Toussaint, J.F.; Hellard, P. Effects of a 6-week period of polarized or threshold training on performance and fatigue in elite swimmers. Int. J. Sports Physiol. Perf. 2019, 14, 183–189. [Google Scholar] [CrossRef]
  13. Botonis, P.G.; Toubekis, A.G.; Terzis, G.D.; Geladas, N.D.; Platanou, T.I. Effects of Concurrent Strength and High-Intensity Interval Training on Fitness and Match Performance in Water-Polo Players. J. Hum. Kinet. 2019, 67, 175–184. [Google Scholar] [CrossRef] [PubMed]
  14. Barbosa, T.M.; Bragada, J.A.; Reis, V.M.; Marinho, D.A.; Carvalho, C.; Silva, A.J. Energetics and biomechanics as determining factors of swimming performance: Update the state of the art. J. Sci. Med. Sport 2010, 13, 262–269. [Google Scholar] [CrossRef] [PubMed]
  15. Girold, S.; Maurin, D.; Dugué, B.; Chatard, J.C.; Millet, G. Effects of dry-land vs. resisted- and assisted-sprint exercises on swimming sprint performances. J. Strength Cond. Res. 2007, 21, 599–605. [Google Scholar] [CrossRef][Green Version]
  16. Girold, S.; Jalab, C.; Bernard, O.; Carette, P.; Kemoun, G.; Dugué, B. Drylnand strength training vs. electrical stimulation in sprint swimming performance. J. Strength Cond. Res. 2012, 26, 497–505. [Google Scholar] [PubMed]
  17. Faude, O.; Meyer, T.; Scharhag, J.; Weins, F.; Urhausen, A.; Kindermann, W. Volume vs. intensity in the training of competitive swimmers. Int. J. Sports Med. 2008, 29, 906–912. [Google Scholar] [CrossRef]
  18. Costa, M.J.; Bragada, J.A.; Marinho, D.A.; Silva, A.J.; Barbosa, T.M. Longitudinal interventions in elite swimming: A systematic review based on energetics, biomechanics, and performance. J. Strength Cond. Res. 2012, 26, 2006–2016. [Google Scholar] [CrossRef]
  19. Costa, M.J.; Bragada, J.A.; Mejias, J.E.; Louro, H.; Marinho, D.A.; Silva, A.J.; Barbosa, T.M. Tracking the performance, energetics and biomechanics of international versus national level swimmers during a competitive season. Eur. J. Appl. Physiol. 2012, 112, 811–820. [Google Scholar] [CrossRef]
  20. Jackson, A.S.; Pollock, M.L. Generalized equations for predicting body density of men. Br. J. Nutr. 1978, 40, 497–504. [Google Scholar] [CrossRef]
  21. Boer, P. Estimated lean body mass as an index for normalization of body fluid volumes in humans. Am. J. Physiol. 1984, 247, 632–636. [Google Scholar] [CrossRef] [PubMed]
  22. Oliver, J.L. Is a fatigue index a worthwhile measure of repeated sprint ability? J. Sci. Med. Sport 2009, 12, 20–23. [Google Scholar] [CrossRef] [PubMed]
  23. Levinger, I.; Goodman, C.; Hare, D.L.; Jerums, G.; Toia, D.; Selig, S. The reliability of the 1RM test for untrained middle-aged individuals. J. Sci. Med. Sport 2009, 12, 310–316. [Google Scholar] [CrossRef] [PubMed]
  24. Haff, G.G. Quantifying workloads in resistance training: A brief review. Strength Cond. J. 2010, 10, 31–40. [Google Scholar]
  25. Wallace, L.K.; Slattery, K.M.; Coutts, A.J. The ecological validity and application of the session—RPE method for quantifying training loads in swimming. J. Strength Cond. Res. 2009, 23, 33–38. [Google Scholar] [CrossRef] [PubMed]
  26. Faul, F.; Erdfelder, E.; Lang, A.G.; Buchner, A. G*Power 3: A flexible statistical power analysis program for the social, behavioral, and biomedical sciences. Behav. Res. Methods 2007, 39, 175–191. [Google Scholar] [CrossRef] [PubMed]
  27. Hopkins, W.G.; Marshall, S.W.; Batterham, A.M.; Hanin, J. Progressive statistics for studies in sports medicine and exercise science. Med. Sci. Sport. Exerc. 2009, 41, 3–13. [Google Scholar] [CrossRef]
  28. Strass, D. Effects of maximal strength training on swimming performance of competitive swimmers. In Swimming Science; Ungerechts, B., Wilke, K., Resischle, K., Eds.; V International Series on Sports Science 18; Human Kinetics: Champaign, IL, USA, 1998; pp. 149–156. [Google Scholar]
  29. Trappe, W.S.; Pearson, R.D. Effects of weight assisted dry-land strength training on swimming performance. J. Strength Cond. Res. 1994, 8, 209–213. [Google Scholar]
  30. Benítez-Flores, S.; Medeiros, A.R.; Voltarelli, F.A.; Iglesias-Soler, E.; Doma, K.; Simões, H.G.; Rosa, T.S.; Boullosa, D.A. Combined effects of very short “all out” efforts during sprint and resistance training on physical and physiological adaptations after 2 weeks of training. Eur. J. Appl. 2019, 119, 1337–1351. [Google Scholar] [CrossRef]
  31. Burgomaster, K.A.; Hughes, S.C.; Heigenhauser, G.J.; Bradwell, S.N.; Gibala, M.J. Six sessions of sprint interval training increases muscle oxidative potential and cycle endurance capacity in humans. J. Appl. Physiol. 2005, 98, 1985–1990. [Google Scholar] [CrossRef]
  32. Gibala, M.J.; Little, J.P.; Van Essen, M.; Wilkin, G.P.; Burgomaster, K.A.; Safdar, A.; Raha, S.; Tarnopolsky, M.A. Short-term sprint interval versus traditional endurance training: Similar initial adaptations in human skeletal muscle and exercise performance. J. Physiol. 2006, 575, 901–911. [Google Scholar] [CrossRef] [PubMed]
  33. Massini, D.A.; Almeida, T.A.F.; Vasconcelos, C.M.T.; Macedo, A.G.; Espada, M.A.C.; Reis, J.F.; Pessôa Filho, D.M. Are young swimmers short and middle distance energy cost sex-specific? Front. Physiol. 2021, 12, 2218. [Google Scholar] [CrossRef] [PubMed]
  34. Almeida, T.A.F.; Espada, M.C.; Massini, D.A.; Macedo, A.G.; Castro, E.A.; Ferreira, C.C.; Pessôa Filho, D.M. Stroke and physiological relationships during the incremental front crawl test: Outcomes for planning and pacing aerobic training. Front. Physiol. 2023, 14, 1241948. [Google Scholar] [CrossRef] [PubMed]
  35. Vechin, F.C.; Conceição, M.S.; Telles, G.D.; Libardi, C.A.; Ugrinowitsch, C. Interference Phenomenon with Concurrent Strength and High-Intensity Interval Training-Based Aerobic Training: An Updated Model. Sports Med. 2021, 51, 599–605. [Google Scholar] [CrossRef]
  36. Benson, C.; Doherty, D.; Brandenburg, J. Acute neuromuscular responses to resistance training performed at different loads. J. Sci. Sports Med. Sport 2006, 9, 135–142. [Google Scholar] [CrossRef] [PubMed]
  37. Berryman, N.; Mujika, I.; Bosquet, L. Effects of Short-Term Concurrent Training Cessation on the Energy Cost of Running and Neuromuscular Performances in Middle-Distance Runners. Sports 2020, 9, 1. [Google Scholar] [CrossRef] [PubMed]
  38. McKie, G.L.; Islam, H.; Townsend, L.K.; Robertson-Wilson, J.; Eys, M.; Hazell, T.J. Modified sprint interval training protocols: Physiological and psychological responses to 4 weeks of training. Appl. Physiol. Nutr. Metab. 2018, 43, 595–601. [Google Scholar] [CrossRef]
  39. Valkoumas, I.; Gourgoulis, V.; Aggelousis, N.; Antoniou, P. The influence of an 11-week resisted swim training program on the inter-arm coordination in front crawl swimmers. Sports Biomech. 2020, 22, 940–952. [Google Scholar] [CrossRef]
  40. Arsoniadis, G.G.; Bogdanis, G.C.; Terzis, G.; Toubekis, A. Acute resistance exercise: Physiological and biomechanical alterations during a subsequent swim training session. Int. J. Sports Physiol. Perf. 2020, 15, 105–112. [Google Scholar] [CrossRef]
Disclaimer/Publisher’s Note: The statements, opinions and data contained in all publications are solely those of the individual author(s) and contributor(s) and not of MDPI and/or the editor(s). MDPI and/or the editor(s) disclaim responsibility for any injury to people or property resulting from any ideas, methods, instructions or products referred to in the content.

Article Metrics

Citations

Article Access Statistics

Multiple requests from the same IP address are counted as one view.