1-Bit Reconfigurable Transmitarray Antenna with Out-of-Band RCS Reduction †
Abstract
1. Introduction
2. Design Concept
3. Element Design
3.1. AFST Element
3.2. 1-Bit RTA Element
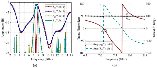
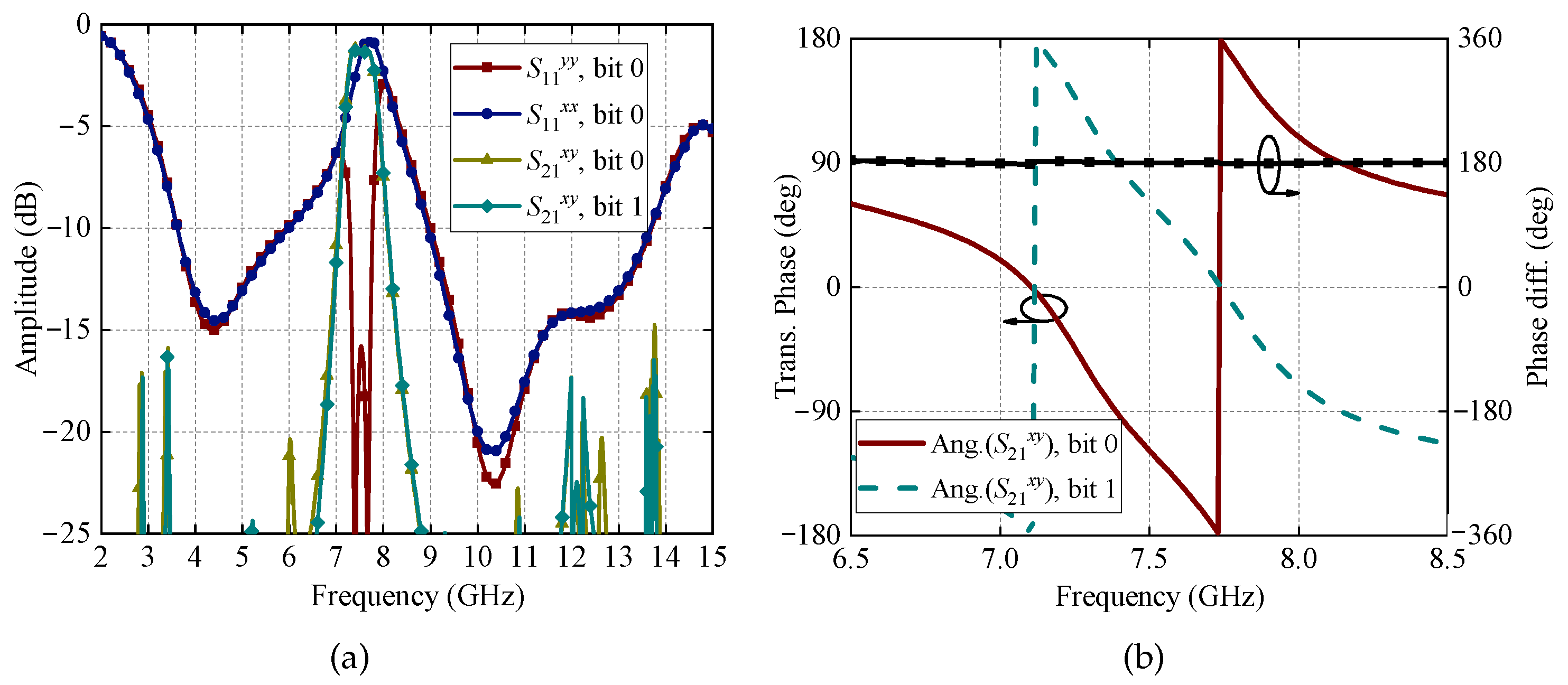
3.3. Low RCS 1-Bit RTA Element
4. Experimental Verification
4.1. Antenna Prototype and Measurement Setup
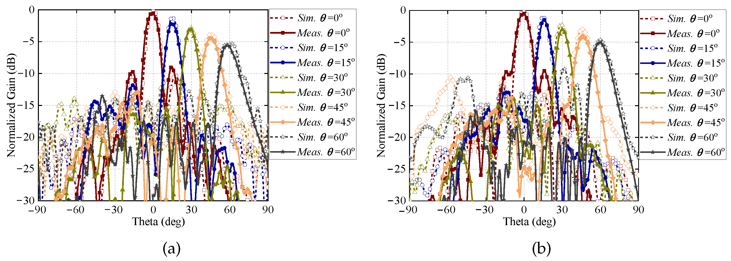
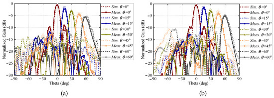
4.2. Radiation Performance
4.3. RCS Reduction Performance
4.4. Comparison and Discussion
5. Conclusions
Author Contributions
Funding
Institutional Review Board Statement
Informed Consent Statement
Data Availability Statement
Conflicts of Interest
Abbreviations
| RTA | reconfigurable transmitarray antenna |
| RRA | reconfigurable refelctarray antenna |
| RCS | radar cross-section |
| AFST | absorptive frequency selective transmission |
| FSS | frequency selective surface |
| HPBW | half-power beamwidth |
References
- Yusuf, Y.; Gong, X. A low-cost patch antenna phased array with analog beam steering using mutual coupling and reactive loading. IEEE Antennas Wirel. Propag. Lett. 2008, 7, 81–84. [Google Scholar] [CrossRef]
- Zhang, H.; Chen, X.; Wang, Z.; Ge, Y.; Pu, J. A 1-Bit electronically reconfigurable reflectarray antenna in X band. IEEE Access 2019, 7, 66567–66575. [Google Scholar] [CrossRef]
- Pham, K.T.; Clemente, A.; Blanco, D.; Sauleau, R. Dual-circularly polarized high-gain transmitarray antennas at Ka-band. IEEE Trans. Antennas Propag. 2020, 68, 7223–7227. [Google Scholar] [CrossRef]
- Jia, Y.; Liu, Y.; Gong, S.; Zhang, W.; Liao, G. A low-RCS and high-gain circularly polarized antenna eith a low profile. IEEE Antennas Wirel. Propag. Lett. 2017, 16, 2477–2480. [Google Scholar] [CrossRef]
- Wang, Y.; Ge, Y.; Chen, Z.; Zhou, Z. Design of wideband reflectarray and transmitarray antennas with low sidelobe and cross-polarization levels using a multifunctional ultrathin metasurface. IEEE Open J. Antennas Propag. 2024, 5, 601–611. [Google Scholar] [CrossRef]
- Tian, C.; Jiao, Y.-C.; Zhao, G.; Wang, H. A wideband transmitarray using triple-layer elements combined with cross slots and double square rings. IEEE Antennas Wirel. Propag. Lett. 2017, 16, 1561–1564. [Google Scholar] [CrossRef]
- Palma, L.D.; Clemente, A.; Dussopt, L.; Sauleau, R.; Potier, P.; Pouliguen, P. Circularly polarized transmitarray with sequential rotation in Ka-band. IEEE Trans. Antennas Propag. 2015, 63, 5118–5124. [Google Scholar] [CrossRef]
- Li, T.-J.; Wang, G.-M.; Cai, T.; Li, H.-P.; Liang, J.-G.; Lou, J. Broadband folded transmitarray antenna with ultralow-profile based on metasurfaces. IEEE Trans. Antennas Propag. 2021, 69, 7017–7022. [Google Scholar] [CrossRef]
- Tong, Y.; Cao, W.; Wang, C.; Zhu, Y. A Wideband Low-RCS transmitarray with high aperture efficiency based on grooved metasurface. IEEE Antennas Wirel. Propag. Lett. 2024, 23, 2170–2174. [Google Scholar] [CrossRef]
- Feng, P.-Y.; Qu, S.-W.; Yang, S. Dual-polarized filtering transmitarray antennas with low-scattering characteristic. IEEE Trans. Antennas Propag. 2021, 69, 7965–7970. [Google Scholar] [CrossRef]
- Feng, P.-Y.; Qu, S.-W.; Chan, K.F.; Yang, S.; Chan, C.H. Integrative transmitarray with gain-filtering and low-scattering characteristics. IEEE Trans. Antennas Propag. 2022, 70, 1931–1939. [Google Scholar] [CrossRef]
- Wang, X.; Qin, P.-Y.; Jin, R. Low RCS transmitarray employing phase controllable absorptive frequency-selective transmission elements. IEEE Trans. Antennas Propag. 2021, 69, 2398–2403. [Google Scholar] [CrossRef]
- Zhang, Z.; Cao, X.; Yang, H.; Li, T.; Li, S.; Ji, K. Phase controllable FSR design and its application into a high-gain transmitarray antenna with a low radar cross-section. J. Phys. D Appl. Phys. 2022, 55, 015103. [Google Scholar] [CrossRef]
- Lu, J.; Cao, X.; Cong, L.; Ji, K.; Cao, K. Design of low-RCS broadband high-gain antennas based on transmission array metasurface. Micromachines 2022, 13, 1614. [Google Scholar] [CrossRef]
- Li, M.; Shen, Z. Low-RCS transmitarray based on 2.5-D cross-polarization converter. IEEE Trans. Antennas Propag. 2023, 71, 5828–5837. [Google Scholar] [CrossRef]
- Wang, M.; Xu, S.; Yang, F.; Li, M. Design and measurement of a 1-bit reconfigurable transmitarray with subwavelength H-shaped coupling slot elements. IEEE Trans. Antennas Propag. 2019, 67, 3500–3504. [Google Scholar] [CrossRef]
- Clemente, A.; Dussopt, L.; Sauleau, R.; Potier, P.; Pouliguen, P. Wideband 400-element electronically reconfigurable transmitarray in X band. IEEE Trans. Antennas Propag. 2013, 61, 5017–5027. [Google Scholar] [CrossRef]
- Wang, Z.; Ge, Y.; Pu, J.; Chen, X.; Li, G.; Wang, Y.; Liu, K.; Zhang, H.; Chen, Z. 1-bit electronically reconfigurable folded reflectarray antenna based on p-i-n diodes for wide-angle beam-scanning applications. IEEE Trans. Antennas Propag. 2020, 68, 6806–6810. [Google Scholar] [CrossRef]
- Wang, X.; Qin, P.-Y.; Le, A.T.; Zhang, H.; Jin, R.; Guo, Y.J. Beam scanning transmitarray employing reconfigurable dual-layer huygens element. IEEE Trans. Antennas Propag. 2022, 70, 7491–7500. [Google Scholar] [CrossRef]
- Plaza, E.G.; León, G.; Loredo, S.; Arboleya, A.; Las-Heras, F.; Álvarez, C.M.S.; Rodriguez-Pino, M. An ultrathin 2-bit near-field transmitarray lens. IEEE Antennas Wirel. Propag. Lett. 2017, 16, 1784–1787. [Google Scholar]
- Diaby, F.; Clemente, A.; Sauleau, R.; Pham, K.T.; Dussopt, L. 2 bit reconfigurable unit-cell and electronically steerable transmitarray at Ka-band. IEEE Trans. Antennas Propag. 2020, 68, 5003–5008. [Google Scholar] [CrossRef]
- Fan, G.; Cheng, Q. 1-bit electronically reconfigurable transmitarray antenna with RCS reduced flexibly. In Proceedings of the 2021 IEEE International Workshop on Electromagnetics: Applications and Student Innovation Competition (iWEM), Guangzhou, China, 28–30 November 2021; pp. 1–3. [Google Scholar]
- Zhang, B.; Yang, F.; Xu, S.; Li, M. Design of a low RCS 1 bit electronically reconfigurable transmitarray antenna. In Proceedings of the 2023 International Conference on Microwave and Millimeter Wave Technology (ICMMT), Qingdao, China, 14–17 May 2023; pp. 1–3. [Google Scholar]
- Kang, N.; Jin, C.; Zhang, B.; Lv, Q.; Wang, J.; Tian, B. Design of wideband microwave absorber with ultra-wide-angle response. In Proceedings of the 2021 Photonics Electromagnetics Research Symposium (PIERS), Hangzhou, China, 21–25 November 2021; pp. 2593–2596. [Google Scholar]
- Lu, W.; Zhu, L. A novel wideband slotline antenna with dual resonances: Principle and design. IEEE Antennas Wirel. Propag. Lett. 2015, 14, 795–798. [Google Scholar] [CrossRef]
- Wang, M.; Xu, S.; Yang, F.; Li, M. A 1-bit bidirectional reconfigurable transmit-reflectarray using a single-layer slot element with PIN diodes. IEEE Trans. Antennas Propag. 2021, 6, 6205–6210. [Google Scholar]
- Zhou, S.-G.; Zhao, G.; Xu, H.; Luo, C.-W.; Sun, J.-Q.; Chen, G.-T.; Jiao, Y.-C. A wideband 1-bit reconfigurable reflectarray antenna at Ku-band. IEEE Antennas Wireless. Propag. Lett. 2022, 21, 566–570. [Google Scholar] [CrossRef]
- Luo, C.-W.; Zhao, G.; Jiao, Y.-C.; Chen, G.-T.; Yan, Y.-D. Wideband 1 bit reconfigurable transmitarray antenna based on polarization rotation element. IEEE Antennas Wireless. Propag. Lett. 2021, 20, 798–802. [Google Scholar] [CrossRef]



















| Ref. | Low FBW (%) | High FBW (%) | Profile () | Beam Scanning |
|---|---|---|---|---|
| [10] | 54.5 (8 dB) | 35.3 (8 dB) | 0.18 | No |
| [12] | 18 | 14 | 0.33 | No |
| [13] | / | 6.7 (6 dB) | 0.37 | No |
| [15] | 61.6 | 14.5 | 0.11 | No |
| This Work | 52.5 | 43.8 | 0.13 | Yes |
| Ref. | (GHz) | Gain ( dBi) | AE (%) | Beam Scanning | RCS Reduction |
|---|---|---|---|---|---|
| [16] | 12.5 | 17 | 14 | E: 50°/5.7 dB H: 50°/5.8 dB | No |
| [17] | 9.8 | 22.7 | 14.8 | E: 60°/4.8 dB H: 40°/3.1 dB | No |
| [19] | 13.5 | 21.4 | 20.2 | E: 50°/4.2 dB H: 40°/3.4 dB | No |
| [21] | 12.8 | 18.4 | 14.7 | E: 60°/3.6 dB H: / | No |
| This Work | 7.5 | 20.1 | 12.7 | E: 60°/5.1 dB H: 60°/5.0 dB | Yes |
Disclaimer/Publisher’s Note: The statements, opinions and data contained in all publications are solely those of the individual author(s) and contributor(s) and not of MDPI and/or the editor(s). MDPI and/or the editor(s) disclaim responsibility for any injury to people or property resulting from any ideas, methods, instructions or products referred to in the content. |
© 2024 by the authors. Licensee MDPI, Basel, Switzerland. This article is an open access article distributed under the terms and conditions of the Creative Commons Attribution (CC BY) license (https://creativecommons.org/licenses/by/4.0/).
Share and Cite
Zhang, B.; Yang, F.; Xu, S.; Li, M.; Hu, W. 1-Bit Reconfigurable Transmitarray Antenna with Out-of-Band RCS Reduction. Appl. Sci. 2024, 14, 11443. https://doi.org/10.3390/app142311443
Zhang B, Yang F, Xu S, Li M, Hu W. 1-Bit Reconfigurable Transmitarray Antenna with Out-of-Band RCS Reduction. Applied Sciences. 2024; 14(23):11443. https://doi.org/10.3390/app142311443
Chicago/Turabian StyleZhang, Binchao, Fan Yang, Shenheng Xu, Maokun Li, and Weidong Hu. 2024. "1-Bit Reconfigurable Transmitarray Antenna with Out-of-Band RCS Reduction" Applied Sciences 14, no. 23: 11443. https://doi.org/10.3390/app142311443
APA StyleZhang, B., Yang, F., Xu, S., Li, M., & Hu, W. (2024). 1-Bit Reconfigurable Transmitarray Antenna with Out-of-Band RCS Reduction. Applied Sciences, 14(23), 11443. https://doi.org/10.3390/app142311443

