Sensitivity Analysis of Different Hydrothermal Characteristics in the Variable Thermodynamic Processes of Soft Clay Rock
Abstract
1. Introduction
2. Spatial Variability of Hydrothermal Parameter
2.1. Anisotropic Spatial Variations
2.2. Statistical Distribution Characteristics
2.3. Variability Distribution Characteristics
3. Uncertain Analysis Method of Thermodynamic Properties
3.1. Coupled Governing Equations
3.2. Uncertainty Characterization Method
3.3. Hydrothermal Parameters and Boundary Conditions
4. Results and Analyses
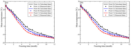
4.1. Verification of Stochastic Coupling Model
4.2. Mean and SD of Thermodynamic Properties
4.3. Effect of ACF on Hydrothermal Parameters
4.4. Effect of COV of Hydrothermal Parameter
4.5. Effect of ACD on Hydrothermal Parameter
5. Conclusions
- (1)
 - The average temperature calculation results of the freezing soft clay rock are close to the experimental results. When the mean temperature approaches 0 °C, there is a noticeable plateau in the curve. The average thickness and temperature of the freezing curtain show an overall increasing trend with increasing freezing time;
 - (2)
 - From the second month to the tenth month, both the average thickness and temperature increase at a faster rate. When the freezing time reaches twelve months, it tends to stabilize. The overall trend of the SD of the freezing curtain increases with increasing freezing time;
 - (3)
 - The greater the COV of hydrothermal parameters, the larger the SD of the freezing curtain temperature. For the ACF, the most significant impact comes from DBIN, followed by DSQX, with DSNX having the smallest effect. For COV, the most significant impact comes from thermal conductivity, followed by permeability coefficient, with specific heat capacity having the smallest effect;
 - (4)
 - Different ACD parameters have varying impacts on the temperature of the freeze-soft clay rock. The biggest influence is the thermal conductivity, the second is the permeability coefficient, and the least influence is the specific heat capacity. The larger the ACD of the hydrothermal parameter, the smaller the SD of freezing soft clay rock temperature.
 
Author Contributions
Funding
Institutional Review Board Statement
Informed Consent Statement
Data Availability Statement
Acknowledgments
Conflicts of Interest
References
- Long, Y.Y.; Tan, Y. Soil arching due to leaking of tunnel buried in water-rich sand. Tunn. Undergr. Space Technol. 2020, 95, 103158. [Google Scholar] [CrossRef]
 - Zhang, S.M.; Li, X.; Li, D.H.; Ding, Z.; Wei, G. Study on failure mode of underground diaphragm wall in soft soil area. Appl. Mech. Mater. 2013, 405, 1375–1382. [Google Scholar] [CrossRef]
 - Sousa, R.L.; Einstein, H.H. Lessons from accidents during tunnel construction. Tunn. Undergr. Space Technol. 2021, 113, 103916. [Google Scholar] [CrossRef]
 - Ma, E.; Lai, J.; Xu, S.; Shi, X.; Zhang, J.; Zhong, Y. Failure analysis and treatments of a loess tunnel being constructed in ground fissure area. Eng. Fail. Anal. 2022, 134, 106034. [Google Scholar] [CrossRef]
 - Liu, J.; Tan, Z.; Zhao, Q.; Liu, B.; Wang, X. Mechanical properties and durability analysis of CS-CG stabilized soil: Towards sustainable subgrade soil enhancement. Constr. Build. Mater. 2024, 442, 137634. [Google Scholar] [CrossRef]
 - Ouyang, Z.; Li, P.; Cui, J.; Luo, R.; Yuan, D. Shaking table test study on flexible and rigid immersed tube tunnel in liquefiable soil layer. Math. Probl. Eng. 2020, 2020, 4980549. [Google Scholar] [CrossRef]
 - Pimentel, E.; Papakonstantinou, S.; Anagnostou, G.E. Numerical interpretation of temperature distributions from three ground freezing applications in urban tunnelling. Tunn. Undergr. Space Technol. 2012, 28, 57–69. [Google Scholar] [CrossRef]
 - Fu, Y.; Hu, J.; Wu, Y. Finite element study on temperature field of subway connection aisle construction via artificial ground freezing method. Cold Reg. Sci. Technol. 2021, 189, 103327. [Google Scholar] [CrossRef]
 - Zhao, J.; Yang, P.; Li, L. Investigating influence of metro jet system hydration heat on artificial ground freezing using numerical analysis. KSCE J. Civ. Eng. 2021, 25, 724–734. [Google Scholar] [CrossRef]
 - Yue, F.T.; Lv, S.G.; Shi, R.J.; Zhang, Y.; Lu, L. Numerical analysis and spot-survey study of horizontal artificial ground freezing in tunnel connecting passage construction. Appl. Mech. Mater. 2015, 744, 969–977. [Google Scholar] [CrossRef]
 - Mauro, A.; Normino, G.; Cavuoto, F.; Marotta, P.; Massarotti, N. Modeling artificial ground freezing for construction of two tunnels of a metro station in Napoli (Italy). Energies 2020, 13, 1272. [Google Scholar] [CrossRef]
 - Li, Z.; Chen, J.; Sugimoto, M.; Ge, H. Numerical simulation model of artificial ground freezing for tunneling under seepage flow conditions. Tunn. Undergr. Space Technol. 2019, 92, 103035. [Google Scholar] [CrossRef]
 - Liu, X.; Shen, Y.; Zhang, Z.; Liu, Z.; Wang, B.; Tang, T.; Liu, C. Field measurement and numerical investigation of artificial ground freezing for the construction of a subway cross passage under groundwater flow. Transp. Geotech. 2022, 37, 100869. [Google Scholar] [CrossRef]
 - Liu, X.; Nowamooz, H.; Shen, Y.; Liu, Y.; Han, Y.; An, Y. Heat transfer analysis in artificial ground freezing for subway cross passage under seepage flow. Tunn. Undergr. Space Technol. 2023, 133, 104943. [Google Scholar] [CrossRef]
 - Ma, J.; Huang, K.; Zou, B.; Li, X.; Deng, Y. The influence of tunnel insulation measures on the temperature spatiotemporal variation of frozen soil during artificial ground freezing. Cold Reg. Sci. Technol. 2023, 214, 103942. [Google Scholar] [CrossRef]
 - Zhou, J.; Tang, Y. Practical model of deformation prediction in soft clay after artificial ground freezing under subway low-level cyclic loading. Tunn. Undergr. Space Technol. 2018, 76, 30–42. [Google Scholar] [CrossRef]
 - Fan, W.; Yang, P. Ground temperature characteristics during artificial freezing around a subway cross passage. Transp. Geotech. 2019, 20, 100250. [Google Scholar] [CrossRef]
 - Gao, J.; Li, X.; Cheng, G.; Luo, H.; Zhu, H. Structural evolution and characterization of organic-rich shale from macroscopic to microscopic resolution: The significance of tectonic activity. Adv. Geo-Energy Res. 2023, 10, 84–90. [Google Scholar] [CrossRef]
 - Alibeikloo, M.; Khabbaz, H.; Fatahi, B. Random field reliability analysis for time-dependent behaviour of soft soils considering spatial variability of elastic visco-plastic parameters. Reliab. Eng. Syst. Saf. 2022, 219, 108254. [Google Scholar] [CrossRef]
 - Elachachi, S.M.; Breysse, D.; Denis, A. The effects of soil spatial variability on the reliability of rigid buried pipes. Comput. Geotech. 2012, 43, 61–71. [Google Scholar] [CrossRef]
 - Sun, G.; Peng, F.; Mu, M. Uncertainty assessment and sensitivity analysis of soil moisture based on model parameter errors–results from four regions in China. J. Hydrol. 2017, 555, 347–360. [Google Scholar] [CrossRef]
 - Annabi, M.; Raclot, D.; Bahri, H.; Bailly, J.S.; Gomez, C.; Le Bissonnais, Y. Spatial variability of soil aggregate stability at the scale of an agricultural region in Tunisia. Catena 2017, 153, 157–167. [Google Scholar] [CrossRef]
 - Wang, F.; Huang, H.; Yin, Z.; Huang, Q. Probabilistic characteristics analysis for the time-dependent deformation of clay soils due to spatial variability. Eur. J. Environ. Civ. Eng. 2022, 26, 6096–6114. [Google Scholar] [CrossRef]
 - Kalantari, A.R.; Johari, A.; Zandpour, M.; Kalantari, M. Effect of spatial variability of soil properties and geostatistical conditional simulation on reliability characteristics and critical slip surfaces of soil slopes. Transp. Geotech. 2023, 39, 100933. [Google Scholar] [CrossRef]
 - Zhou, Z.; Li, X.; Zhao, H. Probabilistic study of offshore monopile foundations considering soil spatial variability. ASCE-ASME J. Risk Uncertain. Eng.Syst. Part A Civ. Eng. 2022, 8, 04022035. [Google Scholar] [CrossRef]
 - Nguyen, T.S.; Likitlersuang, S. Influence of the spatial variability of soil shear strength on deep excavation: A case study of a Bangkok underground MRT station. Int. J. Geomech. 2021, 21, 04020248. [Google Scholar] [CrossRef]
 - Wang, T.; Cao, J.; Liu, J.; Xu, J.; Zhou, G. Characterizing anisotropic spatial variations of uncertain mechanical parameters for clay layer using incomplete probability data. Probabilistic Eng. Mech. 2024, 76, 103623. [Google Scholar] [CrossRef]
 - Luo, Z.; Hu, B.; Wang, Y.; Di, H. Effect of spatial variability of soft clays on geotechnical design of braced excavations: A case study of Formosa excavation. Comput. Geotech. 2018, 103, 242–253. [Google Scholar] [CrossRef]
 - Viviescas, J.C.; Griffiths, D.V.; Osorio, J.P. Geological influence on the spatial variability of soils. Int. J. Geotech. Eng. 2022, 16, 382–390. [Google Scholar] [CrossRef]
 - Ching, J.; Uzielli, M.; Phoon, K.K.; Xu, X. Characterization of autocovariance parameters of detrended cone tip resistance from a global CPT database. J. Geotech. Geoenviron. Eng. 2023, 149, 04023090. [Google Scholar] [CrossRef]
 - Cai, Y.; Bransby, M.F.; Gaudin, C.; Tian, Y. Accounting for soil spatial variability in plate anchor design. J. Geotech. Geoenviron. Eng. 2022, 148, 04021178. [Google Scholar] [CrossRef]
 - Luo, Z.; Di, H.; Kamalzare, M.; Li, Y. Effects of soil spatial variability on structural reliability assessment in excavations. Undergr. Space 2020, 5, 71–83. [Google Scholar] [CrossRef]
 - Bong, T.; Stuedlein, A.W. Efficient methodology for probabilistic analysis of consolidation considering spatial variability. Eng. Geol. 2018, 237, 53–63. [Google Scholar] [CrossRef]
 - Zhang, W.; Han, L.; Gu, X.; Wang, L.; Chen, F.; Liu, H. Tunneling and deep excavations in spatially variable soil and rock masses: A short review. Undergr. Space 2022, 7, 380–407. [Google Scholar] [CrossRef]
 - Cami, B.; Javankhoshdel, S.; Phoon, K.K.; Ching, J. Scale of fluctuation for spatially varying soils: Estimation methods and values. ASCE-ASME J. Risk Uncertain. Eng.Syst. Part A Civ.Eng. 2020, 6, 03120002. [Google Scholar] [CrossRef]
 - Yoshida, I.; Tomizawa, Y.; Otake, Y. Estimation of trend and random components of conditional random field using Gaussian process regression. Comput. Geotech. 2021, 136, 104179. [Google Scholar] [CrossRef]
 - Gan, X.; Gong, X.; Liu, N.; Yu, J.; Li, W. Random analysis method for nonlinear interaction between shield tunnel and spatially variable soil. Comput. Geotech. 2024, 166, 105964. [Google Scholar] [CrossRef]
 - Tounsi, H.; Rouabhi, A.; Jahangir, E. Thermo-hydro-mechanical modeling of artificial ground freezing taking into account the salinity of the saturating fluid. Comput. Geotech. 2020, 119, 103382. [Google Scholar] [CrossRef]
 - Sun, Q.; Dias, D. Uncertainty quantification of tunnel seismic deformations in random soils. Tunn. Undergr. Space Technol. 2022, 128, 104663. [Google Scholar] [CrossRef]
 - Wang, C.; Wang, K.; Tang, D.; Hu, B.; Kelata, Y. Spatial random fields-based Bayesian method for calibrating geotechnical parameters with ground surface settlements induced by shield tunneling. Acta Geotech. 2022, 17, 1503–1519. [Google Scholar] [CrossRef]
 - Cao, J.; Wang, T.; Zhou, G.; Feng, X.; Zhu, C. Parameter estimation of grouting pressure and surface subsidence on the reliability of shield tunnel excavation under incomplete probability information. Comput. Geotech. 2024, 173, 106530. [Google Scholar] [CrossRef]
 










| NO. | Thermal Conductivity | Heat Capacity | Hydraulic Conductivity | |||||||||
|---|---|---|---|---|---|---|---|---|---|---|---|---|
| Frozen State | Unfrozen State | Frozen State | Unfrozen State | Horizontal Direction | Vertical Direction | |||||||
| COV | SOF | COV | SOF | COV | SOF | COV | SOF | COV | SOF | COV | SOF | |
| 1# | 0.19 | 1.84 | 0.12 | 2.63 | 0.24 | 3.34 | 0.14 | 1.65 | 0.12 | 3.17 | 0.14 | 2.32 | 
| 2# | 0.23 | 2.38 | 0.18 | 2.32 | 0.13 | 2.75 | 0.14 | 1.99 | 0.16 | 3.48 | 0.17 | 2.84 | 
| 3# | 0.20 | 2.09 | 0.15 | 3.02 | 0.12 | 2.52 | 0.12 | 1.91 | 0.17 | 2.21 | 0.14 | 1.89 | 
| 4# | 0.09 | 2.56 | 0.18 | 1.81 | 0.18 | 3.60 | 0.12 | 1.73 | 0.15 | 3.05 | 0.15 | 3.53 | 
| 5# | 0.16 | 1.61 | 0.21 | 1.94 | 0.22 | 2.39 | 0.13 | 2.16 | 0.17 | 2.81 | 0.13 | 2.47 | 
| 6# | 0.20 | 2.32 | 0.18 | 3.60 | 0.19 | 3.27 | 0.10 | 1.49 | 0.08 | 2.10 | 0.13 | 1.66 | 
| 7# | 0.10 | 1.48 | 0.14 | 2.87 | 0.18 | 2.55 | 0.15 | 2.25 | 0.15 | 2.73 | 0.18 | 2.90 | 
| 8# | 0.16 | 1.48 | 0.19 | 3.50 | 0.15 | 3.26 | 0.14 | 1.27 | 0.16 | 2.75 | 0.18 | 3.70 | 
| 9# | 0.19 | 2.24 | 0.14 | 2.70 | 0.13 | 3.31 | 0.14 | 2.36 | 0.17 | 2.25 | 0.11 | 2.91 | 
| 10# | 0.07 | 2.03 | 0.13 | 2.91 | 0.17 | 2.38 | 0.05 | 2.32 | 0.16 | 1.70 | 0.12 | 2.96 | 
| Name | Autocorrelation Functions | Parameter Relationship | 
|---|---|---|
| DSNX | ||
| DSQX | ||
| DSMK | ||
| DCSX | ||
| DBIN | 
| Case ID | Thermal Conductivity | Heat Capacity | Hydraulic Conductivity | |||
|---|---|---|---|---|---|---|
| λu (W/m/°C) | λf (W/m/°C) | Cu (106 J/m3/°C) | Cf (106 J/m3/°C) | Kxu (10−6 m/s) | Kyu (10−6 m/s) | |
| Reference case | DSQX | DSQX | DSQX | DSQX | DSQX | DSQX | 
| ACF of thermal  conductivity  | DSNX | DSNX | DSQX | DSQX | DSQX | DSQX | 
| DSQX | DSQX | DSQX | DSQX | DSQX | DSQX | |
| DSMK | DSMK | DSQX | DSQX | DSQX | DSQX | |
| DCSX | DCSX | DSQX | DSQX | DSQX | DSQX | |
| DBIN | DBIN | DSQX | DSQX | DSQX | DSQX | |
| ACF of heat  capacity  | DSQX | DSQX | DSNX | DSNX | DSQX | DSQX | 
| DSQX | DSQX | DSQX | DSQX | DSQX | DSQX | |
| DSQX | DSQX | DSMK | DSMK | DSQX | DSQX | |
| DSQX | DSQX | DCSX | DCSX | DSQX | DSQX | |
| DSQX | DSQX | DBIN | DBIN | DSQX | DSQX | |
| ACF of hydraulic  conductivity  | DSQX | DSQX | DSQX | DSQX | DSNX | DSNX | 
| DSQX | DSQX | DSQX | DSQX | DSQX | DSQX | |
| DSQX | DSQX | DSQX | DSQX | DSMK | DSMK | |
| DSQX | DSQX | DSQX | DSQX | DCSX | DCSX | |
| DSQX | DSQX | DSQX | DSQX | DBIN | DBIN | |
| Case ID | Thermal Conductivity | Heat Capacity | Hydraulic Conductivity | |||
|---|---|---|---|---|---|---|
| λu (W/m/°C) | λf (W/m/°C) | Cu(106 J/m3/°C) | Cf (106 J/m3/°C) | Kxu (10−6 m/s) | Kyu (10−6 m/s) | |
| Reference case | 0.15 | 0.15 | 0.15 | 0.15 | 0.15 | 0.15 | 
| COV of thermal conductivity  | 0.05 | 0.05 | 0.15 | 0.15 | 0.15 | 0.15 | 
| 0.10 | 0.10 | 0.15 | 0.15 | 0.15 | 0.15 | |
| 0.15 | 0.15 | 0.15 | 0.15 | 0.15 | 0.15 | |
| 0.20 | 0.20 | 0.15 | 0.15 | 0.15 | 0.15 | |
| 0.25 | 0.25 | 0.15 | 0.15 | 0.15 | 0.15 | |
| COV of heat capacity  | 0.15 | 0.15 | 0.05 | 0.05 | 0.15 | 0.15 | 
| 0.15 | 0.15 | 0.10 | 0.10 | 0.15 | 0.15 | |
| 0.15 | 0.15 | 0.15 | 0.15 | 0.15 | 0.15 | |
| 0.15 | 0.15 | 0.20 | 0.20 | 0.15 | 0.15 | |
| 0.15 | 0.15 | 0.25 | 0.25 | 0.15 | 0.15 | |
| COV of hydraulic conductivity  | 0.15 | 0.15 | 0.15 | 0.15 | 0.05 | 0.05 | 
| 0.15 | 0.15 | 0.15 | 0.15 | 0.10 | 0.10 | |
| 0.15 | 0.15 | 0.15 | 0.15 | 0.15 | 0.15 | |
| 0.15 | 0.15 | 0.15 | 0.15 | 0.20 | 0.20 | |
| 0.15 | 0.15 | 0.15 | 0.15 | 0.25 | 0.25 | |
| Case ID | Thermal Conductivity | Heat Capacity | Hydraulic Conductivity | |||
|---|---|---|---|---|---|---|
| λu (W/m/°C) | λf (W/m/°C) | Cu (106 J/m3/°C) | Cf (106 J/m3/°C) | Kxu (10−6 m/s) | Kyu (10−6 m/s) | |
| Reference case | 0.8 | 0.8 | 0.8 | 0.8 | 0.8 | 0.8 | 
| ACD of thermal  conductivity  | 0.4 | 0.4 | 0.8 | 0.8 | 0.8 | 0.8 | 
| 0.6 | 0.6 | 0.8 | 0.8 | 0.8 | 0.8 | |
| 0.8 | 0.8 | 0.8 | 0.8 | 0.8 | 0.8 | |
| 1.0 | 1.0 | 0.8 | 0.8 | 0.8 | 0.8 | |
| 1.2 | 1.2 | 0.8 | 0.8 | 0.8 | 0.8 | |
| ACD of heat  capacity  | 0.8 | 0.8 | 0.4 | 0.4 | 0.8 | 0.8 | 
| 0.8 | 0.8 | 0.6 | 0.6 | 0.8 | 0.8 | |
| 0.8 | 0.8 | 0.8 | 0.8 | 0.8 | 0.8 | |
| 0.8 | 0.8 | 1.0 | 1.0 | 0.8 | 0.8 | |
| 0.8 | 0.8 | 1.2 | 1.2 | 0.8 | 0.8 | |
| ACD of hydraulic  conductivity  | 0.8 | 0.8 | 0.8 | 0.8 | 0.4 | 0.4 | 
| 0.8 | 0.8 | 0.8 | 0.8 | 0.6 | 0.6 | |
| 0.8 | 0.8 | 0.8 | 0.8 | 0.8 | 0.8 | |
| 0.8 | 0.8 | 0.8 | 0.8 | 1.0 | 1.0 | |
| 0.8 | 0.8 | 0.8 | 0.8 | 1.2 | 1.2 | |
Disclaimer/Publisher’s Note: The statements, opinions and data contained in all publications are solely those of the individual author(s) and contributor(s) and not of MDPI and/or the editor(s). MDPI and/or the editor(s) disclaim responsibility for any injury to people or property resulting from any ideas, methods, instructions or products referred to in the content.  | 
© 2024 by the authors. Licensee MDPI, Basel, Switzerland. This article is an open access article distributed under the terms and conditions of the Creative Commons Attribution (CC BY) license (https://creativecommons.org/licenses/by/4.0/).
Share and Cite
Wang, T.; Lin, H.; Ren, K.; Gao, J.; Wang, D. Sensitivity Analysis of Different Hydrothermal Characteristics in the Variable Thermodynamic Processes of Soft Clay Rock. Appl. Sci. 2024, 14, 10253. https://doi.org/10.3390/app142210253
Wang T, Lin H, Ren K, Gao J, Wang D. Sensitivity Analysis of Different Hydrothermal Characteristics in the Variable Thermodynamic Processes of Soft Clay Rock. Applied Sciences. 2024; 14(22):10253. https://doi.org/10.3390/app142210253
Chicago/Turabian StyleWang, Tao, Huixi Lin, Kexiong Ren, Jian Gao, and Di Wang. 2024. "Sensitivity Analysis of Different Hydrothermal Characteristics in the Variable Thermodynamic Processes of Soft Clay Rock" Applied Sciences 14, no. 22: 10253. https://doi.org/10.3390/app142210253
APA StyleWang, T., Lin, H., Ren, K., Gao, J., & Wang, D. (2024). Sensitivity Analysis of Different Hydrothermal Characteristics in the Variable Thermodynamic Processes of Soft Clay Rock. Applied Sciences, 14(22), 10253. https://doi.org/10.3390/app142210253
        
