Abstract
Reinforced concrete beam bridges are usually retrofitted by a steel plate or FRP. However, these two methods tend to result in disadvantages, e.g., construction complexity and debonding failure, owing to the corresponding material properties. In this study, a steel- and CFRP-based method is proposed to achieve the merits of typical retrofitting methods by combining a CFRP plate, a steel plate, and angle steel. To investigate the effect of the cooperative strengthening, six full-scale beam specimens were designed and are evaluated through a monotonic four-point bending test. The failure mode, load–deflection relationship, critical parameters, and crack development are systematically and sequentially analyzed. Finally, a predicting method is proposed to calculate the flexural capacity. The retrofitted beam is characterized by an acceptable load-bearing capacity and deformation capacity. With continuous retrofitting, the crack load and ultimate load can be improved up to 84.9% and 4.41 times, respectively. The steel plate and angle steel function in both the load bearing and the anchorage to the CFRP plate contributes more to the ultimate bearing capacity after the steel components yield. Finally, a calculating model is shown to accurately predict the ultimate bearing capacity after retrofitting, with an average error of 4.03%.
1. Introduction
At present, as the national economy heavily depends on transportation, highway bridges play an increasingly pivotal role in not only economic construction but also urban life. According to the 2020 report published by the Ministry of Transport of China, there are 912,800 bridges throughout the country, with a total length of 66,285,534 m [1]. With the passage of time, the effects of damage, the environment, and defects gradually result in the degradation of bridges’ structural bearing capacity and durability [2,3]. Therefore, bridge rehabilitation is one of the major challenges in terms of service reliability.
As the number of reinforced concrete beam bridges is the largest among all the bridge types, most researchers have focused on strengthening methods for these bridges. Considering the corresponding working conditions, the flexural capacity is the key aspect that it is necessary to improve. The bonding steel plate method is one of the earliest proposed methods [4,5,6]. Han et al. [7] and Sheikh et al. [8] used steel plates to replace steel bars in a reinforced concrete beam structure. Concerning the bonding between the concrete and angle steel, an epoxy adhesive was used as the structural glue. The external retrofitting configuration tends to tightly connect with the original girder. However, it should be noted that the hardening process of the epoxy adhesive and the heaviness of the steel material can significantly increase the construction complexity [9,10,11]. In recent years, angle steel has been widely used to strengthen beams, columns, and joints. Hamoda et al. [12] used circular steel bars and spiral steel bars to strengthen columns, and the corresponding cracking load, the ultimate load, and the energy absorption capacity were increased by up to 162%, 112%, and 190%, respectively [12]. Adibi et al. [13] adopted retrofitting angle steel as the connecting component in beam–column joints. Yan et al. [14] conducted experiments on concrete beams bonded with steel plates under impact loads. It was found that the loss failure of the concrete could be relieved by an increase in the plate thickness, with the residual displacement reducing from 29.8 mm to 21.0 mm. The steel-based method dramatically enhances the flexibility of the reinforced concrete (RC) beam; however, it also increases the construction complexity because of the additional weight and connection configurations required.
Therefore, fiber-reinforced polymer (FRP) has been widely used as an alternative to steel plates in retrofitting RC structures owing to its relatively light weight and high tensile strength [15,16,17]. The improvement ratio directly depends on both the volume of the FRP and its type [18,19,20,21,22,23]. However, with an increase in the total thickness of the FRP laminate or plate, the debonding failure caused by bond slip replaces the material failure [24]. Correspondingly, only up to 30–50% of the FRP tensile strength can be utilized [25,26,27,28], which significantly limits the increased range. To solve this problem, the prestressed FRP strengthening method was proposed, in which debonding failure is avoided through the installation of a special end-anchorage device [29,30,31,32]. Nordin et al. [33], Peng et al. [34], and Hajihashemi et al. [35] pointed out that pretension can effectively utilize the outstanding tensile strength of FRP laminates. However, Min et al. [36] found that this type of reinforcement potentially leads to failure at the end of the composite plates owing to the stress concentration. Considering that the fracture strain of the FRP material is around 1.5% [37], the brittle material tends to result in a sudden collapse in structures that are only strengthened by the FRP-based method. According to 61 related samples summarized by Cheng et al. [38], the prestressed FRP retrofitting method further reduces the deformation capacity of FRP by 30.0%. In engineering applications, two end-anchorage devices can only prestress FRPs of a limited width compared with the large width of the retrofitted cross-section. To balance the dosage of the FRP and the installation of the anchoring device, a larger gap should also be prepared for the adjacent pair of devices.
As the device is usually designed as a steel anchorage, the aforementioned steel-based method can function in a similar role [39,40,41]. Therefore, if the retrofitting can combine the advantages of both the steel- and FRP-based methods, not can only the debonding failure of the FRP be avoided, but the flexural capacity can be improved through the cooperation of various materials. Zheng et al. [42] pointed out that the flexural capacity of beams strengthened with multiple reinforcements was 27.9% better than those retrofitted only with CFRP laminates. Subhani et al. [43] found that hybrid retrofitting can strengthen the existing structure, leading to improvements of up to 25.0%.
In this study, the two steel- and FRP-based methods were combined to retrofit an existing bridge. The corresponding flexural performance was shown to dramatically improve, and the local bonding failure of the FRP plate could be avoided through effective anchorage from the steel components. To investigate the effect of the cooperation strengthening, six full-scale RC beam specimens were designed and evaluated through a monotonic four-point bending test. Among them, five specimens were retrofitted with a single or collaborative method, while one was designed as a standard RC beam without any retrofitting. The failure mode, load–deflection relationship, critical parameters, and crack development were systematically and sequentially analyzed. Finally, to ensure the applicability of the proposed method, a prediction method was used to calculate the flexural capacity.
2. Materials and Methods
2.1. Design Concept
By utilizing the tensile strength of the retrofitting materials, both the steel- and FRP-based methods are adopted to improve the flexural capacity of the RC beam. The enhancement increases with an increase in the retrofitting cross-sectional dimensions. As Figure 1 shows, the FRP plate, steel plate, and angle steel are bonded to the RC beam in sequence; therefore, the flexural capacity of the retrofitted beam could undoubtedly be significantly improved.
Figure 1.
Concept of the proposed method.
Given that the ultimate bearing capacity depends on both the material properties and the shear resistance in the concrete-to-FRP interface, the corresponding shear resistance should also be the main concern during the retrofitting. The shear failure tends to occur in the middle of the adjacent anchorages or near the anchorage. The first type of shear damage patterns can be avoided by setting a tight space for the anchorage. However, this measure potentially leads to a dramatic increase in the construction complexity. The second type of shear failure mode results from the high brittleness of the post-hardening FRP plate together with the epoxy adhesive. As plotted in Figure 1, the compression from the steel plate covers the whole surface, and the static friction at the concrete-to-FRP interface can be significantly improved. The steel plate together with the angle steel functions as a continuous anchorage for the FRP plate to prevent the first type of shear damage pattern. The tensile stress is transferred to the two adjacent anchorages. With a large deflection, the horizontal force component at the anchorage increases. The potential excessive pressure on the post-hardening FRP plate can be dispersed to a relatively large area, especially when the retrofitted beam is critical to flexural failure with an excessive deflection. Undoubtedly, the second type of shear failure mode can be avoided. Therefore, with a suitable retrofitting sequence, the proposed method should be able to effectively and efficiently utilize the strengthening material with a limited number of anchorages.
2.2. Specimen Design
There were six full-scale beam specimens in total. For the reinforced concrete girder part, all six specimens were designed with identical cross-sections and steel reinforcements according to Chinese Code JTG3362-2018 [44]. The details of the RC beam are displayed in Figure 2. The beam length L and the beam height h were 6000 mm and 500 mm, respectively. The strength grade of the concrete was selected as C25. Two steel bars with a diameter of 16 mm and a strength grade of HRB335 were used as the tensile reinforcement in the bottom of the beam, while four steel bars with a diameter of 10 mm and a strength grade of HPB235 were placed as the compressive reinforcement in the top of the beam. The thickness of the steel reinforcement protective layer was 30 mm on both sides. Additionally, the stirrup was set at a space of 150 mm by using a steel bar with a diameter of 8 mm and a strength grade of HPB235.
Figure 2.
Details for standard RC beam (unit: mm): (a) dimensions and reinforcement; (b) section A-A.
With the exception of the standard RC beam, the specimens were retrofitted using one of the single or multiple methods (see Table 1). According to the retrofitting method, the six specimens were named as L1, L2-A, L3-C, L4-St-A, L5-C-St-A, and L6-C-Ss-A. In the nomenclature, L and the following number represent the specimen number. The capital letters A, C, and S stand for the retrofitting materials, namely the angle steel, the carbon fiber reinforced polymer (CFRP) plate, and the steel plate, respectively. The lowercase letters t and s denote the layout arrangement of the steel plate, which may be either continuous in the total span or separated along the beam. It should be noted that the order of the letters represents the retrofitting sequence.
Table 1.
Details of specimens.
Figure 3 plots the actual methods adopted in the test. Specimen L2-A was retrofitted using the angle steel with a cross-section at L50×5. The bottom surface of the retrofitted beam was roughened; then, the angle steels were bonded to the bottom corners of the beam using epoxy adhesive. To anchor the angle steel, two 80 mm wide hooping steel plates were placed near the ends of the beam with a space of 250 mm, and four identical hoops were set near the pure bending section of the beam. Specimen L3-C was strengthened with a 1.4 mm thick and 200 mm wide CFRP plate along the longitudinal direction of the specimen. Specimen L4-St-A was initially bonded with a 4 mm thick and 200 mm wide steel plate. After the epoxy adhesive achieved the required strength, the angle steel was fixed to the bottom corners, making it identical to Specimen L2-A.
Figure 3.
Details for retrofitted RC beam (unit: mm): (a) dimensions and cross-section for L2-A; (b) dimensions and cross-section for other retrofitted specimens; (c) cross-section for L3-C; (d) cross-section for L4-St-A; (e) cross-section for L5-C-St-A; (f) cross-section for L6-C-Ss-A.
To combine the steel- and FRP-based methods, Specimens L5-C-St-A and L6-C-Ss-A were first strengthened by the CFRP plate, which was the same as that used in L3-C. Then, the steel plate and the angle steel were bonded in sequence to the same location in Specimen L4-St-A. The main difference between Specimens L5-C-St-A and L6-C-Ss-A was the layout of the steel plate. A continuous steel plate was bonded to the CFRP plate along the total longitudinal direction at the bottom of Specimen L5-C-St-A, while the steel plate in Specimen L6-C-Ss-A was set separately, with a space of 250 mm. Regarding the strength improvement, the length, width, and thickness of the separated steel plate were 170 mm, 50 mm, and 5 mm, respectively. Due to the potentially significant improvement, more U-shaped steel hoops were adopted to meet the requirements of the anchorage. In contrast to Specimen L2-A (see Figure 3a,b), three 100 mm wide U-shaped steel hoops were placed near the ends of the beam with a space of 360 mm, and four identical hoops were set near the pure bending section of the beam.
2.3. Material Property
Six concrete cube specimens with dimensions of 150 mm × 150 mm × 150 mm and six prism specimens with dimensions of 100 mm × 100 mm × 300 mm were designed to obtain the concrete material properties. The tested compressive strength and the elastic modulus were 27.68 MPa and 2.76 × 104 MPa, respectively. The material properties of the retrofitting materials were obtained from the standard tensile specimen and are summarized in Table 2. The parameters of the epoxy adhesive were provided by the manufacturer and had a tensile strength and an elastic modulus of 5.1 GPa and 18.0 MPa, respectively.
Table 2.
Material properties.
2.4. Test Procedure
As shown in Figure 4, the specimen was simply supported on the two supports to rebuild the actual working condition. One was the pin support; the other was the roller support. Monotonic loading was adopted during the process. To evenly distribute the load to the trisection points of the beam, the loading head was set on a distributive girder with two supports simply supported on the specimen. Given the differences in the load-bearing capacities of the specimens and the error of the hydraulic jack, three types of actuators were adopted in the test, namely 30 tons for Specimen L1, 50 tons for Specimens L2-A and L3-C, and 100 tons for Specimens L4-St-A, L5-C-St-A, and L6-C-Ss-A.
Figure 4.
Test setup (unit: mm).
A force-controlled loading protocol was applied in this test. The crack load and the ultimate load were preliminarily calculated based on the assumption of deformation compatibility. Before the formal loading, a pre-loading was adopted to eliminate the gaps between the specimen and the test setup. The formal loading was divided into two sequential stages. When the load was less than 80% of the crack loading, the load amplitude at each level was selected as 5.0 kN. Then, after the load exceeded the amplitude, the increase in the load rose to 10.0 kN. The loading rate was selected as 5.0 kN/min for the whole process. The test was terminated when one of following four cases was achieved: (1) the deflection reached L/50; (2) the tensile steel bar failed; (3) the maximum crack width reached 1.5 mm; (4) the concrete in the compression zone failed.
In the test, the loading force was measured through the actuator cell. To detect the deformation, a total of five LVDTs were adopted to measure the deflection of the beam; these were placed at the two supports and the three quartering points. Given that the structural reliability significantly depends on crack development, the corresponding width and length were observed quantitatively using a handheld crack observation instrument. Additionally, the strain gauge was also bonded to each steel bar and the retrofitted material at the midspan. Finally, the H3816N static strain testing system was used to summarize all of the data.
3. Results and Discussion
3.1. Failure Modes
Figure 5 plots the failure mode of the specimen, where the red and black lines denote the crack in the pure bending section and the shear bending section, respectively. As a standard RC beam, the damage pattern of Specimen L1 represented the typical bending failure. When the load rose to 34.33 kN, a fine vertical bending crack was initially observed near the midspan of the beam; the corresponding deflection of the crack was 2.51 mm. Then, a series of cracks soon developed in the pure bending section and near the loading points. The tensile steel bar yielded at a load amplitude of 68.86 kN. Finally, when the load reached 77.15 kN, the strain of the tensile steel bar increased abruptly and dramatically, with a deflection of 36.43 mm. When the corresponding maximum crack width was measured as 2.11 mm, the loading was stopped.

Figure 5.
Failure modes: (a) L1; (b) L2-A; (c) L3-C; (d) L4-St-A; (e) L5-C-St-A; (f) L6-C-Ss-A.
Specimens L2-A and L3-C were designed to investigate the strengthening effect of the single retrofitting method with the angle steel or the CFRP plate. The first crack of Specimen L2-A appeared with a width of 0.02 mm when the load reached 35.01 kN. The corresponding deflection was 2.26 mm. When the load was increased to 172.20 kN, the angle steel yielded, with the crack developing to 0.72 mm in width. The crack finally developed suddenly to 2.00 mm in width, which indicated the failure of the specimen. The corresponding ultimate load was 217.10 kN, and the deflection was 43.24 mm. The crack load of Specimen L3-C was 36.09 kN. When the load exceeded 118.11 kN, the tensile steel bar yielded with a noticeable sound inside the CFRP plate. The failure mode of the specimen was the serious crack development with a load of 170.61 kN. Notably, there was limited bond slip between the concrete and the CFRP plate. In contrast to the crack distribution in Specimens L1 and L2-A, the crack number in Specimen L3-C decreased; this was due to the CFRP plate, which functioned as a kind of linear elastic material. The excessive stress in the beam could be redistributed to the CFRP plate; therefore, the average crack spacing could be effectively increased.
Specimens L4-St-A, L5-C-St-A, and L6-C-Ss-A were designed to investigate the strengthening effect of the collaborative retrofitting method. With the 4 mm thick steel plate anchored by the angle steel, the crack loading of L4-St-A was improved to 43.51 kN. Meanwhile, the corresponding deflection was only 1.69 mm, with a maximum crack width of 0.02 mm. The location of the angle steel resulted in an early yield with a load of 294.25 kN. Then, the number and the average crack width significantly increased, with a deflection of 25.40 mm. Finally, when the load reached 320.00 kN, with a deflection of 41.55 mm, the specimen failed due to excessive crack development.
Based on the configuration of Specimen L4-St-A, a CFRP plate was directly bonded to the bottom of the beam in Specimen L5-C-St-A. As the three types of retrofitting materials could cooperate with each other, the crack load was increased to 63.46 kN. However, the corresponding deflection was 3.36 mm; this was caused by the delay in the adhesive layer and the CFRP plate. In contrast to the other retrofitted specimens, the inner steel bar yielded earlier than the external angle steel. Soon afterwards, there was a certain degree of buckling observed at the left end of the angle steel. When the load reached 340.57 kN, the specimen failed due to serious crack development, with a deflection of 43.20 mm. Notably, the crack distribution was more limited and was sparser than that in the other specimens. In addition, the crack in the pure bending section was relatively short. This phenomenon partially resulted from the effective control provided by the CFRP plate directly bonded to the bottom of the beam. In comparison with L3-C, the steel plate and the angle steel also contributed significantly. As there was no bond slip between the beam and the retrofitting units, the deflection resulted in a tensile deformation. The deformation of the CFRP plate, the steel plate, and the angle steel increased sequentially according to the installation location. Then, the load could be transferred to the ends of the beam, which significantly alleviated the load distribution at the midspan. As the collaborative method was proposed to improve the flexural capacity, the enhancement was limited in the shear bending section, which resulted in a certain degree of crack formation in the corresponding area. Therefore, when this method is adopted in real applications, it will be necessary to appropriately improve the shear bending section.
The layout of the steel plate in Specimen L6-C-Ss-A was different from that in Specimen L5-C-St-A. As the steel plate was separated by a space of 250 mm, the load transfer mechanism was significantly changed. Although its crack load (47.67 kN) was smaller than that of Specimen L5-C-St-A, the two corresponding deflections were close to each other. This phenomenon demonstrated that the collaborative method tended to increase the crack deflection due to the gap in the adhesive layer and the CFRP plate. The angle steel yielded at a load of 231.67kN, with the deflection suddenly increasing to 1.4 mm. Finally, when the deflection and load rose to 36.40 mm and 298.42 kN, the maximum crack width developed to 1.8 mm. Notably, the cracks of Specimen L6-C-Ss-A were mainly concentrated in the pure bending section with a relatively small average width. The different failure pattern was caused by the limited load transfer from the midspan to both ends with the separated steel plates. Consequently, most of the load was concentrated around the pure bending section, which led to an earlier yield of the angle steel than that of Specimens L4-St-A and L5-C-St-A.
3.2. Load–Deflection Relationship
Figure 6 plots the relationship between the load and the midspan deflection. Generally, the curves of all the specimens can be divided into three stages, namely the elastic stage, the working stage with cracks, and the failure stage. In Specimen L1, with the increase in load, the crack of the concrete and the yield of the steel bar caused two breaking points in sequence; this caused the slope of the curve to decrease, i.e., there was a change in the flexural stiffness. It can be concluded that the curve variation trends of the five retrofitted specimens were similar to that of the standard RC beam Specimen L1. With respect to Specimens L2-A and L3-C, the load corresponding to the first breaking point was larger than that of Specimen L1. As the angle steel yielded, there was an obvious second breaking point, which led to a secondary stiffness degradation in the failure stage. For Specimen L3-C, the slope was relatively stable after the first breaking point. As a kind of elastic material, the CFRP plate could effectively limit crack development and further keep the slope stable after the initial crack. As there was a 4 mm thick steel plate added between the beam and the angle steel in Specimen L4-St-A, the initial stiffness and the load-bearing capacity were significantly improved in comparison with Specimen L2-A. This phenomenon demonstrated the feasibility of the collaborative work between the steel plate and the angle steel.
Figure 6.
Load–deflection relationship.
For Specimen L5-C-St-A, a 1.4 mm thick CFRP plate was added to the beam bottom over the inner side of the steel plate. It was found that its initial stiffness was nearly identical to that of Specimen L4-St-A. It was inferred that the small change was caused by the gap in the adhesive layer and the CFRP plate, which could be considered as a relatively soft integrated unit. This delayed the deformation of the retrofitting material until the deflection increased to a certain extent. Therefore, in the early working stage, the CFRP plate even led to a small decrease in stiffness. After the crack appeared, the CFRP started to function with an increase in its strain. The curve of Specimen L5-C-St-A remained parallel to that of Specimen L4-St-A in the second stage and exceeded it in the failure stage. This phenomenon indicated that the CFRP plate in the collaborative method tended to improve the ultimate load-bearing capacity with respect to extreme loads, which could be considered as safety storage after the yield of the steel.
In Specimen L6-C-Ss-A, the continuous steel plate was replaced by a series of separated steel plates. Notably, the initial stiffness of Specimen L6-C-Ss-A was less than that of Specimens L4-St-A and L5-C-St-A; however, it was similar to that of Specimen L3-C. Furthermore, it was found that the improvement (221.27 kN) of the ultimate flexural capacity in Specimen L6-C-Ss-A was slightly larger than the sum of the enhancements (212.16 kN) in Specimens L2-A and L3-C at the same deflection. It was inferred that the separated steel plates contributed little to the improvement of the load-bearing capacity. Given the crack distribution of Specimen L6-C-Ss-A, the load could barely be transferred from the midspan to the beam ends. Therefore, the separated steel plate functioned more as an anchorage of the CFRP plate. Conceivably, a thicker CFRP plate would contribute to the flexural performance of the retrofitting system.
3.3. Critical Parameters
Table 3 lists the critical parameters, which are determined according to the specimen critical states during the experiment. Mcr, My, and Mu represent the crack moment, yield moment, and ultimate moment, respectively. Notably, the ultimate moment and the initial stiffness were adopted to determine the My of the specimen; fcr, fy, and fu are defined as the midspan deflection corresponding to Mcr, My, and Mu, and are named as the crack deflection, yield deflection, and ultimate deflection, respectively. The ductility coefficient μ represents the ratio of fu to fy. The nominal improvement from the retrofitted specimen to the standard specimen is plotted in Figure 7.
Table 3.
Mechanical properties.
Figure 7.
Comparison of nominal load-bearing capacity.
The enhancements of the single methods (L2-A and L3-C) were only 2.0% and 5.1% for Mcr, respectively, as there was limited contact between the angle steel and the standard beam. A single CFRP plate could not effectively control the appearance of the crack until the deformation of the beam was achieved to a certain extent. However, with the collaborative methods, the improvement varied from 26.7% to 84.9%. As there were steel plates bonded to the bottom surface of the beam, either directly or indirectly, they significantly contributed to the control of the crack occurrence. Notably, the crack moment of L5-C-St-A was 45.9% larger than that of L4-St-A. The CFRP was tightly bonded to the concrete due to the pressure from the steel plate, which led to an early retrofitting of the CFRP plate to the beam. As the Mcr of L6-C-Ss-A was close to that of L4-St-A, it was demonstrated that the separated steel plate had little positive influence on the suppression of the crack.
The tendency of the yield moment was rather similar to that of the ultimate moment. The improvement ratios varied from 1.72 to 4.58 for My and from 2.21 to 4.41 for Mu. As the enhancements of the collaborative methods were significantly larger than those of the single methods, especially Specimens L4-St-A and L5-C-St-A, the working mechanism of the proposed retrofitting method was demonstrated to be feasible. However, it should be noted that there was an obvious decrease in the Mu of L6-C-Ss-A with respect to L4-St-A (6.75%) and L5-C-St-A (12.4%). The decrease rate for My was even more significant. This phenomenon indicated that the separated steel plate could not effectively transfer the complete load from the CFRP plate to the angle steel with the partial load borne by the middle part of the retrofitting unit. Therefore, although the corresponding increase for L6-C-Ss-A was larger than those of both L2-A and L3-C, the collaborative retrofitting method is not recommended with respect to the construction cost and efficiency.
Concerning the deformation, when the initial crack appeared, only Specimens L3-C, L5-C-St-A, and L6-C-Ss-A achieved a larger midspan deflection than the standard specimen L1 (see Figure 8). Notably, the fcr of L3-C was only 1.2% larger than that of L1, while that of L2-A and L4-St-A represented a 10.0% and 33.7% decrease, respectively. This phenomenon indicated that neither the CFRP plate nor the steel plate alone could adequately demonstrate a positive effect on the crack deflection, which resulted from the larger initial stiffness contributed by the retrofitting units. However, when the three parts were utilized together, the load transfer mechanism was significantly changed. The CFRP and steel plates could work together, and the load was delivered to both ends of the beam through the angle steel, which should have been concentrated at the midspan.
Figure 8.
Comparison of nominal deflection.
With respect to the yield deflection and ultimate deflection, all the retrofitted specimens presented a certain increase in the indices. Notably, L2-A, L4-St-A, and L5-C-St-A achieved an fy from 27.4% to 55.3%, which was mainly contributed by the plastic deformation capacity of the section steel. The increases in L3-C and L6-C-Ss-A only reached 1.2% and 9.6%. As a type of elastic material, the CFRP plate had little effect on the ductility. It was also indirectly indicated that the separated steel plate in L6-C-Ss-A mainly served as an anchoring plate for the inner CFRP plate instead of as a load-bearing component. A similar phenomenon could also be observed in the fu of Specimen L6-C-Ss-A. With the exception of Specimen L6-C-Ss-A, the specimens showed an fu that was at least 18.0% larger than that of Specimen L1. The results demonstrated that a continuous load transfer layout benefits the ultimate deformation of the retrofitted system. With respect to the ductility coefficient, there were improvements only in Specimens L3-C and L4-St-A. The results indicated that the proposed collaborative retrofitting methods mainly affect the load-bearing capacity rather than the deformation capacity.
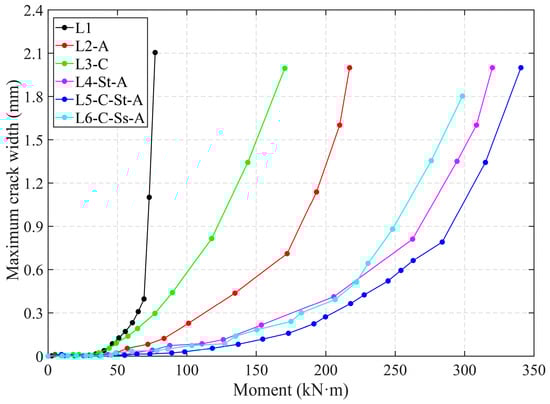
3.4. Crack Development
Figure 9 plots the relationship between the maximum crack width and the load. Generally, each type of single retrofitting method could contribute to the crack development. Although the curve of L3-C was nearly identical to that of L1 in the initial stage of crack development, the development rate soon slowed down after the maximum crack width reached around 0.10 mm. As listed in Table 3, the CFRP plate only slightly improved the crack moment of Specimen L3-C compared to that of Specimen L1. As a type of soft material, the CFRP plate did not function until the damage developed to a certain extent. Regarding the tendency of the curve for Specimen L2-A, the angle steel was considered to function better in controlling the crack expansion than the CFRP plate. This phenomenon resulted from the compatible deformation between the RC beam and the steel plate starting from the initial loading. This finding was also demonstrated in Specimen L4-St-A, which showed even better inhibition of the crack propagation than Specimen L6-C-Ss-A. The crack propagations of Specimens L4-St-A, L5-C-St-A, and L6-C-Ss-A were better than those of the other two retrofitted specimens. Given that the steel units were bonded to a post-hardening CFRP plate, the deformation of the internal CFRP plate was compatible with the steel plate. As the angle steel was simultaneously fixed to the RC beam with the anchorage, the deformation compatibility was ensured in Specimens L4-St-A, L5-C-St-A, and L6-C-Ss-A.
Figure 9.
Crack development.
Although the main crack always appeared around the midspan of all the specimens, the crack distributions were different from each other (see Figure 5). Generally, with the increase in the flexural capacity, some bending cracks were partially replaced by the shear bending cracks in the shear bending section. For example, the number of bending cracks in Specimen L5-C-St-A was limited; the development lengths of these cracks were also relatively small. This phenomenon indicated that the collaborative methods improved the load-bearing capacity, not only through the retrofitting material, but also through the suitable load transfer to both beam ends. In contrast to the other specimens, most of the cracks of Specimen L6-C-Ss-A were concentrated in the pure bending section. This resulted from the fact that the load at the midspan could barely be transferred outward due to the interval layout of the steel plates.
4. Prediction of the Flexural Capacity
For a new kind of retrofitting method, it is necessary to accurately predict the flexural capacity of the beam strengthened using the collaborative method. Regarding the structural safety, applicability, and durability, the experimental retrofitted beam is considered to fail when the maximum crack width is reached. Therefore, during the test, the strains of the concrete, steel reinforcement, angle steel, CFRP plate, and steel plate are considered to meet the plane section assumption. According to the material test, the CFRP can be regarded as a linear elastic material. To simplify the constitutive relationship of the material, the steel is assumed to be a material linear elastic in the elastic stage and a perfect plastic in the yield stage. The tensile strength of the concrete is ignored, while the compressive strength is defined as a curve consisting of a quadratic parabola followed by a horizontal line.
With respect to the deformation compatibility, as there was no bonding failure between the CFRP plate, the steel plate, the angle steel, and the concrete, it is concluded that the retrofitting system worked effectively with the original beam during the whole loading process. The thickness of the epoxy adhesive was assumed to be zero during the calculation. The resultant point of the angle steel was set as the centroid, and the distance from the centroid to the edge of the tension zone was determined as has been described. Given the low thickness of the CFRP plate and the steel plate, the resultant points are simplified at the bottom of the beam. Therefore, the strain of the material can be calculated as follows:
where εcp, εsp, εas, and εcu denote the strain of the CFRP plate, the steel plate, the angle steel, and the concrete at the edge of the compression zone, respectively. According to Code GB50010-2010 [45], εcu can be taken as 0.0033 for those concretes with a concrete strength grade less than C50. According to the crack distribution concentrated around the pure bending section, the retrofitted beam should be assumed to present an adequate shear capacity; consequently, the corresponding shear and axial deformations are ignored.
Based on the aforementioned assumptions, the calculating diagram is plotted as shown in Figure 10. Regarding the contribution of the slab on the beam, the cross-section of the beam is considered to be T-shaped. Therefore, according to the relationship between the actual compression zone height xa and the flange height, there are two occasions in total, namely and , where denotes the height of the flange. The equivalent compression zone height x is taken to be 0.8 times that of xa. Regarding the equivalent rectangular compression α1fc, fc is the compressive strength of the concrete, and α1 is the shape coefficient of the equivalent rectangular stress. In addition, and fy denote the yield strength of the compressive and tensile steel bars, and and As denote the corresponding area. With respect to the retrofitting material, σcp, σsp, and σas represent the tensile strength of the CFRP plate, the steel plate, and the angle steel, which could be obtained according to the corresponding strain. Acp, Asp, and Aas denote the cross-sectional area of the corresponding materials. As all the angle steel yielded during the test, the tensile strength of the angle steel is taken as its yield strength fy,as.
Figure 10.
Calculating diagram for the retrofitted beam: (a) ; (b) .
Based on the conditions of the equilibrium of forces, the ultimate flexural capacity can be calculated. When , as the tensile strength of the concrete is neglectable, the rectangle with a width equal to the effective flange width can be used directly in the calculation. According to Code JTG 3362-2018 [44], is taken as the minimum of the following two values: (1) one-third of the calculated span l; (2) , where b and bh represent the width of the web and the length of the bridge support, respectively. In this study, bh is considered to be zero. Therefore, the formulas are listed as follows:
where and denote the distance from the resultant points of the compressive or tensile steel bars to the edge of the concrete in the compression/tension zone, respectively. As for , Mu can be predicted according to the following formulas:
Using the aforementioned formulas, the ultimate load-bearing capacity of the five retrofitted specimens was calculated. The results are listed in Table 4, where Mu,exp and Mu,pre denote the ultimate flexural capacity obtained from the experimental and the prediction methods, respectively. As there was a limited contribution to the bearing capacity from the separated steel plate in Specimen L6-C-Ss-A, it was not considered to add to the length of the moment arm of the angle steel. In comparison, most of the calculated results underestimate the ultimate flexural capacity, because the strengthening stage of the steel material is ignored during the process. Generally, as the errors ranged from −7.09% to 3.72%, with an average error of 4.03%, the prediction method can be considered to be valid.
Table 4.
Prediction verification.
5. Conclusions
This study proposed a collaborative method to retrofit an RC beam by using a CFRP plate, a steel plate, and angle steel. A monotonic four-point bending test was conducted on six specimens to investigate the strengthening effect of the proposed method. The major conclusions are summarized as follows:
(1) The three types of retrofitting materials can cooperate with each other during the whole process. The retrofitted beam demonstrates a larger load-bearing capacity and deformation capacity than those of the standard beam in terms of aspects such as crack resistance and durability failure. The crack load and ultimate load are improved up to 84.9% and 4.41 times, respectively.
(2) The gap in the adhesive layer and the CFRP plate tends to delay the function of the steel unit. After the deformation of the beam increases to a certain extent, the steel plate and angle steel function with regard to both the load bearing and the anchorage of the CFRP plate. Finally, the CFRP plate contributes more to the ultimate bearing capacity after the steel units yield; thus, it can be considered as safety storage.
(3) The retrofitting materials are recommended for continuous use, as the collaborative method can achieve the best improvement by limiting crack development and transferring the load from the midspan to the beam ends. Although the separated steel plate can enhance the flexural performance, it mainly functions as an anchorage of the CFRP plate and tends to concentrate more load at the midspan.
(4) Based on the deformation capacity, a prediction method is proposed to calculate the ultimate flexural capacity of the beam retrofitted using the collaborative method. As the average error between the calculated and the experimental result is 4.03%, the prediction can be regarded as valid.
Author Contributions
Conceptualization, Y.W. and W.X.; methodology, Y.L. and Y.W.; formal analysis, Y.L.; investigation, Y.L., Z.G. and K.Z.; writing—original draft preparation, Y.L.; writing—review and editing, Y.W., Z.G. and K.Z.; supervision, Y.W. and W.X.; project administration, Y.W.; funding acquisition, Y.W. and Y.L. All authors have read and agreed to the published version of the manuscript.
Funding
This research was funded by the National Natural Science Foundation of China (Grant Nos. 52378244 and 52308257), the Natural Science Foundation of Jiangsu Province (Grant Nos. BK20231293 and BK20230399), and the Natural Science Foundation of the Higher Education Institutions of Jiangsu Province (Grant No. 23KJB560019).
Data Availability Statement
The original contributions presented in the study are included in the article, and further inquiries can be directed to the corresponding authors.
Acknowledgments
The authors gratefully acknowledge the financial support provided by the National Natural Science Foundation of China, Natural Science Foundation of Jiangsu Province, and Natural Science Foundation of the Higher Education Institutions of Jiangsu Province.
Conflicts of Interest
The authors declare no conflicts of interest.
References
- Xia, Y.; Lei, X.; Wang, P.; Sun, L. A data-driven approach for regional bridge condition assessment using inspection reports. Struct. Control Health Monit. 2022, 29, e2915. [Google Scholar] [CrossRef]
- Pugliese, F.; De Risi, R.; Di Sarno, L. Reliability assessment of existing RC bridges with spatially-variable pitting corrosion subjected to increasing traffic demand. Reliab. Eng. Syst. Safe 2022, 218, 108137. [Google Scholar] [CrossRef]
- Crespi, P.; Zucca, M.; Valente, M.; Longarini, N. Influence of corrosion effects on the seismic capacity of existing RC bridges. Eng. Fail. Anal. 2022, 140, 106546. [Google Scholar] [CrossRef]
- Arslan, G.; Sevuk, F.; Ekiz, I. Steel plate contribution to load-carrying capacity of retrofitted RC beams. Constr. Build. Mater. 2008, 22, 143–153. [Google Scholar] [CrossRef]
- Alemdar, F.; Nagati, D.; Matamoros, A.; Bennett, C.; Rolfe, S. Repairing distortion-induced fatigue cracks in steel bridge girders using angles-with-plate retrofit technique. J. Struct. Eng. 2014, 140, 04014003. [Google Scholar] [CrossRef]
- Kennedy-Kuiper RC, S.; Wakjira, T.G.; Alam, M.S. Repair and retrofit of RC bridge piers with steel-reinforced grout jackets: An experimental investigation. J. Bridge Eng. 2022, 27, 04022067. [Google Scholar] [CrossRef]
- Han, B.; Gao, H.; Zhang, L.; Wang, S.; Yang, L. The Response of Angle Steel Skeleton-Reinforced Concrete Beams to Low-Cycle and Static Loads. KSCE J. Civ. Eng. 2024, 28, 3805–3819. [Google Scholar] [CrossRef]
- Shakib, S.; Morshed, A.Z.; Kholil, M.I.; Hossain, M.A. Simulation of reinforced concrete beam retrofitted with steel angles subjected to flexure. Multidiscip. Model. Ma. 2022, 18, 351–369. [Google Scholar] [CrossRef]
- Garden, H.N.; Hollaway, L.C. An experimental study of the failure modes of reinforced concrete beams strengthened with prestressed carbon composite plates. Compos. Part B—Eng. 1998, 29, 411–424. [Google Scholar] [CrossRef]
- Bakis, C.E.; Bank, L.C.; Brown, V.; Cosenza, E.; Davalos, J.F.; Lesko, J.J.; Machida, A.; Rizkalla, S.H.; Triantafillou, T.C. Fiber-reinforced polymer composites for construction—State-of-the-art review. J. Compos. Constr. 2002, 6, 73–87. [Google Scholar] [CrossRef]
- Sassu, M.; Puppio, M.L.; Doveri, F.; Ferrini, M.; Mistretta, F. A time and cost-effective strengthening of RC half joint bridges exposed to brittle failure: Application to a case study. Struct. Infrastruct. Eng. 2023. [Google Scholar] [CrossRef]
- Hamoda, A.; Shahin, R.I.; Ahmed, M.; Abadel, A.A.; Baktheer, A.; Yehia, S.A. Strengthening of reinforced concrete columns incorporating different configurations of stainless-steel plates. Structures 2024, 64, 106577. [Google Scholar] [CrossRef]
- Adibi, M.; Marefat, M.S.; Esmaeily, A.; Arani, K.K.; Esmaeily, A. Seismic retrofit of external concrete beam-column joints reinforced by plain bars using steel angles prestressed by cross ties. Eng. Struct. 2017, 148, 813–828. [Google Scholar] [CrossRef]
- Yan, X.; Zheng, T.; Lin, C.; Lan, G.; Mao, H. Experimental Research on the Impact Resistance of Partially Precast Concrete Beams Strengthened with Bonded Steel Plates. Appl. Sci. 2023, 13, 9776. [Google Scholar] [CrossRef]
- Wei, Y.; Bai, J.; Zhang, Y.; Miao, K.; Zheng, K. Compressive performance of high-strength seawater and sea sand concrete-filled circular FRP-steel composite tube columns. Eng. Struct. 2021, 240, 112357. [Google Scholar] [CrossRef]
- Miao, K.; Wei, Y.; Dong, F.; Zheng, K.; Wang, J. Experimental study on concrete-filled steel tube columns with inner distributed seawater and sea sand concrete-filled fiber-reinforced polymer tubes under axial compression. Compos. Struct. 2023, 320, 117181. [Google Scholar] [CrossRef]
- Tastani, S.; Thermou, G. An Example-Guide for Rapid Seismic Assessment and FRP Strengthening of Substandard RC Buildings. Appl. Sci. 2022, 12, 12950. [Google Scholar] [CrossRef]
- Pantelides, C.P.; Gergely, J. Carbon-fiber-reinforced polymer seismic retrofit of RC bridge bent: Design and in situ validation. J. Compos. Constr. 2002, 6, 52–60. [Google Scholar] [CrossRef]
- Ross, S.; Boyd, A.; Johnson, M.; Sexsmith, R.; Banthia, N. Potential retrofit methods for concrete channel beam bridges using glass fiber reinforced polymer. J. Bridge Eng. 2004, 9, 66–74. [Google Scholar] [CrossRef]
- Duic, J.; Kenno, S.; Das, S. Flexural rehabilitation and strengthening of concrete beams with BFRP composite. J. Compos. Constr. 2018, 22, 04018016. [Google Scholar] [CrossRef]
- Manos, G.C.; Katakalos, K.B. Reinforced Concrete Beams Retrofitted with External CFRP Strips towards Enhancing the Shear Capacity. Appl. Sci. 2021, 11, 7952. [Google Scholar] [CrossRef]
- Zhang, W.; Kang, S.; Liu, X.; Lin, B.; Huang, Y. Experimental study of a composite beam externally bonded with a carbon fiber-reinforced plastic plate. J. Build. Eng. 2023, 71, 106522. [Google Scholar] [CrossRef]
- Chen, J.F.; Teng, J.G. Anchorage strength models for FRP and steel plates bonded to concrete. J. Struct. Eng.-ASCE 2001, 127, 784–791. [Google Scholar] [CrossRef]
- Narayanamurthy, V.; Chen, J.F.; Cairns, J. Improved model for interfacial stresses accounting for the effect of shear deformation in plated beams. Int. J. Adhes. Adhes. 2016, 64, 33–47. [Google Scholar] [CrossRef]
- Nguyen, D.M.; Chan, T.K.; Cheong, H.K. Brittle failure and bond development length of CFRP-concrete beams. J. Compos. Constr. 2001, 5, 12–17. [Google Scholar] [CrossRef]
- Sharif, A.; Al-Sulaimani, G.J.; Basunbul, I.A.; Baluch, M.H.; Ghaleb, B.N. Strengthening of initially loaded reinforced concrete beams using FRP plates. ACI Struct. J. 1994, 91, 160–168. [Google Scholar]
- Gong, J.; Zou, X.; Xia, P. Experimental investigation of the natural bonding strength between stay-in-place form and concrete in FRP-concrete decks/beams. Appl. Sci. 2019, 9, 913. [Google Scholar] [CrossRef]
- Michels, J.; Staśkiewicz, M.; Czaderski, C.; Kotynia, R.; Harmanci, Y.E.; Motavalli, M. Prestressed CFRP strips for concrete bridge girder retrofitting: Application and static loading test. J. Bridge Eng. 2016, 21, 04016003. [Google Scholar] [CrossRef]
- Liu, C.; Wang, X.; Shi, J.; Liu, L.; Wu, Z. Experimental study on the flexural behavior of RC beams strengthened with prestressed BFRP laminates. Eng. Struct. 2021, 233, 111801. [Google Scholar] [CrossRef]
- Wang, H.T.; Liu, S.S.; Zhu, C.Y.; Xiong, H.; Xu, G.W. Experimental study on the flexural behavior of large-scale reinforced concrete beams strengthened with prestressed CFRP plates. J. Compos. Constr. 2022, 26, 04022076. [Google Scholar] [CrossRef]
- Chang, X.; Wang, X.; Liu, C.; Huang, H.; Zhu, Z.; Wu, Z. Parametric analysis on the flexural behaviour of RC beams strengthened with prestressed FRP laminates. Structures 2023, 47, 105–120. [Google Scholar] [CrossRef]
- Skuturna, T.; Valivonis, J. Experimental study on the effect of anchorage systems on RC beams strengthened using FRP. Compos. Part B—Eng. 2016, 91, 283–290. [Google Scholar] [CrossRef]
- Nordin, H.; Täljsten, B. Concrete beams strengthened with prestressed near surface mounted CFRP. J. Compos. Constr. 2006, 10, 60–68. [Google Scholar] [CrossRef]
- Peng, H.; Zhang, J.; Cai, C.S.; Liu, Y. An experimental study on reinforced concrete beams strengthened with prestressed near surface mounted CFRP strips. Eng. Struct. 2014, 79, 222–233. [Google Scholar] [CrossRef]
- Hajihashemi, A.; Mostofinejad, D.; Azhari, M. Investigation of RC beams strengthened with prestressed NSM CFRP laminates. J. Compos. Constr. 2011, 15, 887–895. [Google Scholar] [CrossRef]
- Min, X.; Yang, D.; Song, S.; Li, X. Study on the Stress Threshold of Preventing Interfacial Fatigue Debonding in Concrete Beams Strengthened with Externally-Bonded FRP Laminates. Buildings 2024, 14, 430. [Google Scholar] [CrossRef]
- Sabzi, J.; Esfahani, M.R.; Ramezani, A.; Ozbakkaloglu, T. A comparison between the behavior of beams strengthened by FRP sheets and FRCM composites. Eng. Struct. 2024, 306, 117796. [Google Scholar] [CrossRef]
- Chen, C.; Chen, J.; Zhou, Y.; Sui, L.; Hu, B. Design of ductile H-anchorage for strengthening reinforced concrete beams with prestressed FRP. Constr. Build. Mater. 2021, 307, 124883. [Google Scholar] [CrossRef]
- Oehlers, D.J.; Visintin, P.; Lucas, W. Fundamental mechanics governing FRP-retrofitted RC beams with anchored and prestressed FRP plates. J. Compos. Constr. 2016, 20, 04016047. [Google Scholar] [CrossRef]
- Biscaia, H.C.; Chastre, C. Design method and verification of steel plate anchorages for FRP-to-concrete bonded interfaces. Compos. Struct. 2018, 192, 52–66. [Google Scholar] [CrossRef]
- Ababneh, A.N.; Al-Rousan, R.Z.; Ghaith IM, N. Experimental study on anchoring of FRP-strengthened concrete beams. Structures 2020, 23, 26–33. [Google Scholar] [CrossRef]
- Zheng, X.; Wan, B.; Huang, P.; Huang, J. Experimental study of hybrid strengthening technique using carbon fiber laminates and steel plates for reinforced concrete slabs. Constr. Build. Mater. 2019, 210, 324–337. [Google Scholar] [CrossRef]
- Subhani, M.; Al-Ameri, R.; Kabir, M.I. Hybrid strengthening of steel-concrete composite beam, part 1: Experimental investigation. J. Constr. Steel Res. 2018, 141, 23–35. [Google Scholar] [CrossRef]
- JTG 3362-2018; Specifications for Design of Highway Reinforced Concrete and Prestressed Concrete Bridges and Culverts. China Communications Press: Beijing, China, 2018. (In Chinese)
- GB50011-2010; Code for Design of Concrete Structures. China Architecture & Building Press: Beijing, China, 2015. (In Chinese)
Disclaimer/Publisher’s Note: The statements, opinions and data contained in all publications are solely those of the individual author(s) and contributor(s) and not of MDPI and/or the editor(s). MDPI and/or the editor(s) disclaim responsibility for any injury to people or property resulting from any ideas, methods, instructions or products referred to in the content. |
© 2024 by the authors. Licensee MDPI, Basel, Switzerland. This article is an open access article distributed under the terms and conditions of the Creative Commons Attribution (CC BY) license (https://creativecommons.org/licenses/by/4.0/).