Abstract
Grids such as perforated plates are of fundamental importance in flow turbulence study and are commonly utilised to promote mixing. An orificed perforated plate (OPP) and its reversed counterpart, the converging-nozzle perforated plate (CNPP), were applied to produce quasi-isotropic turbulence inside a wind tunnel. The three orthogonal velocity components were measured using a triple hotwire at 10D downstream of the perforated plate for Reynolds numbers, ReD, 18,700 and 28,400, where D is the diameter of the perforated holes. The statistics of the grid-generated turbulence was analysed using the time-averaged local velocity profile and turbulence intensity, which revealed a more homogeneous distribution of the flow field with a higher level of turbulence for the OPP. Fourier and wavelet analyses were employed to investigate the energy of the eddies as a function of frequency and multiscale characteristics of the fluctuating velocity, respectively. At ReD = 18,700, the turbulent energy remains prominently with large-scale vortical structures which are non-intermittently present in the flow for both perforated plates. The thickness of the converging channels of the CNPP appears to provide the venue for spawning intermittent fluctuations. At higher ReD 28,400, the effect of this intermittent behaviour becomes evident for the CNPP, leading to a multiscale distribution of turbulent energy.
1. Introduction
Homogeneous isotropic turbulence is the simplest form of turbulence. A passive grid or perforated plate has been widely employed as a turbulence generator to achieve a nearly homogeneous isotropic flow. The ground-breaking work of Taylor [1] paved the path for a long series of grid turbulence studies. Batchelor [2] and Batchelor and Townsend [3,4] were among the first who studied isotropic turbulence and its decay by passing a uniform stream through a grid.
Grid-induced turbulence can be divided into different regimes, each with its own unique set of flow characteristics [5,6]. Immediately downstream of the grid, a highly anisotropic and inhomogeneous turbulence-developing zone forms from the jet–wake interactions. Turbulent eddies develop as a result of the shearing flow produced by the predominant jet–wake interplay present in this region. The flow nearly resembles homogeneous characteristics farther downstream of the grid, identified as the initial decay region. The decay is predominantly ensued from the faster dissipating smaller eddies, leaving the slower decaying large-scale structures nearly unaffected. This is followed by the final decay region in the absence of the smaller eddies, surviving with a truncated turbulence cascade of large eddies directly dissipating via viscosity. Detailed investigations on grid-generated turbulence inside a wind tunnel carried out by Tresso and Munoz [7] revealed that the flow beyond the developing region downstream of the grid is nearly isotropic, making grids a suitable isotropic turbulence generator.
Several studies have been conducted utilising traditional statistical methods to understand the effects of various determinants such as grid geometry (also known as upstream conditions), initial flow parameters, and turbulence length scales, all of which are known to influence the properties and subsequent decay of the resulting grid turbulence. Uberio and Wallis [8] studied the decay of turbulence using biplane grids, inclined rod grids, and honeycomb grids, concluding that the isotropy level and distribution of energy-containing eddies varies significantly with grid geometry and the measured decay remains essentially constant during turbulent dissipation. Liu et al. [9] showed that the pressure drop across the turbulence generator is the primary energy source for the turbulent flow downstream of the grid wherein the turbulence intensity increases with the plate/grid solidity within a certain range. Liberzon et al. [10] utilised a square-mesh grid as a turbulence generator inside a water channel. They carried out turbulent dissipation estimation using particle image velocimetry and Laser Doppler velocimetry techniques alongside substantiating the role of inter-scale dependencies, viscous corrections due to the low Reynolds numbers, and flow inhomogeneity on the measurement bias of dissipation rates. A fundamental comparative study investigating the development of isotropic flow produced behind perforated plates with sharp-edged orificed openings (OPPs) and another with straight holes of finite thickness (SHPPs) was carried out in Ref. [11]. An in-depth analysis of turbulence characteristics establishes OPPs as a better generator of high-level turbulence primarily due to well-defined flow separation. Additionally, there is a negative streamwise autocorrelation for OPPs as opposed to SHPPs where the function is entirely non-negative, implying that the large-scale structures present past the two perforated plates differ qualitatively. These studies clearly establish grid geometry and configuration as one of key factors affecting flow isotropy, turbulence structure, and their decay.
Coherent structures such as jets, wakes, and boundary layers are a common feature in many turbulent flows. These coherent structures and their interactions are the underlying reasons for the production and dissipation of flow turbulence [12,13,14]. While statistical descriptions of turbulence help us understand the overall characteristics of irregular flow, they do not account for the coherent structures present in the flow which play an integral role in time and space intermittency of turbulence. Wavelet analysis is an effective technique in scrutinizing these localised coherent structures present in the flow. Wavelet analysis was first employed to analyse homogenous turbulent flow by Farge [15] and LaRue [16] in the early 1990s subsequent to the introduction of the concept of wavelet transform by Morlet [17] and Grossmann [18] in the 1980s. Wavelet transform can be adopted to decompose the original signal based on frequencies or scales, allowing simultaneous time (or spatial) and frequency domain analysis [19]. Wavelet analysis is primarily classified into continuous wavelet transform (which is performed in a smooth continuous fashion, i.e., using the continuous wavelet function) and discrete wavelet transform (which is carried out in discrete steps, i.e., using the discrete orthogonal wavelet basis function).
Many researchers have deployed wavelet transform in multifarious applications, such as for examining turbulence homogeneity at different scales [20], or to analyse turbulent wakes and jets [21,22], or to detect and characterise coherent structures [23]. Mallat [24] developed an orthogonal wavelet multi-resolution technique based on the discrete wavelet transform that enabled an event in the signal to be decomposed into several events with fine details. Apart from differentiating the coherent and incoherent turbulent structures, the technique is potentially capable of decomposing and characterizing them quantitatively based on their characteristic frequencies (or scales) in the time domain. Li et al. [25,26] employed a wavelet multi-resolution technique for detecting spatial structures of different scales by assessing the results from the particle image velocimetry measurements of unsteady flow. Rinoshika et al. [27,28] conducted an experimental study to capture details of wake flow structures formed behind a wall-mounted short cylinder. They utilised wavelet transforms to decompose the three-component vorticity data of cylinder wakes into several wavelet components according to their central frequencies to disclose multi-scale flow structures around the cylinder, such as the dominant large-scale structures in the near-wake region, intermediate-scale streamwise and trailing vortices, and the small-scale structures farther downstream formed by the breakdown of large- and intermediate-scale vortices. Xu et al. [29] used a two-dimensional continuous wavelet transform to study the near-wall turbulence intermittency by decomposing the flow field into intermittent and non-intermittent parts based on local Reynolds stress and flatness factor. They concluded that away from the wall, the intermittent part has a smaller scale and possesses a minor portion of the total turbulent energy, whereas both the intermittent and non-intermittent parts possess an almost similar magnitude and scale close to the wall. More recently, Zheng et al. [30] combined the capabilities of wavelet transform and the proper orthogonal decomposition to reveal the turbulent wake generated by a triangular cylinder. They concluded that the length scale of wavelet components decreased with rising frequency, indicating the potential of frequency analysis to understand the spatial-related length scale of vortices. In addition, the wavelet transforms can be used to further delineate turbulent structures with different scales.
In short, the wavelet decomposition technique is a promising tool for studying multi-scale turbulence structures. Taking advantage of wavelet analysis, the current study extends our previous work on perforated-plate-induced turbulence in a wind tunnel [31], furthering the revelation of the eddying motions in the flow. By scrutinizing turbulence statistics, power spectrum, and wavelet analysis, we have carried out a comparative study between the induced turbulence of the orificed perforated plate (OPP) and its reverse counterpart, the converging-nozzle perforated plate (CNPP), to examine the flow homogeneity, to detect coherent structures, and to analyse the scale-based distribution of turbulence energy.
2. Materials and Methods
The experiment was conducted in a closed-loop wind tunnel with two types of perforated plates—namely, orificed perforated plate (OPP) and converging-nozzle perforated plate (CNPP)—mounted at the entrance of the working section as shown in Figure 1. The perforated plate was made from a 6 mm thick aluminium sheet with a cross-section of 760 mm by 760 mm; see Figure 2a. The perforated plate was mounted normal to the air flow as illustrated in Figure 2b, where X, Y, and Z represent streamwise, widthwise, and vertical direction, respectively. The orificed perforated plate has a virtually zero thickness, realised by drilling each hole in the plate at a 41° inclined angle, resulting in 38 mm circular openings. A Dantec Dynamics triple-sensor hotwire probe (type 55P95) (Skovlunde, Denmark) with a constant temperature anemometer was employed to characterise the flow at a downstream location of 10D from the perforated plate. The sensing element consists of 5 μm diameter platinum-plated tungsten wires, whereas the smallest eddies of interest are approximately 10 mm at 10 kHz. In other words, the sensing element is more than 100 times the smallest turbulent eddies. The cross-sectional turbulence structure at this particular location, i.e., 10D past the perforated plate, was scrutinised as it lies in the region containing fully developed vorticial structures (eddies) [5,6]. Each measured cross-sectional plane was 127 mm by 127 mm, having a spatial resolution of 15.875 mm (0.625 inch), and the measurements were taken right along the centre line of the plate, which is also the centre line of the middle hole. All velocity data were collected at a sampling rate () of 80 kHz and low-passed at 30 kHz in order to avoid aliasing problems. To reduce the uncertainties in the post-processed statistical parameters, over 106 samples, which amount to a sampling time of about 12.5 s, are acquired at each measuring point. These settings have been proven to provide accurate raw velocity data.
Figure 1.
The (a) orificed perforated plate (OPP) versus (b) the converging-nozzle perforated plate (CNPP).
Figure 2.
Wind-tunnel experiment. (a) Dimensions of the perforated plate; (b) experimental set-up showing grid geometry.
3. Data Processing
The raw instantaneous velocity data signal is processed to delineate grid-induced turbulence utilising statistical and wavelet transform techniques, as discussed below.
3.1. Turbulence Statistics
Statistical techniques provide a methodology to analyse the average turbulence characteristics, enabling us to obtain an overall picture of the homogeneity and isotropy of flow. In the present study, we investigate the level of homogeneity and intensity of perforated-plate-induced turbulence by inspecting variations in the local time-averaged velocity and streamwise turbulence intensity.
3.1.1. Velocity Profile
Instantaneous velocity measurements were taken in the X, Y, and Z directions simultaneously at a downstream distance of 10D using a three-dimensional hotwire. Instantaneous velocity in the streamwise direction can be expressed as a sum of its time-averaged value and the fluctuation about the mean, i.e., as follows:
where and are the time-averaged velocity and instantaneous fluctuating velocity in the X direction, respectively. The time average of the instantaneous velocities at a particular measuring location can be calculated as
where N = 106 is the number of instantaneous measurements, also called sampling number.
3.1.2. Turbulence Intensity
The root mean square (rms), or the standard deviation of the velocity fluctuations, is given as
The rms velocity, normalised by the cross-sectional-area-averaged velocity, gives the relative turbulence intensity as follows:
where is cross-sectional-area-averaged velocity. In this study, is the mean of the time-averaged streamwise velocities at the 81 locations across the measurement plane at 10D downstream of the perforated plate.
3.2. Fourier Transform
The Fourier transform of a function is given by
where and are time and frequency, respectively. The Fourier transform translates the input signal into the frequency domain for the entire time domain. Hence, it effectively expresses the signal’s frequency characteristics, whereas the temporal information of the flow field could not be found. The Fourier transform is applied to velocity fluctuation signal, . The Fourier power spectrum is obtained from the calculated Fourier coefficients using
The power spectrum depicts the distribution of the turbulent energy associated with the cascade of large to small vortical structures in the frequency domain.
3.3. Wavelet Analysis
The Fourier transform-based analysis is unable to articulate the local description of turbulence structures as information concerning the scales, positions, and directions associated with the flow field is missing. Here, wavelet transform becomes as an effective tool revealing information regarding both frequency and scale components and to analyse localised features present in the signal. Continuous wavelet transform (CWT) of a given time series is an integral transform defined as
where is wavelet function, which is essentially an oscillating function with zero mean well localised in both physical space and spectral space. Here, b denotes the translation, a is the scale, and is the basic wavelet function, also known as the mother wavelet. The wavelet spectrum gives the energy which is related to each time and frequency and is defined as
The discrete wavelet transform, defined as a subsample of the continuous wavelet, decomposes the signal into various levels
where j and k are the level and position coefficient defined as
The original signal s(t) undergoes an n-level wavelet decomposition to produce n + 1 output scales containing an approximate component An and n detailed components Dj as follows:
The pseudo frequency corresponding to each decomposition level is calculated according to
where is the scale, is the sampling period, and is the centre frequency of the wavelet.
The discrete wavelet spectrum is given by
The implementation of this wavelet transform-based methodology in the current study is discussed in the following section.
4. Results
The detection and characterisation of the coherent structures present in the two types of perforated-plate-induced turbulence—namely, OPP and CNPP—are realised by utilising the wavelet transform technique, and the results are presented in this section. As a part of our initial investigation, we compared the homogeneity levels and turbulence intensity at a downstream location of 10D past the perforated plate, corresponding to two values of Reynolds numbers, ReD (=, where D is hole diameter, ρ is air density, and μ is air dynamic viscosity) 18,700 and 28,400. Fourier transform is then employed to investigate the distribution of turbulence energy as a function of frequency. Finally, discrete and continuous wavelet analyses are performed on velocity signals to detect localised turbulent structures and to obtain a scale-based distribution of turbulence energy.
4.1. Velocity Profile
The contours of normalised streamwise time-averaged velocity / at 10D downstream of the perforated plate for the orificed perforated plate (OPP) and the converging-nozzle perforated plate (CNPP) are depicted in Figure 3. The maximum deviation of the local time-averaged velocity observed for the lower ReD with of 7.4 m/s is about 4% for both the OPP and the CNPP, as can be seen in Table 1 and Figure 3. At the higher ReD with a wind speed of 11 m/s, the downstream flow remained at the same level of homogeneity in the case of the OPP. At this wind speed, the spatial homogeneity downstream of the CNPP deteriorated with a maximum deviation of nearly 10%. This deterioration in homogeneity may be attributed to the effect of nozzle thickness on the nature of flow interactions that lead to turbulence generation by the CNPP. It appears that “squeezing” fluid particles through the nozzles at the higher wind speed significantly increased the inhomogeneity of the resulting flow. For the OPP counterpart, the essentially zero thickness has no nozzles for squeezing fluid particles. The orifices simply created intense wake–jet interactions that resulted in homogeneous turbulence.
Figure 3.
Normalised streamwise time-averaged velocity / at X/D = 10 downstream for OPP at (a) = 7.4 m/s and (b) 11.1 m/s, and for CNPP at (c) = 7.4 m/s and (d) 11.2 m/s.
Table 1.
Cross-sectional time-averaged velocity and turbulence intensity at X/D = 10.
4.2. Turbulence Intensity
The root-mean-squared (rms) velocity can be normalised by the cross-sectional-area-averaged velocity () to give the relative turbulence intensity. Figure 4 depicts the turbulence intensity (Tu) contours at 10D downstream of the perforated plate for the OPP and CNPP. It is evident from the plots that has higher magnitudes for the OPP than that of the CNPP. The turbulence intensity results are summarised in Table 1. At the lower studied wind speed with of 7.4 m/s, the cross-sectional-area-averaged turbulence intensity (Tumean) for the OPP case is 0.115, with the largest deviation of about 6%, whereas the Tumean value for the CNPP is 0.108 with a maximum variation of 9%; see Figure 4a,c. At the higher wind speed of 11 m/s, the Tumean value of the OPP is 0.116, 8% higher than that associated with the CNPP; see Table 1 and Figure 4. It is thus clear that the OPP, with zero thickness as far as the freestream wind is concerned, generates cleaner, more homogeneous, and isotropic turbulence. The physics behind this can be associated with the enhanced three-dimensionality of the flow structure in the developing region immediately downstream of the OPP [32] which increases the mixing rate and reduces the grid-shadow effect. Additionally, this is an indication of turbulence decay as the mean flow is essentially uniform and the turbulence has no significant source of sustained energy input. When turbulence is homogeneous and isotropic in nature, the flow is statistically invariant under translational or rotational changes, and it is convenient to work in Fourier or frequency space. Henceforth, we investigate the power spectrum of this fluctuating streamwise velocity using Fourier transform to understand the energy distribution over the frequency domain.
Figure 4.
Turbulence intensity (Tu) at X/D = 10 downstream for OPP at (a)
= 7.4 m/s and (b) 11.1 m/s, and for CNPP at (c) = 7.4 m/s and (d) 11.2 m/s.
4.3. Fourier Transform
Fast Fourier transform was applied to the streamwise velocity fluctuation signals to inspect the turbulent energy spectrum along the mean flow direction. Thus, power spectra of fluctuation velocity signals were invoked to reveal information regarding the turbulence kinetic energy associated with the cascade of large to small eddies.
A popular assumption considered while investigating grid-generated turbulence is that the flow field over a cross-section plane normal to the mean flow can be treated as uniform. Based on this assumption, the parameters investigated simply along the central axis can effectively reflect the turbulence characteristics of the full cross-section. However, the extent of lateral flow uniformity may not be the same for all cases and depends on grid geometry and configuration [3]. On a similar note, the Fourier transform is evaluated at the central measuring point to represent the characteristics of the entire measurement grid. Figure 5 shows the results of the fast Fourier transform (FFT) of the fluctuating streamwise velocity signal at the central measuring location. The initial, somewhat noisy, signal was filtered after transformation into the frequency domain. A Savitzky–Golay finite impulse filter (FIR) of the first order and a frame length of 999 Hz was used for this purpose [33].
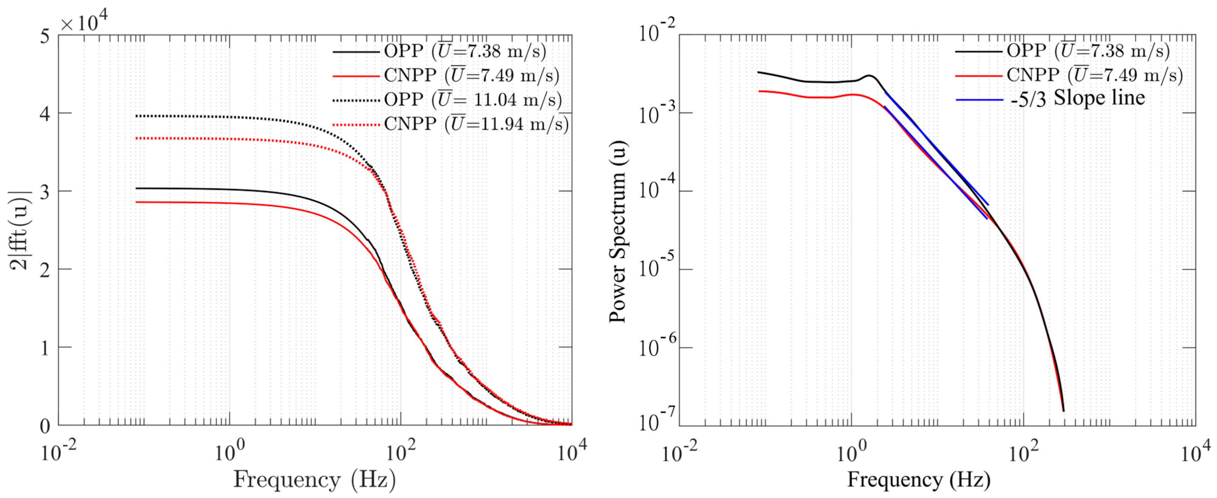
Figure 5.
Fourier transform at the centre point of the measurement grid at X/D = 10 D for the two perforated plates.
It is clear from Figure 5 that most of the turbulent energy lies predominantly in the lower frequency range, indicating the presence of large vorticial structures in the flow. This suggests that large eddies possess most of the energy of the turbulence, as frequency is inversely related to the size of the eddying motion. It can be observed that the amount of energy drops sharply with increasing frequency. At higher frequencies, the spectrum diminishes to virtually a zero value, signalling a huge dissipation of small eddies at the location. The power spectrum shifts to a higher value over the entire frequency range as the wind speed increases. Furthermore, the power spectrum for the OPP is significantly higher in comparison to the CNPP for frequencies f ≲ 50.2 Hz at the lower ReD and f ≲ 104.6 Hz at the higher ReD. At higher frequencies, this difference diminishes with plummeting kinetic energy content. Also worth noting is the occasional higher energy values for the CNPP in the moderate-frequency range f ≈ 140–800 Hz at the higher studied ReD. This behaviour of the spectrum substantiates the unique deviation of the velocity profile and turbulence intensity value in case of the CNPP at the higher ReD, discussed previously in Section 4.1 and Section 4.2.
4.4. Wavelet Analysis
Owing to its irregular nature, the flow turbulence characteristics fluctuate randomly in space and time domains, encompassing a wide range of eddying scales. Since the Fourier spectrum depicted in Figure 5 is restricted to the frequency domain, it is unable to identify or characterise time and space intermittencies of localised turbulent structures. Wavelet analysis decomposes a time series over a time–frequency space, thus enabling a better and more effective scrutiny of signal information than Fourier analysis. Wavelet transform can identify different frequency components of signals with sharper time resolution, disclosing the evolution of coherent structures in time. Furthermore, unlike the Fourier spectrum, the wavelet spectrum can handle local discontinuities existing in the flow field without having an effect on the entire spectrum [15].
To extract the signal characteristics accurately, it is very important to identify the best convolution between the signal and the wavelet function, often referred to as the “mother wavelet”. The mother wavelet is capable of deriving variations in the signal since it has a zero-mean value [20]. Numerous wavelet functions exist having a wave-like oscillatory construction which is suitable for multifarious applications. Although there is no standard technique for selecting the mother wavelet, one often used strategy is to employ a function with the same structure as the input signal. Various wavelet functions may be applied to the signal and the results compared to identify which one is optimal for a certain application [20,34]. In the present study, the Daubechies basis function (db7) and the Morlet wavelet function are chosen as the mother wavelets for discrete and continuous wavelet transform, respectively. The selection of these mother wavelets is based on their lucidity in presenting the trend of the signal and previous turbulence studies [20,34,35].
4.4.1. Discrete Wavelet Transform
Discrete wavelet transform was employed for the fluctuating velocity signal measured along the central point of the measurement grid at X/D = 10. The instantaneous fluctuating velocity signal is decomposed into the sum of various wavelet components at different scales using the seventh-order Daubechies wavelet function (db7) as the mother wavelet function. The processed fluctuating signal is first decomposed into a low-frequency approximation (A1) and a high-frequency detailed (D1) component at level 1. Furthermore, the approximated component A1 is subsequently decomposed into higher (detailed) and lower (approximated) frequency components at different levels, for a total of 10 levels. This results in the representation of the original signal as the sum of 11 output scales as expressed by Equation (12). The associated range of frequencies for the approximation and detail components of the discrete wavelet analysis were calculated from Equation (13) as summarised in Table 2.
Table 2.
Frequency range of different levels of discrete wavelet analysis.
Figure 6 shows the ten-level wavelet decompositions of the streamwise fluctuating velocity signal. The coefficients for time, t < 2 s, are shown for better visibility. The first velocity plot represents the time series of instantaneous fluctuating velocity signals, following which there are wavelet decomposition coefficients at different frequencies. The last approximation frequency component (depicted by the second line in Figure 6) with frequency fa ≈ 0–27 Hz is able to approximate the main features of the instantaneous velocity corresponding to the local propensity of departure from the mean value with time. The low-frequency undulations depicted by approximation coefficients indicate the presence of dominant large-scale coherent structures in the flow. The higher frequency components, i.e., detail coefficients, demonstrate the features of smaller-scale turbulence structures. The discrete wavelet transform of the fluctuating signal reveals that turbulence energy decreases continuously with increasing frequency from large-scale to small-scale vorticial structures. At moderate-frequency ranges, i.e., fa ≲ 866 Hz, the detail coefficients show higher fluctuation at a higher ReD value, clearly indicating low energy loss due to turbulent dissipation. This means that small-scale structures are still active in the flow alongside larger vortices at the higher studied wind speed. It can also be seen that the fluctuations associated with the OPP are relatively more vigorous than those of the CNPP. At very high frequencies, i.e., fa ≳ 6923 Hz, the detail coefficients clearly show some significant fluctuations for the higher studied ReD in the case of the CNPP, whereas the fluctuations for the OPP are hardly observed. This suggests that at the higher studied ReD, the CNPP-induced flow contains considerable number of large to small eddies, and that small-scale structures also possess a significant part of the turbulent energy due to less energy dissipation. However, in case of the OPP-induced flow, large and moderately sized eddies dominate due to the decay of very small-scale vortices.

Figure 6.
Discrete Wavelet Analysis for centre point of the measurement grid at X/D = 10 for OPP with (a) = 7.38 m/s and (b) = 11.04 m/s, and for CNPP with (c) = 7.49 m/s and (d) = 11.94 m/s. The units for the y-axis are m/s.
The total energy of scale a can be calculated as
The energy contribution of a different frequency (or scale) component is defined as the ratio between the energy of each level and total energy, and that is
Figure 7 depicts the relative or percentage energy contribution of each frequency component obtained from the discrete wavelet treatment of fluctuating velocity signals. The energy contribution of the approximate component (A10) for the OPP is higher in comparison to that for the CNPP in both ReD cases. At lower ReD, the percentage energy contribution of the approximate coefficient for the OPP has a value of 33.17% which is 1.31% greater than the CNPP contribution. Moreover, this difference increases at higher ReD, where the OPP’s approximate contribution is 2.34% higher than the CNPP’s. Due to this relatively high energy contribution at this lower frequency range (A10), the percentage contributions for higher frequency components (D10 to D1) for the OPP are less than those for the CNPP. However, it is important to state here that the percentage contribution of approximate coefficients for both perforated plate orientations decreases significantly by approximately 10% at higher ReD compared to lower ReD. This implies that a significant percentage of energy is distributed amongst small-to-moderate-scale turbulent structures at higher ReD, which confirms our earlier observation.
Figure 7.
Relative energy contributions of different frequencies at the centre point of the measurement grid at 10D downstream of the perforated plate for (a) lower wind speed of 7.4~7.5 m/s (or lower ReD) and (b) higher wind speed of 11.1~11.9 m/s (or higher ReD).
The detailed component energy contribution strictly decreases for OPP turbulence. At the lower studied ReD, the energy contribution for detail coefficients (D6–D9) of the OPP corresponding to frequencies 54 Hz ≲ fa ≲ 866 Hz, which is greater than that of the CNPP. The value becomes greater for the CNPP at higher frequencies and for the OPP at lower frequencies. However, at the higher studied ReD, the detail component energy contribution for the CNPP is strictly greater than that for the OPP at f ≳ 54 Hz, whereas it becomes less than that for the OPP at fa ≲ 54 Hz. We observe that the energy contribution of CNPP-induced turbulence peaks at detail coefficient D9, which corresponds to the frequency range 54 Hz ≲ fa ≲ 109 Hz. The percentage energy contribution of D9 for the CNPP attains a value of 18.47% and 19.69% for the studied low and high ReD, respectively, as shown in Figure 7. The significantly higher values of energy contribution for detail coefficients (D6–D1) at the higher studied ReD for the CNPP corroborates our previous deduction of the presence of the undissipated high-frequency structures and intense multiscale vortex–vortex interactions in the flow.
4.4.2. Continuous Wavelet Transform
Continuous wavelet transforms of the fluctuating velocity signal for both perforated plates are obtained at the central measurement point, utilising the Morlet wavelet function as the mother wavelet. The wavelet coefficients thus obtained are used to obtain the power spectrum from Equation (9). Here, it is worth mentioning that continuous wavelet analysis is crucial for scrutinizing coherent structures present which might have been overlooked while employing discrete wavelet transforms due to its dyadic nature.
Figure 8 shows the continuous wavelet spectrum at X/D = 10 over time and frequency (scale) domains obtained using MATLAB (2023a). The signal was studied for the entire 12.5 s time duration but only the 0.82 s time width is shown here to enhance the visibility. It should be mentioned that the scale in Figure 8 corresponds to the wavelet scaling as described by Equations (7) and (8), where increasing scale corresponds to a decreasing frequency. The coloration depicts the continuous wavelet energy spectrum as defined by Equation (9). Smaller wavelet energy magnitudes are depicted using dark blue regions in the spectrogram. The bright red regions correspond to higher wavelet energy, indicating intense turbulent events at that scale and position. Additionally, wider spectral bands along the time axis indicate large-scale coherent structure.
Figure 8.
Continuous wavelet spectrum for the velocity fluctuation signal at centre point of the measurement grid with X/D = 10 for OPP with (a) = 7.38 m/s and (b) = 11.04 m/s, and for CNPP with (c) = 7.49 m/s and (d) = 11.94 m/s.
At the lower studied ReD, the OPP shows more brighter regions with a few very dominant peaks at fa ≈ 16.26 Hz and t ≈ 2.23–2.78 s, as opposed to the CNPP, where the number of peaks is relatively less and apparently no dominant peaks are observed, as shown in Figure 8a,c. The magnitude of wavelet energy is higher for the OPP, indicating more intense coherent structures. For the OPP, most of the high-wavelet-energy region lies in the frequency range 12.1 Hz ≲ fa ≲ 28.9 Hz, showing that the large-scale coherent structures possess most of the energy. A high-energy region for the CNPP is observed at a very low-frequency value, fa ≲ 4.2 Hz, and this mainly corresponds to the cone of influence region of the spectrogram (i.e., region of the wavelet spectrum in which the edge effect is significant and calculated values are not reliable). The turbulent bursts for both plates are regularly distributed along the time axis, which means that the coherent structures are quasi-static and mostly non-intermittent in nature.
At the higher studied ReD, the number of brighter (high-energy) regions is significantly higher for both plates, as shown in Figure 8b,d, implying that the flow contains numerous localised coherent structures. The wavelet energy is distributed across the scale, indicating suppression of turbulence decay. A few very high-energy regions can be observed for the OPP at 17.12 Hz ≲ fa ≲ 30.34 Hz, t ≈ 5.85–6.23 s, and at 56.88 Hz ≲ fa ≲ 103.2 Hz, t ≈ 5.85–6.23 s. This shows that significant energy is possessed by moderate-to-large-scale structures. The number of high-energy regions in the higher frequency region increases for CNPP due to small-to-moderate-scale turbulent bursts. This explains the observations of Fourier results in the mid-range frequencies and substantiates discrete wavelet transform outcomes for this case (see Section 4.3 and Section 4.4.1). The maximum value of the wavelet energy spectrum is 6207 m2s−2 and 3421 m2s−2 for the OPP and CNPP, respectively. This shows that turbulence is more intense for the OPP. The high-energy region (turbulent bursts) is regularly distributed along the time axis for the OPP while it is sporadic for the CNPP. Thus, we conclude that at higher ReD, turbulence is more intense, and non-intermittent for the OPP in comparison to the CNPP, where multi-scale coherent structures are sporadically present in the flow.
5. Conclusions
Velocity signals across the cross-section were measured at X/D = 10 downstream of a turbulence generator using a 3-D hotwire inside a wind tunnel. Two types of perforated plates, an OPP and CNPP, were utilised as the turbulence generator. The perforated plate was mounted at the entrance to the test section, and experiments were carried out at ReD of 18,700 and 28,400. The measured turbulent flow was scrutinised using statistical methods and spectral and wavelet analyses to perform a comparative study of the homogeneity level, energy cascade, and nature of coherent structures for both plates. The conclusions drawn from the analysis are presented below.
The normalised streamwise time-averaged velocity profiles suggest that both the OPP and CNPP can produce homogeneous turbulence flow at the lower studied ReD. The relatively thick converging holes of the CNPP become more noticeable at the higher ReD, resulting in 10% from . Spatial- and temporal-averaged turbulence intensity (Tumean) reveals that the OPP can produce more intense and homogeneous turbulence compared to the CNPP.
The power spectrum from Fourier analysis confirms that a dominant share of the kinetic energy is associated with the large eddies for both plates. For low frequencies (large eddies), the spectrum for the CNPP lies below the OPP values, bespeaking relatively more energetic large vortical structures are present in OPP-induced turbulence. At the higher studied ReD of 28,400, the kinetic energy associated with the moderate frequencies, f ≈ 140–800 Hz, produced by the CNPP somewhat exceeds that of the OPP counterpart.
Wavelet analysis decomposes a time series over a time–frequency space, allowing for a more thorough and comprehensive examination of signal information than Fourier analysis. Discrete wavelet transform is used on the fluctuating velocity signal to evaluate the corresponding energy contribution of frequency components. At very high frequencies, i.e., fa ≳ 6923 Hz, the detail coefficients clearly show some significant fluctuations in the CNPP with ReD = 28,400 case, whereas the fluctuations for the OPP are hardly observed. The higher percentage energy contribution for the detailed component for the CNPP over a wide range of frequencies confirms that small-scale eddies have not yet fully decayed at 10D downstream, and energy is distributed from small-scale to large-scale eddies in the case of the CNPP.
Continuous wavelet spectrum provides a clear picture of energy distribution between multi-scale localised structures in the time–frequency space. At lower ReD, the most turbulent bursts lie in the low-frequency range for both plates, with some prominent localised intense-energy regions observed for the OPP at fa ≲ 28.9. These turbulent bursts are regularly distributed in the time domain, which means that the coherent structures are quasi-static and mostly non-intermittent in nature. However, at higher ReD, turbulence is more intense and non-intermittent for the OPP owing to higher energy magnitudes and a more regular distribution of coherent structures in comparison to the CNPP, where multi-scale coherent structures are sporadically present in the flow.
Wavelet analyses revealed sporadic bursts of intense energy over the intermediate range of the turbulence energy cascade produced by the CNPP. This appears to contribute to notable intermittencies and hence inhomogeneity, especially at the higher wind speed. The origin of these intermittent fluctuations is speculated to be associated with the converging channels (nozzles) of the CNPP. Note that the “zero-thickness” orificed perforated plate furnishes no such venue for the spawning of these sporadic flow events.
Author Contributions
Conceptualization, D.S.-K.T.; methodology, A.R. and Y.Y.; software, A.R.; validation, A.R., Y.Y. and D.S.-K.T.; formal analysis, A.R.; investigation, A.R. and D.S.-K.T.; resources, D.S.-K.T.; data curation, Y.Y.; writing—original draft preparation, A.R.; writing—review and editing, D.S.-K.T.; visualization, A.R.; supervision, D.S.-K.T.; project administration, D.S.-K.T.; funding acquisition, D.S.-K.T. All authors have read and agreed to the published version of the manuscript.
Funding
This research was funded by Natural Sciences and Engineering Research Council of Canada grant number [RGPIC 2018-209658]. The lead author was funded by MITACS Globalink.
Data Availability Statement
The data presented in this study are available on request from the corresponding author.
Conflicts of Interest
The authors declare no conflict of interest.
Nomenclature
| Ai | Approximation part of the signal at level i |
| a | Scale |
| b | Translation |
| CNPP | Converging-nozzle perforated plate |
| Continuous wavelet transform of a signal s(t) at scale a and space b | |
| D | Grid hole diameter (m) |
| Di | Detail part of the signal at level i |
| Discrete wavelet transform of a signal s(t) at level j and position k | |
| f | Frequency (Hz) |
| fa | Pseudo frequency (Hz) |
| Centre frequency of the wavelet (Hz) | |
| Sampling frequency (Hz) | |
| j | Level of the wavelet |
| k | Position coefficient |
| N | Sampling number |
| OPP | Orificed perforated plate |
| Fourier spectrum | |
| ReD | Reynolds number |
| SHPP | Straight holes with finite-thickness perforated plate |
| Sampling period (s) | |
| Turbulence intensity | |
| Cross-sectional-area-averaged turbulence intensity | |
| Instantaneous velocities (m/s) | |
| Cross-sectional-area-averaged velocity (m/s) | |
| Time-averaged velocity (m/s) | |
| Instantaneous fluctuating velocity (m/s) | |
| Root-mean-squared velocity (m/s) | |
| Wavelet function |
References
- Taylor, G.I. Statistical Theory of Turbulence. In Proceedings of the Royal Society A: Mathematical, Physical and Engineering Sciences; Royal Society: London, UK, 1935; Volume 151, pp. 421–444. [Google Scholar]
- Batchelor, G.K. Energy decay and self-preserving correlation functions in isotropic turbulence. Q. Appl. Math. 1948, 6, 97–116. [Google Scholar] [CrossRef][Green Version]
- Batchelor, G.K.; Townsend, A.A. Decay of isotropic turbulence in the initial period. In Proceedings of the Royal Society A: Mathematical, Physical and Engineering Sciences; Royal Society: London, UK, 1948; Volume 193, pp. 539–558. [Google Scholar]
- Batchelor, G.K.; Townsend, A.A. Decay of vorticity in isotropic turbulence. In Proceedings of the Royal Society A: Mathematical, Physical and Engineering Sciences; Royal Society: London, UK, 1947; Volume 190, pp. 534–550. [Google Scholar]
- Hinze, J.O. Turbulence; McGraw-Hill: New York, NY, USA, 1959. [Google Scholar]
- Ting, D.S.-K. Basics of Engineering Turbulence; Academic Press: New York, NY, USA, 2016. [Google Scholar]
- Tresso, R.; Munoz, D.R. Homogeneous, isotropic flow in grid generated turbulence. J. Fluids Eng. 2000, 122, 51. [Google Scholar] [CrossRef]
- Uberoi, M.S.; Wallis, S. Effect of grid geometry on turbulence decay. Phys. Fluids 1967, 10, 1216. [Google Scholar] [CrossRef]
- Liu, R.; Ting, D.S.-K.; Rankin, G.W. On the generation of turbulence with a perforated plate. Exp. Therm. Fluid Sci. 2004, 28, 307–316. [Google Scholar] [CrossRef]
- Liberzon, A.; Gurka, R.; Sarathi, P.; Kopp, G.A. Estimate of turbulent dissipation in a decaying grid turbulent flow. Exp. Therm. Fluid Sci. 2012, 39, 71–78. [Google Scholar] [CrossRef]
- Liu, R.; Ting, D.S.-K. Turbulent flow downstream of a perforated plate: Sharp-edged orifice versus finite-thickness holes. J. Fluids Eng. 2007, 129, 1164. [Google Scholar] [CrossRef]
- Saffman, P.G. The large-scale structure of homogeneous turbulence. J. Fluid Mech. 1967, 27, 581. [Google Scholar] [CrossRef]
- George, W.K. The decay of homogeneous isotropic turbulence. Phys. Fluids A Fluid Dyn. 1992, 4, 1492–1509. [Google Scholar] [CrossRef]
- Robinson, S.K. Coherent motions in the turbulent boundary layer. Annu. Rev. Fluid Mech. 1991, 23, 601–639. [Google Scholar] [CrossRef]
- Farge, M. Wavelet transforms and their applications to turbulence. Annu. Rev. Fluid Mech. 1992, 24, 395–458. [Google Scholar] [CrossRef]
- Mohamed, M.S.; Larue, J.C. The decay power law in grid-generated turbulence. J. Fluid Mech. 1990, 219, 195. [Google Scholar] [CrossRef]
- Morlet, J.; Arens, G.; Fourgeau, E.; Giard, D. Wave propagation and sampling theory—Part II: Sampling theory and complex waves. Geophysics 1982, 47, 222–236. [Google Scholar] [CrossRef]
- Goupillaud, P.; Grossmann, A.; Morlet, J. Cycle-octave and related transforms in seismic signal analysis. Geoexploration 1984, 23, 85–102. [Google Scholar] [CrossRef]
- Rinoshika, A.; Rinoshika, H. Application of multi-dimensional wavelet transform to fluid mechanics. Theor. Appl. Mech. Lett. 2020, 10, 98–115. [Google Scholar] [CrossRef]
- Mouri, H.; Kubotani, H.; Fujitani, T.; Niino, H.; Takaoka, M. Wavelet analyses of velocities in laboratory isotropic turbulence. J. Fluid Mech. 1999, 389, 229–254. [Google Scholar] [CrossRef]
- Rinoshika, A.; Watanabe, S. Orthogonal wavelet decomposition of turbulent structures behind a vehicle external mirror. Exp. Therm. Fluid Sci. 2010, 34, 1389–1397. [Google Scholar] [CrossRef]
- Li, H.; Nozaki, T. Wavelet analysis for the plane turbulent jet: Analysis of large eddy structure. JSME Int. J. Ser. B Fluids Therm. Eng. 1995, 38, 525–531. [Google Scholar] [CrossRef]
- Gilliam, X.; Dunyak, J.; Doggett, A.; Smith, D. Coherent structure detection using wavelet analysis in long time-series. J. Wind. Eng. Ind. Aerodyn. 2000, 88, 183–195. [Google Scholar] [CrossRef]
- Mallat, S.G. A theory for multiresolution signal decomposition: The wavelet representation. IEEE Trans. Pattern Anal. Mach. Intell. 1989, 11, 674–693. [Google Scholar] [CrossRef]
- Li, H.; Hu, H.; Kobayashi, T.; Saga, T.; Taniguchi, N. Visualization of multi-scale turbulent structure in lobed mixing jet using wavelets. J. Vis. 2001, 4, 231–238. [Google Scholar] [CrossRef][Green Version]
- Li, H.; Hu, H.; Kobayashi, T.; Saga, T.; Taniguchi, N. Wavelet multiresolution analysis of stereoscopic particle-image-velocimetry measurements in lobed jet. AIAA J. 2002, 40, 1037–1046. [Google Scholar] [CrossRef][Green Version]
- Rinoshika, H.; Rinoshika, A.; Wang, J.-J.; Zheng, Y. 3D flow structures behind a wall-mounted short cylinder. Ocean. Eng. 2021, 221, 108535. [Google Scholar] [CrossRef]
- Rinoshika, H.; Rinoshika, A.; Wang, J.-J. Three-dimensional multiscale flow structures behind a wall-mounted short cylinder based on tomographic particle image velocimetry and three-dimensional orthogonal wavelet transform. Phys. Rev. E 2020, 102. [Google Scholar] [CrossRef]
- Xu, C.-X.; Li, L.; Cui, G.-X.; Zhang, Z.-S. Multi-scale analysis of near-wall turbulence intermittency. J. Turbul. 2006, 7, N25. [Google Scholar] [CrossRef]
- Zheng, Y.; Fujimoto, S.; Rinoshika, A. Combining wavelet transform and POD to analyze wake flow. J. Vis. 2015, 19, 193–210. [Google Scholar] [CrossRef]
- Yang, Y.; Ting, D.S.-K.; Ray, S. Perforated-plate turbulence: Orifice versus converging nozzle. In Proceedings of the ASME 2018 5th Joint US-European Fluids Engineering Division Summer Meeting, Montreal, QC, Canada, 15–20 July 2018; Volume 1. [Google Scholar]
- Mi, J.; Nathan, G.J.; Nobes, D.S. Mixing characteristics of axisymmetric free jets from a contoured nozzle, an orifice plate and a pipe. J. Fluids Eng. 2001, 123, 878. [Google Scholar] [CrossRef]
- Heckmeier, F.M.; Hayböck, S.; Breitsamter, C. Spatial and temporal resolution of a fast-response aerodynamic pressure probe in grid-generated turbulence. Exp. Fluids 2021, 62. [Google Scholar] [CrossRef]
- Kellnerova, R.; Kukacka, L.; Jurcakova, K.; Uruba, V.; Janour, Z. Comparison of wavelet analysis with velocity derivatives for detection of shear layer and vortices inside a turbulent boundary layer. J. Phys. Conf. Ser. 2011, 318, 062012. [Google Scholar] [CrossRef]
- Kadoch, B.; Iyer, K.; Donzis, D.; Schneider, K.; Farge, M.; Yeung, P.K. On the role of vortical structures for turbulent mixing using direct numerical simulation and wavelet-based coherent vorticity extraction. J. Turbul. 2011, 12, N20. [Google Scholar] [CrossRef]
Disclaimer/Publisher’s Note: The statements, opinions and data contained in all publications are solely those of the individual author(s) and contributor(s) and not of MDPI and/or the editor(s). MDPI and/or the editor(s) disclaim responsibility for any injury to people or property resulting from any ideas, methods, instructions or products referred to in the content. |
© 2024 by the authors. Licensee MDPI, Basel, Switzerland. This article is an open access article distributed under the terms and conditions of the Creative Commons Attribution (CC BY) license (https://creativecommons.org/licenses/by/4.0/).