Next Article in Journal
A New Indicator for Measuring Efficiency in Urban Freight Transportation: Defining and Implementing the OEEM (Overall Equipment Effectiveness for Mobility)
Previous Article in Journal
Renewable-Aware Frequency Scaling Approach for Energy-Efficient Deep Learning Clusters
 
 
Font Type:
Arial Georgia Verdana
Font Size:
Aa Aa Aa
Line Spacing:
Column Width:
Background:
Article

Study on the Time Domain Semi Analytical Method for Horizontal Vibration of Pile in Saturated Clay

School of Railway Technicail, Lanzhou Jiaotong University, Lanzhou 730070, China
*
Author to whom correspondence should be addressed.
Appl. Sci. 2024, 14(2), 778; https://doi.org/10.3390/app14020778
Submission received: 4 December 2023 / Revised: 12 January 2024 / Accepted: 12 January 2024 / Published: 16 January 2024

Abstract

Under the framework of Biot porous media theory, a fractional order Kelvin model is used to describe the rheological effects of soil skeletons, and a coupled vibration model of saturated clay and a pile foundation is constructed. The Laplace transform is used to derive the analytical solution of the control equation in the transformation domain, and then the time–domain solution is obtained through numerical inversion. By analyzing numerical examples, the displacement and internal force response of pile foundations under horizontal vibration loads, as well as the influence of parameters, are studied. The results show that the displacement and internal force response of pile foundation vibrations in saturated clay foundations have a delayed effect. The stronger the rheological properties of the foundation soil, the more obvious the delay, the lower the load frequency, and the more significant the influence of the rheological properties on the delayed effect. The stronger the rheological properties of the soil, the smaller the displacement amplitude of the pile foundation vibration, and the higher the load frequency, the greater the decrease in displacement amplitude. The stronger the rheological properties of the soil, the smaller the positive bending moment of the pile body, while the negative bending moment increases. Both positive and negative shear forces increase, but the shear force at the top of the pile is not affected. Therefore, when designing pile foundations in saturated clay foundations, it is necessary to appropriately increase the pile foundation or increase the reinforcement to meet the shear resistance of the pile foundation. The results of this study can provide a valuable reference for geotechnical and seismic engineers in pile foundation design.

1. Introduction

Saturated clay is a typical weak soil that cannot be directly used as a bearing foundation for structures. Therefore, in practical engineering, pile foundations are usually used to pass through saturated clay layers to directly transmit loads to the actuating layer, while pile foundations are buried in saturated clay. During the service process, pile foundations not only need to bear the vertical loads transmitted by the upper structure but also bear various horizontal dynamic loads, such as environmental vibration, earthquakes, and impacts [1,2,3,4,5]. Therefore, the horizontal vibration response of pile foundations has always been a key issue of concern in engineering. At present, the design and analysis methods for the bearing capacity of pile foundations are very mature, while dynamic analysis is still in the development stage. Amin [6] established a coupled three-dimensional dynamic analysis model for piles in a liquefied foundation, studied the dynamic characteristics of piles, and analyzed the reliability of the model under dynamic loads using centrifugal tests. J.M. [7] studied the influence of seismic body wave types and their incidence angles on the dynamic response of pile foundations. Nguyen [8] used numerical simulation methods to simulate the dynamic behavior of soil, pile foundations, and structures under seismic excitation while considering the seismic performance of buildings located on soft soil. Kaustav [9] used finite difference software to analyze the deflection and bending moment behavior along the pile length in non liquefied and liquefied soils under seismic loading conditions, and studied the horizontal and vertical inertial interactions as well as the kinematic interactions caused by free field motion. Kamel [10] used numerical simulation methods to study the response of adjacent pile foundations, strong grouting protection, and soil interactions induced by tunnel construction. It can be seen that further research on the horizontal vibration characteristics of pile foundations in saturated clay is of great significance for engineering construction, seismic resistance, and the safe service of saturated clay sites.
Based on the Biot porous medium theory, scholars, such as Jin [11], have conducted many studies on the horizontal vibration characteristics of pile foundations in saturated soil. According to the mixed boundary value conditions, the dual integral equations of the horizontal vibration of a rigid disk on a saturated poroelastic half-space are established, analytically examining the horizontal vibration of a rigid disk on a saturated poroelastic half-space. The dynamic response of pile groups partially buried in layered saturated soil under horizontal harmonic loads was studied [12]. The Winkler model was used to derive the soil–pile dynamic interaction factor. Based on the dynamic interaction factor, the horizontal impedance of the pile group was obtained using the superposition principle, providing a valuable reference for geotechnical and seismic engineers in pile foundation design. Zhang [13] developed a simplified analytical solution for the impedance function of viscoelastic pile groups partially embedded in a layered, transversely isotropic, liquid-saturated, viscoelastic soil medium under a vertical time-harmonic load. Liang [14] provided a closed-form solution for the horizontal vibration of pipe piles in saturated soil, considering radial heterogeneity effects. Liu [15] made beneficial extensions to the horizontal vibration of piles in saturated soil by considering the variable cross-section and defects of the pile body. In addition, Hu [16] studied the horizontal vibration of partially buried piles for offshore structures. In the latest reported study, Zou [17] derived the dynamic impedance frequency domain analytical formula for horizontal vibrations of pile foundations in unsaturated soil using integral equation theory. Cui [18] studied the frequency domain response of horizontal vibrations of a single pile, considering the non-uniformity of the soil around the pile. Xu [19] conducted vibration table experiments to test the vibration response of pile foundations in clay foundations. The above research has made important contributions toward revealing the dynamic impedance and frequency domain characteristics of horizontal vibrations of pile foundations in saturated soil. However, it can also be seen that the above studies all use frequency domain analysis methods and obtain steady-state solutions without considering the viscous rheology of saturated soil.
In practical engineering, soil particles undergo rearrangement and skeleton dislocation under load, resulting in significant rheological properties (relaxation, creep) [20,21,22]. Rheology leads to a time-dependent stress–strain relationship in the soil and also alters the time–domain response of pile foundation vibrations. To investigate the time–domain response of pile foundation horizontal vibrations under the influence of saturated clay rheological effects, this paper uses a fractional order Kelvin rheological model to describe the stress–strain relationship of the soil skeleton, establishes a coupled vibration model of saturated clay and pile foundation, and uses Laplace transform to solve the control equation to obtain a semi-analytical time–domain solution. Based on case analysis, the displacement and internal force response of pile foundations in a saturated clay foundation under horizontal vibration loads were studied, and the influence of soil physical parameters was discussed.

2. Mechanical Model

2.1. Fractional Order Kelvin Model

The classic Kelvin model is composed of a spring element K and a Newton dashpot N in parallel, as shown in Figure 1. The fractional Kelvin rheological model is obtained by replacing the Newton dashpot with the Abel dashpot in the classical Kelvin model [23], and the constitutive equation is described as:
σ t = E s ε t + η a ε t t a
where σ and ε are stress and strain, as functions of the time coordinate t; Es is the elastic modulus of spring element K; and η and a are the viscosity coefficient and viscous order of Abel dashpot N, respectively. Equation (1) shows that the dashpot N will degenerate into a linear elastic solid in the case of a = 0 and degenerate into an ideal Newtonian fluid in the case of a = 1. In the general case of 0 < a < 1, dashpot N represents a viscoelastic solid, and the value of a represents the proportion of solid properties to fluid properties [24].
The Laplace transform is introduced for a time–domain function f(t) as follows:
f ^ ( s ) = 0 f ( t ) e s t d t f ( t ) = 1 2 π i ς i ς + i f ^ ( s ) e s t d s
where f ^ s is the Laplace transform function corresponding to the function f t , s is the transform parameter of the time coordinate t, ζ is any real number, and i = 1 is the imaginary unit.
Using Equation (2) to perform the Laplace transform on Equation (1), we obtain
σ ^ s = E s + η s a ε ^
Equation (3) reflects the stress–strain relationship in the Laplace transform domain with a complex modulus E ^ = E s + η s a . Equation (3) is expanded to a three-dimensional stress state and written in tensor form as
σ ^ = λ s θ ^ I + 2 μ s ε ^
where σ ^ and ε ^ are stress and strain tensors, θ ^ is volumetric strain, I is a three-order identity matrix, and λ and μ are the Lamé constants. According to the definition, the expression of λ and μ can be obtained as
λ s = v E s + η s a 1 + v 1 2 v μ s = E s + η s a 2 1 + v
where v is the Poisson’s ratio.

2.2. Horizontal Coupled Vibration Model of Pile Soil

As shown in Figure 2, end-bearing piles are buried in a saturated clay foundation using a cylindrical coordinate system (r-θ-z) to build a pile–soil coupling system model. The bottom of the pile is a fixed end, with a pile length of H and a pile diameter of r0. The pile top is subjected to a sinusoidal horizontal vibration load P(t), which is defined as:
P ( t ) = P 0 sin ω t
In the formula, P0 is the load amplitude, ω is the load frequency. Introducing the Laplace transform of time t into Equation (6), the expression of cyclic load in the Laplace transform domain is obtained as:
P ^ ( s ) = P 0 ω s 2 + ω 2
where P ˜ s is the Laplace transformation of P(t), and s is the transformation parameter.
For the problem of horizontal vibration, ignoring the vertical displacement of the soil, the motion equation of saturated clay in the cylindrical coordinate system is:
σ a = ρ u ¨ + ρ f w ¨
p = ρ f u ¨ + ρ f n w ¨ + γ w k f w ˙
where u is the displacement tensor of the soil skeleton, w is the relative displacement between the pore water and the soil skeleton, ρ denotes the bulk density of the porous material, and ρ = (1 − n)ρs + f. n is the porosity, and ρs and ρf are the density of the soil skeleton and pore water, respectively. In addition, kf is the permeability coefficient of the soil. γw = ρf g is the gravity density of the pore water, where g denotes the gravitational acceleration, ▽ represents the Hamiltonian operator, and = r + 1 r φ + z in the cylindrical coordinate system. σa is the total stress tensor on the porous material unit, and p is the pore water pressure. Taking compressive stress as the positive direction, the principle of effective stress is expressed as
σ a = σ α s p I
where σ′ is the effective stress tensor of the soil skeleton, and αs is the Biot–Willis coefficient.
The seepage continuity equation is expressed as
p ˙ = α s M u ˙ + M w ˙
where M is a Biot coefficient to describe the compressibility of the pore water; the superscript “·” represents the first-order differential of time.
The fractional order Kelvin model is introduced into the soil skeleton; that is, the effective stress σ′ satisfies Equation (4). Substituting Equations (4) and (10) into Equation (8) and then performing Laplace transform, the following equation can be derived:
μ 2 u ^ + λ + μ θ ^ α s ρ f + ρ s 2 u ^ α s K d + ρ f s 2 w ^ = 0
where K d = ρ f s 2 / n + γ w s / k f .
Due to the study of horizontal vibrations of pile foundations in this article, the pile top pressure and constraint stiffness can be ignored. Considering the influence of the pile shear effect, the Timoshenko beam model is used to establish the pile foundation motion equation as follows:
G p S φ p z 2 u p z 2 + ρ p S 2 u p t 2 + q = 0
G p S φ p u p z + ρ p I p 2 φ p t 2 E p I p 2 φ p z 2 = 0
where u p and φ p are the horizontal and angular displacements; Ep, Gp, Ip, S, ρP are the elastic modulus, shear modulus, interface moment of inertia, cross-sectional area, and density, respectively; and q is the load concentration of pile–soil interaction.
The initial condition for the pile–soil system is:
u r , u θ , p , u p , φ p , q t = 0 = 0
Considering that the surface is free and completely permeable, the boundary condition of the soil on the surface is:
u r / z , p = 0 z = 0 = 0
The boundary condition of the soil at radial infinity is:
u r , u θ , p r = 0
The boundary condition of the soil on the top surface of the bedrock is:
u r , u θ z = H = 0
This article considers the problem of small deformation vibrations. Assuming that the pile–soil is in complete contact and the contact surface is impermeable, the boundary conditions of the pile–soil interface are:
u r r = r 0 = u p cos θ , u θ r = r 0 = u p sin θ
p / r r = r 0 = 0
The boundary conditions for the free end of the pile top are:
E P I P φ p / z z = 0 = 0 G p S φ p u p / z z = 0 = P
The boundary condition for the fixed end of the pile bottom is:
u p , φ p z = H = 0

3. Equation Solving

3.1. Solving the Control Equation of Saturated Clay Movement

By introducing potential functions ϕ s , ψ s , ϕ f , ψ f and Helmholtz decomposition of the soil skeleton displacement and water displacement, we obtain
u r = ϕ s r + 1 r ψ s θ , u θ = 1 r ϕ s θ ψ s r w r = ϕ f r + 1 r ψ f θ , w θ = 1 r ϕ f θ ψ f r
Substituting Equation (23) into Equations (11) and (12) and organizing it, we obtain:
L 2 ϕ s ρ s 2 ϕ s + μ 2 ϕ s z 2 + α M 2 ϕ f ρ f s 2 ϕ f = 0 2 ψ s ρ s 2 μ ψ s + 2 ψ s z 2 ρ f s 2 μ ψ f = 0 α M 2 ϕ s ρ f s 2 α M ϕ s + 1 α 2 ϕ f N ϕ f = 0 s ψ s + g / k f + s / n ψ f = 0
where L = λ + 2 μ + α 2 M , N = g n + s k f ρ f s / α M n k f .
Using the method of separating variables to solve Equation (24),
ϕ s = Φ s ( r , θ , s ) T 1 ( z ) , ϕ f = Φ f ( r , θ , s ) T 1 ( z ) ψ s = Ψ s ( r , θ , s ) T 2 ( z ) , ψ f = Ψ f ( r , θ , s ) T 2 ( z )
Substituting Equation (25) into Equation (24) and using boundary condition Equations (16)–(18), we obtain the general solutions of T1(z) and T2(z) as follows [16]:
T 1 ( z ) = A 1 e γ k z + e γ k z T 2 ( z ) = A 2 e γ k z + e γ k z Φ s ( r , θ , s ) = A 3 K 1 β 1 r + A 4 K 1 β 2 r cos θ Φ f ( r , θ , s ) = A 3 ε 1 K 1 β 1 r + A 4 ε 2 K 1 β 2 r cos θ Ψ s ( r , θ , s ) = A 5 K 1 β 3 r sin θ Ψ f ( r , θ , s ) = A 5 ε 3 K 1 β 3 r sin θ
In the equation, γk = (2k − 1)/(2H), k = 1, 2, 3; K1() represents the Bessel function of the second type of first-order imaginary argument, with A1~A5 as undetermined coefficients; β1, β2, β3 and ε1, ε2, ε3 are all known functions related to s, and the specific form is shown in Appendix A. Substituting Equation (26) into Equation (25) yields:
ϕ s = B 1 K 1 β 1 r + B 2 K 1 β 2 r cos θ ch γ k z ϕ f = B 1 ε 1 K 1 β 1 r + B 2 ε 2 K 1 β 2 r cos θ ch γ k z ψ s = B 3 K 1 β 3 r sin θ ch γ k z ,   ψ f = ε 3 ψ s
where ch() represents the hyperbolic cosine function, and B1, B2, and B3 are the reorganized undetermined coefficients.
Substituting Equation (27) into Equation (23) yields the displacement solution of the soil skeleton and water in the Laplace transform domain in saturated soil:
u ˜ r = B 1 K 1 β 1 r r + B 2 K 1 β 2 r r + 1 r B 3 K 1 β 3 r cos θ ch γ k z u ˜ θ = B 1 r K 1 β 1 r B 2 r K 1 β 2 r B 3 K 1 β 3 r r sin θ ch γ k z
w ˜ r = ε 1 B 1 K 1 β 1 r r + ε 2 B 2 K 1 β 2 r r + ε 3 r B 3 K 1 β 3 r cos θ ch γ k z w ˜ θ = ε 1 B 1 r K 1 β 1 r ε 2 B 2 r K 1 β 2 r ε 3 B 3 K 1 β 3 r r sin θ ch γ k z
Using Equation (11), the pore pressure in the Laplace domain is obtained as:
p ^ = α M u ^ r r + 1 r u ^ θ θ M u ^ r r + 1 r u ^ θ θ
Substituting boundary condition Equations (16) and (20) into Equation (30), we obtain:
B 2 = κ 1 B 1 , B 3 = κ 2 B 1
where κ1, κ2 are known coefficients, and the specific expression is shown in Appendix A.
According to the stress balance conditions at the pile–soil interface, there are:
q ^ = 0 2 π μ u ^ θ r + 1 r u ^ r θ u ^ θ r sin θ λ u ^ r r + 1 r u ^ θ θ + 2 μ u ^ r r p ^ cos θ r d θ
Substituting Equations (28)–(30) into Equation (32) and taking r = r0, the load concentration of the pile–soil interaction is obtained as:
q ^ = π r 0 B 1 ch γ k z L α α 2 + ε 1 M β 1 2 K 1 β 1 r 0 + L α α 2 + ε 2 M κ 1 β 2 2 K 1 β 2 r 0 + μ κ 2 β 3 2 K 1 β 3 r 0

3.2. Solution of Pile Foundation Vibration Equation

Performing Laplace transformation on Equations (13) and (14), we obtain:
G p S φ ^ p z 2 u ^ p z 2 + ρ p S s 2 u ^ p + q ^ = 0 G p S φ ^ p u ^ p z + ρ p I p s 2 φ ^ p E p I p 2 φ ^ p z 2 = 0
By using Equation (34), it can be obtained that:
φ ^ p z = 2 u ^ p z 2 ρ p s 2 G p u ^ p q ^ G p S u ^ p z = φ ^ p + ρ p I p s 2 G p S φ ^ p E p I p G p S 2 φ ^ p z 2
Taking the partial derivative of z on both sides of Equation (34) and then substituting Equation (35) to compile the decoupled pile foundation motion equation:
4 u ^ p z 4 + C 1 2 u ^ p z 2 + C 2 u ^ p 1 G p S 2 q ^ z 2 + ρ p s 2 G p S E p + 1 E p I p q ^ = 0 4 φ ^ p z 4 + C 1 2 φ ^ p z 2 + C 2 φ ^ p + 1 E p I p q ^ z = 0
The general solution of the fourth-order ordinary differential Equation (36) is [25]:
u ^ p = D 1 cos χ 1 z + D 2 sin χ 1 z + D 3 ch χ 2 z + D 4 sh χ 2 z + Q 1 φ ^ p = D 5 cos χ 1 z + D 6 sin χ 1 z + D 7 ch χ 2 z + D 8 sh χ 2 z + Q 2
where sh() represents a hyperbolic sine function, and D1~D8 are undetermined coefficients; Q1 and Q2 are a set of special solutions to Equation (34). In Equations (36) and (37), the expressions for χ1, χ2, C1, C2, Q1, and Q2 can be found in Appendix A.
From the relationship neutralized by Equation (37), it can be obtained that:
D 5 = η 1 D 1 , D 6 = η 2 D 2 D 7 = η 3 D 3 , D 8 = η 4 D 4
where η1~η4 are known coefficients, and the specific form is shown in Appendix A.
Using the pile–soil contact coupling condition Equation (19) and the pile end boundary condition Equations (21) and (22), five boundary equations were constructed to determine the undetermined coefficients B1 and D1D4. At this point, the displacement field, stress field, and pore pressure of the pile–soil system have been determined. Combining the initial condition Equation (15) for Laplace inversion, a time–domain numerical solution is obtained. To ensure the accuracy of the long-term inversion, the Crump method [26,27] is used for Laplace inversion in this paper.

4. Example Analysis

4.1. Algorithm Verification

To achieve comparative verification, the soil model in this paper was degraded to linear elastic saturated soil, and the pile foundation model was degraded to the Euler beam. According to beam theory, when the shear modulus of Timoshenko beams is sufficiently large, the cross-section does not undergo shear deformation, and Timoshenko beams degenerate into Euler beams [28]. Reference [29] used the Euler beam and linear elastic saturated soil models to provide the displacement of the pile top in saturated soil under a triangular impact load. The soil model is degraded into elastic saturated soil by taking the viscosity order a = 0, and the Timoshenko beam is degraded into the Euler beam by taking the pile foundation shear modulus Gp = 10Ep. The other calculation parameters are the same as those in reference [29] (see Table 1). Meanwhile, the load P(t) is defined as a triangular impact load, and its time–domain and Laplace transform domain expressions are:
P ( t ) = 2 P 0 t t 0 H ( t 0 2 t ) + 2 P 0 1 t t 0 H ( t t 0 2 ) H ( t t 0 ) P ^ ( s ) = 2 P 0 t 0 s 2 1 e t 0 s / 2 2
where t0 is the duration of the load action, and H() represents the Heaviside step function. Substitute Equation (39) into the system equation and calculate the time–domain solution of the pile top displacement through MATLAB(2018) programming. Figure 3 shows a comparison of the calculation results of the pile top displacement, and the results show that the degenerate solution in this paper is in good agreement with the literature solution (dimensionless displacement u p * = u p / r 0 and dimensionless time t * = t / t 0 in the figure). From Figure 3, it can also be seen that when considering the viscous rheological behavior of the soil (a = 0.5), the peak displacement of the pile top significantly decreases, and the deformation recovery rate after loading slows down, which is consistent with the conclusion obtained by Yin [30] through clay consolidation experiments.
To further verify the reliability of the proposed method, a comparison was made between the proposed method and the finite element method for the horizontal vibration model of pile foundations in fractional-order saturated clay. Based on COMSOL(6.0)multi-physics field analysis software, a finite element model of soil was constructed under the solid mechanics porous media seepage module (as shown in Figure 4). The stress–strain relationship of the soil skeleton was described using the fractional order Kelvin Voigt constitutive model, and an infinite element domain was used at the radial boundary to make the soil model consistent with the theoretical model in this paper. Under the structural mechanics module, Timoshenko beams are used to simulate pile foundations, and the pile–soil interface is a coupled contact.
Figure 5 shows the comparison between the solution proposed in this paper and the finite element solution. The figure shows that the results of the two can be well matched when the load frequency is small, and when the load frequency is high (ω = 4π), the finite element calculation results show instability. Due to the use of the time integration method in finite element calculations, a very small integration step size is required to ensure calculation accuracy when the frequency is high. However, a small step size will result in very low calculation efficiency (when the step size is on the order of 10−4, the calculation time is about 3 h). Compared to other methods, the semi analytical method proposed in this paper has higher computational efficiency and stability.

4.2. Pile Foundation Vibration Analysis

Based on Table 1, add viscosity coefficient η = 1 × 108 Pa·s, and use load function Equation (6) to calculate the horizontal vibration response of pile foundation in saturated clay foundation. Figure 6 shows the time-domain response of pile top displacement under different shear modulus Gp values. It can be seen from the figure that as the shear modulus of the pile foundation increases, the amplitude of pile top displacement decreases. When Gp increases to 6Ep, the displacement amplitude no longer changes, indicating that the Timoshenko beam has converged to the Euler beam. Figure 7 shows the vibration response of pile top displacement under different load frequencies. The figure shows that the larger the load frequency, the smaller the amplitude of pile top displacement. This result is consistent with basic vibration theory [31,32].
Figure 8 reflects the influence of soil viscosity order on the response of pile top displacement. The figure shows that the larger the viscosity order, the smaller the amplitude of pile top displacement, and the peak point of displacement moves backward on the time axis, reflecting the delayed effect of soil creep. According to the definition of the Kelvin rheological model, the higher the viscosity order, the stronger the rheological properties. Therefore, the results in Figure 6 indicate that the stronger the rheological properties of the soil, the smaller the displacement response amplitude of the pile foundation vibration and the more obvious the delay effect. Figure 9 further indicates that as the order of soil viscosity increases, the amplitude of pile top displacement decreases almost linearly, and the higher the load frequency, the greater the decreasing rate of displacement amplitude.
To further explore the parameter correlation of the displacement delay effect, this article defines delay time t a = t ¯ 1 T / 4 , where t ¯ 1 is the time corresponding to the first displacement peak and T = 2 π / ω is the load period. Figure 10 shows the variation of delay time ta with the viscosity order. It can be seen from the figure that as the viscosity order increases, the delay time correspondingly increases. It is worth noting that the lower the load frequency, the more significant the change in delay time with the viscosity order.
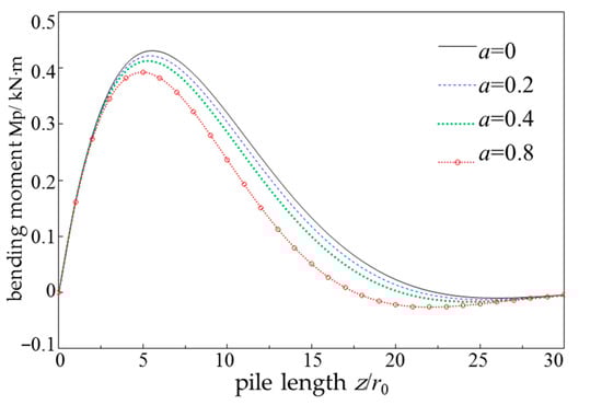
Figure 11 and Figure 12 show the distribution of pile bending moment M p = 2 u p / z 2 and shear force Q p = 3 u p / z 3 with depth at t = T/4, respectively. Figure 11 shows that as the viscosity order increases, the positive bending moment of the pile decreases while the negative bending moment increases. Figure 12 shows that as the viscosity order increases, both the positive and negative shear forces will increase. However, it should be considered that due to the delay effect, the bending moment and shear force values at t = T/4 cannot represent the peak values at each viscosity order. Therefore, Figure 13, Figure 14 and Figure 15 show the time–domain response of bending moment and shear force at the characteristic depth. Figure 13 shows that there is also a delay effect in the bending moment of the pile body, and as the viscosity order increases, the amplitude of the bending moment decreases slightly. Figure 14 shows that the shear force at the top of the pile is almost unaffected by the viscosity order, and there is no significant delay effect or amplitude change phenomenon. Figure 15 shows that at larger depths, there is a significant delay in shear force, and the larger the viscosity order, the greater the shear amplitude.

5. Conclusions

This article uses the fractional order Kelvin model to describe the rheological properties of soil, considers small deformation to establish a coupled vibration model of saturated clay and pile foundation, and uses Laplace transform to solve the control equation to obtain a semi analytical solution in the time domain. Based on case analysis, the horizontal vibration characteristics of pile foundations in a saturated clay foundation were studied, and the following conclusions were summarized:
(1)
The displacement and internal force response of pile vibrations in saturated clay foundations have a delayed effect. The stronger the rheological properties of the foundation soil, the more obvious the delay, and the lower the load frequency, the more significant the influence of rheological properties on the delay effect.
(2)
The stronger the rheological properties of the soil, the smaller the displacement amplitude of the pile foundation, and the higher the load frequency, the greater the decrease in displacement amplitude. The positive bending moment of the pile decreases with the increase in soil rheological properties, while the negative bending moment increases accordingly.
(3)
The shear force at the top of the pile is not affected by the rheological properties of the soil, but both the positive and negative shear forces of the pile body significantly increase with the enhancement of the rheological properties of the soil. Therefore, when designing pile foundations in saturated clay, it is necessary to appropriately increase the pile diameter or increase the reinforcement to meet the shear performance.

Author Contributions

Conceptualization and methodology, X.R.; software and validation, L.-a.W. All authors have read and agreed to the published version of the manuscript.

Funding

This research was funded by Gansu Provincial Science and Technology Program Funding Project (No. 22JR5RA383).

Institutional Review Board Statement

Not applicable.

Informed Consent Statement

Not applicable.

Data Availability Statement

Data are contained within the article.

Conflicts of Interest

The authors declare no conflict of interest.

Appendix A

In Equation (26), β1, β2, β3 and ε1, ε2, ε3 are all known functions about s, with the specific form as follows:
β 1 = d 1 + d 1 2 4 d 2 2 ;   β 2 = d 1 d 1 2 4 d 2 2 ;   β 3 2 = μ γ k 2 ρ s 2 ρ f g s / k f + ρ f s 2 / n ρ f 2 s 4 μ ρ f g s / k f + ρ f s 2 / n ; ε 1 = α M β 1 2 + ρ f s 2 M β 1 2 ρ f g s / k f + ρ f s 2 / n ;   ε 2 = α M β 2 2 + ρ f s 2 M β 2 2 ρ f g s / k f + ρ f s 2 / n ;   ε 3 = s g / k f + s / n ;
The expressions of d1, d2 in the above equation are as follows:
d 1 = λ + 2 μ + α 2 M ρ f g s / k f + ρ f s 2 / n μ γ k 2 ρ s 2 M 2 ρ f α M s 2 M λ + 2 μ ;   d 2 = ρ s 2 μ γ k 2 ρ f g s / k f + ρ f s 2 / n ρ f 2 s 4 M λ + 2 μ ;
In Equation (31), κ1, κ2 are known coefficients with expressions as follows:
κ 1 = a 3 b 1 a 1 b 3 a 2 b 3 a 3 b 2 ;   κ 2 = a 2 b 1 a 1 b 2 a 3 b 2 a 2 b 3 ; a 1 = β 1 K 2 β 1 r 0 ;   a 2 = β 2 K 2 β 2 r 0 ;   a 3 = β 3 K 2 β 3 r 0 ; b 1 = ε 1 β 1 K 0 β 11 r 1 + K 2 β 11 r 1 / 2 ; b 2 = ε 2 β 2 K 0 β 2 r 0 + K 2 β 2 r 0 / 2 ;   b 3 = ε 3 K 1 β 3 r 0 / r 0 ;
In Equations (36) and (37), the expressions of C1, C2, Q1, and Q2 are as follows:
C 1 = ρ p s 2 E p + G p E p G p ;   C 2 = ρ p s 2 ρ p s 2 E p G P + S E p I p ; χ 1 = C 1 + C 1 2 4 C 2 2 ;   χ 2 = C 1 + C 1 2 4 C 2 2 ; Q 1 = q ˜ γ k 2 G p S 1 E p I p ρ p I p s 2 G p S + 1 / Λ ;   Q 2 = q ˜ γ k / E p I p Λ ;
In Equation (38), η1~η4 areknown coefficients, the expressions of C1, C2, Q1, and Q2 are as follows:
η 1 = γ k cos χ 1 H sh γ k H γ k 2 + χ 1 2 ;   η 2 = γ k sin χ 1 H sh γ k H + χ 1 γ k 2 + χ 1 2 ; η 3 = γ k ch χ 2 H sh γ k H γ k 2 χ 2 2 ;   η 4 = γ k sh χ 2 H sh γ k H + χ 2 γ k 2 χ 2 2

References

  1. Biot, M.A. Theory of propagation of elastic waves in a fluid-saturated porous solid. II.Higher frequency range. J. Acoust. Soc. Am. 1956, 28, 179–191. [Google Scholar] [CrossRef]
  2. Dobry, R.; Gazetas, G. Simple method for dynamic stiffness and damping of floating pile groups. Geotechnique 1988, 38, 557–574. [Google Scholar] [CrossRef]
  3. Kaynia, A.M.; Kausel, E. Dynamics of piles and pile groups in layered soil media. Soil. Dyn. Earthq. Eng. 1991, 10, 386–401. [Google Scholar] [CrossRef]
  4. George, M.; George, G. Lateral vibration and internal forces of grouped piles in layered soil. J. Geotech. Geoenviron. Eng. 1999, 125, 16–25. [Google Scholar]
  5. Huang, S.; Chen, Y.; Zou, C. Train-induced environmental vibrations by considering different building foundations along curved track. Transp. Geotech. 2022, 35, 100785. [Google Scholar] [CrossRef]
  6. Rahmani, A.; Pak, A. Dynamic behavior of pile foundations under cyclic loading in liquefiable soils. Comput. Geotech. 2012, 40, 114–126. [Google Scholar] [CrossRef]
  7. Zarzalejos, J.M.; Aznárez, J.J.; Padrón, L.A.; Maeso, O. Influences of type of wave and angle of incidence on seismic bending moments in pile foundations. Earthq. Eng. Struct. Dyn. 2014, 43, 41–59. [Google Scholar] [CrossRef]
  8. Van Nguyen, Q.; Fatahi, B.; Hokmabadi, A.S. Influence of Size and Load-Bearing Mechanism of Piles on Seismic Performance of Buildings Considering Soil–Pile–Structure Interaction. Int. J. Geomech. 2017, 17, 0401700. [Google Scholar] [CrossRef]
  9. Chatterjee, K.; Choudhury, D.; Rao, V.D.; Poulos, H.G. Seismic response of single piles in liquefiable soil considering P-delta effect. Bull. Earthq. Eng. 2019, 17, 2935–2961. [Google Scholar] [CrossRef]
  10. Asker, K.; Fouad, M.T.; Bahr, M.; El-Attar, A. Numerical analysis of reducing tunneling effect on viaduct piles foundation by jet grouted wall. Min. Miner. Depos. 2021, 15, 75–86. [Google Scholar] [CrossRef]
  11. Jin, B.; Liu, H. Horizontal vibrations of a disk on a poroelastic half-space. Soil Dyn. Earthq. Eng. 2000, 19, 269–275. [Google Scholar] [CrossRef]
  12. Liu, Y.; Wang, X.; Zhang, M. Lateral Vibration of Pile Groups Partially Embedded in Layered Saturated Soils. Int. J. Geomech. 2014, 15, 04014063. [Google Scholar] [CrossRef]
  13. Zhang, S.; Cui, C.; Yang, G. Vertical dynamic impedance of pile groups partially embedded in multilayered, transversely isotropic, saturated soils. Soil Dyn. Earthq. Eng. 2019, 117, 106–115. [Google Scholar] [CrossRef]
  14. Liang, Z.; Cui, C.; Xu, C.; Zhang, P.; Wang, K. A close-formed solution for the horizontal vibration of a pipe pile in saturated soils considering the radial heterogeneity effect. Comput. Geotech. 2023, 158, 105379. [Google Scholar] [CrossRef]
  15. Liu, X.; El Naggar, M.H.; Wang, K.; Tu, Y.; Qiu, X. Simplified model of defective pile-soil interaction considering three-dimensional effect and application to integrity testing. Comput. Geotech. 2021, 132, 103986. [Google Scholar] [CrossRef]
  16. Hu, A.F.; Fu, P.; Xia, C.Q.; Xie, K.H. Lateral dynamic response of a partially embedded pile subjected to combined loads in saturated soil. Mar. Georesources Geotechnol. 2017, 35, 788–798. [Google Scholar] [CrossRef]
  17. Zou, X.; Yang, Z.; Wu, W. Horizontal dynamic response of partially embedded single pile in unsaturated soil under combined loads. Soil Dyn. Earthq. Eng. 2023, 165, 107672. [Google Scholar] [CrossRef]
  18. Cui, C.; Liang, Z.; Xu, C.; Xin, Y.; Wang, B. Analytical solution for horizontal vibration of end-bearing single pile in radially heterogeneous saturated soil. Appl. Math. Model. 2023, 116, 65–83. [Google Scholar] [CrossRef]
  19. Xu, C.; Dou, P.; Du, X.; El Naggar, M.H.; Miyajima, M.; Chen, S. Large shaking table tests of pile-supported structures in different ground conditions. Soil Dyn. Earthq. Eng. 2020, 139, 106307. [Google Scholar] [CrossRef]
  20. Tan, T.K. One dimensional problems of consolidation and secondary time effcets. China Civil Engineering. 1958, 5, 1–10. [Google Scholar]
  21. Chen, Z.; Liu, H.X. Two dimensional problems of settlements of clay layers due to consolidation and secondary time effects. Chin. J. Theor. Appl. Mech. 1958, 2, 1–10. [Google Scholar]
  22. Kabbaj, M.; Tavenas, F.; Leroueil, S. In situ and laboratory stress-strain relationships. Géotechnique 1988, 38, 83–100. [Google Scholar] [CrossRef]
  23. Koeller, R.C. Applications of fractional calculus to the theory of viscoelasticity. J. Appl. Mech. 1984, 51, 299–307. [Google Scholar] [CrossRef]
  24. Mandelbort, B.B. The Fractal Geometry of Nature; WH Freeman: New York, NY, USA, 1982; Volume 1. [Google Scholar]
  25. Zhao, M.; Huang, Y.; Wang, P.; Xu, H.; Du, X. Analytical solution of water pile soil interaction under horizontal dynamic loads on piel head. Chin. J. Geotech. Eng. 2022, 44, 907–915. [Google Scholar]
  26. Crump, K.S. Numerical inversion of Laplace transforms using a Fourier series approximation. J. ACM 1976, 23, 89–96. [Google Scholar] [CrossRef]
  27. Lian, W.; Jianchang, Z.; Zuowei, W. Analytical study on ground vibration induced by moving vehicle. Chin. J. Theor. Appl. Mech. 2020, 52, 1509–1518. [Google Scholar]
  28. Zhu, H.H.; Zhang, Z.X.; Liao, S.M. Underground Structure; China Building Industry Press: Beijing, China, 2005. [Google Scholar]
  29. Chang, X.M.; Gao, F.; Lu, Z.T.; Long, L.L.; Zhang, J.; Geng, X. A study on lateral transient vibration of large diameter piles considering pile-soil interaction. Soil Dyn. Earthq. Eng. 2016, 90, 211–220. [Google Scholar] [CrossRef]
  30. Yin, J.H. Non-linear creep of soils in oedometer tests. Géotechnique 1999, 49, 699–707. [Google Scholar] [CrossRef]
  31. Han, H.; Cui, W.; Li, Y. Dynamic characteristics of pile foundation under horizontal vibration load. J. Vib. Shock 2015, 34, 127–132. [Google Scholar]
  32. Tang, M.X.; Da, L. Vibration Theory and Applications; Tsinghua University Press: Beijing, China, 2005. [Google Scholar]
Figure 1. Schematic diagram of the fractional Kelvin model.
Figure 1. Schematic diagram of the fractional Kelvin model.
Applsci 14 00778 g001
Figure 2. Horizontal coupled vibration model of pile–soil system.
Figure 2. Horizontal coupled vibration model of pile–soil system.
Applsci 14 00778 g002
Figure 3. Comparison of pile top displacement results (imensionless displacement u p * and dimensionless time t * ).
Figure 3. Comparison of pile top displacement results (imensionless displacement u p * and dimensionless time t * ).
Applsci 14 00778 g003
Figure 4. Model of finite element analysis.
Figure 4. Model of finite element analysis.
Applsci 14 00778 g004
Figure 5. Comparison of pile top displacement with FEM.
Figure 5. Comparison of pile top displacement with FEM.
Applsci 14 00778 g005
Figure 6. Influence of shear modulus of pile on the vibration displacement of pile top (ω = 2π, a = 0).
Figure 6. Influence of shear modulus of pile on the vibration displacement of pile top (ω = 2π, a = 0).
Applsci 14 00778 g006
Figure 7. Response of pile top displacement under different frequencies (Gp = Ep, ω = 2π).
Figure 7. Response of pile top displacement under different frequencies (Gp = Ep, ω = 2π).
Applsci 14 00778 g007
Figure 8. Influence of viscosity order on pile top vibration displacement (Gp = Ep, ω = 2π).
Figure 8. Influence of viscosity order on pile top vibration displacement (Gp = Ep, ω = 2π).
Applsci 14 00778 g008
Figure 9. The variation of pile top displacement amplitude with the order of soil viscosity (Gp = Ep).
Figure 9. The variation of pile top displacement amplitude with the order of soil viscosity (Gp = Ep).
Applsci 14 00778 g009
Figure 10. The variation of displacement delay time with the order of soil viscosity (Gp = Ep).
Figure 10. The variation of displacement delay time with the order of soil viscosity (Gp = Ep).
Applsci 14 00778 g010
Figure 11. Influence of viscosity order on pile bending moment (Gp = Ep, ω = 2π).
Figure 11. Influence of viscosity order on pile bending moment (Gp = Ep, ω = 2π).
Applsci 14 00778 g011
Figure 12. Influence of soil viscosity order on pile shear force (Gp = Ep, ω = 2π).
Figure 12. Influence of soil viscosity order on pile shear force (Gp = Ep, ω = 2π).
Applsci 14 00778 g012
Figure 13. Vibration response of pile bending moment under different viscosity orders (ω = 2π, z = 5r0).
Figure 13. Vibration response of pile bending moment under different viscosity orders (ω = 2π, z = 5r0).
Applsci 14 00778 g013
Figure 14. Vibration response of pile top shear force under different viscosity orders (ω = 2π, z = 5r0).
Figure 14. Vibration response of pile top shear force under different viscosity orders (ω = 2π, z = 5r0).
Applsci 14 00778 g014
Figure 15. Vibration response of pile shear force under different viscosity orders (ω = 2π, z = 5r0).
Figure 15. Vibration response of pile shear force under different viscosity orders (ω = 2π, z = 5r0).
Applsci 14 00778 g015
Table 1. Table of calculation parameters [29].
Table 1. Table of calculation parameters [29].
H/mr0/mEp/GPaρp/(kg·m−3)Es/MPav
200.528.524005.50.25
nkf/(m·s−1)ρs/(kg·m−3)ρf/(kg·m−3)αM/GPa
0.42.0 × 10−7270010001.04.9
Disclaimer/Publisher’s Note: The statements, opinions and data contained in all publications are solely those of the individual author(s) and contributor(s) and not of MDPI and/or the editor(s). MDPI and/or the editor(s) disclaim responsibility for any injury to people or property resulting from any ideas, methods, instructions or products referred to in the content.

Share and Cite

MDPI and ACS Style

Ren, X.; Wang, L.-a. Study on the Time Domain Semi Analytical Method for Horizontal Vibration of Pile in Saturated Clay. Appl. Sci. 2024, 14, 778. https://doi.org/10.3390/app14020778

AMA Style

Ren X, Wang L-a. Study on the Time Domain Semi Analytical Method for Horizontal Vibration of Pile in Saturated Clay. Applied Sciences. 2024; 14(2):778. https://doi.org/10.3390/app14020778

Chicago/Turabian Style

Ren, Xin, and Li-an Wang. 2024. "Study on the Time Domain Semi Analytical Method for Horizontal Vibration of Pile in Saturated Clay" Applied Sciences 14, no. 2: 778. https://doi.org/10.3390/app14020778

APA Style

Ren, X., & Wang, L.-a. (2024). Study on the Time Domain Semi Analytical Method for Horizontal Vibration of Pile in Saturated Clay. Applied Sciences, 14(2), 778. https://doi.org/10.3390/app14020778

Note that from the first issue of 2016, this journal uses article numbers instead of page numbers. See further details here.

Article Metrics

Back to TopTop