Enhancing Metal Forging Tools and Moulds: Advanced Repairs and Optimisation Using Directed Energy Deposition Hybrid Manufacturing
Abstract
1. Introduction
The Current State of Applicability of Metal Powder Hybrid Manufacturing Processes
2. Materials and Method
2.1. Specimens Fabrication
2.2. Encountered Issues
2.3. Experimental Procedure
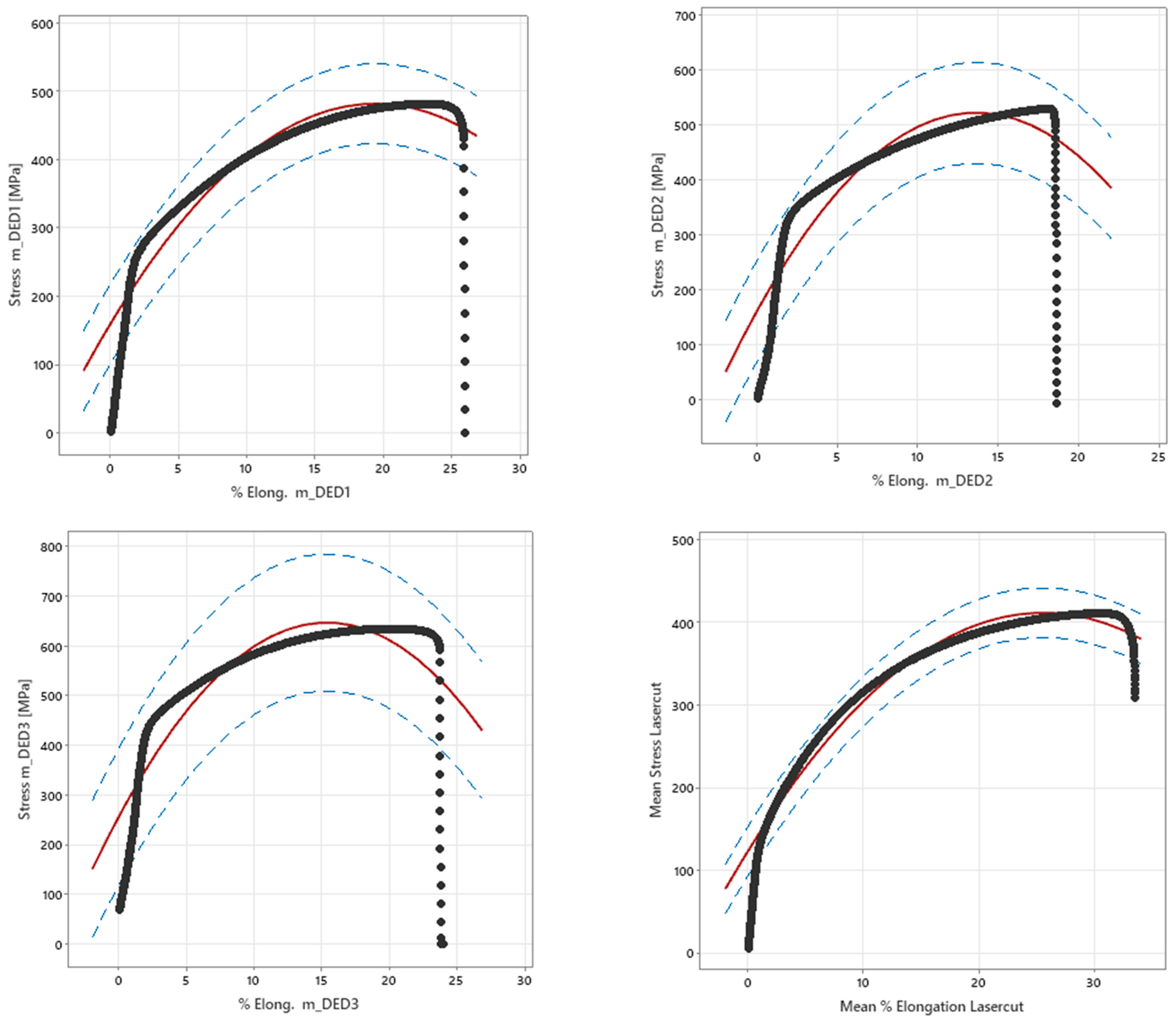
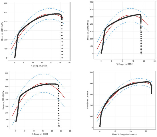
3. Results
Tensile Strength vs. Ductility in DED Components
4. Metal Forging Tools and Moulds Recondition Case Studies
4.1. Case Study 1—Forging Mould Repair
4.1.1. Problem Description
4.1.2. Analysis of Mould Repair Processes (Conventional vs. Hybrid)
4.1.3. Design and Simulation of the Repair Process
4.1.4. Execution of the Repair Process
4.2. Case Study 2—Forging Tool Reconstruction and Optimisation
4.2.1. Problem Description
4.2.2. Design and Simulation of the Repair Process
4.2.3. Execution of the Repair Process
4.3. Repair Process Results and Discussion
4.4. Encountered Challenges
5. Discussion
5.1. Layering Strategy
5.2. Material Compatibility
- Pre-repair assessment, where a comprehensive material analysis of the base material is made. This is crucial to understand its composition, structure, and mechanical properties. This information guides the selection of compatible repair materials and helps in defining optimal DED processing parameters.
- Choosing the optimal process parameters is carried out based on the chosen material for repair; the DED process parameters need fine-tuning to ensure proper fusion and adhesion and minimal thermal stress. Parameter adjustments may include laser power, deposition strategy, and deposition speed, among others.
- Continuous monitoring and quality checks during the deposition process and post-repair inspections are critical. Non-destructive testing techniques can help identify any material inconsistencies or structural flaws that might compromise the repaired tool or mould.
- The manufacturing environment (e.g., ambiance temperature and humidity) is an important factor for a successful DED repair process. Thus, despite meticulous planning, some degree of trial and error might be necessary, especially when dealing with novel materials or complex geometries. Iterative testing and adjustments may be required to achieve the desired material compatibility and quality.
6. Limitations
7. Conclusions
Author Contributions
Funding
Institutional Review Board Statement
Informed Consent Statement
Data Availability Statement
Acknowledgments
Conflicts of Interest
References
- Gebhardt, A.; Hötter, J.-S. Additive Manufacturing 3D Printing for Prototyping and Manufacturing; Carl Hanser Verlag GmbH Co KG: Munich, Germany, 2016; ISBN 978-1-56990-582-1. [Google Scholar]
- Dilberoglu, U.M.; Gharehpapagh, B.; Yaman, U.; Dolen, M. Current Trends and Research Opportunities in Hybrid Additive Manufacturing. Int. J. Adv. Manuf. Technol. 2021, 113, 623–648. [Google Scholar] [CrossRef]
- Gradl, P.R.; Mireles, O.R.; Protz, C.S.; Garcia, C.P. (Eds.) Metal Additive Manufacturing for Propulsion Applications; American Institute of Aeronautics and Astronautics, Inc.: Reston, VA, USA, 2022; ISBN 978-1-62410-626-2. [Google Scholar]
- Pontes, A.J. Designing for Additive Manufacturing. In Design and Manufacturing of Plastics Products; Elsevier: Amsterdam, The Netherlands, 2021; pp. 249–292. ISBN 978-0-12-819775-2. [Google Scholar]
- Palmero, E.M.; Bollero, A. 3D and 4D Printing of Functional and Smart Composite Materials. In Encyclopedia of Materials: Composites; Elsevier: Amsterdam, The Netherlands, 2021; pp. 402–419. ISBN 978-0-12-819731-8. [Google Scholar]
- Izdebska-Podsiadły, J. Classification of 3D Printing Methods. In Polymers for 3D Printing; Elsevier: Amsterdam, The Netherlands, 2022; pp. 23–34. ISBN 978-0-12-818311-3. [Google Scholar]
- Özel, T.; Shokri, H.; Loizeau, R. A Review on Wire-Fed Directed Energy Deposition Based Metal Additive Manufacturing. J. Manuf. Mater. Process. 2023, 7, 45. [Google Scholar] [CrossRef]
- Ahn, D.-G. Directed Energy Deposition (DED) Process: State of the Art. Int. J. Precis. Eng. Manuf.-Green Technol. 2021, 8, 703–742. [Google Scholar] [CrossRef]
- Dutta, B. Directed Energy Deposition (DED) Technology. In Encyclopedia of Materials: Metals and Alloys; Elsevier: Amsterdam, The Netherlands, 2022; pp. 66–84. ISBN 978-0-12-819733-2. [Google Scholar]
- Asnafi, N. Tool and Die Making, Surface Treatment, and Repair by Laser-Based Additive Processes. BHM Berg- Hüttenmänn. Monatshefte 2021, 166, 225–236. [Google Scholar] [CrossRef]
- Asnafi, N.; Rajalampi, J.; Aspenberg, D.; Alveflo, A. Production Tools Made by Additive Manufacturing Through Laser-Based Powder Bed Fusion. BHM Berg- Hüttenmänn. Monatshefte 2020, 165, 125–136. [Google Scholar] [CrossRef]
- Yusoh, S.S.M.; Wahab, D.A.; Habeeb, H.A.; Azman, A.H. Intelligent Systems for Additive Manufacturing-Based Repair in Remanufacturing: A Systematic Review of Its Potential. PeerJ Comput. Sci. 2021, 7, e808. [Google Scholar] [CrossRef] [PubMed]
- Džugan, J.; Novy, Z. Powder Application in Additive Manufacturing of Metallic Parts. In Powder Metallurgy—Fundamentals and Case Studies; Dobrzanski, L.A., Ed.; InTech: London, UK, 2017; ISBN 978-953-51-3053-6. [Google Scholar]
- Volyanskii, I.; Shishkovsky, I.V. Laser-Assisted 3D Printing of Functional Graded Structures from Polymer Covered Nanocomposites: A Self-Review. In New Trends in 3D Printing; Shishkovsky, I.V., Ed.; InTech: London, UK, 2016; ISBN 978-953-51-2479-5. [Google Scholar]
- Dávila, J.L.; Neto, P.I.; Noritomi, P.Y.; Coelho, R.T.; da Silva, J.V.L. Hybrid Manufacturing: A Review of the Synergy between Directed Energy Deposition and Subtractive Processes. Int. J. Adv. Manuf. Technol. 2020, 110, 3377–3390. [Google Scholar] [CrossRef]
- E28 Committee. Test Methods for Tension Testing of Metallic Materials; ASTM International: West Conshohocken, PA, USA, 2011. [Google Scholar]
- Shim, D.-S.; Baek, G.-Y.; Seo, J.-S.; Shin, G.-Y.; Kim, K.-P.; Lee, K.-Y. Effect of Layer Thickness Setting on Deposition Characteristics in Direct Energy Deposition (DED) Process. Opt. Laser Technol. 2016, 86, 69–78. [Google Scholar] [CrossRef]
- F42 Committee. Standard Guide for Directed Energy Deposition of Metals; ASTM International: West Conshohocken, PA, USA, 2016. [Google Scholar]
- Zhang, W.; Soshi, M.; Yamazaki, K. Development of an Additive and Subtractive Hybrid Manufacturing Process Planning Strategy of Planar Surface for Productivity and Geometric Accuracy. Int. J. Adv. Manuf. Technol. 2020, 109, 1479–1491. [Google Scholar] [CrossRef]
- Kistler, N.A.; Nassar, A.R.; Reutzel, E.W.; Corbin, D.J.; Beese, A.M. Effect of Directed Energy Deposition Processing Parameters on Laser Deposited Inconel® 718: Microstructure, Fusion Zone Morphology, and Hardness. J. Laser Appl. 2017, 29, 022005. [Google Scholar] [CrossRef]
- Kim, T.G.; Shim, D.S. Effect of Laser Power and Powder Feed Rate on Interfacial Crack and Mechanical/Microstructural Characterizations in Repairing of 630 Stainless Steel Using Direct Energy Deposition. Mater. Sci. Eng. A 2021, 828, 142004. [Google Scholar] [CrossRef]
- Era, I.Z. Prediction of Tensile Behaviors of L-DED 316 Stainless Steel Parts Using Machine Learning; MS, West Virginia University Libraries: Morgantown, West Virginia, 2021. [Google Scholar]
- Saboori, A.; Aversa, A.; Marchese, G.; Biamino, S.; Lombardi, M.; Fino, P. Microstructure and Mechanical Properties of AISI 316L Produced by Directed Energy Deposition-Based Additive Manufacturing: A Review. Appl. Sci. 2020, 10, 3310. [Google Scholar] [CrossRef]
- Su, Y.; Wang, Y.; Shi, J. Microstructure and Mechanical Properties of Laser DED Produced Crack-Free Al 7075 Alloy: Effect of Process Parameters and Heat Treatment. Mater. Sci. Eng. A 2022, 857, 144075. [Google Scholar] [CrossRef]
- Ramiro, P.; Ortiz, M.; Alberdi, A.; Lamikiz, A. Strategy Development for the Manufacturing of Multilayered Structures of Variable Thickness of Ni-Based Alloy 718 by Powder-Fed Directed Energy Deposition. Metals 2020, 10, 1280. [Google Scholar] [CrossRef]
- D’Souza, N.; Ravichandran, S.; Donovan, S.; Daum, P.; Morrell, R.; Nye, Z.; Lancaster, R.J. On the Design Optimisation of Direct Energy Deposited Support Structures to Repair Aero-Engine Turbine Segments. Addit. Manuf. 2022, 56, 102905. [Google Scholar] [CrossRef]
- Keshavarz, M.K.; Gontcharov, A.; Lowden, P.; Chan, A.; Kulkarni, D.; Brochu, M. Turbine Blade Tip Repair by Laser Directed Energy Deposition Additive Manufacturing Using a Rene 142–MERL 72 Powder Blend. J. Manuf. Mater. Process. 2021, 5, 21. [Google Scholar] [CrossRef]
- Foster, J.; Cullen, C.; Fitzpatrick, S.; Payne, G.; Hall, L.; Marashi, J. Remanufacture of Hot Forging Tools and Dies Using Laser Metal Deposition with Powder and a Hard-Facing Alloy Stellite 21®. J. Remanufacturing 2019, 9, 189–203. [Google Scholar] [CrossRef]
- Elshaer, R.N.; Elshazli, A.M.; Hussein, A.H.A.; Al-Sayed, S.R. Impact of Laser Process Parameters in Direct Energy Deposition on Microstructure, Layer Characteristics, and Microhardness of TC21 Alloy. Int. J. Adv. Manuf. Technol. 2022, 121, 5139–5154. [Google Scholar] [CrossRef]
- Behlau, F.; Thiele, M.; Maack, P.; Esen, C.; Ostendorf, A. Layer Thickness Controlling in Direct Energy Deposition Process by Adjusting the Powder Flow Rate. Procedia CIRP 2022, 111, 330–334. [Google Scholar] [CrossRef]
- Pan, T. Influence of Input Energy on Mechanical Properties of Laser Powder Bed Fused AISI 304L Stainless Steel; Missouri University of Science and Technology: Rolla, Missouri, 2020. [Google Scholar]
- Ribeiro, K.S.B.; Mariani, F.E.; Coelho, R.T. A Study of Different Deposition Strategies in Direct Energy Deposition (DED) Processes. Procedia Manuf. 2020, 48, 663–670. [Google Scholar] [CrossRef]
- Kersten, S.; Praniewicz, M.; Kurfess, T.; Saldana, C. Build Orientation Effects on Mechanical Properties of 316SS Components Produced by Directed Energy Deposition. Procedia Manuf. 2020, 48, 730–736. [Google Scholar] [CrossRef]






























| Additive Manufacturing | Advantages | Disadvantages |
| Generation of complex geometries. Reduction of materials by minimum material deposition. Reducing the number of operations. Combining several geometrical entities into a single component (retaining the functional role). Use of multiple materials to produce a single part. Produces little waste. | High manufacturing costs. The need of creating support structures (in certain cases). Highly trained personnel with advanced experience and skills in this domain. The need for a CAM postprocessor. Poor surface finish. | |
| Strengths | Weaknesses | |
| Manufacture of parts with a high degree of complexity. Reduction of manufacturing times. Optimal use of materials. High accuracy for complex geometries. Reduction of the assembly components. | Personnel training costs. High manufacturing costs. High material costs. Difficult procurement of materials. Incompatibility problems in the NC code and occurrence of NC errors. Incompatibility of used materials. | |
| Subtractive Manufacturing | Advantages | Disadvantages |
| Mass production capability. Lower tool cost. Possibility to manufacture without a personalised postprocessor. High degree of automation. Personnel do not require a superior qualification. High competitiveness. Simple manufacturing processes. Low production costs. | Lower flexibility in manufacturing. Complex manufacturing technologies. Low research development capability. Impossibility of creating complex geometries. Precise technological instructions. Blanks vary in shape and size. Can produce a lot of waste. | |
| Strengths | Weaknesses | |
| Existence of manual labour. Affordable technology. Superior avoidance of programming errors. Low staff training costs. | More machines needed for a single product. Much higher processing errors. Large losses of material because of processing. |
| Nozzle Type | Nozzle Diameter | Calculated Working Distance | Adjusted Working Distance | Printing Federate | Layer Height |
|---|---|---|---|---|---|
| COAX 14 | 3 mm | 13 mm | 13 mm | 1000 mm/m | 0.9 mm |
| Specimen Group | Tensile Strength [MPa] | Group | Tensile Strength [MPa] |
| DED Level 1 S1 | 480.89 | DED Level 2 S1 | 528.31 |
| DED Level 1 S2 | 464.95 | DED Level 2 S2 | 514.24 |
| DED Level 1 S3 | 478.49 | DED Level 2 S3 | 523.05 |
| DED Level 1 S4 | 475.93 | DED Level 2 S4 | 522.53 |
| DED Level 1 S5 | 458.37 | DED Level 2 S5 | 506.75 |
| Specimen Group | Tensile strength [MPa] | Group | Tensile strength [MPa] |
| DED Level 3 S1 | 633.56 | Laser cut S1 | 423.08 |
| DED Level 3 S2 | 618.75 | Laser cut S2 | 405 |
| DED Level 3 S3 | 629.68 | Laser cut S3 | 403.89 |
| DED Level 3 S4 | 628.11 | Laser cut S4 | 399.96 |
| DED Level 3 S5 | 611.91 | Laser cut S5 | 421.09 |
| Directed Energy Deposition Repair Methods | Strengths | Weaknesses |
| Precision repair: DED allows for precise material deposition, enabling targeted repairs on damaged areas with minimal material wastage. It offers high accuracy in restoring complex geometries. Material efficiency: by adding material only where needed, DED reduces material waste compared to traditional methods that may involve machining away substantial volumes. Customisation and adaptability: DED permits the use of various materials and alloys, providing flexibility in repairing different types of tools and moulds. It adapts well to various base materials and allows for customisation based on specific requirements. Reduced lead times: the ability to repair components on-site or quickly fabricate replacement parts reduces downtime. Cost-effectiveness: while initial setup costs might be high, DED can be more cost-effective for intricate repairs or producing low-volume, high-value components compared to traditional methods that involve extensive machining and reworking. | Surface finish: post-processing machining is often necessary to achieve the desired surface finish and required tolerances, adding time and cost to the process. Complexity: optimising parameters for DED requires expertise and iterative adjustments, making it complex for inexperienced operators. Quality assurance: ensuring uniform material properties across the repaired area might be challenging due to factors like inter-layer adhesion and microstructural variations. Material compatibility: limited material compatibility might be a constraint, particularly when repairing diverse materials or for specific industrial applications. Post-repair inspection: verifying the integrity and quality of the repaired parts might be more complicated compared to conventional repairs due to the layering nature of DED. | |
| Conventional Repair Methods | Strengths | Weaknesses |
| Established techniques: techniques like welding, milling, and manual machining are well established, making them easier to adopt and execute. Surface finish: conventional methods often provide superior surface finishes directly after repair, reducing or eliminating the need for extensive post-processing. Material familiarity: technicians are often experienced in traditional repair methods, facilitating easier implementation without the need for specialised training. | Material removal: conventional methods might involve substantial material removal, leading to material wastage and potentially weakening the repaired component. Limited precision: achieving precision in complex repairs might be challenging, especially for intricate geometries or hard-to-reach areas. Extended lead times: time-consuming setup and machining processes might result in longer lead times for repair and component replacement, impacting operational timelines. Cost inefficiency: material wastage and the need for extensive machining can make conventional repair methods more costly, especially for complex repairs or low-volume production. |
Disclaimer/Publisher’s Note: The statements, opinions and data contained in all publications are solely those of the individual author(s) and contributor(s) and not of MDPI and/or the editor(s). MDPI and/or the editor(s) disclaim responsibility for any injury to people or property resulting from any ideas, methods, instructions or products referred to in the content. |
© 2024 by the authors. Licensee MDPI, Basel, Switzerland. This article is an open access article distributed under the terms and conditions of the Creative Commons Attribution (CC BY) license (https://creativecommons.org/licenses/by/4.0/).
Share and Cite
Petruse, R.E.; Langa, M.-C. Enhancing Metal Forging Tools and Moulds: Advanced Repairs and Optimisation Using Directed Energy Deposition Hybrid Manufacturing. Appl. Sci. 2024, 14, 567. https://doi.org/10.3390/app14020567
Petruse RE, Langa M-C. Enhancing Metal Forging Tools and Moulds: Advanced Repairs and Optimisation Using Directed Energy Deposition Hybrid Manufacturing. Applied Sciences. 2024; 14(2):567. https://doi.org/10.3390/app14020567
Chicago/Turabian StylePetruse, Radu Emanuil, and Mihai-Ciprian Langa. 2024. "Enhancing Metal Forging Tools and Moulds: Advanced Repairs and Optimisation Using Directed Energy Deposition Hybrid Manufacturing" Applied Sciences 14, no. 2: 567. https://doi.org/10.3390/app14020567
APA StylePetruse, R. E., & Langa, M.-C. (2024). Enhancing Metal Forging Tools and Moulds: Advanced Repairs and Optimisation Using Directed Energy Deposition Hybrid Manufacturing. Applied Sciences, 14(2), 567. https://doi.org/10.3390/app14020567

