Comparison of PM10 Levels in Three of the Most Polluted Cities in Romania over the Periods Related to Lower Traffic—Implications for Human Health
Abstract
1. Introduction
2. Materials and Methods
2.1. Study Areas and the Monitoring Stations
2.2. Air Pollution Data
2.3. Mobility Data
2.4. Data Analysis
2.5. Human Health Risk Assessment
3. Results
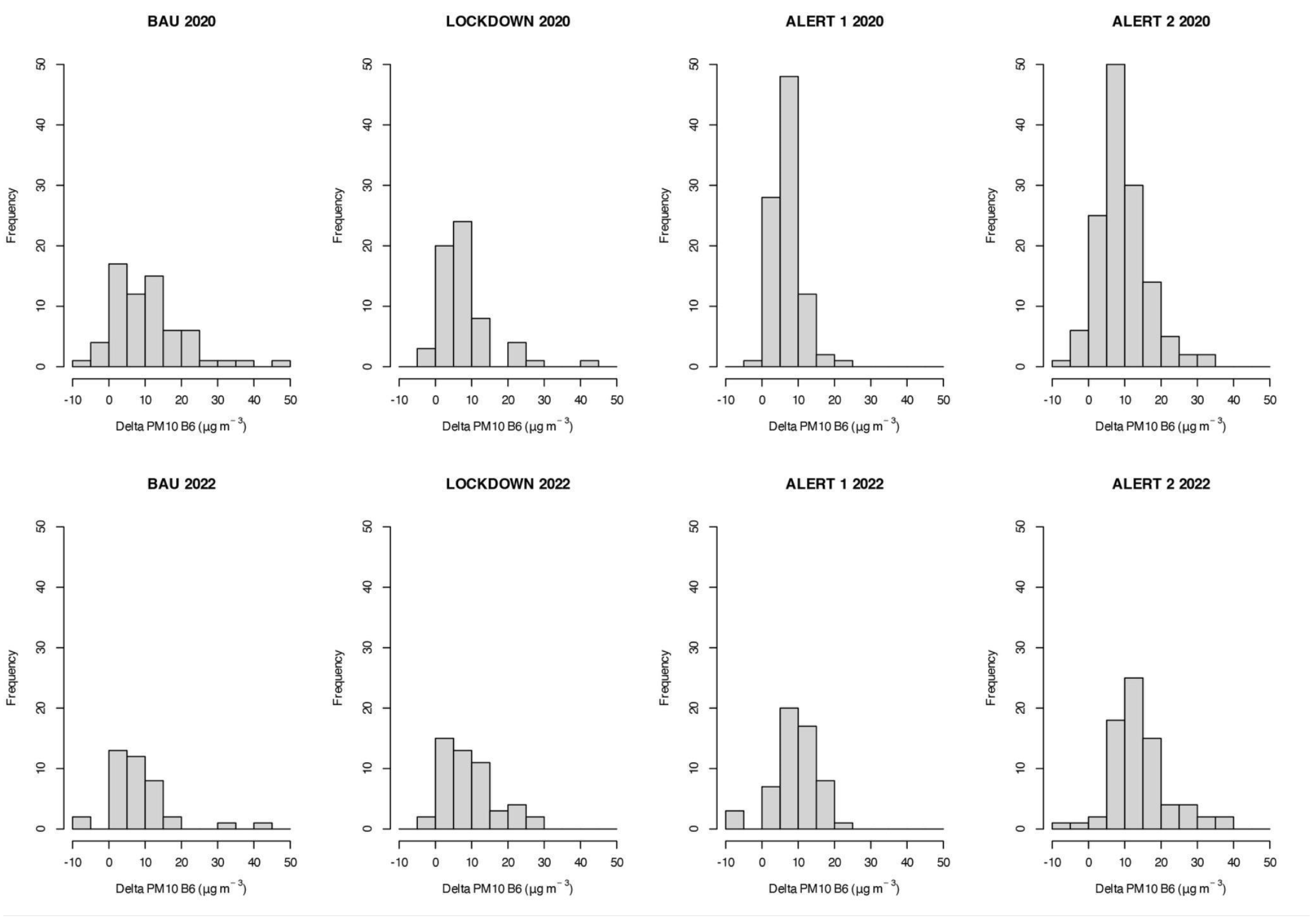
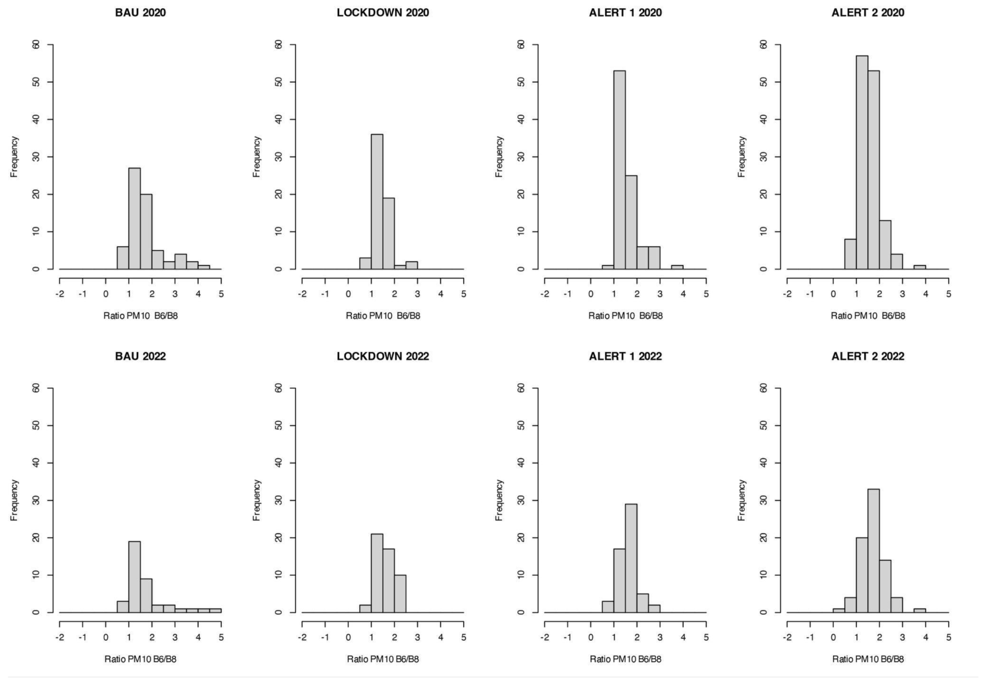
3.1. Evolution of PM10 Pollution during Traffic Restrictions and Normal Conditions
3.2. PM10 Assessment Based on Absolute and Relative Correction

3.3. Kruskal–Wallis Analysis
3.4. Human Health Risk
4. Discussion
5. Conclusions
- -
 - The enhancement of the air quality can be achieved by reducing the impact of traffic.
 - -
 - Despite the significant reduction, the results indicated that there is a potential non-carcinogenic chronic health risk in these cities due to the exposure to PM10, as indicated by the hazard quotient method, especially during cold months
 - -
 - The approach involved the non-parametric Kruskal–Wallis test and the two corrections (absolute and relative) in order to minimize the confounding factors influencing the rejecting/accepting null hypothesis. This approach can be applied to other urban areas facing high levels of air pollution, where the traffic is responsible for elevated contribution in the investigated regions. The approach is practical and easy to implement in situations where limited data are available.
 
Supplementary Materials
Author Contributions
Funding
Institutional Review Board Statement
Informed Consent Statement
Data Availability Statement
Acknowledgments
Conflicts of Interest
References
- Leino, K.R.M.; Wüstholz, V. The Dafny Integrated Development Environment. Electron. Proc. Theor. Comput. Sci. 2014, 149, 3–15. [Google Scholar] [CrossRef]
 - Adam, M.; Fragkos, K.; Solomos, S.; Belegante, L.; Andrei, S.; Talianu, C.; Mărmureanu, L.; Antonescu, B.; Ene, D.; Nicolae, V.; et al. Methodology for Lidar Monitoring of Biomass Burning Smoke in Connection with the Land Cover. Remote Sens. 2022, 14, 4734. [Google Scholar] [CrossRef]
 - Țîmpu, S.; Sfîcă, L.; Dobri, R.-V.; Cazacu, M.-M.; Nita, A.-I.; Birsan, M.-V. Tropospheric Dust and Associated Atmospheric Circulations over the Mediterranean Region with Focus on Romania’s Territory. Atmosphere 2020, 11, 349. [Google Scholar] [CrossRef]
 - Mărmureanu, L.; Vasilescu, J.; Slowik, J.; Prévôt, A.S.H.; Marin, C.A.; Antonescu, B.; Vlachou, A.; Nemuc, A.; Dandocsi, A.; Szidat, S. Online Chemical Characterization and Source Identification of Summer and Winter Aerosols in Măgurele, Romania. Atmosphere 2020, 11, 385. [Google Scholar] [CrossRef]
 - Hoffer, A.; Meiramova, A.; Tóth, Á.; Jancsek-Turóczi, B.; Kiss, G.; Rostási, Á.; Levei, E.A.; Marmureanu, L.; Machon, A.; Gelencsér, A. Assessment of the contribution of residential waste burning to ambient PM10 concentrations in Hungary and Romania. Atmos. Chem. Phys. 2024, 24, 1659–1671. [Google Scholar] [CrossRef]
 - Mircea, M.; Calori, G.; Pirovano, G.; Belis, C.A. European Guide on Air Pollution Source Apportionment for Particulate Matter with Source Oriented Models and Their Combined Use with Receptor Models; EUR 30082 EN; Publications Office of the European Union: Luxembourg, 2020. [Google Scholar] [CrossRef]
 - Papanastasiou, D.K.; Melas, D. Climatology and impact on air quality of sea breeze in an urban coastal environment. Int. J. Climatol. 2009, 29, 305–315. [Google Scholar] [CrossRef]
 - Zapletal, M.; Cudlín, P.; Khadka, C.; Křůmal, K.; Mikuška, K.; Cigánková, H.; Polášek, M. Characteristics and Sources of PAHs, Hopanes, and Elements in PM10 Aerosol in Tulsipur and Charikot (Nepal). Water Air Soil Pollut. 2022, 233, 486. [Google Scholar] [CrossRef]
 - CE Delft. Health Costs of Air Pollution in European Cities and the Linkage with Transport Report; CE Delft: Delft, The Netherlands, 2020; Available online: www.cedelft.eu (accessed on 15 February 2024).
 - Gan, W.; Koehoorn, M.; Davies, H.; Demers, P.; Tamburic, L.; Brauer, M. Long-term exposure to traffic-related air pollution and the risk of coronary heart disease hospitalization and mortality. Epidemiology 2011, 22, S30. [Google Scholar] [CrossRef]
 - Kelly, F.J.; Fussell, J.C. Air pollution and public health: Emerging hazards and improved understanding of risk. Environ. Geochem. Health 2015, 37, 631–649. [Google Scholar] [CrossRef]
 - Ghorani-Azam, A.; Riahi-Zanjani, B.; Balali-Mood, M. Effects of air pollution on human health and practical measures for prevention in Iran. J. Res. Med. Sci. 2016, 21, 65. [Google Scholar] [CrossRef]
 - Tiotiu, A.I.; Novakova, P.; Nedeva, D.; Chong-Neto, H.J.; Novakova, S.; Steiropoulos, P.; Kowal, K. Impact of Air Pollution on Asthma Outcomes. Int. J. Environ. Res. Public Health 2020, 17, 6212. [Google Scholar] [CrossRef] [PubMed]
 - Mahler, B.; Băiceanu, D.; Panciu, T.C.; Florea, R.M.; Iorga, A.L.; Gnat, M.; German, C.F.; Pârvu, S.; Paraschiv, D.; Manea, D.; et al. Air Pollutants and Their Impact on Chronic Diseases—A Retrospective Study in Bucharest, Romania. Atmosphere 2023, 14, 867. [Google Scholar] [CrossRef]
 - Airly Platform. Available online: www.airly.org (accessed on 24 February 2024).
 - Romanian National Institute of Public Health (RNIPH) Web Page. Available online: https://insp.gov.ro/ (accessed on 24 March 2024).
 - Rugani, B.; Caro, D. Impact of COVID-19 outbreak measures of lockdown on the Italian Carbon Footprint. Sci. Total Environ. 2020, 737, 139806. [Google Scholar] [CrossRef] [PubMed]
 - Berman, J.D.; Ebisu, K. Changes in U.S. air pollution during the COVID-19 pandemic. Sci. Total Environ. 2020, 739, 139864. [Google Scholar] [CrossRef]
 - Zambrano-Monserrate, M.A.; Ruano, M.A.; Sanchez-Alcalde, L. Indirect effects of COVID-19 on the environment. Sci. Total Environ. 2020, 728, 138813. [Google Scholar] [CrossRef]
 - Nakada, L.Y.K.; Urban, R.C. COVID-19 pandemic: Impacts on the air quality during the partial lockdown in São Paulo state, Brazil. Sci. Total Environ. 2020, 730, 139087. [Google Scholar] [CrossRef]
 - Sicard, P.; de Marco, A.; Agathokleous, E.; Feng, Z.; Xu, X.; Paoletti, E.; Rodriguez, J.J.D.; Calatayud, V. Amplified ozone pollution in cities during the COVID-19 lockdown. Sci. Total Environ. 2020, 735, 139542. [Google Scholar] [CrossRef]
 - Sharma, S.; Zhang, M.; Anshika; Gao, J.; Zhang, H.; Kota, S.H. Effect of restricted emissions during COVID-19 on air quality in India. Sci. Total Environ. 2020, 728, 138878. [Google Scholar] [CrossRef]
 - Grange, S.K.; Lee, J.D.; Drysdale, W.S.; Lewis, A.C.; Hueglin, C.; Emmenegger, L.; Carslaw, D.C. COVID-19 lockdowns highlight a risk of increasing ozone pollution in European urban areas. Atmos. Chem. Phys. 2021, 21, 4169–4185. [Google Scholar] [CrossRef]
 - Levelt, P.F.; Stein Zweers, D.C.; Aben, I.; Bauwens, M.; Borsdorff, T.; De Smedt, I.; Eskes, H.J.; Lerot, C.; Loyola, D.G.; Romahn, F.; et al. Air quality impacts of COVID-19 lockdown measures detected from space using high spatial resolution observations of multiple trace gases from Sentinel-5P/TROPOMI. Atmos. Chem. Phys. 2022, 22, 10319–10351. [Google Scholar] [CrossRef]
 - Gautam, S. The influence of COVID-19 on air quality in India: A boon or inutile. Bull. Environ. Contamin. Toxicol. 2020, 104, 724–726. [Google Scholar] [CrossRef] [PubMed]
 - Muhammad, S.; Long, X.; Salman, M. COVID-19 pandemic and environmental pollution: A blessing in disguise? Sci. Total Environ. 2020, 728, 138820. [Google Scholar] [CrossRef] [PubMed]
 - Bao, R.; Zhang, A. Does lockdown reduce air pollution? Evidence from 44 cities in northern China. Sci. Total Environ. 2020, 731, 139052. [Google Scholar] [CrossRef] [PubMed]
 - Military Ordinance No. 3 of 24.03.2020 on Measures to Prevent the Spread of COVID-19. Romanian Government Web Page. Available online: https://www.mai.gov.ro/ordonanta-militara-nr-3-din-24-03-2020-privind-masuri-de-prevenire-a-raspandirii-covid-19/ (accessed on 24 March 2024). (In Romanian)
 - European Commission. October Infringements Package: Key Decisions. 2020. Available online: https://ec.europa.eu/commission/presscorner/detail/en/inf_20_1687 (accessed on 25 March 2024).
 - Samardžija, V.; Dukes, A. (Eds.) Communicating Integration Impact in Croatia and Ireland; Institute for International Relations—IMO: Zagreb, Croatia; Institute for International and European Affairs—IIEA: Dublin, Ireland, 2008. [Google Scholar]
 - Iorga, G. Air pollution and environmental policies, EU and Romania: Where we stand, what the data reveals, what should be done in the future? In Europeanization of Environmental Policies and their Limitations: Capacity Building; Todor, A., Helepciuc, F.E., Eds.; Springer Nature Switzerland AG: Cham, Switzerland, 2021; 23p, ISBN 978-3-030-68585-0. [Google Scholar] [CrossRef]
 - Romanian National Institute of Statistics. Available online: http://statistici.insse.ro:8077/tempo-online/#/pages/tables/insse-table (accessed on 23 January 2024).
 - Marin, M.; Vlase, S.; Ellahi, R.; Bhatti, M.M. On the Partition of Energies for the Backward in Time Problem of Thermoelastic Materials with a Dipolar Structure. Symmetry 2019, 11, 863. [Google Scholar] [CrossRef]
 - Mărmureanu, L.; Marin, C.A.; Andrei, S.; Antonescu, B.; Ene, D.; Boldeanu, M.; Vasilescu, J.; Viţelaru, C.; Cadar, O.; Levei, E. Orange Snow—A Saharan Dust Intrusion over Romania during Winter Conditions. Remote Sens. 2019, 11, 2466. [Google Scholar] [CrossRef]
 - Romanian National Air Quality Monitoring Network Database. Available online: www.calitateaer.ro (accessed on 15 January 2023).
 - Van Poppel, M.; Peters, J.; Levei, E.A.; Mărmureanu, L.; Moldovan, A.; Hoaghia, M.A.; Varaticeanu, C.; Van Laer, J. Mobile measurements of black carbon: Comparison of normal traffic with reduced traffic conditions during COVID-19 lock-down. Atmos. Environ. 2023, 297, 119594. [Google Scholar] [CrossRef]
 - Google Community Mobility Reports. Available online: https://www.google.com/covid19/mobility/ (accessed on 1 February 2022).
 - Barde, M.; Barde, P. What to use to express the variability of data: Standard deviation or standard error of mean? Perspect. Clin. Res. 2012, 3, 113. [Google Scholar] [CrossRef]
 - Sherwani, R.A.K.; Shakeel, H.; Awan, W.B.; Faheem, M.; Aslam, M. Analysis of COVID-19 data using neutrosophic Kruskal Wallis H test. BMC Med. Res. Methodol. 2021, 21, 215. [Google Scholar] [CrossRef]
 - Levei, L.; Hoaghia, M.-A.; Roman, M.; Marmureanu, L.; Moisa, C.; Levei, E.A.; Ozunu, A.; Cadar, O. Temporal Trend of PM10 and Associated Human Health Risk over the Past Decade in Cluj-Napoca City, Romania. Appl. Sci. 2020, 10, 5331. [Google Scholar] [CrossRef]
 - Yunesian, M.; Rostami, R.; Zarei, A.; Fazlzadeh, M.; Janjani, H. Exposure to high levels of PM2.5 and PM10 in the metropolis of Tehran and the associated health risks during 2016–2017. Microchem. J. 2019, 150, 104174. [Google Scholar] [CrossRef]
 - US Environmental Protection Agency. Risk Assessment Guidance for Superfund Volume I, Human Health Evaluation Manual, Part F, Supplement Guidance for Inhalation Risk Assessment; Office of Emergency and Remedial Response: Washington, DC, USA, 2011. Available online: https://www.epa.gov/sites/production/files/2015-09/documents/partf_200901_final.pdf (accessed on 2 February 2024).
 - World Health Organization (WHO). Ambient Air Pollution: A Global Assessment of Exposure and Burden of Disease. 2016. Available online: http://apps.who.int/iris/bitstream/10665/250141/1/9789241511353-eng.pdf?ua = 1 (accessed on 2 February 2024).
 - Nataliia, H.; Volodymyr, Z.; Halyna, Z. Distinction the determinants of the COVID-19 epidemic process using the Kruskal-Wallis One-Way analysis of variance. In Proceedings of the 19th International Scientific and Practical Conference “Innovative Approaches to Solving Scientific Problems”, Tokyo, Japan, 16–19 May 2023. [Google Scholar]
 - World Health Organization. WHO Global Air Quality Guidelines: Particulate Matter (PM2.5 and PM10), Ozone, Nitrogen Dioxide, Sulfur Dioxide and Carbon Monoxide; World Health Organization: Geneva, Switzerland, 2021. [Google Scholar]
 - Said, S.; Salah, Z.; Hassan, I.A. COVID-19 Lockdown: Impact on PM10 and PM2.5 in Six Megacities in the World Assessed Using NASA’s MERRA-2 Reanalysis. Asian J. Atmos. Environ. 2022, 16, 2021146. [Google Scholar] [CrossRef]
 - Chadwick, E.; Le, K.; Pei, Z.; Sayahi, T.; Rapp, C.; Butterfield, A.E.; Kelly, K.E. Understanding the effect of COVID-19 on particle pollution using a low-cost sensor network. J. Aerosol. Sci. 2021, 155, 105766. [Google Scholar] [CrossRef] [PubMed]
 - Varotsos, C.; Christodoulakis, J.; Kouremadas, G.A.; Fotaki, E.F. The Signature of the Coronavirus Lockdown in Air Pollution in Greece. Water Air Soil Pollut. 2021, 232, 119. [Google Scholar] [CrossRef] [PubMed]
 - Tositti, L.; Brattich, E.; Cassardo, C.; Morozzi, P.; Bracci, A.; Marinoni, A.; Di Sabatino, S.; Porcù, F.; Zappi, A. Development and evolution of an anomalous Asian dust event across Europe in March 2020. Atmos. Chem. Phys. 2020, 4047–4073. [Google Scholar] [CrossRef]
 - Hörmann, S.; Jammoul, F.; Kuenzer, T.; Stadlober, E. Separating the impact of gradual lockdown measures on air pollutants from seasonal variability. Atmos. Pollut. Res. 2021, 12, 84–92. [Google Scholar] [CrossRef]
 - European Parliament: Directive 2008/50/EC of the European Parliament and of the Council of 21 May 2008 on Ambient Air Quality and Cleaner Air for Europe, European Commission, Brussels, Belgium. 2008. Available online: https://eur-lex.europa.eu/eli/dir/2008/50/oj (accessed on 30 November 2021).
 - Al-Dabbagh, S.K.; Almusawi, V.; Alknani, B.A. Verification of Some Weather Elements Forecasts from BSC-DREAM8b V2 Model. IOP Conf. Ser. Earth Environ. Sci. 2023, 1223, 012008. [Google Scholar] [CrossRef]
 - Miclean, M.; Cadar, O.; Levei, E.A.; Roman, R.; Ozunu, A.; Levei, L. Metal (Pb, Cu, Cd, and Zn) Transfer along Food Chain and Health Risk Assessment through Raw Milk Consumption from Free-Range Cows. Int. J. Environ. Res. Public Health 2019, 16, 4064. [Google Scholar] [CrossRef]
 - Šikoparija, B. Desert dust has a notable impact on aerobiological measurements in Europe. Aeolian Res. 2020, 47, 100636. [Google Scholar] [CrossRef]
 - Zhang, X.X.; Claiborn, C.; Lei, J.Q.; Vaughan, J.; Wu, S.X.; Li, S.Y.; Liu, L.Y.; Wang, Z.F.; Wang, Y.D.; Huang, S.Y.; et al. Aeolian dust in Central Asia: Spatial distribution and temporal variability. Atmos. Environ. 2020, 238, 117734. [Google Scholar] [CrossRef]
 - Mihalache, B.; Colt, M.; Stefan, S.; Iorga, G. New insights into the air quality of an industrial petrochemical urban area. Part 2: Temporal pattern, trends and pollution episodes. 2024; manuscript in preparation. [Google Scholar]
 - Bodor, K.; Szép, R.; Bodor, Z. The human health risk assessment of particulate air pollution (PM2.5 and PM10) in Romania. Toxicol. Rep. 2022, 9, 556–562. [Google Scholar] [CrossRef]
 - Chalvatzaki, E.; Chatoutsidou, S.E.; Lehtomäki, H.; Almeida, S.M.; Eleftheriadis, K.; Hänninen, O.; Lazaridis, M. Characterization of Human Health Risks from Particulate Air Pollution in Selected European Cities. Atmosphere 2019, 10, 96. [Google Scholar] [CrossRef]
 - Turek, T.; Diakowska, E.; Kaminska, J.A. Has COVID-19 lockdown affected on air quality?—Different time scale case study in Wroclaw, Poland. Atmosphere 2021, 12, 1549. [Google Scholar] [CrossRef]
 - Aggoune-Mtalaa, W.; Laib, M. Analyzing air pollution and traffic data in urban areas in Luxembourg. Smart Cities 2023, 6, 929–943. [Google Scholar] [CrossRef]
 




| Station Code | Station Type | Latitude | Longitude | Elevation (m) | 
|---|---|---|---|---|
| Bucharest | ||||
| B-3 | traffic | 44.441° N | 26.151° E | 81 | 
| B-6 | traffic | 44.429° N | 26.120° E | 80 | 
| B-8 | background, regional | 44.617° N | 26.116° E | 94 | 
| Brașov | ||||
| BV-1 | traffic | 45.637° N | 25.631° E | 599 | 
| BV-3 | traffic | 45.659° N | 25.616° E | 599 | 
| BV-4 | suburban | 45.718° N | 25.624° E | 518 | 
| Iași | ||||
| IS-1 | traffic | 47.157° N | 27.574° E | 50 | 
| IS-4 | background, regional | 47.199° N | 27.545° E | 165 | 
| STATION | B-3 | B-6 | BV-1 | BV-3 | IS-1 | |||||
|---|---|---|---|---|---|---|---|---|---|---|
| YEARS | 2020 | 2022 | 2020 | 2022 | 2020 | 2022 | 2020 | 2022 | 2020 | 2022 | 
| BAU | 15.65 | 9.37 | 13.07 | 6.89 | 1.87 | 2.83 | 4.88 | 8.01 | 20.83 | 17.86 | 
| LOCKDOWN | 10.48 | 12.28 | 8.01 | 9.79 | 0.85 | 1.05 | 1.54 | 4.28 | 7.14 | 15.02 | 
| ALERT 1 | 10.26 | 11.08 | 7.02 | 8.97 | 1.57 | - | 4.18 | - | 8.68 | 8.77 | 
| ALERT 2 | 12.47 | 13.75 | 9.13 | 12.28 | 2.95 | - | 5.31 | - | 13.89 | - | 
| STATION | B-3 | B-6 | BV-1 | BV-3 | IS-1 | |||||
|---|---|---|---|---|---|---|---|---|---|---|
| YEARS | 2020 | 2022 | 2020 | 2022 | 2020 | Years | 2020 | 2022 | 2020 | 2022 | 
| BAU | 1.90 | 2.03 | 2.04 | 1.88 | 1.39 | 1.30 | 1.60 | 1.60 | 2.43 | 2.20 | 
| LOCKDOWN | 1.58 | 1.87 | 1.45 | 1.63 | 1.26 | 1.16 | 1.29 | 1.31 | 1.40 | 1.87 | 
| ALERT 1 | 1.80 | 1.79 | 1.58 | 1.63 | 1.15 | - | 1.35 | - | 1.74 | 1.59 | 
| ALERT 2 | 1.78 | 1.80 | 1.57 | 1.73 | 1.24 | - | 1.38 | - | 1.89 | - | 
| Period/Station | B-3 | B-6 | BV-1 | BV-3 | IS-1 | 
|---|---|---|---|---|---|
| BAU | 0.831 | 0.057 | 0.590 | 0.032 * | 0.804 | 
| LOCKDOWN | 0.005 * | 0.044 * | 0.006 * | 0.000 * | 0.000 * | 
| ALERT 1 | 0.021 * | 0.000 * | 0.002 * | 0.000 * | 0.000 * | 
| ALERT 2 | 0.000 * | 0.000 * | 0.2158 | 0.007 * | 0.000 * | 
| Period/Station | B-3 | B-6 | BV-1 | BV-3 | IS-1 | 
|---|---|---|---|---|---|
| BAU | 0.750 | 0.057 | 0.129 | 0.621 * | 0.167 | 
| LOCKDOWN | 0.001 * | 0.022 * | 0.022 * | 0.000 * | 0.000 * | 
| ALERT 1 | 0.932 | 0.006 * | 0.008 * | 0.000 * | 0.436 * | 
| ALERT 2 | 0.038 * | 0.000 * | 0.189 | 0.016 * | 0.030 * | 
Disclaimer/Publisher’s Note: The statements, opinions and data contained in all publications are solely those of the individual author(s) and contributor(s) and not of MDPI and/or the editor(s). MDPI and/or the editor(s) disclaim responsibility for any injury to people or property resulting from any ideas, methods, instructions or products referred to in the content.  | 
© 2024 by the authors. Licensee MDPI, Basel, Switzerland. This article is an open access article distributed under the terms and conditions of the Creative Commons Attribution (CC BY) license (https://creativecommons.org/licenses/by/4.0/).
Share and Cite
Burghelea, G.-B.; Mărmureanu, L.; Iorga, G.; Antonescu, B. Comparison of PM10 Levels in Three of the Most Polluted Cities in Romania over the Periods Related to Lower Traffic—Implications for Human Health. Appl. Sci. 2024, 14, 8169. https://doi.org/10.3390/app14188169
Burghelea G-B, Mărmureanu L, Iorga G, Antonescu B. Comparison of PM10 Levels in Three of the Most Polluted Cities in Romania over the Periods Related to Lower Traffic—Implications for Human Health. Applied Sciences. 2024; 14(18):8169. https://doi.org/10.3390/app14188169
Chicago/Turabian StyleBurghelea, George-Bogdan, Luminita Mărmureanu, Gabriela Iorga, and Bogdan Antonescu. 2024. "Comparison of PM10 Levels in Three of the Most Polluted Cities in Romania over the Periods Related to Lower Traffic—Implications for Human Health" Applied Sciences 14, no. 18: 8169. https://doi.org/10.3390/app14188169
APA StyleBurghelea, G.-B., Mărmureanu, L., Iorga, G., & Antonescu, B. (2024). Comparison of PM10 Levels in Three of the Most Polluted Cities in Romania over the Periods Related to Lower Traffic—Implications for Human Health. Applied Sciences, 14(18), 8169. https://doi.org/10.3390/app14188169
        
                                                
