Single EX-CCCII-Based First-Order Versatile Active Filter
Abstract
:1. Introduction
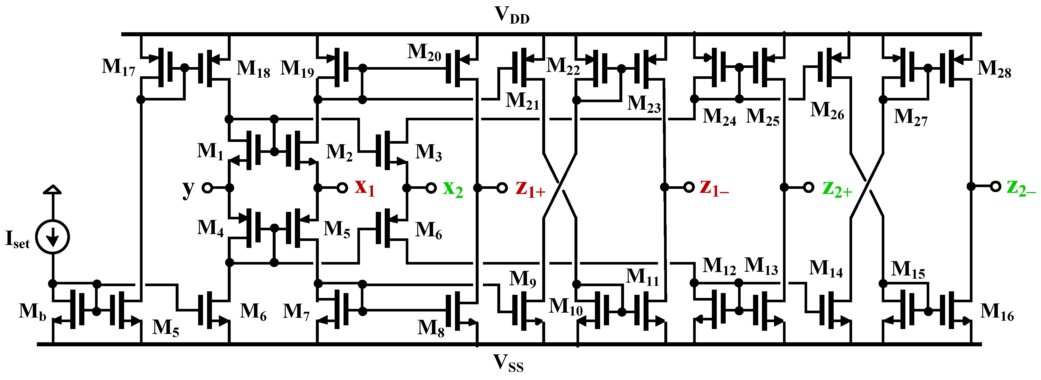
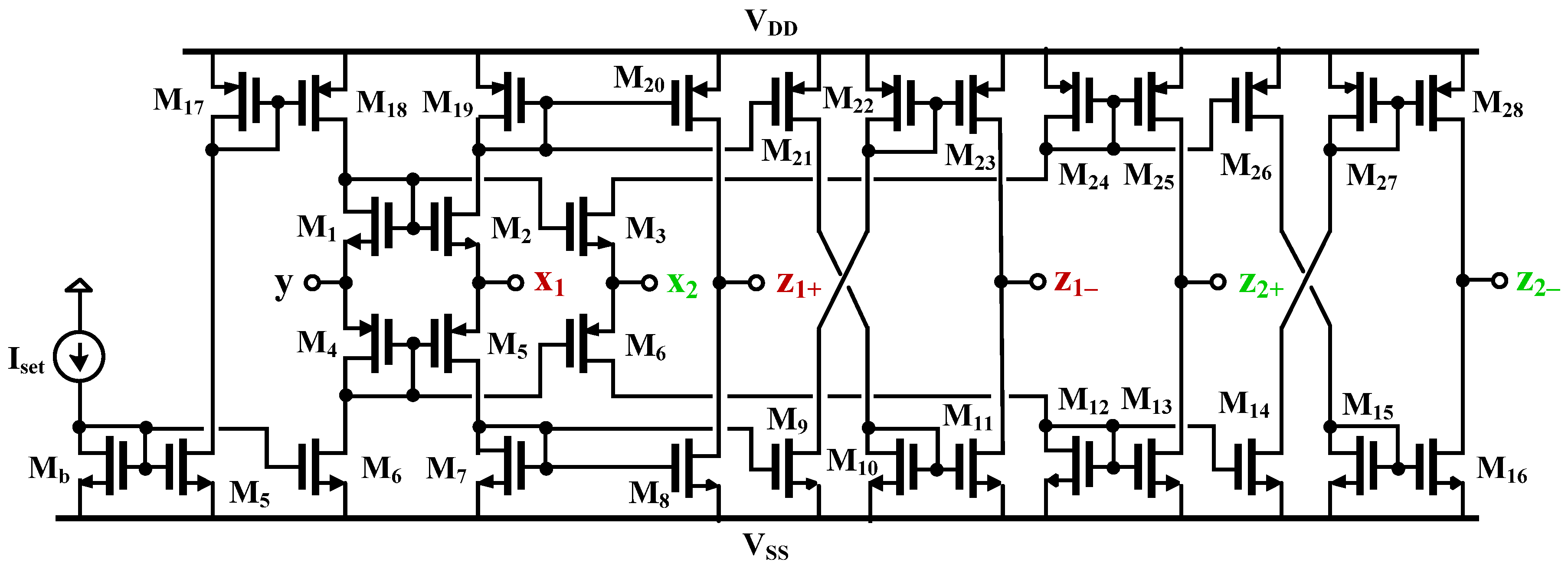
2. Circuit Description
2.1. EX-CCCII
2.2. Current-Mode First-Order Versatile Active Filter
2.3. Applications to a Mixed-Mode First-Order Active Filter
2.4. Non-Idealities Analysis
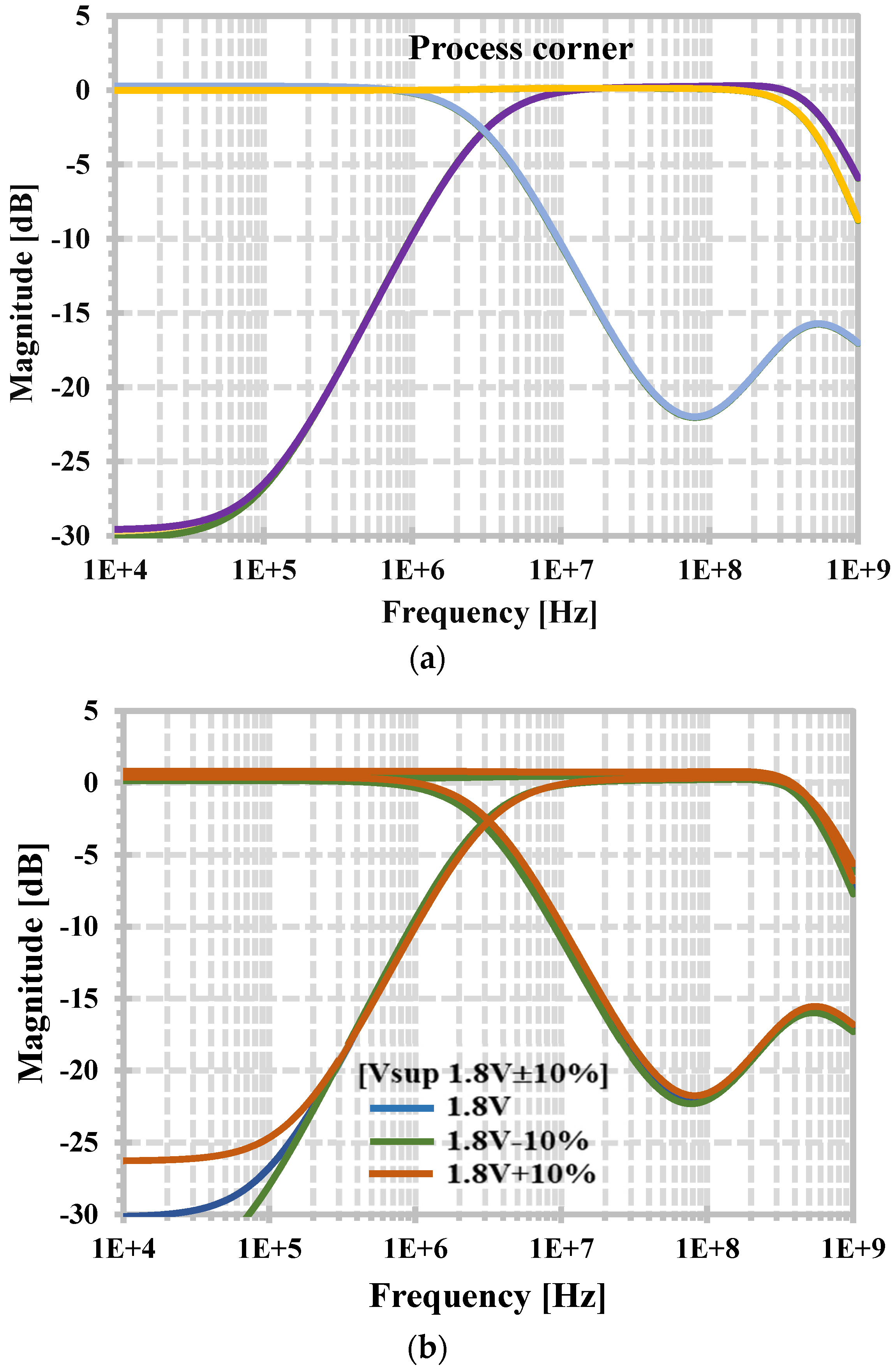
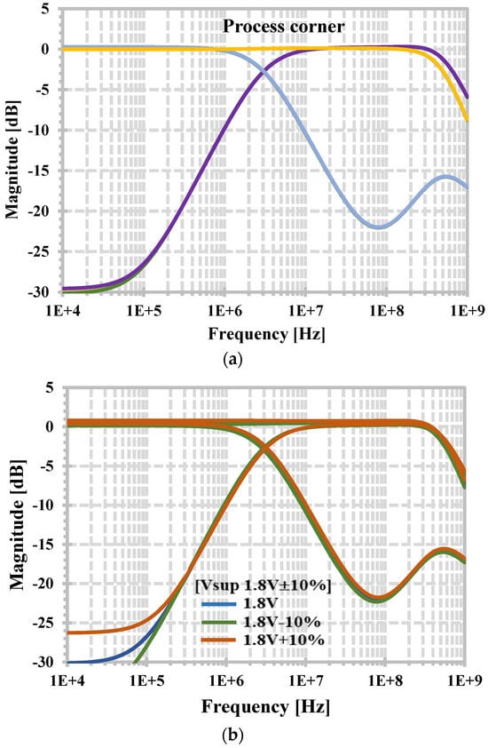
3. Simulation Results
4. Experimental Results
5. Conclusions
Author Contributions
Funding
Institutional Review Board Statement
Informed Consent Statement
Data Availability Statement
Conflicts of Interest
References
- Sedra, A.; Smith, K. A Second-Generation Current Conveyor and Its Applications. IEEE Trans. Circuit Theory 1970, 17, 132–134. [Google Scholar] [CrossRef]
- Roberts, G.W.; Sedra, A.S. All-Current-Mode Frequency Selective Circuits. Electron. Lett. 1989, 25, 759–761. [Google Scholar] [CrossRef]
- Toumazou, C.; Lidgey, F.J.; Haig, D.G. Analogue IC Design: The Current-Mode Approach; Peter Peregrinus: London, UK, 1990. [Google Scholar]
- Chiu, W.; Liu, S.I.; Tsao, H.W.; Chen, J.J. CMOS Differential Difference Current Conveyors and Their Applications. IEE Proceeding Circuits Devices Syst. 1996, 143, 91–96. [Google Scholar] [CrossRef]
- El-Adawy, A.A.; Soliman, A.M.; Elwan, H.O. A Novel Fully Differential Current Conveyor and Applications for Analog VLSI. IEEE Trans. Circuits Syst.-II 2000, 47, 306–313. [Google Scholar] [CrossRef]
- Zeki, A.; Toker, A. The Dual-X Current Conveyor (DXCCII): A New Active Device for Tunable Continuous-Time Filters. Int. J. Electron. 2002, 89, 913–923. [Google Scholar] [CrossRef]
- Maheshwari, S. Realization of Simple Electronic Functions Using EXCCII. J. Circuits Syst. Comput. 2017, 26, 1750171. [Google Scholar] [CrossRef]
- Maheshwari, S.; Agrawal, D. Cascadable and Tunable Analog Building Blocks Using EX-CCCII. J. Circuits Syst. Comput. 2017, 26, 1750093. [Google Scholar] [CrossRef]
- Md Idros, M.F.b.; Abu Hassan, S.F.b. A Design of Butterworth Low Pass Filter’s Layout Basideal Filter Approximation on The Ideal Filter Approximation. In Proceedings of the 2009 IEEE Symposium on Industrial Electronics & Applications, Kuala Lumpur, Malaysia, 4–6 October 2009; pp. 754–757. [Google Scholar] [CrossRef]
- Gift, S.J.G. The Application of All-Pass Filters in The Design of Multiphase Sinusoidal Systems. Microelectron. J. 2000, 31, 9–13. [Google Scholar] [CrossRef]
- Toker, A.; Ozoguz, S.; Cicekoglu, O.; Acar, C. Current-Mode All-Pass Filters Using Current Differencing Buffered Amplifier and a New High-Q Bandpass Filter Configuration. IEEE Trans. Circuits Syst. II Analog Digit. Signal Process. 2000, 47, 949–954. [Google Scholar] [CrossRef]
- Dogan, M.; Yuce, E. A First-Order Universal Filter Including a Grounded Capacitor and Two CFOAs. Analog Integr. Circuits Signal Process. 2022, 112, 379–390. [Google Scholar] [CrossRef]
- Kumari, S.; Nand, D. DDCC-Based MISO Type Voltage-Mode First-Order Universal Filter. In Proceedings of the 2022 2nd International Conference on Intelligent Technologies (CONIT), Hubli, India, 24–26 June 2022; pp. 1–6. [Google Scholar] [CrossRef]
- Singh, P.; Varshney, V.; Kumar, A.; Nagaria, R.K. Electronically Tunable First Order Universal Filter Based on CCDDCCTA. In Proceedings of the 2019 IEEE Conference on Information and Communication Technology, Allahabad, India, 6–8 December 2019; pp. 1–6. [Google Scholar] [CrossRef]
- Jaikla, W.; Talabthong, P.; Siripongdee, S.; Supavarasuwat, P.; Suwanjan, P.; Chaichana, A. Electronically Controlled Voltage Mode First Order Multifunction Filter Using Low-Voltage Low-Power Bulk-Driven OTAs. Microelectron. J. 2019, 91, 22–35. [Google Scholar] [CrossRef]
- Jaikla, W.; Buakhong, U.; Siripongdee, S.; Khateb, F.; Sotner, S.; Silapan, P.; Suwanjan, P.; Chaichana, A. Single Commercially Available IC-Based Electronically Controllable Voltage-Mode First-Order Multifunction Filter with Complete Standard Functions and Low Output Impedance. Sensors 2021, 21, 7376. [Google Scholar] [CrossRef] [PubMed]
- Barile, G.; Safari, L.; Pantoli, L.; Stornelli, V.; Ferri, G. Electronically Tunable First Order AP/LP and LP/HP Filter Topologies Using Electronically Controllable Second Generation Voltage Conveyor (CVCII). Electronics 2021, 10, 822. [Google Scholar] [CrossRef]
- Duangmalai, D.; Suwanjan, P. The Voltage-Mode First Order Universal Filter Using Single Voltage Differencing Differential Input Buffered Amplifier with Electronic Controllability. Int. J. Electr. Comput. Eng. 2022, 12, 1308–1323. [Google Scholar] [CrossRef]
- Singh, P.; Nagaria, R.K. Voltage Mode and Trans-Admittance Mode First-Order Universal Filters Employing DV-EXCCCII. Aust. J. Electr. Electron. Eng. 2022, 19, 396–406. [Google Scholar] [CrossRef]
- Dogan, M.; Yuce, E.; Dicle, Z. CFOA-Based First-Order Voltage-Mode Universal Filters. AEU-Int. J. Electron. Commun. 2023, 161, 154550. [Google Scholar] [CrossRef]
- Khateb, F.; Kumngern, M.; Kulej, T. 0.5-V Nano-Power Voltage-Mode First-Order Universal Filter Based on Multiple-Input OTA. IEEE Access 2023, 11, 49806–49818. [Google Scholar] [CrossRef]
- Kumngern, M.; Khateb, F.; Kulej, T.; Steffan, P. 0.3-V Voltage-Mode Versatile First-Order Analog Filter Using Multiple-Input DDTAs. Sensors 2023, 23, 5945. [Google Scholar] [CrossRef] [PubMed]
- Li, Y.-A. A series of new circuits based on CFTAs. AEU-Int. J. Electron. Commun. 2012, 66, 587–592. [Google Scholar] [CrossRef]
- Herencsar, N.; Lahiri, A.; Koton, J.; Vrba, K. First-Order Multifunction Filter Design Using Current Amplifiers. In Proceedings of the 2016 39th International Conference on Telecommunications and Signal Processing (TSP), Vienna, Austria, 27–29 June 2016; pp. 279–282. [Google Scholar] [CrossRef]
- Kumar, A.; Paul, S.K. Current Mode First Order Universal Filter and Multiphase Sinusoidal Oscillator. AEU-Int. J. Electron. Commun. 2017, 81, 37–49. [Google Scholar] [CrossRef]
- Chaturvedi, B.; Mohan, J.; Jitender; Kumar, A. A Novel Realization of Current-Mode First Order Universal Filter. In Proceedings of the 2019 6th International Conference on Signal Processing and Integrated Networks (SPIN), Noida, India, 7–8 March 2019; pp. 623–627. [CrossRef]
- Horng, J.-W.; Wu, C.-M.; Zheng, J.-H.; Li, S.-Y. Current-Mode First-Order Highpass, Lowpass, And Allpass Filters Using Two ICCIIs. In Proceedings of the 2020 IEEE International Conference on Consumer Electronics-Taiwan (IC-CE-Taiwan), Taoyuan, Taiwan, 28–30 September 2020; pp. 1–2. [Google Scholar] [CrossRef]
- Yucel, F. A DVCC-Based Current-Mode First-Order Universal Filter. J. Circuits Syst. Comput. 2021, 30, 2150305. [Google Scholar] [CrossRef]
- Yuce, E.; Minaei, S. A New First-Order Universal Filter Consisting of Two ICCII+s and a Grounded Capacitor. AEU-Int. J. Electron. Commun. 2021, 137, 153802. [Google Scholar] [CrossRef]
- Raj, A.; Bhaskar, D.R.; Senani, R.; Kumar, P. Extension of Recently Proposed Two-CFOA-GC All Pass Filters to The Realisation of First Order Universal Active Filters. AEU-Int. J. Electron. Commun. 2022, 146, 154119. [Google Scholar] [CrossRef]
- Herencsar, N.; Koton, J.; Sagbas, M.; Ayten, U.E. New Tunable Resistorless CM First-Order Filter Based on Single CBTA and Grounded Capacitor. In Proceedings of the 2016 IEEE 59th International Midwest Symposium on Circuits and Systems (MWSCAS), Abu Dhabi, United Arab Emirates, 16–19 October 2016; pp. 1–4. [Google Scholar] [CrossRef]
- Safari, L.; Yuce, E.; Minaei, S. A New ICCII Based Resistor-Less Current-Mode First-Order Universal Filter with Electronic Tuning Capability. Microelectron. J. 2017, 67, 101–110. [Google Scholar] [CrossRef]
- Chaturvedi, B.; Kumar, A.; Mohan, J. Low Voltage Operated Current-Mode First-Order Universal Filter and Sinusoidal Oscillator Suitable for Signal Processing Applications. AEU-Int. J. Electron. Commun. 2019, 99, 110–118. [Google Scholar] [CrossRef]
- Chaturvedi, B.; Mohan, J.; Jitender; Kumar, A. Resistorless Realization of First-Order Current Mode Universal Filter. Radio Sci. 2020, 55, e2019RS006932. [Google Scholar] [CrossRef]
- Kumar, A.; Kumar, S.; Elkamchouchi, D.H.; Urooj, S. Fully Differential Current-Mode Configuration for the Realization of First-Order Filters with Ease of Cascadability. Electronics 2022, 11, 2072. [Google Scholar] [CrossRef]
- Chaturvedi, B.; Kumar, A. Electronically Tunable First-Order Filters and Dual-Mode Multiphase Oscillator. Circuits Syst. Signal Process. 2019, 38, 2–25. [Google Scholar] [CrossRef]
- Rohilla, K.; Pushkar, K.L.; Kumar, R.; Raj, A. Resistorless First-Order Universal Filter Structures Employing OTAs with Independent Controllability of Gain and Pole Frequency. IETE J. Res. 2022, 70, 756–776. [Google Scholar] [CrossRef]
- Kumngern, M.; Jongchanachavawat, W.; Phatsornsiri, P.; Wongprommoon, N.; Khateb, F.; Kulej, T. Current-Mode First-Order Versatile Filter Using Translinear Current Conveyors with Controlled Current Gain. Electronics 2023, 12, 2828. [Google Scholar] [CrossRef]
- Chaturvedi, B.; Mohan, J.; Gupta, S.N. First Order Mixed Mode MOS-C All-Pass Frequency Selective Analog Network with Electronic Tuning. Trends Sci. 2022, 19, 4616. [Google Scholar] [CrossRef]
- Raj, A. Mixed-Mode Electronically-Tunable First-Order Universal Filter Structure Employing Operational Transconductance Amplifiers. J. Circuits Syst. Comput. 2022, 31, 2250234. [Google Scholar] [CrossRef]
- Bhaskar, D.R.; Raj, A.; Rajb, S.; Kumar, P. CFOA-Based Simple Mixed-Mode First-Order Universal Filter Configurations. Int. J. Circuit Theory Appl. 2022, 50, 2631–2641. [Google Scholar] [CrossRef]
- Roongmuanpha, N.; Likhitkitwoerakul, N.; Fukuhara, M.; Tangsrirat, W. Single VDGA-Based Mixed-Mode Electronically Tunable First-Order Universal Filter. Sensors 2023, 23, 2759. [Google Scholar] [CrossRef] [PubMed]
- Perumal, S.; Faseehuddin, M.; Kukker, A.; Shireen, S.; Tangsrirat, W. Minimum Component Truly Mixed Mode First Order Universal Filter Employing EXCCTA. Inf. MIDEM 2023, 53, 177–189. [Google Scholar] [CrossRef]
- Maheshwari, S. Current Conveyor All-Pass Sections: Brief Review and Novel Solution. Sci. World J. 2013, 2013, 429391. [Google Scholar] [CrossRef]
- Maheshwari, S. Tuning Approach for First-Order Filters and New Current-Mode Circuit Example. IET Circuits Devices Syst. 2018, 12, 478–485. [Google Scholar] [CrossRef]
- Agrawal, D.; Maheshwari, S. An Active-C Current-Mode Universal First-Order Filter and Oscillator. J. Circuits Syst. Comput. 2019, 28, 1950219. [Google Scholar] [CrossRef]
- Agrawal, D.; Tripathi, S.K.; Reddy, N.S.; Reddy, M.V.; Shoaib, P.M. Design a Configurable First Order Universal Filter Using a Single EX-CCCII. Russ. Microelectron. 2024, 53, 290–296. [Google Scholar] [CrossRef]
- Mohan, J.; Chaturvedi, B.; Jitender. CMOS Compatible First-Order Current Mode Universal Filter Structure and Its Possible Tunable Variant. J. Circuits Syst. Comput. 2022, 31, 2250242. [Google Scholar] [CrossRef]
- Lee, C.-N. Fully Cascadable Mixed-Mode Universal Filter Biquad Using DDCCs and Grounded Passive Components. J. Circuits Syst. Comput. 2011, 20, 607–620. [Google Scholar] [CrossRef]
- Agrawal, D.; Maheshwari, S. High-Performance Electronically Tunable Analog Filter Using a Single EX-CCCII. Circuits Syst. Signal Process. 2021, 40, 1127–1151. [Google Scholar] [CrossRef]
- Riewruja, V.; Anuntahirunrat, K.; Surakampontorn, W. A Class AB CMOS Square-Rooting Circuit. Int. J. Electron. 1998, 85, 55–60. [Google Scholar] [CrossRef]
- AD844: 60 MHz, 2000 V/s, Monolithic Op-amp with Quad Low Noise Data Sheet (Rev. G). May 2017. Available online: www.linear.com (accessed on 1 December 2020).
- Bhaskar, D.R.; Raj, A.; Senani, R. Three new CFOA-based SIMO-type universal active filter configurations with unrivalled features. AEU Int. J. Electron. Commun. 2022, 153, 154285. [Google Scholar] [CrossRef]
























| Transistor | W/L (µm/µm) |
|---|---|
| M1–M3 | 5/0.36 |
| M4–M6 | 15/0.36 |
| Mb, M7–M18 | 3/0.36 |
| M19–M30 | 6/0.36 |
| Parameters | Value |
|---|---|
| Technology | 0.18 µm CMOS |
| Power supply | ±0.9 V |
| DC voltage range | ±200 mV |
| DC current range | ±200 μA |
| Voltage gain Vx/Vy | 0.964 |
| Current gain (Iz+/Ix) | 1.01 |
| Current gain (Iz−/Ix) | 1.04 |
| Bandwidth (−3 dB) @ Iset = 20 µA | |
| Voltage follower (Vx/Vy) | 2 GHz |
| Current follower (Iz+/Ix) | 61.46 MHz |
| Current follower (Iz−/Ix) | 61.46 MHz |
| THD [Vy = 200 mV @ 10 kHz] | 0.69% |
| PSRR+ | 32.82 dB |
| PSRR− | 37.67 dB |
| Parasitic parameters @ Iset = 20 µA | |
| - Ry, Cy | 104 kΩ, 0.14 pF |
| - Rx, Lx | 1.81 kΩ, 62 nH |
| - Rz, Cz | 221.35 kΩ, 75.68 fF |
| Power consumption @ Iset = [10–50] µA | [0.29–1.24] mW |
| Factor | Proposed | [32] | [33] | [42] | [43] | [47] |
|---|---|---|---|---|---|---|
| Number of active devices | 1-EX-CCCII | 2-ICCII | 1-DXCCTA | 1-EXCCTA | 1-VDGA | 1-EX-CCCII |
| Realization | CMOS structure and commercial IC | CMOS structure | CMOS structure and commercial IC | CMOS structure and commercial IC | CMOS structure and commercial IC | CMOS structure |
| Number of capacitors | 1-C | 1-C | 1-C | 1-C | 1-C | 1-C |
| Passive/active resistor | - | 1-MOST | - | 4-MOST | 1-R | - |
| Type of filter | SIMO | SIMO | SIMO | SIMO | MIMO | SISO |
| Operation mode | CM | CM | CM | MM | MM | VM |
| Number of offered responses | 6 | 6 | 3 | 12-MM 3-CM | 12-MM 3-CM | 3 |
| All grounded capacitors | Yes | No | Yes | Yes | Yes (CM) | Yes |
| Low-input and high-output impedances | Yes | No | Yes | Yes | No | - |
| Yes | Yes | Yes | Yes | Yes | Yes | |
| Simulated power supply (V) | ±0.9 | ±0.75 | ±1.25 | ±1.25 | ±0.9 | ±0.5 |
| Pole frequency (MHz) | 2.85 | 2.6 | 10 | 16.23 | 1.59 | 4.5 |
| Simulated power dissipation (mW) | 0.558 | 4.08 | 1.75 | - | 1.31 | - |
| Total harmonic distortion (%) | 1.09@120 μA | <1.5@90 μApp | - | - | 0.38@20 μA (Exp.) | - |
| Dynamic range | 75.99 | - | - | - | - | - |
| Verification of result | Sim./Exp. * | Sim. | Sim./Exp. * | Sim./Exp. * | Sim./Exp. * | Sim. |
Disclaimer/Publisher’s Note: The statements, opinions and data contained in all publications are solely those of the individual author(s) and contributor(s) and not of MDPI and/or the editor(s). MDPI and/or the editor(s) disclaim responsibility for any injury to people or property resulting from any ideas, methods, instructions or products referred to in the content. |
© 2024 by the authors. Licensee MDPI, Basel, Switzerland. This article is an open access article distributed under the terms and conditions of the Creative Commons Attribution (CC BY) license (https://creativecommons.org/licenses/by/4.0/).
Share and Cite
Kumngern, M.; Khateb, F.; Kulej, T. Single EX-CCCII-Based First-Order Versatile Active Filter. Appl. Sci. 2024, 14, 7396. https://doi.org/10.3390/app14167396
Kumngern M, Khateb F, Kulej T. Single EX-CCCII-Based First-Order Versatile Active Filter. Applied Sciences. 2024; 14(16):7396. https://doi.org/10.3390/app14167396
Chicago/Turabian StyleKumngern, Montree, Fabian Khateb, and Tomasz Kulej. 2024. "Single EX-CCCII-Based First-Order Versatile Active Filter" Applied Sciences 14, no. 16: 7396. https://doi.org/10.3390/app14167396
APA StyleKumngern, M., Khateb, F., & Kulej, T. (2024). Single EX-CCCII-Based First-Order Versatile Active Filter. Applied Sciences, 14(16), 7396. https://doi.org/10.3390/app14167396

