Next Article in Journal
3D Character Animation and Asset Generation Using Deep Learning
Next Article in Special Issue
Robotics in the Construction Industry: A Bibliometric Review of Recent Trends and Technological Evolution
Previous Article in Journal
Detection of Arrhythmias Using Heart Rate Signals from Smartwatches
 
 
Font Type:
Arial Georgia Verdana
Font Size:
Aa Aa Aa
Line Spacing:
Column Width:
Background:
Article

Augmented Data-Driven Approach towards 3D Printed Concrete Mix Prediction

1
School of Civil and Environmental Engineering (SCEE), National University of Sciences and Technology (NUST), Sector H-12, Islamabad 44000, Pakistan
2
Department of Civil Engineering, Kunsan National University, Gunsan 54150, Republic of Korea
*
Authors to whom correspondence should be addressed.
Appl. Sci. 2024, 14(16), 7231; https://doi.org/10.3390/app14167231
Submission received: 7 July 2024 / Revised: 5 August 2024 / Accepted: 9 August 2024 / Published: 16 August 2024
(This article belongs to the Special Issue Robotics and Automation Systems in Construction: Trends and Prospects)

Abstract

Formulating a mix design for 3D concrete printing (3DCP) is challenging, as it involves an iterative approach, wasting a lot of resources, time, and effort to optimize the mix for strength and printability. A potential solution is mix formulation through artificial intelligence (AI); however, being a new and emerging field, the open-source availability of datasets is limited. Limited datasets significantly restrict the predictive performance of machine learning (ML) models. This research explores data augmentation techniques like deep generative adversarial network (DGAN) and bootstrap resampling (BR) to increase the available data to train three ML models, namely support vector machine (SVM), artificial neural network (ANN), and extreme gradient boosting regression (XGBoost). Their performance was evaluated using R2, MSE, RMSE, and MAE metrics. Models trained on BR-augmented data showed higher accuracy than those trained on the DGAN-augmented data. The BR-trained XGBoost exhibited the highest R2 scores of 0.982, 0.970, 0.972, 0.971, and 0.980 for cast compressive strength, printed compressive strength direction 1, 2, 3, and slump flow respectively. The proposed method of predicting the slump flow (mm), cast, and anisotropic compressive strength (MPa) can effectively predict the mix design for printable concrete, unlocking its full potential for application in the construction industry.

1. Introduction

The construction industry has witnessed significant progress in recent years with advancements in both construction materials [1,2] and techniques [3,4,5,6,7,8,9,10]. This has revolutionized the industry by focusing on cost-effectiveness [11], sustainability [12], and time efficiency [13]. Construction materials capable of energy harvesting are being researched to be the next generation of smart materials. Xie. et al. evaluated the energy harvesting potential of polyvinyl alcohol (PVA) fiber-reinforced engineered cementitious composite (ECC) using surface-mounted polyvinylidene fluoride (PVDF) [14]. One such innovative and advanced construction technique is (three-dimensional) 3D Concrete Printing (3DCP) [15]. In contrast to traditional construction methods, 3DCP utilizes an extrusion-based additive manufacturing process. The system employs a computer-controlled nozzle that deposits cementitious material with enhanced rheological properties in layers. The movement of the nozzle is unrestricted across three orthogonal axes (x, y, z) via a multi-axis robotic manipulator or gantry system. The deposition path is precisely controlled by a pre-programmed digital model, typically generated through computer-aided design (CAD) or building information modeling (BIM) software [16]. Research has shown that printed structures can significantly cut construction costs and simultaneously have the potential for the incorporation of green technology. For example, buildings constructed using this method have achieved cost savings of 33% in China [17], 50% in the UAE [18], and 60% in the Philippines [19]. He et al. developed a 3D printed Vertical Green Wall (3D-VtGW) system using concrete 3D printing technology, integrating vertical greenery into the building envelope and demonstrated that the 3D-VtGW system reduced air-conditioning load by 11.20% in summer and 9.12% annually while enhancing yearly thermal comfort and lowering the baseline’s lighting power density (LPD) by 10.20% [20]. 3DCP or “Construction 4.0” is extensively being researched as it offers many advantages, including reduced labor involvement, high design flexibility, safer construction, less construction wastage, and environmentally friendly structures [21,22]. This way of construction holds immense potential for printing structures as evidenced by Figure 1.
3D concrete printing is being researched for using advanced cementitious mixes to enhance printability, incorporating materials like silica fume [1], fly ash [23], and nano-clay [24]. Material with more fine particles and cementitious properties can improve the overall quality of print; however, they can also affect the hydration rate, increasing the chances of clogging the nozzle [25]. These materials can also improve the mechanical properties and workability of the concrete, making it more suitable for intricate and high-precision construction tasks [26]. It is also being investigated to explain the complex and interrelated effect of printer characteristics such as nozzle diameter [27], extrusion speed [28], and layer height [29] on the quality and durability of the printed structures. However, among all research questions, one major challenge with this technology that hinders its larger-scale application is the easy and quick formulation of a printable mix design [30]. The mix needs to fulfill certain requirements of fresh and hardened properties simultaneously. During extrusion, the mix requires a lower dynamic yield stress characterized by extrudability; however, while being deposited from the printer, it should resist deformation in its shape under the action of gravity and loading caused by subsequent layer deposition [31]. This property is known as buildability. This build-up-ability of concrete is due to the structuration associated with the formation of silica gel with time [32]. The inherent layer-by-layer deposition process in 3DCP presents an additional challenge of interlayer bonding [33,34].
Figure 1. (a) 3D printed “House Zero” in Austin (Reprinted from [35]) (b) Two-story 3D printed house under construction in Europe (Reprinted from [36]) (c) Earthquake-proof 3D printed house in Guatemala (Reprinted from [37]).
Figure 1. (a) 3D printed “House Zero” in Austin (Reprinted from [35]) (b) Two-story 3D printed house under construction in Europe (Reprinted from [36]) (c) Earthquake-proof 3D printed house in Guatemala (Reprinted from [37]).
Applsci 14 07231 g001
This phenomenon, often referred to as cold joint formation, has a greater influence over the anisotropy of printed elements [38] and arises from the limited interaction between subsequently deposited layers [39]. So, the layers are required to be flowable, which facilitates smooth extrusion and stronger interlayer bonding; however, this negatively affects buildability [30]. This crucial balance, keeping in view the time-dependent rheological properties of concrete, is the most difficult component of 3DCP, which is further aggravated by the variable mechanics of the printer design [16]. Most of the printable mix designs used in commercial-scale printing are protected as intellectual properties, while those available to researchers rely on an iterative approach for their formulation [40,41,42,43,44]. This way of developing the mixed design of printable concrete is costly and generates a huge amount of waste, negating its inherent benefits and eventually restricting the widespread implementation of this technology in the construction sector [5,45,46,47,48]. A generalized interaction of concrete printing devices and rheological properties of concrete for 3DCP is shown in Figure 2.
The mixing technique is critical for 3D printable mixes to ensure uniform material distribution, optimal rheological properties, and consistent mechanical strength. Proper mixing enhances workability, prevents segregation, and ensures strong layer adhesion, leading to high-quality prints with reliable structural integrity [30]. Especially when adding supplementary cementitious materials (SCMs) for optimizing 3D printable mixes, crucial attention must be given to the mixing processes to ensure proper dispersion and distribution. Numerous researchers have explored innovative methods for mixing concrete specifically for 3D printing applications. Chemical additives that improve the buildability of concrete can cause poor pumpability; to address this, special nozzle-based mixing techniques can be implemented [49]. Tao et al. [50] explored the feasibility of integrating an accelerating admixture at the print head using a static mixer and reported that this approach could produce printable mixtures with improved buildability. Similarly, for foaming concrete, a special foam concrete mixer can be designed on the printhead [51]. Mixing time is also crucial in terms of formulating a printable concrete with repeated properties. Zhang et al. achieved superior fiber dispersion for optimal material and printing performance through careful mix proportioning and utilizing component-specific mixing speeds [52]. Hence, innovations in 3DCP mix design are crucial, as they address the issues of mix formulation and material consistency to enhance the overall quality and reliability of printed structures.
Artificial intelligence (AI) in the construction sector has opened new possibilities; for example, AI can optimize project scheduling, identify potential risks before they occur, and use cameras with computer vision to ensure quality control by detecting defects in real-time [53,54]. It can also predict the mix constituents required for the desired concrete properties [55,56]. AI algorithms can analyze vast datasets encompassing material properties, environmental conditions, and desired performance metrics [57]. This enables them to predict the ideal concrete mix composition for a specific application, resulting in superior material performance, enhanced durability, and reduced environmental impact [58]. Like human brains—to learn new information, machine learning (ML) models analyze large amounts of data to understand its interrelationship. Bui et al. used an artificial neural network (ANN) to effectively predict high-performance concrete’s compressive and tensile strength [59]. El-mir et al. predicted the compressive strength of the concrete using a dataset containing the results of the rebound hammer test with root mean square error (RMSE) and mean absolute error (MAE) of 6.58 MPa and 5.27 MPa [60]. ML has also shown its widespread application in the 3D printing of filaments. Fused filament fabrication (FFF) is susceptible to inconsistencies in print quality and repeatability. However, the timely detection of anomalies by implementing ML algorithms can potentially mitigate these challenges [61]. Similarly, the advancements in metallurgy and materials science have relied heavily on trial-and-error methods using established scientific principles. However, the future lies in predictive capabilities anticipating and optimizing material properties, processing parameters, and final product characteristics before trial formulations [62].
Using ML to predict the properties of printable concrete before printing the elements can prove to be beneficial; however, a technology that is still in its developing phase poses many challenges when integrating with machine learning [63,64,65]. One major challenge is the lack of open-source data available for training of models [66]. As this technology is still new, the dataset available is limited in size and extent, restricting the learning capability of models [67,68]. The second challenge is the highly complex nature of the mix designs of printable concrete [30]. The printability of concrete is dependent on many mix constituents, which are to be used as input parameters for model training [4]. The complexity is further compounded by taking into consideration the mechanical design of the concrete printer [69]. A higher workability is required for facilitating the smooth extrusion which can be achieved through the following: by increasing the water-to-cement ratio [26], the addition of superplasticizers [70] and aggregates [71], etc. Increasing the cement content facilitates even extrusion with suitable shape retention; however, this approach is costly and tends to have a higher rate of structuration, ultimately leading to clogging problems [72]. The addition of supplementary cementitious materials can result in decreased cement content, but they decrease the mechanical properties, such as anisotropic compressive strength and interlayer bonding [73]. Similarly, different mix constituents are printable at different extrusion and print speeds, although a balance between them is of vital importance [74]. Similarly, various researchers have also incorporated aggregates into printable mix designs with a size restriction per the nozzle area and the extrusion setup [75]. A higher content of fine aggregate densifies the mix, leading to a smooth extrusion. However, a higher content reduces the interlayer bonding with decreased compressive and flexural strength [76]. The tensile and flexural strength of 3D printed elements can be increased substantially by the addition of fibers; however, they tend to negatively affect the printability of concrete [41]. All these factors, along with their complex interdependency and requirements of printable concrete, need a wide and diverse database for models to learn effectively and provide accurate predictions [67,77].
One possible approach in literature for overcoming the issue of limited data availability is data augmentation [78]. This technique has been used to improve the performance of machine learning models in various fields, such as image recognition, natural language processing, medical imaging, speech recognition, and autonomous driving [79,80]. It creates new training data from existing data through various augmentation techniques like adding artificial noise or systemically extending the original data points [78]. The number of data points is increased while ensuring that data statistics between the real and synthetic data are comparable. Several studies have explored the application of generative models to address this challenge of limited data availability in concrete science [81,82]. Li et al. investigated the impact of data augmentation on the performance of various machine learning regression models by introducing Gaussian noise to the existing dataset and found that the average error decreases by 2.7%, 3%, and 0.8% [83]. Chen et al. showed that, after 250,000 generations of training data set through the generative adversarial network (GAN) model, the classification accuracy improved by 82% [84]. For concrete printing, the dataset available is very small. Alyami et al. used 299 data points to predict the anisotropic compressive strength of 3D-printed fiber-reinforced concrete [85]. Ali et al. developed support vector machine (SVM), decision tree regression (DTR), extreme gradient boosting (XGBoost), and Gaussian process regressor (GPR) models by using 77 mix designs for anisotropic flexural strength and 49 mix designs for tensile strength of 3D printed fiber-reinforced concrete [86]. Uddin et al. proposed ML models for the prediction of the yield stress of concrete printing with R2 scores of 0.99 and 0.98 for light gradient boosting machines (LightGBM) and XGBoost [87]. So, the limited data on concrete printing and its complex material interactions necessitate the integration of advanced AI models for data augmentation with predictive models. This will provide the models with larger datasets, allowing for more accurate forecasts and ultimately facilitating better mix design prediction to cater to various printer designs and printing requirements.
In this study, the dataset used to formulate the mix design of printable concrete was extracted from the literature. This dataset included mix constituents as input features, while the output features were slump flow (mm), cast compressive strength (MPa), and anisotropic compressive strength (MPa). The slump flow values indicate the printability of the concrete so that the predicted mix will have optimal compressive strength and printability. The dataset comprised 18 input features and five output features. Subsequently, data augmentation techniques were applied, and statistical and correlation analyses were performed to verify the compatibility of the augmented data with the original data. Three different machine-learning models were then trained on the augmented dataset and tested on the original data. Finally, the model’s performance was evaluated using various performance metrics.
This research proposes a novel approach to overcome the issue of limited data availability for 3DCP through the use of machine learning models trained on augmented datasets. The data augmentation allowed for enhancing the predictive ability of the models on an already limited data set further limited by the inclusion of both fresh and hardened-state properties. The ability to predict both fresh and hardened-state properties enables precise, efficient concrete mix designs that meet strength and printability requirements, reducing iterations and saving resources. Including fresh-state properties ensures compatibility across various 3DCP setups, facilitating wide-scale implementation and suitability for large-scale 3DPC construction projects. This research holds significant value for advancing the field of printable concrete by offering an efficient and accurate method for mix design development, ultimately facilitating broader adoption of 3DCP technology in the construction industry.

2. Methodology

The collected dataset contains a wide range of features; however, it is limited in terms of size. This can be attributed to the relatively new and evolving field of 3D concrete printing [88]. A restricted data volume can potentially hinder the model’s ability to perform effectively in unanticipated situations. Therefore, the dataset needs to be extended. One approach involves generating further experimental data using a single concrete printing setup. However, this method might not adequately capture the inherent variations encountered in real-world printing environments across various 3D concrete printers.
Conversely, employing multiple printing setups would significantly enhance data diversity, but this approach is rendered impractical due to the substantial costs involved. As an alternative, AI and statistical techniques present a viable solution for data augmentation. Keeping in view the limited nature of the dataset, a comprehensive methodology was adopted for this research study, as shown in Figure 3.
The research methodology was divided into two major components: data augmentation and the development of predictive models. The dataset was extracted from the literature, and after preparation, it was augmented to generate synthetic data. A statistical analysis was performed on the real and the augmented data. The calculated parameters were compared against each other to verify that the augmented data captured the distribution as well as the correlation of the features of the real data adequately. The models were then trained on the augmented dataset and were tested on the real data with their performance evaluated using multiple metrics.

2.1. Dataset Extraction and Preparation

A fundamental hurdle in developing a robust machine-learning model for 3DCP is the scarcity of data [30]. Unlike an established construction technique with well-defined material properties and standardized testing procedures, 3DPC is still relatively new [88]. This translates into a lack of diverse and extensive datasets with uniform features, which results in poor model training, reduced generalizability, and potential prediction inaccuracies [89,90].

2.1.1. Feature Selection

Feature selection is one of the most crucial steps in machine learning which directly impacts models’ performance and efficiency. Choosing the right features for the data enhances the models’ interpretability for the key relationships [91]. For 3D concrete printing (3DCP), this problem is further intensified by the lack of universal printable properties and standardized tests leading to most of the researchers generating a printable mix design with different assessment criteria to optimize cost and sustainability [30]. So, the experimental dataset was extracted from the literature [38,92,93,94,95,96,97,98,99,100,101,102,103,104,105,106,107,108] with an emphasis on printability characterized by slump flow and strength shown by anisotropic compressive strength. A quality-over-quantity approach was taken during data extraction. The input features were mix design constituents, with a focus on constituents mostly used in the formulation of affordable and sustainable mix designs. Most importantly, the extracted dataset includes slump flow, which is essential to capture printability along with anisotropic compressive strength [109,110]. For 3D printing a layer extruded by the setup shown in Figure 4a, the strength is maximum in the loading direction perpendicular to the plane of printing indicated by Dir.1 in Figure 4c, while for the other two loading directions (Dir.2 and Dir.3) as shown in Figure 4d,e, the strength is less than Dir.1 but is comparable to each other [96].

2.1.2. Data Cleaning

The input features are water (kg/m3), cement (kg/m3), silica fume-SF(kg/m3), fly ash-FA (kg/m3), high range water reducing admixture-HRWA (kg/m3), nano clay-NC (kg/m3), viscosity modifying agent-VMA (kg/m3), coarse aggregate-CA amount (kg/m3), max size of coarse aggregate (mm), fine aggregate-FA amount (kg/m3), max size of aggregate (kg/m3), fiber tensile strength (MPa), fiber elastic modulus (GPa), fiber amount (kg/m3), fiber length (mm), fiber diameter (µm), cast compressive strength (MPa) as shown in Figure 4b, printed compressive strength in direction 1 (MPa) as shown in Figure 4c, printed compressive strength in direction 2 (MPa) as shown in Figure 4d, printed compressive strength in direction 3 (MPa) as shown in Figure 4e, slump flow (mm), nozzle area (mm2), and print speed (mm/sec). The data was collected to ensure that each selected mix design had the reported slump flow value (mm). Instead of the conventional method for treating missing values that relies on calculating the mean value, a more tailored approach was taken for filling in the missing values of printed compressive strength. This involves calculating the ratios between the reported strengths and then utilizing that ratio to fill in the missing compressive strength values. Ultimately, the final cleaned data included 1679 data points with 23 features.

2.1.3. Real Dataset Statistics

A statistical data analysis was also performed to gain insights into data distribution. The statistics of the dataset are shown in Table 1.

2.2. Augmentation Techniques

Data augmentation artificially expands the dataset by creating variations of existing data points. The diversified dataset aids the machine learning model to perform better on unseen data and as a result, improves the model’s robustness. There are machine learning-based techniques as well as deep learning-based techniques that can be used for augmentation. Based on the nature of the dataset, existing studies, and reported performance, the Bootstrap Resampling (BR) and Deep Generative Adversarial Network (DGAN) were selected for augmentation.

2.2.1. Bootstrap Resampling

Statistical analysis relies on understanding how a statistical property (e.g., mean, proportion) would vary across different random samples drawn from a population. This variability is captured by the sampling distribution, a theoretical concept typically unavailable from a single sample [111]. Traditionally, parametric approaches assume a specific distribution for the data (e.g., normal distribution) and derive the sampling distribution mathematically [112]. Alternatively, non-parametric methods avoid these assumptions [113]. The bootstrap method offers a unique approach. It utilizes the information within a single sample to create an approximation of the sampling distribution through a technique called bootstrap resampling [114]. The key concept is that original data is repeatedly sampled with replacement. This means a data point can be chosen multiple times, and some points may not be chosen at all. Each resampled dataset is called a bootstrap sample. For each bootstrap sample, the statistic of interest is calculated. This generates a collection of statistical values representing a simulated sampling distribution, the bootstrap distribution [115].
In this study, bootstrap resampling is used to generate synthetic data. More data was introduced into the original dataset to generate an augmented dataset that resembled the original data but with variations. To avoid overfitting, variability is added to the resampled data using a noise function. The noise was added through a normal distribution with a standard deviation of 5 and a mean value of 4. The data were augmented 40 times, generating 67,160.

2.2.2. DGAN

GAN (Generative Adversarial Networks) are powerful augmentation tools [116]. Its key components are two deep neural networks: a generator and a discriminator [117]. The generator is a network that produces new data samples that are indistinguishable from real data. It starts with random noise as input and continuously refines it through its internal layers, ultimately aiming to generate highly realistic data. Discriminator acts as a deep neural network classifier. It receives data, typically in the same format the generator produces (like images for image generation). This data undergoes a two-stage analysis. First, convolutional layers, like those in a Convolutional Neural Network (CNN), meticulously dissect the data, extracting characteristic features. Then, fully connected layers analyze these features and make a final judgment. The verdict is delivered as a probability score between 0 and 1. A value closer to 1 signifies a high likelihood of the data being real, while a value closer to 0 suggests the generator likely generates it. The continuous refinement of GAN, between generator and discriminator is called adversarial training, expressed mathematically through an objective function V (D, G) as follows [118]:
m i n G   m a x D V D , G = E x ~ p d a t a ( x ) [ log D ( x ) ] + E z ~ p z z [ log 1 D G z
where P denotes the data distribution, p z z   signifies the prior distribution of the input noise, and G z refers to the mapping into the data space.
In this research, the core component is a neural network architecture where a sequence of layers progressively transforms random noise vectors into the desired data. The optimized hyperparameter for the DGAN model is shown in Table 2.

2.3. Augmented Data Discussion

Data augmented through BR and DGAN was subjected to statistical analysis. The results were compared with the statistics of the real dataset shown in Table 1 and are shown in graphical form in Figure 5. It can be seen in Figure 5a that although BR can capture the statistics of the data comparably, there is still some variation in the statistics for some features when compared with the real data. However, for DGAN in Figure 5b, it can be observed that there is a high degree of similarity between real data and augmented data statistics. Distribution curves for the real data and augmented data statistics are also shown in Figure 5. It can be seen from Figure 5a that the distribution curves for BR are the same for both real and augmented as BR generates the new data by resampling the existing data and adding noise into it; however, it cannot completely recognize the complex relationship between existing features to develop entirely new data; however, DGAN comprehends the inherent relationship between the features to generate entirely new data thus filling gaps in the distribution; therefore, it can be seen from the Figure 5b, that the distribution for actual data and augmented data is slightly different.
Pearson correlation matrices of the real and DGAN data are also compared to show the effectiveness of the models. It depicts the correlation between features, and it identifies how strongly they are related to each other. This analysis is performed to ensure that the relationship between the different features of data augmented by the BR and DGAN is similar to real data. Figure 6a shows the correlation matrix of the real dataset. The correlation between the HWRA and Cement for the real dataset is −0.030, while for the augmented dataset through DGAN is −0.33 while for data augmented through BR, it is −0.27. Similarly, the correlation between water and print speed is 0.094 for real data, and for the data augmented through the DGAN and BR, it is 0.089 and 0.085, respectively. A similar trend is observed for all other features which is evident from Figure 6b,c. To summarize the comparison between both models, 3D surfaces are generated for the difference in the correlation matrix for real data and augmented datasets. It can be seen from Figure 6d,e that the surface is flatter for DGAN in comparison to BR, showing that the difference between the correlations for DGAN augmented data and real data is less compared to the BR augmented data.
The relative frequency of key features for the data augmented through DGAN and BR and real data is shown in the form of overlapping bar charts with real data represented by light blue, BR augmented data represented by dark blue, DGAN augmented data represented by pink, and the resulting overlap is purple in Figure 7. It also becomes evident from the figure that augmented data matches the distribution of the real data well.

2.4. Models

Machine learning models are algorithms that can learn from data and make predictions based on the data. Various machine learning models exist for the predictions [119], each offering unique advantages like accuracy, reduced costs, faster predictions, and enhanced parameter control [120,121]. Keeping in view the complex nature of the dataset and predictive requirements, the following models were selected for this research.

2.4.1. Artificial Neural Networking (ANN)

Artificial neural networking (ANN) is a computational model inspired by the human brain’s structure [122]. It consists of layers of interconnected nodes, or neurons, which process and transmit data. The network is structured into an input layer, one or more hidden layers, and an output layer [123]. Each neuron receives input, applies an activation function, and passes the output to the next layer. Learning in neural networks involves adjusting the weights of the connections between neurons based on the error of the network’s predictions [124]. This process includes forward propagation (passing input data through the network to generate an output), calculating the error using a loss function, and backpropagation (updating weights to minimize the error using gradient descent).
Various researchers have used ANN for the prediction of concrete properties. Singh et al. developed ANN and multiple linear regression (MR) models for predicting the rheological properties of the concrete and found that ANN can give a more accurate prediction with an R2 score of 0.89 in comparison to MR with an R2 score of 0.323 [125]. Similarly, research conducted by [126] shows that the ANN model exhibits superior accuracy with less variance between the actual and predicted results, as indicated by an R2 value of 0.67. In contrast, the Decision Tree (DT) model shows a lower R2 value of 0.63. ANN is also used in the prediction of 3D concrete printing. ANN was used by [127] to investigate the impact of different steam curing conditions (temperature rise rate, retention capacity, and sustained temperature) on the performance properties of 3D-printed concrete materials at various curing ages effectively, with an R2 score of 0.91. Similar findings are shown by [65,126,128,129]. Although ANN is being used in predicting properties of concrete printing, their performance tends to improve with increased datasets because, with larger datasets, they can learn more complex patterns and reduce overfitting. More data also helps improve the network’s generalization, leading to better performance on unseen data. The hyperparameters for ANN for DGAN and BR are shown in Table 3.

2.4.2. Extreme Gradient Boosting (XGBoost)

Extreme Gradient Boosting is built on the gradient boosting framework, where models are trained sequentially [130]. Each new model corrects the errors made by the previous models. This is achieved by optimizing a loss function using gradient descent. The regressor combines the predictions of multiple weak learners, typically decision trees, to create a strong predictive model. Each tree is built to reduce the residual errors of the previous trees [131]. It employs multiple additive functions to generate the following prediction [132].
p i = p i 0 + n a = 1 k f a ( X i )
where p i represents the predicted value for the i th sample with the feature vector X i , k is the number of estimators, and each estimator f a (with a from 1 to k ) corresponds to an independent tree structure. The initial guess p i 0 , is the mean of the observed values in the training set. The learning rate η (also known as the shrinkage parameter) adds a new tree while preventing overfitting.
Unlike traditional gradient boosting, XGBoost includes a novel regularization technique to prevent overfitting and enhance model robustness. This technique adds an extra term to the loss function, L ( φ ) ,   allowing for quicker and more efficient model tuning [118].
L φ = a L r , p i + b f ( c )
where L ( p r , p i ) represents the actual loss between the real values r and the predicted values p i with f ( c ) being a regularization function that defines the complexity of the model. XGBoost has also been widely used in the prediction of conventional concrete properties like compressive strength [133,134], slump [135] and deflection [136]. It has also been used in concrete printing [118]; however, with an increased dataset, XGBoost models’ performance improves in three keyways. First, it mitigates variance by providing more information, making the model less susceptible to randomness in the training data. Second, the broader range of patterns encountered during training with a larger dataset enhances the model’s generalizability to unseen data. Finally, the abundance of data facilitates XGBoost ensemble of decision trees in capturing more complex relationships between the features, leading to improved performance. The tuned hyperparameters for XGBoost are shown in Table 4.

2.4.3. Support Vector Regression (SVM)

A Support Vector Machine (SVM) is a supervised machine learning algorithm used primarily for classification and sometimes for regression tasks [137]. It works by finding the optimal hyperplane that separates data points of different classes with the maximum margin, enhancing the model’s ability to generalize to new data [138]. The hyperplane is influenced by support vectors, which are the nearest data points to the decision boundary. SVM aims to maximize the margin and the distance between the hyperplane and these support vectors to ensure robust classification [139]. For non-linearly separable data, SVM uses the kernel trick to transform the data into a higher-dimensional space where a hyperplane can effectively separate the classes, making it a versatile tool for handling complex datasets. Training an SVM model involves solving the following equations:
M i n i m i z e   | | ω | | 2 2 + C i = 1 N ( ξ i + ξ i )
s u b j e c t   t o   | y i < ω , x i > b | ϵ
where ω represents the vector perpendicular to the hyperplane. The term C is associated with a quadratic function. The variable b indicates the distance from the origin, while ξ i stands for the slack variable. The parameter Calso refers to the width of the hyperplane. Each training sample is denoted as x i with its corresponding target value y i The symbol ϵ denotes a free parameter, and i ranges over the set {1, 2, 3 …, N}. The tuned hyperparameters used for this study are listed in Table 5.

2.5. Evaluation Criteria

The following evaluation criteria were used to evaluate the model’s accuracy.
R 2 = 1 i = 1 N ( y o b s y p r e d ) 2 i = 1 N ( y o b s y m e a n ) 2
M e a n   S q u a r e   E r r o r   ( M S E   ) = 1 N i = 1 N ( y o b s y p r e d ) 2
R o o t   M e a n   S q u a r e   E r r o r   ( R M S E ) = 1 N i = 1 N ( y o b s y p r e d ) 2
M e a n   A v e r a g e   E r r o r   ( M A E ) = 1 N i = 1 N | y o b s y p r e d |
where N is the number of observations, y o b s is the actual observed value, while y p r e d is the predicted value, and y m e a n is the mean of actual observed values.

3. Results and Discussion

Three different ML models, specifically SVM, ANN, and XGBoost, were utilized for prediction. The scatter plots in Figure 8, Figure 9 and Figure 10 illustrate the training and testing outcomes of the predicted features for each model. From Figure 8, Figure 9 and Figure 10a,c,e, it is apparent that the DGAN effectively generates data that addresses the issue of uneven distribution observed in the original data. This is in contrast to Figure 8, Figure 9 and Figure 10b,d,f which demonstrate that the distribution of the BR-augmented data replicates the unevenness present in the real data. BR augments data by introducing Gaussian noise to the real data points. This process results in a concentration of synthetic data around the original data points. As it only introduces slight variations to the existing data without significantly altering its overall distribution, consequently, this leads to replication of the original uneven distribution. The synthetic data generated by BR, therefore, tends to cluster around the existing data points, failing to provide a more comprehensive distribution.
On the other hand, DGAN operates differently by being inherently generative. It creates new data points along the entire range of the original data by understanding the underlying feature relationships. This generative approach fills gaps in the distribution, thereby providing more comprehensive and uniform coverage across the whole data range. By generating data points that cover the entire range of the original data, DGAN enhances the representativeness and robustness of the synthetic data.
This difference in data augmentation approaches significantly impacts the quality and utility of synthetic data. While BR’s method results in synthetic data that mirrors the uneven distribution of the real data, DGAN’s approach results in a more evenly distributed synthetic dataset. This even distribution is crucial for training machine learning models as it ensures that the models are exposed to a wide range of scenarios, improving their generalization capabilities. The evaluation metrics for the training and testing of all models are detailed in Table 6. These metrics provide a quantitative assessment of the model’s performance.
The evaluation parameters reveal a distinct difference in the values of all metrics for models trained on BR-augmented data versus those trained on DGAN-augmented data.
During the training phase, performance metrics of all compressive strength features exhibit higher values for models trained on DGAN augmented data in comparison to the same models trained on BR augmented data. Slump flow showed an opposite trend with BR-trained models showing higher values of R2 than DGAN-trained models. This trend can be attributed to the fact that the initial augmented data for compressive strength features showed large gaps in their distribution, as evident from Figure 7e–h and during augmentation, DGAN reliably filled the gaps in the original data distribution. This gave DGAN-trained models a performance edge during training as the BR-augmented data still had gaps in its distribution, as shown by Figure 8b,d,f and Figure 9b,d,f, while the DGAN-augmented data showed a more uniform data distribution as shown in Figure 8a,c,e and Figure 9a,c,e. In the case of slump flow, the original data did not have any major gaps in its distribution as visible in Figure 7i. The uniform distribution enabled BR to augment the slump flow data equally well as DGAN, as there were no gaps in distribution that DGAN could fill. This made the BR-trained models perform marginally better than the DGAN-trained models during the training phase.
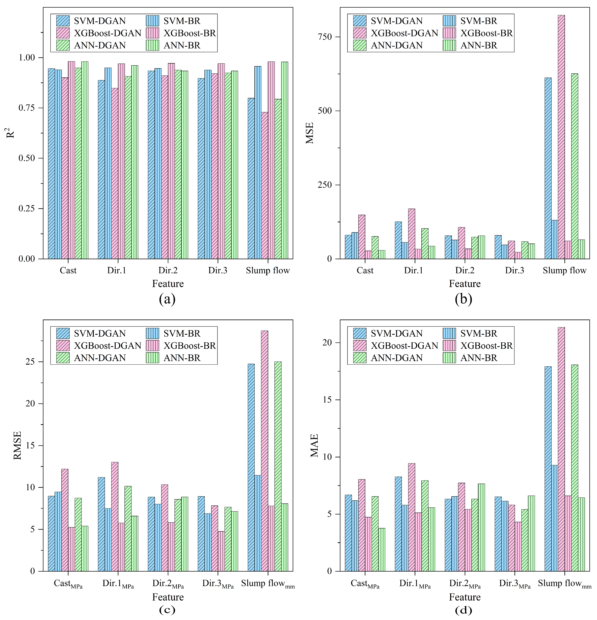
The feature-wise testing metrics for all models are shown in Figure 11. The evaluation parameters from the testing phase show that models trained on BR-augmented data surpass those trained on DGAN-augmented data. However, statistical analysis indicates that DGAN-generated data more accurately represents the real data and effectively addresses gaps in its distribution. This should logically lead to better performance for the models trained with DGAN data. The observed performance difference can be attributed to the nature of the BR-augmented data, which is closely aligned with the original data points. Consequently, the BR-augmented dataset overlaps significantly with the real dataset, leading to higher predictive scores for BR-trained models. This overlap, depicted in Figure 8 to Figure 10b,d,f, shows that BR-trained models perform well because they are evaluated on data very similar to their training data.
However, these higher predictive scores can be misleading. When BR-trained models encounter unseen data points that are not present in the current dataset, their performance is likely to decline. This is because the BR-augmented data do not provide a diverse enough range of scenarios for the models to learn from, making them less robust. In contrast, DGAN-augmented data, which fills in gaps and provides a more comprehensive distribution, prepares models to handle a wider variety of scenarios, even if this is not immediately reflected in the initial performance metrics.
Therefore, while BR-trained models may show better performance scores during testing on the current real dataset, they are less robust compared to DGAN-trained models. The higher performance scores for BR-trained models are due to the data overlap, but this does not guarantee sustained performance with new, unseen data. Conversely, the DGAN-trained models, despite showing lower initial performance metrics, are likely to perform more reliably with diverse and unseen data, highlighting their long-term robustness and utility.
The results of the individual predicted features are discussed below:

3.1. Cast Compressive Strength

The evaluation metrics for predicting cast strength using different models reveal significant performance differences, as shown in Figure 8. SVM, ANN, and XGBoost models were trained using both BR-augmented and DGAN-augmented data. In terms of R2 scores, which indicate the proportion of variance explained by the model, all models perform exceptionally well during training, with scores close to 1.0. Among these, XGBoost consistently achieved the highest R2 scores, with values of 0.999 for DGAN-augmented data and 0.997 for BR-augmented data, outperforming both SVM and ANN.
During the testing phase, the performance varies more noticeably. For SVM models, those trained with DGAN-augmented data perform the best, indicating that the generative approach of DGAN provided a more robust model for unseen data. In contrast, ANN and XGBoost models show better performance when tested with BR-augmented data, with R2 scores of 0.980 and 0.982, respectively. This suggests that while DGAN-augmented data helps improve SVM’s performance on unseen data, BR-augmented data may still offer some advantages for ANN and XGBoost models during testing despite its limitations in data diversity.
These performance variations emphasize the advantages and limitations of each data augmentation method. DGAN’s generative approach enhances data coverage, leading to more robust models, particularly for SVMs. In contrast, BR-augmented data, which adds Gaussian noise around original points, can improve predictive accuracy for ANN and XGBoost on the current dataset due to its closer alignment with the training data. However, this alignment might not guarantee better performance on new, unseen data.
The MSE and RMSE metrics, which measure the average squared difference between actual and predicted values, further underscore the superior performance of XGBoost in both the training and testing phases. During training, XGBoost achieves the lowest RMSE, with a value of 1.123 MPa for DGAN-augmented data and 2.155 MPa for BR-augmented data. This demonstrates XGBoost’s accuracy and ability to closely match predicted values to actual values.
However, during testing, all models exhibit higher errors, reflecting the challenge of generalizing to new data. Even so, XGBoost still performs relatively well with BR-augmented data, achieving an MSE score of 27.434 compared to 76.144 for DGAN-augmented data. Similarly, the RMSE values are 8.726 MPa for DGAN and 5.238 MPa for BR, showing that while BR-augmented data helps reduce errors during testing, DGAN’s performance, although lower, is still notable given its more comprehensive data generation approach. The MAE, which represents the average absolute differences between predicted and actual values, further highlights XGBoost as the most accurate model during training. It achieves the lowest MAE values of 0.799 MPa for DGAN-augmented data and 1.647 MPa for BR-augmented data. During testing, although the errors increase across all models, XGBoost maintains a performance edge, especially with BR-augmented data, achieving an MAE of 4.731 MPa.
Overall, XGBoost consistently outperforms SVM and ANN, particularly when trained on BR-augmented data. This consistent performance edge, indicated by lower MSE, RMSE, and MAE values, demonstrates XGBoost robustness and accuracy in both the training and testing phases. Despite the higher errors encountered during testing, XGBoost’s ability to maintain relatively lower error metrics with BR-augmented data makes it a reliable choice for prediction tasks, showcasing its effectiveness in utilizing both BR and DGAN augmentation techniques.

3.2. Anisotropic Compressive Strength

The performance of three machine learning models—SVM, ANN, and XGBoost—using two different augmented datasets (DGAN and BR) for predicting the anisotropic compressive strengths of printed concrete (Dir.1, Dir.2, Dir.3) is illustrated in Figure 9. For Dir.1, XGBoost consistently outperformed the other models, achieving the highest R2 values. With DGAN-augmented data, XGBoost attained a training R2 of 0.999 and a testing R2 of 0.887. It scored 0.995 for training and 0.950 for testing for BR-augmented data. ANN and SVM demonstrated slightly lower performance compared to XGBoost. In Dir.2 and Dir.3, similar trends were observed, with XGBoost again achieving the highest R2 values, followed closely by ANN and SVM. Notably, for Dir.2 using BR-augmented data, XGBoost achieved a testing R2 of 0.972, while for Dir.3, it reached 0.971. These results highlight XGBoost’s robustness and ability to generalize well across different data augmentations and directions.
XGBoost consistently achieved the lowest MSE across all directions, further demonstrating its accuracy. For Dir.1, XGBoost had an MSE of 0.917 during training and 169.290 during testing with DGAN-augmented data, while with BR-augmented data, the MSE was 5.409 for training and 33.276 for testing. ANN and SVM exhibited higher MSE values, indicating less accurate predictions. In Dir.2, XGBoost maintained low MSE values, with scores of 0.893 and 106.857 for training and testing with DGAN-augmented data and 4.871 and 33.969 for training and testing with BR-augmented data. A similar trend was observed in Dir.3, where XGBoost again showed the lowest MSE value for testing, achieving 22.629 with BR-augmented data. XGBoost also demonstrated superior performance in MAE, indicating fewer errors in predictions. For Dir.1, XGBoost achieved MAE values of 0.686 MPa for training and 9.436 MPa for testing with DGAN-augmented data, while with BR-augmented data, it scored 1.758 MPa for training and 5.118 MPa for testing. In Dir.2, XGBoost had MAE scores of 0.676 MPa for training and 7.725 MPa for testing with DGAN-augmented data. For Dir.3, XGBoost recorded MAE values of 0.606 MPa for training and 5.806 MPa for testing, consistently outperforming ANN and SVM. In summary, across Dir.1, Dir.2, and Dir.3, XGBoost consistently demonstrated superior performance compared to SVM and ANN in all metrics, particularly when using the BR dataset for training.
The testing performance metrics tests reveal a consistent trend, with BR-trained models outperforming DGAN-trained models. Among the three orthogonal directions, BR-trained models exhibit similar performance levels across the board, except for the BR-trained ANN model, where Dir.1 significantly outperforms Dir.2 and Dir.3. Conversely, for the DGAN-trained SVM and ANN models, Dir.2 achieves the highest R2 score, while Dir.3 leads in the DGAN-trained XGBoost model, followed by Dir.2. Despite the similar training scores, the variability and lack of a discernible trend in the testing results among the three directions suggest that anisotropic compressive strength is a complex phenomenon. To enable a single model to reliably predict anisotropic compressive strength, an increase in the number of features is necessary. This complexity arises primarily because anisotropic compressive strength is heavily influenced by interlayer bonding, which depends on factors such as layer thickness, layer open time, and extrusion properties, including extrusion rate and shape.
XGBoost consistently outperformed the other models, achieving the highest R2 values and lowest MSE, especially with BR-augmented data. In Dir.1, XGBoost led in both the training and testing phases, followed by ANN and SVM. This trend continued for Dir.2 and Dir.3, with XGBoost demonstrating superior generalization, accuracy, and robustness.

3.3. Slump Flow

For predicting slump flow, XGBoost demonstrated the highest R2 values for both training and testing, as shown in Figure 10. Specifically, XGBoost achieved an R2 of 0.997 for training and 0.794 for testing on DGAN-generated data. With BR-augmented data, XGBoost showed R2 values of 0.997 for training and 0.979 for testing, indicating excellent predictive accuracy.
ANN also performed well, particularly with BR-augmented data, achieving a testing R2 of 0.980. In contrast, SVM trained on DGAN-generated data had the lowest R2 scores, with 0.969 for training and 0.798 for testing. Regarding MSE values, XGBoost again showed superior performance. For DGAN-augmented data, XGBoost had MSE values of 6.567 for training and 625.82 for testing. With BR-augmented data, the MSE values were 10.698 for training and 60.752 for testing. ANN showed competitive MSE values, particularly with BR-augmented data, having scores of 91.383 for training and 65.066 for testing. SVM trained on DGAN-generated data had the highest MSE value, reaching 611.871.
The training metrics for both DGAN-trained and BR-trained models are comparable, contrasting with the trend observed for cast and printed compressive strength features, where DGAN-trained models consistently achieved higher training scores. This indicates that BR is an effective augmentation technique for features that span the full range of values, as demonstrated by the slump flow data in Figure 10. Figure 10a,c show that SVM and ANN models trained on DGAN-augmented data performed similarly, with minimal variation between train and test points. This consistency is also observed for SVM and ANN models trained on BR-augmented data, as illustrated in Figure 10b,c. In the case of XGBoost, models trained on BR data exhibit superior performance in both training and testing phases compared to those trained on DGAN data, as shown in Figure 10f.
RMSE values were also for XGBoost were consistently the lowest. For DGAN-generated data, XGBoost’s RMSE was 2.563 mm and 25.017 mm for training and testing, while with BR, the RMSE values were 3.271 mm and 7.794 mm. ANN also performed well, with training and testing scores of 9.599 mm and 8.066 mm for BR-generated data. SVM, however, had a higher RMSE value, 8.842 mm for training and 24.736 mm for testing with DGAN-generated data. When utilizing the DGAN-augmented dataset versus the BR-augmented dataset, XGBoost consistently demonstrated superior predictive accuracy, as indicated by the lowest errors. Specifically, with the DGAN-augmented data, XGBoost achieved a training MAE of 1.839 and a testing MAE of 18.068. In contrast, when using the BR-augmented data, XGBoost’s MAE was 2.471 during training and 6.600 during testing. ANN also performed well, particularly with the BR-augmented data, achieving a training MAE of 6.537 and a testing MAE of 6.446. SVM, however, exhibited higher MAE values, especially in the testing phase with the DGAN-augmented data, where it showed an MAE of 17.913.
Overall, R2 scores for all models for predicting cast and print compressive strength are comparable, but RMSE, MSE, and MAE scores for the slump are higher than print and cast compressive strength, which are somewhat comparable. The comparable R2 scores indicate that while the models explain a similar proportion of the variance for all three stated properties, the absolute errors are larger for slump prediction, reflecting the greater challenge in capturing its variability and complex interactions within the model owing to the wide range of values measured for slump flow than the compressive strength.

4. Conclusions

The main objective of this study was to enhance the predictive performance of the models by DGAN and BR augmentation techniques on the limited available dataset. The original dataset consisted of 1679 data points with 23 features. The output features are anisotropic compressive strength (MPa), cast strength (MPa), and slump flow (mm). Using both techniques, the dataset was augmented to 67,160 (40 times the original data), and a statistical analysis was performed. SVM, XGBoost, and ANN models were trained exclusively on the augmented dataset and were tested on a real dataset and their predictive accuracy was evaluated. Predicting slump flow can be used to quantify the printable range and suitability concerning concrete printing setup, while anisotropic and cast compressive strength can indicate strength. The following conclusions can be drawn from this study.
  • DGAN and BR can be used as effective data augmentation tools for augmenting the size and extent of data to enhance the performance of ML models. The statistical, correlation, and feature frequency analysis proved that augmented data is comparable to real data and can be effectively used for model training;
  • Performance metrics indicate that XGBoost, a gradient-boosted decision tree model, is the best predictive ML model, followed by ANN and SVM. During training, DGAN-trained models showed higher R2 scores for cast compressive strength (0.989 for SVM, 0.991 for ANN, 0.999 for XGBoost) compared to BR-trained models (0.983 for SVM, 0.981 for ANN, 0.997 for XGBoost). This trend holds for printed compressive strength, while BR-trained models excelled in slump flow. During testing, BR-trained models outperformed DGAN-trained models across all metrics;
  • The DGAN-augmented data fills gaps in the real distribution, unlike BR-generated data, which replicates them. Despite being computationally intensive and having lower performance metrics, DGAN’s uniform data spread ensures better performance on unseen data. In contrast, BR-augmented models have higher metrics but may underperform on new data due to gapped distribution.

5. Future Study

This study paves the way for the practical implementation of AI in the mix design formulation of printable concrete. By utilizing experimental data from existing literature, the research trains machine learning models to predict the strength and slump flow of the mix design. AI’s predictive capabilities are employed to address the challenges of mix design formulation. Although the models are trained on available data, their robustness can be enhanced by using extensive experimental data from printing setups with a larger number of features or by adding more data obtained using advanced non-destructive testing techniques, the research of which is still in the very initial phases. Training the models on larger and more diverse datasets will further improve their accuracy and reliability.

Author Contributions

Conceptualization, S.U.R., R.D.R. and M.U.; methodology, S.U.R. and R.D.R.; software, S.U.R.; validation, S.U.R. and R.D.R.; formal analysis, S.U.R. and R.D.R.; investigation, S.U.R. and R.D.R.; resources, R.D.R.; data curation, S.U.R. and R.D.R.; writing—original draft preparation, S.U.R. and R.D.R.; writing—review and editing, S.U.R., R.D.R. and M.U.; visualization, S.U.R. and R.D.R.; supervision, M.U.; project administration, M.U. and I.-H.K. All authors have read and agreed to the published version of the manuscript.

Funding

This research received no external funding.

Data Availability Statement

The data will be made available on request.

Conflicts of Interest

The authors declare that they have no conflicts of interest.

Nomenclature

P Data distribution.
p z z Prior distribution of the input noise.
G z Mapping into the data space.
p i Predicted value for the i th sample.
X i Feature vector X i .
k Number of estimators.
f a Each estimator (with a from 1 to k ), corresponding to an independent tree structure.
p i 0 Initial guess.
ηLearning rate (also known as the shrinkage parameter).
L ( p r , p i ) Actual loss between the real values p r and the predicted values p i .
f c Regularization function (defines the model complexity).
ω Vector perpendicular to the hyperplane.
C Quadratic function.
b Distance from the origin.
ξ i Slack variable.
CWidth of the hyperplane.
x i Each training sample denoted as with its corresponding target value y i .
ϵ Free parameters.
i Range over the set {1, 2, 3 …, N}.
N Number of observations.
y o b s Actual observed value.
y p r e d Predicted value.
y m e a n Mean of actual observed values.

References

  1. Srinivas, D.; Dey, D.; Panda, B.; Sitharam, T.G. Printability, Thermal and Compressive Strength Properties of Cementitious Materials: A Comparative Study with Silica Fume and Limestone. Materials 2022, 15, 8607. [Google Scholar] [CrossRef]
  2. Marczyk, J.; Ziejewska, C.; Gądek, S.; Korniejenko, K.; Łach, M.; Góra, M.; Kurek, I.; Doğan-Sağlamtimur, N.; Hebda, M.; Szechyńska-Hebda, M. Hybrid materials based on fly ash, metakaolin, and cement for 3D printing. Materials 2021, 14, 6874. [Google Scholar] [CrossRef]
  3. Rehman, S.U.; Usman, M.; Toor, M.H.Y.; Hussaini, Q.A. Advancing structural health monitoring: A vibration-based IoT approach for remote real-time systems. Sens. Actuators A Phys. 2024, 365, 114863. [Google Scholar] [CrossRef]
  4. Riaz, R.D.; Usman, M.; Ali, A.; Majid, U.; Faizan, M.; Malik, U.J. Inclusive characterization of 3D printed concrete (3DPC) in additive manufacturing: A detailed review. Constr. Build. Mater. 2023, 394, 132229. [Google Scholar] [CrossRef]
  5. Shah, M.U.; Usman, M.; Khushnood, R.A.; Hanif, A. Diagnosis of durability-related problems in concrete structures through comprehensive analysis and non-destructive testing: A case study. J. Struct. Integr. Maint. 2023, 8, 260–270. [Google Scholar] [CrossRef]
  6. Hanif, A.; Usman, M. Fly Ash Cenosphere: Characterization, Processing, and Properties. In Handbook of Fly Ash; Butterworth-Heinemann: Oxford, UK, 2021; p. 57. [Google Scholar]
  7. Shah, M.U.; Usman, M.; Hanif, M.U.; Naseem, I.; Farooq, S. Utilization of solid waste from brick industry and hydrated lime in self-compacting cement pastes. Materials 2021, 14, 1109. [Google Scholar] [CrossRef] [PubMed]
  8. Khan, R.; Farooq, S.H.; Usman, M. Blast loading response of reinforced concrete panels externally reinforced with steel strips. Infrastructures 2019, 4, 54. [Google Scholar] [CrossRef]
  9. Asteris, P.G.; Lourenço, P.B.; Roussis, P.C.; Adami, C.E.; Armaghani, D.J.; Cavaleri, L.; Chalioris, C.E.; Hajihassani, M.; Lemonis, M.E.; Mohammed, A.S.; et al. Revealing the nature of metakaolin-based concrete materials using artificial intelligence techniques. Constr. Build. Mater. 2022, 322, 126500. [Google Scholar] [CrossRef]
  10. Aggelis, D.G.; Mpalaskas, A.C.; Matikas, T.E. 13—Acoustic Monitoring for the Evaluation of Concrete Structures and Materials. In Acoustic Emission and Related Non-Destructive Evaluation Techniques in the Fracture Mechanics of Concrete; Ohtsu, M., Ed.; Woodhead Publishing: Oxford, UK, 2015; pp. 269–286. [Google Scholar] [CrossRef]
  11. Tam, V.W.Y. Cost effectiveness of using low cost housing technologies in construction. Procedia Eng. 2011, 14, 156–160. [Google Scholar] [CrossRef]
  12. Rodrigues, F.A.; Joekes, I. Cement industry: Sustainability, challenges and perspectives. Environ. Chem. Lett. 2011, 9, 151–166. [Google Scholar] [CrossRef]
  13. Goldin, M. Chinese Company Builds Houses Quickly with 3D Printing. Available online: www.mashable.com (accessed on 29 April 2014).
  14. Xie, J.; Xu, Y.; Wan, Z.; Ghaderiaram, A.; Schlangen, E.; Šavija, B. Modelling of energy harvesting with bendable concrete and surface-mounted PVDF. Smart. Mater. Struct. 2024, 33, 085008. [Google Scholar] [CrossRef]
  15. De Schutter, G.; Lesage, K.; Mechtcherine, V.; Nerella, V.N.; Habert, G.; Agusti-Juan, I. Vision of 3D printing with concrete—Technical, economic and environmental potentials. Cem. Concr. Res. 2018, 112, 25–36. [Google Scholar] [CrossRef]
  16. Uppala, S.S.; Tadikamalla, M.R. A review on 3D printing of concrete-the future of sustainable construction. i-Manag. J. Civ. Eng. 2017, 7, 49. [Google Scholar]
  17. The World’s Largest Concrete 3D Printed Pedestrian Bridge. Tsinghua University. Available online: https://www.tsinghua.edu.cn/en/info/1244/2966.htm (accessed on 20 July 2024).
  18. News-Yingchuang Building Technique (Shanghai). WinSun Co., Ltd. Available online: https://www.winsun3d.com/En/News/news_inner/id/465 (accessed on 20 July 2024).
  19. Additive Manufacturing Archives—3DPrint.com. The Voice of 3D Printing/Additive Manufacturing. Available online: https://3dprint.com/category/additive-manufacturing/ (accessed on 20 July 2024).
  20. He, Y.; Zhang, Y.; Zhang, C.; Zhou, H. Energy-saving potential of 3D printed concrete building with integrated living wall. Energy Build. 2020, 222, 110110. [Google Scholar] [CrossRef]
  21. Craveiroa, F.; Duartec, J.P.; Bartoloa, H.; Bartolod, P.J. Additive manufacturing as an enabling technology for digital construction: A perspective on Construction 4.0. Sustain. Dev. 2019, 4, 251–267. [Google Scholar] [CrossRef]
  22. Tay, Y.W.D.; Panda, B.N.; Ting, G.H.A.; Ahamed, N.M.N.; Tan, M.J.; Chua, C.K. 3D Printing for Sustainable Construction. In Industry 4.0—Shaping the Future of the Digital World; CRC Press: Boca Raton, FL, USA, 2020; pp. 119–123. [Google Scholar]
  23. Guo, X.; Yang, J.; Xiong, G. Influence of supplementary cementitious materials on rheological properties of 3D printed fly ash based geopolymer. Cem. Concr. Compos. 2020, 114, 103820. [Google Scholar] [CrossRef]
  24. Panda, B.; Ruan, S.; Unluer, C.; Tan, M.J. Improving the 3D printability of high volume fly ash mixtures via the use of nano attapulgite clay. Compos. B Eng. 2019, 165, 75–83. [Google Scholar] [CrossRef]
  25. Bullard, J.W.; Jennings, H.M.; Livingston, R.A.; Nonat, A.; Scherer, G.W.; Schweitzer, J.S.; Scrivener, K.L.; Thomas, J.J. Mechanisms of cement hydration. Cem. Concr. Res. 2011, 41, 1208. [Google Scholar] [CrossRef]
  26. Papachristoforou, M.; Mitsopoulos, V.; Stefanidou, M. Evaluation of workability parameters in 3D printing concrete. Procedia Struct. Integr. 2018, 10, 155–162. [Google Scholar] [CrossRef]
  27. Zhang, N.; Sanjayan, J. Extrusion nozzle design and print parameter selections for 3D concrete printing. Cem. Concr. Compos. 2023, 137, 104939. [Google Scholar] [CrossRef]
  28. Tay, Y.W.D.; Li, M.Y.; Tan, M.J. Effect of printing parameters in 3D concrete printing: Printing region and support structures. J. Mater. Process Technol. 2019, 271, 261–270. [Google Scholar] [CrossRef]
  29. Wolfs, R.J.M.; Bos, F.P.; Van Strien, E.C.F.; Salet, T.A.M. A real-time height measurement and feedback system for 3D concrete printing. In Proceedings of the High Tech Concrete: Where Technology and Engineering Meet: 2017 Fib Symposium, Maastricht, The Netherlands, 12–14 June 2017; pp. 2474–2483. [Google Scholar]
  30. Zhang, C.; Nerella, V.N.; Krishna, A.; Wang, S.; Zhang, Y.; Mechtcherine, V.; Banthia, N. Mix design concepts for 3D printable concrete: A review. Cem. Concr. Compos. 2021, 122, 104155. [Google Scholar] [CrossRef]
  31. Ting, G.H.A.; Quah, T.K.N.; Lim, J.H.; Tay, Y.W.D.; Tan, M.J. Extrudable region parametrical study of 3D printable concrete using recycled glass concrete. J. Build. Eng. 2022, 50, 104091. [Google Scholar] [CrossRef]
  32. Marchon, D.; Kawashima, S.; Bessaies-Bey, H.; Mantellato, S.; Ng, S. Hydration and rheology control of concrete for digital fabrication: Potential admixtures and cement chemistry. Cem. Concr. Res. 2018, 112, 96–110. [Google Scholar] [CrossRef]
  33. Marchment, T.; Sanjayan, J. Method of Enhancing Interlayer Bond Strength in 3D Concrete Printing. In First RILEM International Conference on Concrete and Digital Fabrication—Digital Concrete 2018; Wangler, T., Flatt, R.J., Eds.; Springer International Publishing: Cham, Switzerland, 2019; pp. 148–156. [Google Scholar]
  34. Khan, M.I.; Shah, M.U.; Usman, M. Experimental Investigation of Concrete Properties using Locally available Coarse Aggregates in Punjab, Pakistan. NUST J. Eng. Sci. 2022, 15, 26–29. [Google Scholar] [CrossRef]
  35. ICON and Lake Flato Build 3D-Printed House Zero in Austin, (n.d.). Available online: https://www.dezeen.com/2022/03/04/icon-lake-flato-3d-printed-house-zero-austin/ (accessed on 13 August 2024).
  36. Europe’s Largest 3D Printed Building Unveiled: The IT Server Hotel. Available online: https://cobod.com/europes-largest-3d-printed-building-unveiled/ (accessed on 20 July 2024).
  37. Guatemala’s First 3D Printed Building|COBOD International, (n.d.). Available online: https://cobod.com/3d-construction-printing-coming-to-latin-america-the-first-3d-printed-building-made-in-guatemala-in-seismic-region/ (accessed on 9 August 2024).
  38. Ma, G.; Li, Z.; Wang, L.; Wang, F.; Sanjayan, J. Mechanical anisotropy of aligned fiber reinforced composite for extrusion-based 3D printing. Constr. Build. Mater. 2019, 202, 770–783. [Google Scholar] [CrossRef]
  39. González-Taboada, I.; González-Fonteboa, B.; Martínez-Abella, F.; Seara-Paz, S. Thixotropy and interlayer bond strength of self-compacting recycled concrete. Constr. Build. Mater. 2018, 161, 479–488. [Google Scholar] [CrossRef]
  40. Mechtcherine, V.; Nerella, V.N.; Will, F.; Näther, M.; Otto, J.; Krause, M. Large-scale digital concrete construction–CONPrint3D concept for on-site, monolithic 3D-printing. Autom. Constr. 2019, 107, 102933. [Google Scholar] [CrossRef]
  41. Ma, S.; Yang, H.; Zhao, S.; He, P.; Zhang, Z.; Duan, X.; Yang, Z.; Jia, D.; Zhou, Y. 3D-printing of architectured short carbon fiber-geopolymer composite. Compos. B Eng. 2021, 226, 109348. [Google Scholar] [CrossRef]
  42. Yao, X.; Luan, C.; Zhang, D.; Lan, L.; Fu, J. Evaluation of carbon fiber-embedded 3D printed structures for strengthening and structural-health monitoring. Mater. Des. 2017, 114, 424–432. [Google Scholar] [CrossRef]
  43. Zhou, Y.; Jiang, D.; Sharma, R.; Xie, Y.M.; Singh, A. Enhancement of 3D printed cementitious composite by short fibers: A review. Constr. Build. Mater. 2023, 362, 129763. [Google Scholar] [CrossRef]
  44. Sahin, H.G.; Mardani, A. Sustainable 3D printing concrete mixtures. J. Mod. Technol. Eng. 2022, 7, 20–29. [Google Scholar]
  45. Dey, D.; Srinivas, D.; Panda, B.; Suraneni, P.; Sitharam, T.G. Use of industrial waste materials for 3D printing of sustainable concrete: A review. J. Clean Prod. 2022, 340, 130749. [Google Scholar] [CrossRef]
  46. Goh, G.D.; Sing, S.L.; Yeong, W.Y. A review on machine learning in 3D printing: Applications, potential, and challenges. Artif. Intell. Rev. 2021, 54, 63–94. [Google Scholar] [CrossRef]
  47. Memon, S.; Zhang, D.; Rehman, S.; Usman, M.; Lee, D. Emerging trends in the growth of structural systems for tall buildings. J. Struct. Integr. Maint. 2020, 5, 155–170. [Google Scholar] [CrossRef]
  48. Shah, M.U.; Usman, M.; Farooq, S.; Rizwan, M. Spring-controlled modified tuned liquid column ball damper for vibration mitigation of structures. J. Sound Vib. 2023, 545, 117443. [Google Scholar] [CrossRef]
  49. Wangler, T.; Pileggi, R.; Gürel, S.; Flatt, R.J. A chemical process engineering look at digital concrete processes: Critical step design, inline mixing, and scaleup. Cem. Concr. Res. 2022, 155, 106782. [Google Scholar] [CrossRef]
  50. Tao, Y.; Lesage, K.; Van Tittelboom, K.; Yuan, Y.; De Schutter, G. Twin-pipe pumping strategy for stiffening control of 3D printable concrete: From transportation to fabrication. Cem. Concr. Res. 2023, 168, 107137. [Google Scholar] [CrossRef]
  51. Zhang, N.; Sanjayan, J. Quick nozzle mixing technology for 3D printing foam concrete. J. Build. Eng. 2024, 83, 108445. [Google Scholar] [CrossRef]
  52. Baduge, S.K.; Navaratnam, S.; Abu-Zidan, Y.; McCormack, T.; Nguyen, K.; Mendis, P.; Zhang, G.; Aye, L. Improving performance of additive manufactured (3D printed) concrete: A review on material mix design, processing, interlayer bonding, and reinforcing methods. Structures 2021, 29, 1597–1609. [Google Scholar] [CrossRef]
  53. Bigham, G.F.; Adamtey, S.; Onsarigo, L.; Jha, N. Artificial intelligence for construction safety: Mitigation of the risk of fall. In Intelligent Systems and Applications, Proceedings of the 2018 Intelligent Systems Conference (IntelliSys); Springer: Berlin/Heidelberg, Germany, 2019; Volume 2, pp. 1024–1037. [Google Scholar]
  54. Kamari, M.; Ham, Y. AI-based risk assessment for construction site disaster preparedness through deep learning-based digital twinning. Autom. Constr. 2022, 134, 104091. [Google Scholar] [CrossRef]
  55. Smarsly, K.; Hartmann, D. Artificial intelligence in structural health monitoring. In Proceedings of the Third International Conference on Structural Engineering, Mechanics and Computation, Cape Town, Republic of Africa, 12 September 2007; p. 2007. [Google Scholar]
  56. Barbhuiya, S.; Sharif, M.S. Artificial Intelligence in Concrete Mix Design: Advances, Applications and Challenges. In Proceedings of the 2023 International Conference on Innovation and Intelligence for Informatics, Computing, and Technologies (3ICT), Sakheer, Bahrain, 20–21 November 2023; pp. 32–37. [Google Scholar]
  57. Sharma, A.; Mukhopadhyay, T.; Rangappa, S.M.; Siengchin, S.; Kushvaha, V. Advances in computational intelligence of polymer composite materials: Machine learning assisted modeling, analysis and design. Arch. Comput. Methods Eng. 2022, 29, 3341–3385. [Google Scholar] [CrossRef]
  58. Badini, S.; Regondi, S.; Pugliese, R. Unleashing the power of artificial intelligence in materials design. Materials 2023, 16, 5927. [Google Scholar] [CrossRef]
  59. Bui, D.-K.; Nguyen, T.; Chou, J.-S.; Nguyen-Xuan, H.; Ngo, T.D. A modified firefly algorithm-artificial neural network expert system for predicting compressive and tensile strength of high-performance concrete. Constr. Build. Mater. 2018, 180, 320–333. [Google Scholar] [CrossRef]
  60. El-Mir, A.; El-Zahab, S.; Sbartaï, Z.M.; Homsi, F.; Saliba, J.; El-Hassan, H. Machine learning prediction of concrete compressive strength using rebound hammer test. J. Build. Eng. 2023, 64, 105538. [Google Scholar] [CrossRef]
  61. Goh, G.D.; Hamzah, N.M.B.; Yeong, W.Y. Anomaly detection in fused filament fabrication using machine learning. 3D Print. Addit. Manuf. 2023, 10, 428–437. [Google Scholar] [CrossRef]
  62. Choudhury, A. The Role of Machine Learning Algorithms in Materials Science: A State of Art Review on Industry 4.0. Arch. Comput. Methods Eng. 2021, 28, 3361–3381. [Google Scholar] [CrossRef]
  63. Li, Z.; Yoon, J.; Zhang, R.; Rajabipour, F.; Srubar, W.V., III; Dabo, I.; Radlińska, A. Machine learning in concrete science: Applications, challenges, and best practices. NPJ Comput. Mater. 2022, 8, 127. [Google Scholar] [CrossRef]
  64. El-Sayegh, S.; Romdhane, L.; Manjikian, S. A critical review of 3D printing in construction: Benefits, challenges, and risks. Arch. Civ. Mech. Eng. 2020, 20, 34. [Google Scholar] [CrossRef]
  65. Malik, U.J.; Riaz, R.D.; Rehman, S.U.; Usman, M.; Riaz, R.E.; Hamza, R. Advancing mix design prediction in 3D printed concrete: Predicting anisotropic compressive strength and slump flow. Case Stud. Constr. Mater. 2024, 21, e03510. [Google Scholar] [CrossRef]
  66. Nguyen-Van, V.; Li, S.; Liu, J.; Nguyen, K.; Tran, P. Modelling of 3D concrete printing process: A perspective on material and structural simulations. Addit. Manuf. 2023, 61, 103333. [Google Scholar] [CrossRef]
  67. Bustillo, A.; Reis, R.; Machado, A.R.; Pimenov, D.Y. Improving the accuracy of machine-learning models with data from machine test repetitions. J. Intell. Manuf. 2022, 33, 203–221. [Google Scholar] [CrossRef]
  68. Bzdok, D.; Krzywinski, M.; Altman, N. Machine learning: A primer. Nat. Methods 2017, 14, 1119. [Google Scholar] [CrossRef]
  69. Chung, J.; Lee, G.; Kim, J.-H. Framework for technical specifications of 3D concrete printers. Autom. Constr. 2021, 127, 103732. [Google Scholar] [CrossRef]
  70. de Matos, P.R.; Zat, T.; Lima, M.M.; da Silva Andrade Neto, J.; Souza, M.T.; Rodríguez, E.D. Effect of the superplasticizer addition time on the fresh properties of 3D printed limestone calcined clay cement (LC3) concrete. Case Stud. Constr. Mater. 2023, 19, e02419. [Google Scholar] [CrossRef]
  71. Yu, S.; Du, H.; Sanjayan, J. Aggregate-bed 3D concrete printing with cement paste binder. Cem. Concr. Res. 2020, 136, 106169. [Google Scholar] [CrossRef]
  72. Yang, J.-M.; Park, I.-B.; Lee, H.; Kwon, H.-K. Effects of Nozzle Details on Print Quality and Hardened Properties of Underwater 3D Printed Concrete. Materials 2022, 16, 34. [Google Scholar] [CrossRef]
  73. Rehman, A.U.; Kim, J.-H. 3D Concrete Printing: A Systematic Review of Rheology, Mix Designs, Mechanical, Microstructural, and Durability Characteristics. Materials 2021, 14, 3800. [Google Scholar] [CrossRef]
  74. Zhao, Y.; Yang, G.; Zhu, L.; Ding, Y.; Guan, X.; Wu, X.; Yang, Z. Effects of rheological properties and printing speed on molding accuracy of 3D printing basalt fiber cementitious materials. J. Mater. Res. Technol. 2022, 21, 3462–3475. Available online: https://www.sciencedirect.com/science/article/pii/S2238785422016623 (accessed on 16 January 2023). [CrossRef]
  75. Liu, H.; Liu, C.; Wu, Y.; Bai, G.; He, C.; Zhang, R.; Wang, Y. Hardened properties of 3D printed concrete with recycled coarse aggregate. Cem. Concr. Res. 2022, 159, 106868. [Google Scholar] [CrossRef]
  76. Ding, T.; Xiao, J.; Zou, S.; Wang, Y. Hardened properties of layered 3D printed concrete with recycled sand. Cem. Concr. Compos. 2020, 113, 103724. [Google Scholar] [CrossRef]
  77. Yinfeng, D.; Yingmin, L.; Ming, L.; Mingkui, X. Nonlinear structural response prediction based on support vector machines. J. Sound Vib. 2008, 311, 886–897. [Google Scholar] [CrossRef]
  78. Van Dyk, D.A.; Meng, X.-L. The art of data augmentation. J. Comput. Graph. Stat. 2001, 10, 1–50. [Google Scholar] [CrossRef]
  79. Yapıcı, M.M.; Tekerek, A.; Topaloğlu, N. Literature review of deep learning research areas. Gazi Mühendislik Bilim. Derg. 2019, 5, 188–215. [Google Scholar]
  80. Alam, M.; Samad, M.D.; Vidyaratne, L.; Glandon, A.; Iftekharuddin, K.M. Survey on deep neural networks in speech and vision systems. Neurocomputing 2020, 417, 302–321. [Google Scholar] [CrossRef]
  81. Nguyen, H.A.T.; Pham, D.H.; Ahn, Y. Effect of Data Augmentation Using Deep Learning on Predictive Models for Geopolymer Compressive Strength. Appl. Sci. 2024, 14, 3601. [Google Scholar] [CrossRef]
  82. Hafeez, M.; Usman, M.; Umer, A.; Hanif, A. Recent Progress in Isotropic Magnetorheological Elastomers and Their Properties: A Review. Polymers 2020, 12, 3023. [Google Scholar] [CrossRef] [PubMed]
  83. Li, M.; Wu, H.; Dong, H.; Ren, G.; Zhang, P.; Huang, F. Machine Learning-Based Models for Predicting the Depth of Concrete Penetration. In Computational and Experimental Simulations in Engineering; Li, S., Ed.; Springer International Publishing: Cham, Switzerland, 2024; pp. 311–326. [Google Scholar]
  84. Chen, N.; Xu, Z.; Liu, Z.; Chen, Y.; Miao, Y.; Li, Q.; Hou, Y.; Wang, L. Data Augmentation and Intelligent Recognition in Pavement Texture Using a Deep Learning. IEEE Trans. Intell. Transp. Syst. 2022, 23, 25427–25436. [Google Scholar] [CrossRef]
  85. Alyami, M.; Khan, M.; Fawad, M.; Nawaz, R.; Hammad, A.W.A.; Najeh, T.; Gamil, Y. Predictive modeling for compressive strength of 3D printed fiber-reinforced concrete using machine learning algorithms. Case Stud. Constr. Mater. 2024, 20, e02728. [Google Scholar] [CrossRef]
  86. Ali, A.; Riaz, R.D.; Malik, U.J.; Abbas, S.B.; Usman, M.; Shah, M.U.; Kim, I.-H.; Hanif, A.; Faizan, M. Machine Learning-Based Predictive Model for Tensile and Flexural Strength of 3D-Printed Concrete. Materials 2023, 16, 4149. [Google Scholar] [CrossRef]
  87. Uddin, M.N.; Mahamoudou, F.; Deng, B.-Y.; Musa, M.M.E.; Sob, L.W.T. Prediction of rheological parameters of 3D printed polypropylene fiber-reinforced concrete (3DP-PPRC) by machine learning. Mater. Today Proc. 2023. [Google Scholar] [CrossRef]
  88. Panda, B.; Tay, Y.W.D.; Paul, S.C.; Tan, M.J. Current challenges and future potential of 3D concrete printing. Materwiss Werksttech 2018, 49, 666–673. [Google Scholar] [CrossRef]
  89. Miller, P.E.; Pawar, S.; Vaccaro, B.; McCullough, M.; Rao, P.; Ghosh, R.; Warier, P.; Desai, N.R.; Ahmad, T. Predictive abilities of machine learning techniques may be limited by dataset characteristics: Insights from the UNOS database. J. Card. Fail. 2019, 25, 479–483. [Google Scholar] [CrossRef] [PubMed]
  90. Quiñonero-Candela, J.; Sugiyama, M.; Schwaighofer, A.; Lawrence, N.D. Dataset Shift in Machine Learning; Mit Press: Cambridge, MA, USA, 2022. [Google Scholar]
  91. Khalid, S.; Khalil, T.; Nasreen, S. A survey of feature selection and feature extraction techniques in machine learning. In Proceedings of the 2014 Science and Information Conference, London, UK, 27–29 August 2014; pp. 372–378. [Google Scholar]
  92. Wang, X.; Jia, L.; Jia, Z.; Zhang, C.; Chen, Y.; Ma, L.; Wang, Z.; Deng, Z.; Banthia, N.; Zhang, Y. Optimization of 3D printing concrete with coarse aggregate via proper mix design and printing process. J. Build. Eng. 2022, 56, 104745. [Google Scholar] [CrossRef]
  93. Jiang, Q.; Liu, Q.; Wu, S.; Zheng, H.; Sun, W. Modification effect of nanosilica and polypropylene fiber for extrusion-based 3D printing concrete: Printability and mechanical anisotropy. Addit. Manuf. 2022, 56, 102944. [Google Scholar]
  94. Yu, K.; McGee, W.; Ng, T.Y.; Zhu, H.; Li, V.C. 3D-printable engineered cementitious composites (3DP-ECC): Fresh and hardened properties. Cem. Concr. Res. 2021, 143, 106388. [Google Scholar] [CrossRef]
  95. Zhu, B.; Pan, J.; Nematollahi, B.; Zhou, Z.; Zhang, Y.; Sanjayan, J. Development of 3D printable engineered cementitious composites with ultra-high tensile ductility for digital construction. Mater. Des. 2019, 181, 108088. [Google Scholar] [CrossRef]
  96. Ye, J.; Cui, C.; Yu, J.; Yu, K.; Dong, F. Effect of polyethylene fiber content on workability and mechanical-anisotropic properties of 3D printed ultra-high ductile concrete. Constr. Build. Mater. 2021, 281, 122586. [Google Scholar] [CrossRef]
  97. Paul, S.C.; Tay, Y.W.D.; Panda, B.; Tan, M.J. Fresh and hardened properties of 3D printable cementitious materials for building and construction. Arch. Civ. Mech. Eng. 2018, 18, 311–319. [Google Scholar] [CrossRef]
  98. Sun, J.; Aslani, F.; Lu, J.; Wang, L.; Huang, Y.; Ma, G. Fibre-reinforced lightweight engineered cementitious composites for 3D concrete printing. Ceram. Int. 2021, 47, 27107–27121. [Google Scholar] [CrossRef]
  99. Xin, P.; Wang, Z.; Xi, W.; Peng, J.; He, H.; Tang, R. Building 3D Printing: The Anisotropy Mechanical Properties and Printing Time. In Advances in Energy and Environmental Materials, Proceedings of the Chinese Material Conference, Yinchuan, China, 6–12 July 2017; Springer: Singapore, 2018; pp. 535–543. [Google Scholar] [CrossRef]
  100. Yu, J.; Leung, C.K.Y. Impact of 3D Printing Direction on Mechanical Performance of Strain-Hardening Cementitious Composite (SHCC). In First RILEM International Conference on Concrete and Digital Fabrication—Digital Concrete 2018; Wangler, T., Flatt, R.J., Eds.; Springer International Publishing: Cham, Switzerland, 2019; pp. 255–265. [Google Scholar]
  101. Ma, G.; Li, Z.; Wang, L. Printable properties of cementitious material containing copper tailings for extrusion based 3D printing. Constr. Build. Mater. 2018, 162, 613–627. [Google Scholar] [CrossRef]
  102. Zhao, Y.; Wu, X.; Zhu, L.; Yang, Z.; Wang, Y.; Xi, X. The influence of polypropylene fiber on the working performance and mechanical anisotropy of 3d printing concrete. J. Adv. Concr. Technol. 2021, 19, 1264–1274. [Google Scholar] [CrossRef]
  103. Arunothayan, A.R.; Nematollahi, B.; Ranade, R.; Khayat, K.H.; Sanjayan, J.G. Digital fabrication of eco-friendly ultra-high performance fiber-reinforced concrete. Cem. Concr. Compos. 2022, 125, 104281. [Google Scholar] [CrossRef]
  104. Suntharalingam, T.; Nagaratnam, B.; Keerthan, P.; Hackney, P.; Ramli, J. Effect of Polypropylene Fibres on the Mechanical Properties of Extrudable Cementitious Material. In Second RILEM International Conference on Concrete and Digital Fabrication, Proceedigs of the 2020 Digital Concrete, Eindhoven, The Netherlands, 6–8 July 2020; Springer: Cham, Switzerland, 2020; pp. 516–526. [Google Scholar] [CrossRef]
  105. Yang, Y.; Wu, C.; Liu, Z.; Wang, H.; Ren, Q. Mechanical anisotropy of ultra-high performance fibre-reinforced concrete for 3D printing. Cem. Concr. Compos. 2022, 125, 104310. [Google Scholar] [CrossRef]
  106. Zhang, Y.; Aslani, F. Development of fibre reinforced engineered cementitious composite using polyvinyl alcohol fibre and activated carbon powder for 3D concrete printing. Constr. Build. Mater. 2021, 303, 124453. [Google Scholar] [CrossRef]
  107. Ibrahim, K.A.; van Zijl, G.P.A.G.; Babafemi, A.J. Influence of limestone calcined clay cement on properties of 3D printed concrete for sustainable construction. J. Build. Eng. 2023, 69, 106186. [Google Scholar] [CrossRef]
  108. Xiao, J.; Hou, S.; Duan, Z.; Zou, S. Rheology of 3D printable concrete prepared by secondary mixing of ready-mix concrete. Cem. Concr. Compos. 2023, 138, 104958. [Google Scholar] [CrossRef]
  109. Tay, Y.W.D.; Qian, Y.; Tan, M.J. Printability region for 3D concrete printing using slump and slump flow test. Compos. B Eng. 2019, 174, 106968. [Google Scholar] [CrossRef]
  110. Ünlü, R. An assessment of machine learning models for slump flow and examining redundant features. Comput. Concr. 2020, 25, 565–574. [Google Scholar]
  111. Wild, C. The concept of distribution. Stat. Educ. Res. J. 2006, 5, 10–26. [Google Scholar] [CrossRef]
  112. Sprenger, J. Science without (parametric) models: The case of bootstrap resampling. Synthese 2011, 180, 65–76. [Google Scholar] [CrossRef][Green Version]
  113. Dwivedi, A.K.; Mallawaarachchi, I.; Alvarado, L.A. Analysis of small sample size studies using nonparametric bootstrap test with pooled resampling method. Stat. Med. 2017, 36, 2187–2205. [Google Scholar] [CrossRef]
  114. He, X. Resampling Methods. In Handbook of Quantile Regression; Chapman and Hall/CRC: New York, NY, USA, 2017; pp. 7–19. [Google Scholar]
  115. Mooney, C.Z.; Duval, R.D.; Duvall, R. Bootstrapping: A Nonparametric Approach to Statistical Inference; Sage: Thousand Oaks, CA, USA, 1993. [Google Scholar]
  116. Smith, K.E.; Smith, A.O. A spectral enabled GAN for time series data generation. arXiv 2021, arXiv:2103.01904. [Google Scholar]
  117. Sattigeri, P.; Hoffman, S.C.; Chenthamarakshan, V.; Varshney, K.R. Fairness GAN: Generating datasets with fairness properties using a generative adversarial network. IBM J. Res. Dev. 2019, 63, 1–3. [Google Scholar] [CrossRef]
  118. Wang, X.; Banthia, N.; Yoo, D.Y. Reinforcement bond performance in 3D concrete printing: Explainable ensemble learning augmented by deep generative adversarial networks. Autom. Constr. 2024, 158, 105164. [Google Scholar] [CrossRef]
  119. Chaabene, W.B.; Flah, M.; Nehdi, M.L. Machine learning prediction of mechanical properties of concrete: Critical review. Constr. Build. Mater. 2020, 260, 119889. [Google Scholar] [CrossRef]
  120. Koya, B.P.; Aneja, S.; Gupta, R.; Valeo, C. Comparative analysis of different machine learning algorithms to predict mechanical properties of concrete. Mech. Adv. Mater. Struct. 2022, 29, 4032–4043. [Google Scholar] [CrossRef]
  121. Tipu, R.K.; Panchal, V.R.; Pandya, K.S. Prediction of concrete properties using machine learning algorithm. J. Phys. Conf. Ser. IOP Publ. 2022, 2273, 012016. [Google Scholar] [CrossRef]
  122. Topçu, İ.B.; Sarıdemir, M. Prediction of properties of waste AAC aggregate concrete using artificial neural network. Comput. Mater. Sci. 2007, 41, 117–125. [Google Scholar] [CrossRef]
  123. Wu, Y.C.; Feng, J.W. Development and Application of Artificial Neural Network. Wirel. Pers. Commun. 2018, 102, 1645–1656. [Google Scholar] [CrossRef]
  124. Zhang, Z. Artificial neural network. In Multivariate Time Series Analysis in Climate and Environmental Research; Springer: Cham, Switzerland, 2018; pp. 1–35. [Google Scholar]
  125. Singh, P.; Adebanjo, A.; Shafiq, N.; Razak, S.N.A.; Kumar, V.; Farhan, S.A.; Adebanjo, I.; Singh, A.; Dixit, S.; Singh, S.; et al. Development of performance-based models for green concrete using multiple linear regression and artificial neural network. Int. J. Interact. Des. Manuf. 2023, 18, 2945–2956. [Google Scholar] [CrossRef]
  126. Song, H.; Ahmad, A.; Ostrowski, K.A.; Dudek, M. Analyzing the compressive strength of ceramic waste-based concrete using experiment and artificial neural network (ANN) approach. Materials 2021, 14, 4518. [Google Scholar] [CrossRef] [PubMed]
  127. Yao, X.; Lyu, X.; Sun, J.; Wang, B.; Wang, Y.; Yang, M.; Wei, Y.; Elchalakani, M.; Li, D.; Wang, X. AI-based performance prediction for 3D-printed concrete considering anisotropy and steam curing condition. Constr. Build. Mater. 2023, 375, 130898. [Google Scholar] [CrossRef]
  128. Charrier, M.; Ouellet-Plamondon, C.M. Artificial neural network for the prediction of the fresh properties of cementitious materials. Cem. Concr. Res. 2022, 156, 106761. [Google Scholar] [CrossRef]
  129. Nazar, S.; Yang, J.; Ahmad, A.; Shah, S.F.A. Comparative study of evolutionary artificial intelligence approaches to predict the rheological properties of fresh concrete. Mater. Today Commun. 2022, 32, 103964. [Google Scholar] [CrossRef]
  130. Chen, T.; He, T.; Benesty, M.; Khotilovich, V.; Tang, Y.; Cho, H.; Chen, K.; Mitchell, R.; Cano, I.; Zhou, T. Xgboost: Extreme Gradient Boosting, R Package Version 0.4-2 1 (2015) 1–4. Available online: https://cran.r-project.org/web/packages/xgboost/index.html (accessed on 1 August 2024).
  131. Chang, Y.-C.; Chang, K.-H.; Wu, G.-J. Application of eXtreme gradient boosting trees in the construction of credit risk assessment models for financial institutions. Appl. Soft. Comput. 2018, 73, 914–920. [Google Scholar] [CrossRef]
  132. Nguyen-Sy, T.; Wakim, J.; To, Q.-D.; Vu, M.-N.; Nguyen, T.-D.; Nguyen, T.-T. Predicting the compressive strength of concrete from its compositions and age using the extreme gradient boosting method. Constr. Build. Mater. 2020, 260, 119757. [Google Scholar] [CrossRef]
  133. Chou, J.-S.; Chen, L.-Y.; Liu, C.-Y. Forensic-based investigation-optimized extreme gradient boosting system for predicting compressive strength of ready-mixed concrete. J. Comput. Des. Eng. 2023, 10, 425–445. [Google Scholar] [CrossRef]
  134. Falah, M.W.; Hussein, S.H.; Saad, M.A.; Ali, Z.H.; Tran, T.H.; Ghoniem, R.M.; Ewees, A.A. Compressive strength prediction using coupled deep learning model with extreme gradient boosting algorithm: Environmentally friendly concrete incorporating recycled aggregate. Complexity 2022, 2022, 5433474. [Google Scholar] [CrossRef]
  135. Zhang, X.; Akber, M.Z.; Zheng, W. Predicting the slump of industrially produced concrete using machine learning: A multiclass classification approach. J. Build. Eng. 2022, 58, 104997. [Google Scholar] [CrossRef]
  136. Nguyen, H.; Nguyen, N.-M.; Cao, M.-T.; Hoang, N.-D.; Tran, X.-L. Prediction of long-term deflections of reinforced-concrete members using a novel swarm optimized extreme gradient boosting machine. Eng. Comput. 2022, 38, 1255–1267. [Google Scholar] [CrossRef]
  137. Kecman, V. Support Vector Machines–An Introduction. In Support Vector Machines: Theory and Applications; Springer: Berlin/Heidelberg, Germany, 2005; pp. 1–47. [Google Scholar]
  138. Suthaharan, S. Support vector machine. In Machine Learning Models and Algorithms for Big Data Classification: Thinking with Examples for Effective Learning; Springer: Berlin/Heidelberg, Germany, 2016; pp. 207–235. [Google Scholar]
  139. Gupta, S.M. Support vector machines based modelling of concrete strength. Int. J. Intel. Technol. 2007, 3, 12–18. [Google Scholar]
Figure 2. Interaction of key 3DCP parameters.
Figure 2. Interaction of key 3DCP parameters.
Applsci 14 07231 g002
Figure 3. Research methodology.
Figure 3. Research methodology.
Applsci 14 07231 g003
Figure 4. (a) Concrete printing through the extruder, (b) cast compressive strength, (c) printed compressive strength (direction 1), (d) printed compressive strength (direction 2), (e) printed compressive strength (direction 3).
Figure 4. (a) Concrete printing through the extruder, (b) cast compressive strength, (c) printed compressive strength (direction 1), (d) printed compressive strength (direction 2), (e) printed compressive strength (direction 3).
Applsci 14 07231 g004
Figure 5. Statistical comparison of the real dataset with (a) BR-augmented data and (b) DGAN-augmented data.
Figure 5. Statistical comparison of the real dataset with (a) BR-augmented data and (b) DGAN-augmented data.
Applsci 14 07231 g005
Figure 6. Pearson correlation coefficient matrices for (a) real data, (b) BR-augmented data, (c) DGAN-augmented data, correlation coefficient difference for (d) real and BR-augmented data, (e) real and DGAN-augmented data.
Figure 6. Pearson correlation coefficient matrices for (a) real data, (b) BR-augmented data, (c) DGAN-augmented data, correlation coefficient difference for (d) real and BR-augmented data, (e) real and DGAN-augmented data.
Applsci 14 07231 g006
Figure 7. Relative frequencies of key features (a) Water (kg/m3), (b) Cement (kg/m3), (c) Silica fume (kg/m3), (d) Fiber amount (kg/m3), (e) Cast compressive strength (MPa), (f) Printed compressive strength-Dir. 1 (MPa), (g) Printed compressive strength-Dir. 2 (MPa), (h) Printed compressive strength-Dir. 3 (MPa), (i) Slump flow (mm).
Figure 7. Relative frequencies of key features (a) Water (kg/m3), (b) Cement (kg/m3), (c) Silica fume (kg/m3), (d) Fiber amount (kg/m3), (e) Cast compressive strength (MPa), (f) Printed compressive strength-Dir. 1 (MPa), (g) Printed compressive strength-Dir. 2 (MPa), (h) Printed compressive strength-Dir. 3 (MPa), (i) Slump flow (mm).
Applsci 14 07231 g007
Figure 8. Actual vs. predicted cast compressive strength: (a) DGAN-SVM, (b) BR-SVM, (c) DGAN-ANN, (d) BR-ANN, (e) DGAN-XGBoost, and (f) BR-XGBoost.
Figure 8. Actual vs. predicted cast compressive strength: (a) DGAN-SVM, (b) BR-SVM, (c) DGAN-ANN, (d) BR-ANN, (e) DGAN-XGBoost, and (f) BR-XGBoost.
Applsci 14 07231 g008
Figure 9. Actual vs. predicted printed compressive strength: (a) DGAN-SVM, (b) BR-SVM, (c) DGAN-ANN, (d) BR-ANN, (e) DGAN-XGBoost, and (f) BR-XGBoost.
Figure 9. Actual vs. predicted printed compressive strength: (a) DGAN-SVM, (b) BR-SVM, (c) DGAN-ANN, (d) BR-ANN, (e) DGAN-XGBoost, and (f) BR-XGBoost.
Applsci 14 07231 g009
Figure 10. Actual vs. predicted slump flow: (a) DGAN-SVM, (b) BR-SVM, (c) DGAN-ANN, (d) BR-ANN, (e) DGAN-XGBoost, and (f) BR-XGBoost.
Figure 10. Actual vs. predicted slump flow: (a) DGAN-SVM, (b) BR-SVM, (c) DGAN-ANN, (d) BR-ANN, (e) DGAN-XGBoost, and (f) BR-XGBoost.
Applsci 14 07231 g010
Figure 11. Performance test metrics for models trained on data augmented by DGAN and BR (a) R2, (b) MSE, (c) RMSE, and (d) MAE.
Figure 11. Performance test metrics for models trained on data augmented by DGAN and BR (a) R2, (b) MSE, (c) RMSE, and (d) MAE.
Applsci 14 07231 g011
Table 1. Statistics of the real dataset features.
Table 1. Statistics of the real dataset features.
No.FeatureUnitsStatistics
MeanSTDMin.25th Percentile 50th Percentile 75th Percentile Max.
1Water (kg/m3)278.91131.7774.23177.12262.20329.80644.46
2Cement (kg/m3)525.91282.990.00290.00565.37683.001205.00
3Silica fume (SF) (kg/m3)69.8989.630.000.0039.1593.26293.00
4Fly ash (FA) (kg/m3)317.73382.360.000.00177.92498.271380.00
5High-range water-reducing admixture (HRWA) (kg/m3)5.735.060.000.985.307.6020.00
6Nano clay (NC) (kg/m3)1.052.450.000.000.000.0011.26
7Viscosity modifying agent (VMA)(kg/m3)3.638.960.000.000.492.7555.20
8 Coarse aggregate (CA) amount (kg/m3)221.29417.390.000.000.00343.701566.30
9Coarse aggregate (CA) max. size(mm)1.422.640.000.000.001.3510.00
10Fine aggregate (FA) amount (kg/m3)689.29330.55195.70433.47624.87939.001229.00
11Fine aggregate (FA) max. size (mm)0.450.230.180.300.400.481.00
12Fiber tensile strength(MPa)1313.901141.020.00300.00880.002500.003450.00
13Fiber elastic modulus (GPA)49.1468.420.003.0012.5087.20200.00
14Fiber amount (kg/m3)19.4136.210.001.209.0021.60157.00
15Fiber length (mm)9.035.770.006.009.0012.0023.00
16Fiber diameter (µm)39.5153.590.0011.2024.0039.00200.00
17Cast compressive strength (MPa)56.0438.8518.7736.0042.0053.00170.20
18Printed compressive strength-Dir. 1 (MPa)51.4233.5918.2030.6040.4356.00166.50
19Printed compressive strength-Dir. 2 (MPa)45.1534.7814.5024.1232.5050.00151.11
20Printed compressive strength-Dir. 3 (MPa)36.0227.9910.4018.7224.4047.20148.70
21Print speed (mm/sec)109.83110.010.8350.00100.00109.31450.00
22Slump flow (mm)139.3555.4712.00100.00150.00180.00240.00
23Nozzle area (mm2)674.151533.3628.26113.04314.00490.637850.00
Table 2. Optimized hyperparameters for the DGAN model.
Table 2. Optimized hyperparameters for the DGAN model.
ParametersTurned Value
Generator
Layers6
Units per layer(256, 256, 256, 256, 256, 256)
Learning rate0.0002
Batch size150
Training epochs8000
Embedding vector size26
Discriminator
Layers5
Units per layer(256, 256, 256, 256, 256)
Learning rate0.0002
Training epochs8000
Table 3. Hyperparameters for ANN models.
Table 3. Hyperparameters for ANN models.
HyperparameterTuning RangeTuned Value
BRDGAN
hidden_layer_sizes[(50, 50), (100, 100), (100, 100, 100),
(200, 200, 200)]
(200, 200, 200)(200, 200, 200)
alpha[0.0001, 0.001, 0.01]0.00010.001
max_iter[400, 600, 800, 1000]400400
Table 4. Hyperparameters for XGBoost models.
Table 4. Hyperparameters for XGBoost models.
HyperparameterTuning RangeTuned Value
BRDGAN
learning_rate[0.01, 0.1, 0.2]0.10.1
n_estimators[50, 100, 200]100200
max_depth[3, 5, 7]77
Subsample[0.6, 0.8, 1.0]11
colsample_bytree[0.6, 0.8, 1.0]0.60.6
reg_alpha[0, 0.1, 0.5, 1]11
reg_lambda[0.1, 1, 10]110
Table 5. Hyperparameters for SVM models.
Table 5. Hyperparameters for SVM models.
HyperparameterTuning RangeTuned Value
BRDGAN
estimator_C[0.1, 1, 10]0.10.1
estimator_gamma[0.1, 1, 10]1010
Table 6. Evaluation metrics score for training and testing of all predictive models.
Table 6. Evaluation metrics score for training and testing of all predictive models.
Evaluation MetricsFeaturesTrainingTesting
SVMANNXGBoostSVMANNXGBoost
DGANBRDGANBRDGANBRDGANBRDGANBRDGANBR
R2Cast0.9890.9830.9910.9810.9990.9970.9460.9400.9490.9800.9000.982
Dir.10.9900.9710.9910.9760.9990.9950.8870.9500.9070.9610.8480.970
Dir.20.9910.9810.9920.9800.9990.9960.9340.9460.9380.9340.9100.972
Dir.30.9900.9750.9920.9730.9990.9930.8970.9390.9240.9340.9210.971
Slump flow0.9690.9700.9690.9780.9970.9970.7980.9570.7940.9790.7290.980
MSECast13.97624.95011.68628.0811.2614.64380.39489.57576.14429.143148.77927.434
Dir.110.26631.8929.55327.0890.9175.409125.54156.019102.99043.354169.29033.276
Dir.28.80521.9147.88922.8150.8934.87178.35364.09873.78678.722106.85733.969
Dir.37.86619.1826.45220.5400.7325.58279.76047.48958.61451.06761.27222.629
Slump flow78.17591.38376.78266.5456.56710.698611.871131.040625.82965.066823.61560.752
RMSECast (MPa)3.7384.9953.4185.2991.1232.1558.9669.4648.7265.39812.1985.238
Dir.1 (MPa)3.2045.6473.0915.2050.9582.32611.2057.48510.1486.58413.0115.769
Dir.2 (MPa)2.9674.6812.8094.7760.9452.2078.8528.0068.5908.87310.3375.828
Dir.3 (MPa)2.8054.3802.5404.5320.8562.3638.9316.8917.6567.1467.8284.757
Slump flow (mm)8.8429.5598.7638.1572.5633.27124.73611.44725.0178.06628.6997.794
MAECast (MPa)2.3833.4602.5324.1580.7991.6476.6916.1826.5503.7618.0394.731
Dir.1 (MPa)2.1143.7292.3344.0140.6861.7588.2725.7947.9415.5679.4365.118
Dir.2 (MPa)1.9193.3102.0663.7110.6761.6826.3226.5476.3287.6547.7255.420
Dir.3 (MPa)1.7873.1931.8763.5770.6061.8046.5236.1445.4086.6205.8064.309
Slump flow (mm)6.1536.5376.6556.3061.8392.47117.9139.28018.0686.44621.3506.600
Disclaimer/Publisher’s Note: The statements, opinions and data contained in all publications are solely those of the individual author(s) and contributor(s) and not of MDPI and/or the editor(s). MDPI and/or the editor(s) disclaim responsibility for any injury to people or property resulting from any ideas, methods, instructions or products referred to in the content.

Share and Cite

MDPI and ACS Style

Rehman, S.U.; Riaz, R.D.; Usman, M.; Kim, I.-H. Augmented Data-Driven Approach towards 3D Printed Concrete Mix Prediction. Appl. Sci. 2024, 14, 7231. https://doi.org/10.3390/app14167231

AMA Style

Rehman SU, Riaz RD, Usman M, Kim I-H. Augmented Data-Driven Approach towards 3D Printed Concrete Mix Prediction. Applied Sciences. 2024; 14(16):7231. https://doi.org/10.3390/app14167231

Chicago/Turabian Style

Rehman, Saif Ur, Raja Dilawar Riaz, Muhammad Usman, and In-Ho Kim. 2024. "Augmented Data-Driven Approach towards 3D Printed Concrete Mix Prediction" Applied Sciences 14, no. 16: 7231. https://doi.org/10.3390/app14167231

APA Style

Rehman, S. U., Riaz, R. D., Usman, M., & Kim, I.-H. (2024). Augmented Data-Driven Approach towards 3D Printed Concrete Mix Prediction. Applied Sciences, 14(16), 7231. https://doi.org/10.3390/app14167231

Note that from the first issue of 2016, this journal uses article numbers instead of page numbers. See further details here.

Article Metrics

Back to TopTop