Experimental Study on the Water Absorption, Compaction Effect, and Pull-Out Bearing Characteristics of Water-Absorbing and Compaction Anchoring Bolts
Abstract
1. Introduction
2. The Structure and Working Mechanism of Water-Absorbing and Compaction Anchoring Bolts
2.1. Structure and Construction of Water-Absorbing Squeezing Anchor Rods
2.2. Working Mechanism
- (1)
- Novel structure: Compared to traditional bolts, the water-absorbing and compaction anchoring bolt has an ingenious design that combines anchoring support, physicochemical improvement, and other technologies. It comprehensively considers the deformation characteristics of the surrounding rock strength under the influence of water and force, maximizing the of the surrounding rock’s self-stabilization and support structure. This structure can select different water-absorbing media and anchoring agents based on different basic parameters of the surrounding rock. At the same time, it can achieve differentiated and on-demand design, overall customization, and strong structural designability according to the scope of the surrounding rock’s loose zone and the hydraulic conduction characteristics of the surrounding rock around the tunnel. The structural system is more distinctive.
- (2)
- Comprehensive functions: The water-absorbing and compaction anchoring bolt can not only achieve suspension and reinforcement of loose surrounding rock but also achieve physicochemical improvement, water absorption, expansion, and compaction, thermodynamic drainage and consolidation, ion exchange, gelation, and calcification of the surrounding rock around the tunnel. Combined with arches or thin steel plates, it can also achieve a fitting support for the tunnel wall and attain the collaborative bearing of shallow and deep composite arches.
- (3)
- Wide application range: The structure of the water-absorbing and compaction anchoring bolt is easy to customize according to demand, has strong adaptability and good integrity, and can be constructed quickly using mechanization. It can not only be applied to the active reinforcement of soft surrounding rock tunnels during construction but also to the repair and reinforcement of tunnels during operation.
3. Experimental Design
3.1. Test Objectives
3.2. Test Plan
3.2.1. Anchor Bolt Design
3.2.2. Test Materials
- (1)
- Model Box
- (2)
- Loess Soil
- (3)
- Water Absorption and Densification Anchor Bolt
3.2.3. Sensor Layout
3.2.4. Test Procedure
3.3. Result Analysis
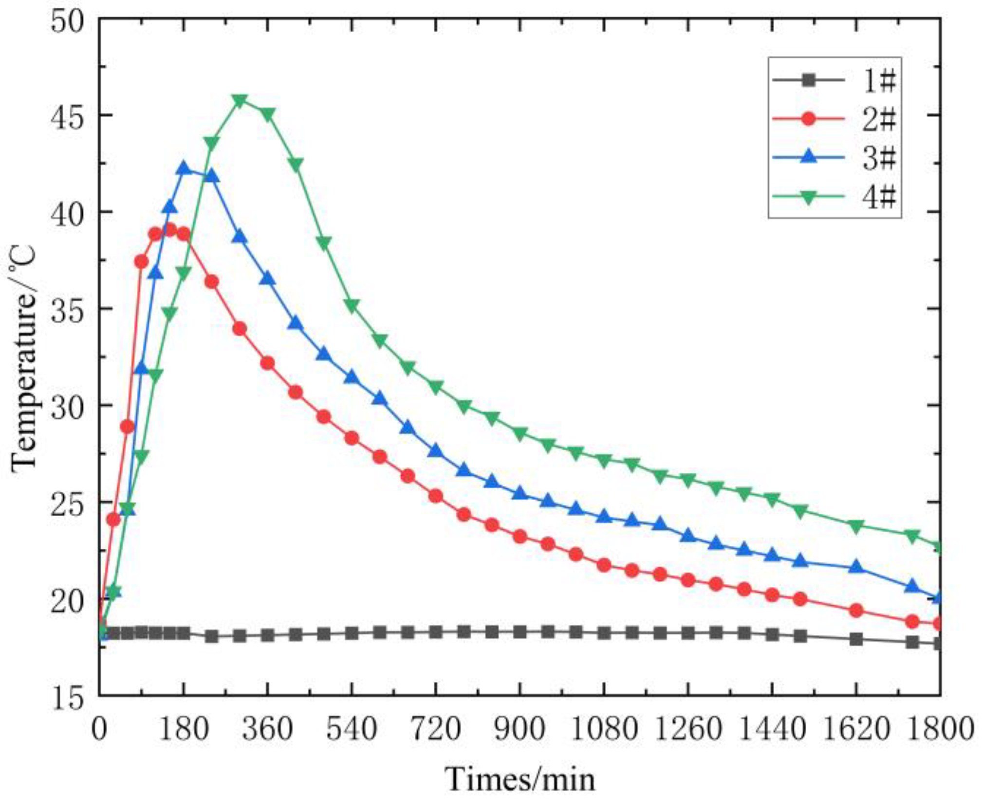
3.3.1. Temperature Change Pattern
3.3.2. Change Rule of Pore Water Pressure
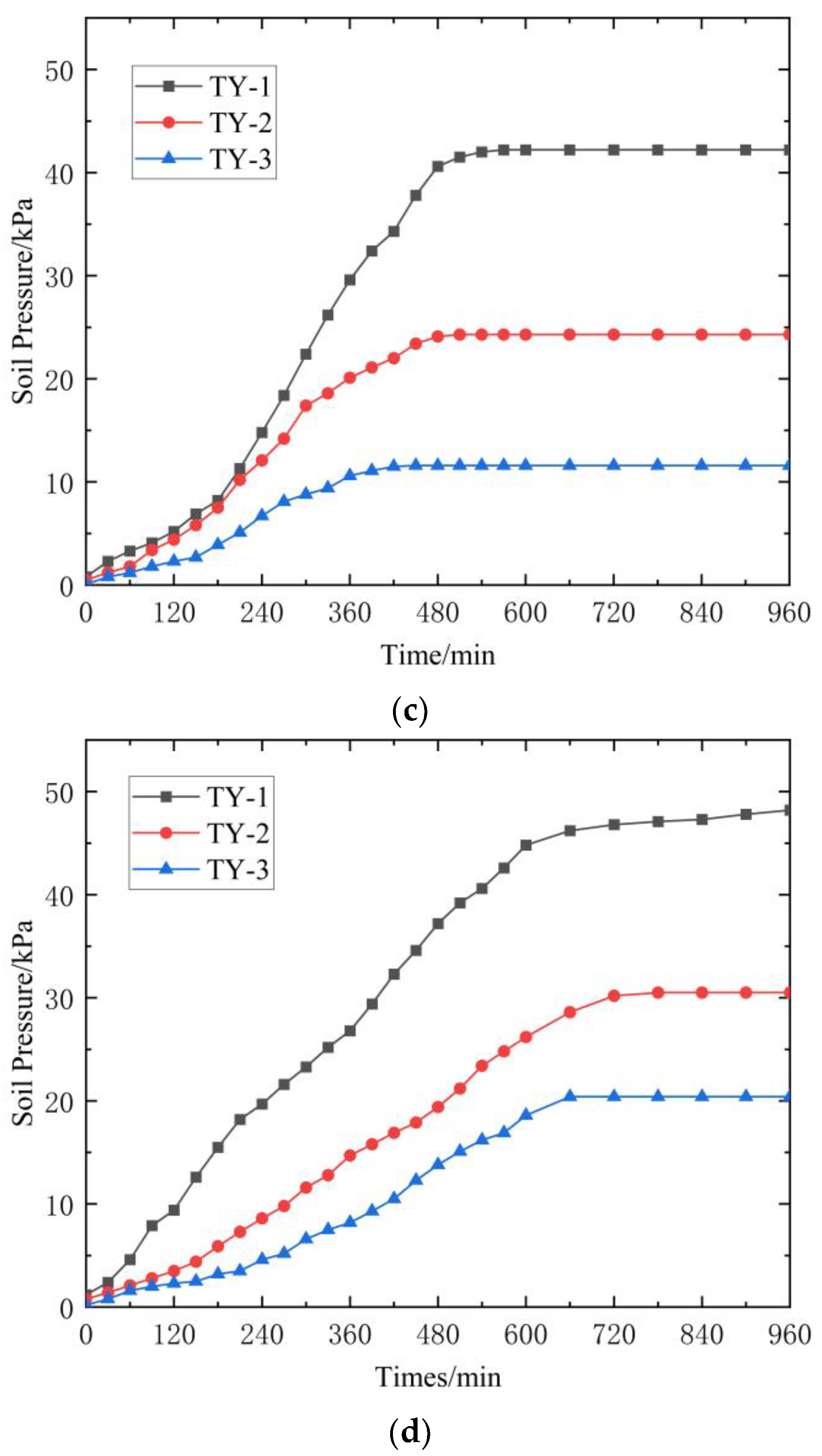
3.3.3. Variation in Compaction Stress
3.3.4. Analysis of Physical Property Indicators of the Soil in the Consolidation Zone
3.3.5. Analysis of Pull-Out Capacity
4. Discussions
5. Conclusions
- (1)
- Adhering to the technical principles of “shallow surrounding rock water-absorbing and squeezing, deep surrounding rock suspension anchoring, and composite arch bearing”, a new type of segmented series expansion anchor was developed based on hollow grouting anchors (or threaded anchors). According to the functional characteristics of each segment, it is divided into a water-absorbing and squeezing segment and a bonding and anchoring segment. Its working mechanism is mainly embodied in water absorption, expansion, squeezing, consolidation, drainage, and composite arch bearing in the reinforcement zone. This new anchor enriches the supporting technology for water-rich loess tunnels.
- (2)
- The installation of the water-absorbing and squeezing anchorage anchor forms a cylindrical heat source in the water-absorbing and squeezing segment, causing the significant thermal consolidation of the surrounding soil. The temperature, pore water pressure, and squeezing stress of the soil around the anchor truly reflect the qualitative law of hydro-thermal–mechanical changes during the water-absorbing, curing, and exothermic reaction process. The water-absorbing and squeezing segment effectively improves the density of the soil in the water-absorbing, squeezing, and consolidation zone, enhancing the soil strength parameters.
- (3)
- Compared to traditional mortar bonding anchors, the water-absorbing and squeezing anchorage anchor exhibits higher pull-out capacity. As the diameter of the water-absorbing and squeezing segment increases, its expanded head becomes larger, and the influence range of water-absorbing, squeezing, and thermal consolidation also expands. Compared to anchor #1, the pull-out capacities of anchors #2, #3, and #4 are increased by 26.1%, 32.6%, and 39.1%, respectively.
Author Contributions
Funding
Institutional Review Board Statement
Informed Consent Statement
Data Availability Statement
Conflicts of Interest
References
- Hong, Q.; Lai, H.; Liu, Y. Failure analysis and treatments of collapse accidents in loess tunnels. Eng. Fail. Anal. 2023, 145, 107037. [Google Scholar] [CrossRef]
- Hong, Q.; Lai, H.; Liu, Y.; Ma, X.; Xie, J. Deformation control method of a large cross-section tunnel overlaid by a soft-plastic loess layer: A case study. Bull. Eng. Geol. Environ. 2021, 80, 4717–4730. [Google Scholar] [CrossRef]
- Li, P.; Zhao, Y. Performance of a multi-face tunnel excavated in loess ground based on field monitoring and numerical modeling. Arab. J. Geosci. 2016, 9, 640. [Google Scholar] [CrossRef]
- Zhang, X.; Wang, M.; Zhou, B.; Wang, X. Influence of factors on collapse risk of loess tunnel:a multi-index assessment model. J. Eng. Des. Technol. 2018, 16, 734–749. [Google Scholar] [CrossRef]
- Xu, Z.; Cai, N.; Li, X.; Xian, M.; Dong, T. Risk assessment of loess tunnel collapse during construction based on an attribute recognition model. Bull. Eng. Geol. Environ. 2021, 80, 6205–6220. [Google Scholar] [CrossRef]
- Sun, W.; Liang, Q.; Qin, S.; Yuan, Y.; Zhang, T. Evaluation of groundwater effects on tunnel engineering in loess. Bull. Eng. Geol. Environ. 2021, 80, 1947–1962. [Google Scholar] [CrossRef]
- Hong, Q.; Lai, H.; Liu, Y.; Chen, R.; Liu, C.; Xie, J. A case study on deformation characteristics of a large cross-section tunnel passing through a soft-plastic layer with different spatial locations. Arab. J. Geosci. 2021, 14, 272. [Google Scholar] [CrossRef]
- Shao, S.; Shao, S.; Li, J.; Qiu, B. An Analysis of Loess Tunnel Failure and its Mechanism, Advances in Civil Engineering. Adv. Civ. Eng. 2021, 6671666. [Google Scholar] [CrossRef]
- Wang, L.; Li, X.-A.; Qin, B.; Zheng, H.; Zheng, Z. Genesis and evolution mechanism of loess tunnels in the Loess Plateau, China. Catena 2024, 239, 107919. [Google Scholar] [CrossRef]
- Wang, D. Analysis of the causes of the collapse of a deep-buried large cross-section of loess tunnel and evaluation of treatment measures. Appl. Sci. 2021, 12, 161. [Google Scholar] [CrossRef]
- Wei, Z.; Zhu, Y. Seepage in water-rich loess tunnel excavating process and grouting control effect. Geofluids 2021, 5597845. [Google Scholar] [CrossRef]
- Chen, D.; Wang, L.; Sun, C.; Jia, C.; Zheng, L. Investigation of the support constraint effect and failure instability law of tunnels constructed using the New Austrian tunneling method. Sci. Rep. 2022, 12, 5811. [Google Scholar] [CrossRef] [PubMed]
- Yue, J.; Liang, Q.; Zhang, T.; Fan, C. Research on Mechanical Response and Time-space Distribution of Dupporting Structure of Deep-Buried Tunnel in Naturally Water-Rich Loess. Tunn. Undergr. Space Technol. 2024, 147, 105688. [Google Scholar] [CrossRef]
- Luo, Y.; Chen, J.; Shi, Z.; Li, J.; Liu, W. Mechanical characteristics of primary support of large span loess highway tunnel: A case study in Shaanxi Province, Loess Plateau, NW China primary. Tunn. Undergr. Space Technol. 2020, 104, 103532. [Google Scholar] [CrossRef]
- Indraratna, B.; Kaiser, P.K. Analytical model for the design of grouted rock bolts. Int. J. Numer. Anal. Methods Geomech. 1990, 14, 227–251. [Google Scholar] [CrossRef]
- Duddeck, H. Application of numerical analyses for tunnelling. Int. J. Numer. Anal. Methods Geomech. 1991, 15, 223–239. [Google Scholar] [CrossRef]
- Jian, L.; Chen, K. Analysis of Mechanical Characteristics and Anchoring Effect of Bolt in shallow-buried Loess Tunnels. IOP Conf. Ser. 2019, 267, 042096. [Google Scholar] [CrossRef]
- Guo, J.; Wang, M.N.; Tan, Z.S. Study on the mechanical mechanism of systematic anchor in large span and shallow-buried loess tunnel. Rock Soil Mech. 2010, 31, 870–874. [Google Scholar] [CrossRef]
- Xia, Q.; Zhu, X.; Zhang, G.; Yang, S.; Li, W. The Improved Theory of Synergetic Action Between Anchor Support System and Surrounding Rock-I·L·4S Mechanism Theory and Its Application in Tunnel Support Engineering. Geotech. Geol. Eng. 2021, 39, 3563–3572. [Google Scholar] [CrossRef]
- Zhao, D.; Wang, L.; Yu, Y.; Liu, J. Research status and development direction of tunnel system bolt. China Civ. Eng. J. 2020, 53, 119–128. [Google Scholar] [CrossRef]
- Cheng, J.-X.; Yang, S.-S.; Luo, Y.-B.; Wang, M.-S. Field test research on elimination of systematic rock bolts in weak rock tunnel. Rock Soil Mech. 2011, 32, 15–20. [Google Scholar] [CrossRef]
- Cheng, J.-X.; Wang, C.; Luo, Y.-B.; Gai, Q.-S.; Wu, K.-F. Experimental research on high-water-content soil tunnel without systematic bolts. Chin. J. Geotech. Eng. 2010, 32, 815–820. [Google Scholar]
- Tan, Z.; Yu, Y.; Wang, M.; Yang, J. Experimental research on bolt anchorage effect on large-section deep-buried tunnel in loess. Chin. J. Rock Mech. Eng. 2008, 27, 1618–1625. [Google Scholar]
- Wang, Z.; Su, X.; Lai, H.; Xie, Y.; Qin, Y.; Liu, T. Conception and Evaluation of a Novel Type of Support in Loess Tunnels. J. Perform. Constr. Facil. 2021, 35, 04020144. [Google Scholar] [CrossRef]
- Wang, Q.; Sun, L.; Jiang, B.; Xin, Z.; Guo, Y. Research and application of a tunnel active–passive cooperative control mechanism. Tunn. Undergr. Space Technol. 2024, 149, 105801. [Google Scholar] [CrossRef]
- Tian, M.; Gao, X.; Zhang, A.; Han, L.; Xiao, H. Study on the deformation failure mechanism and coupling support technology of soft rock roadways in strong wind oxidation zones. Eng. Fail. Anal. 2023, 156, 107840. [Google Scholar] [CrossRef]
- Zhao, J.; Tan, Z.; Wang, X.; Zhou, Z. Engineering characteristics of water-bearing weakly cemented sandstone and dewatering technology in tunnel excavation. Tunn. Undergr. Space Technol. 2022, 121, 104316. [Google Scholar] [CrossRef]
- Zhou, S.; Cheng, X.; Li, Q. Failure analysis of water gushing in excavation and application of rapid dewatering and recharge emergency measures. Eng. Fail. Anal. 2024, 159, 108074. [Google Scholar] [CrossRef]
- Pei, X.; Zhang, F.; Wu, W.; Liang, S. Physicochemical and index properties of loess stabilized with lime and fly ash piles. Appl. Clay Sci. 2015, 114, 77–84. [Google Scholar] [CrossRef]
- Li, B.; Min, F.; Zhang, N.; Ma, J.; Li, Z.; Yao, Z.; Zhang, L. Experimental study on water transfer mechanism of quicklime modified centrifugal dewatering clay. Constr. Build. Mater. 2023, 408, 133492. [Google Scholar] [CrossRef]
- Zhang, F.; Dong, J.; Yang, X.; Lian, B.; Wang, X. Study on the Hydro-Thermal-Mechanical Characteristics of the Lime-Soil Compaction Pile in the Forming Process. Adv. Mater. Sci. Eng. 2021, 7701423. [Google Scholar] [CrossRef]
- Min, F.; Ma, J.; Zhang, N.; Song, H.; Du, J.; Wang, D. Experimental study on lime-treated waste soil based on water transfer mechanism. KSCE J. Civ. Eng. 2021, 25, 1645–1652. [Google Scholar] [CrossRef]
- Alrubaye, A.J.; Hasan, M.; Fattah, M.Y. Engineering properties of clayey soil stabilized with lime. ARPN J. Eng. Appl. Sci. 2016, 11, 2434–2441. [Google Scholar] [CrossRef]
- Okyay, U.S.; Dias, D. Use of lime and cement treated soils as pile supported load transfer platform. Eng. Geol. 2010, 114, 34–44. [Google Scholar] [CrossRef]
- Qiao, Y.; Si, J.; Yuan, J.; Wang, Y.; Niu, X.; Ju, J.; Zhou, M.; He, L. Multi-Parameter Experimental Research on the Expansion Force Affecting Lime-Sand Piles under Preloading Pressure. Buildings 2024, 14, 1208. [Google Scholar] [CrossRef]
- Gao, X.; Luan, Y.; Hu, C.; Lu, W.; Sun, H.; Liu, B.; Zhou, L. Study on Bearing Mechanism and Coupling Mechanism of Steel Arch-concrete Composite Structure of Initial Support System of Large Section Tunnel. Geotech. Geol. Eng. 2019, 37, 4877–4887. [Google Scholar] [CrossRef]
- Wang, Z.; Cai, Y.; Xie, Y.; Zhang, M.; Lai, J.; Qiu, J.; Liu, T. Laboratory study on mechanical behavior of hollow π-type steel–concrete composite support in loess tunnel. Tunn. Undergr. Space Technol. 2023, 141, 105280. [Google Scholar] [CrossRef]
- Wen, J.; Yang, C.; Su, H.; Ning, D. Theoretical analysis and application of composite arch for bolt-shotcrete steel frame supported tunnel in weak and fractured rock mass. China Civ. Eng. J. 2015, 48, 115–122. [Google Scholar] [CrossRef]
- Dong, J.; Lian, B.; Liu, G.; Wu, X.; Shi, L. In-situ Test Study on Weak Slope Reinforcement with Lime Nail Composite Anchors. J. Basic Sci. Eng. 2024, 32, 527–545. [Google Scholar] [CrossRef]
- Shah, I.A.; Zaid, M.; Farooqi, M.A.; Ali, K. Numerical Study on Micropile Stabilized Foundation in Flyash. Indian Geotech. J. 2021, 51, 1099–1106. [Google Scholar] [CrossRef]
- Sharma, B.; Sarkar, S.; Hussain, Z. A Study of Parameters Influencing Efficiency of Micropile Groups. In Ground Improvement Techniques and Geosynthetics. Lecture Notes in Civil Engineering; Thyagaraj, T., Ed.; Springer: Singapore, 2019; Volume 14. [Google Scholar] [CrossRef]
- Misra, A.; Roberts, L.A.; Oberoi, R.; Chen, C.-H. Uncertainty Analysis of Micropile Pullout Based upon Load Test Results. J. Geotech. Geoenviron. Eng. 2007, 133. [Google Scholar] [CrossRef]


















| Anchor Rod Number | Bolt Length (m) | The Length of the Water Absorption and Compaction Section (m) | Length of Bonding and Anchoring Section (m) | Diameter of Water Absorbing and Squeezing Film Bag (cm) | Diameter of Bonding Anchoring Section (cm) | Notes |
|---|---|---|---|---|---|---|
| 1# | 2.5 | / | 2.0 | / | 7.5 | Mortar anchor rod |
| 2# | 2.5 | 1.0 | 1.0 | 7.5 | 7.5 | Water absorption squeezing anchoring anchor rod |
| 3# | 2.5 | 1.0 | 1.0 | 9.0 | 7.5 | |
| 4# | 2.5 | 1.0 | 1.0 | 10.0 | 7.5 |
| Moisture Content (%) | Density (g/cm3) | Specific Gravity | Plastic Limit | Liquid Limit | Plasticity Index | Hydraulic Conductivity (cm/s) |
|---|---|---|---|---|---|---|
| 24.8 | 1.84 | 2.63 | 17.4 | 26.3 | 8.84 | 6.39 × 10−7 |
| Experimental Indicators | Unit | Technical Standard | Test Result | Notes |
|---|---|---|---|---|
| Poor quality per unit area | % | 200 (−5) | 200 | |
| Thickness | mm | ≥1.6 | 16 | |
| Breaking strength | kN/m | ≥10 | 10.3 | |
| Standard strength corresponds to elongation | % | 40–80 | 50 | Longitudinal and hori |
| CBR breaking force | kN | ≥1.9 | 1.95 | Longitudinal and hori |
| Vertical permeability coefficient | cm/s | K × 10−1~−3 | 2.0 × 10−2 | |
| Tearing strength | kN | ≥0.28 | 0.285 | |
| Equivalent aperture O90 | mm | 0.05–0.2 | 0.1 |
| Chemical Reaction Equation | ||||
|---|---|---|---|---|
| Molecular weight | 58 | 18 | 74 | 64.9 kJ/mol |
| Mass ration | 3.1 | 1 | 4.1 | |
| Proportion | 3.1 | 1 | 2.24 | |
| Volume ration | 1 | 1 | 1.83 | |
| Number | Radius (cm) | Moisture Content (%) | Density (g/cm3) | ||||||
|---|---|---|---|---|---|---|---|---|---|
| Before the Experiment | After the Experiment | Growth Rate | Before the Experiment | After the Experiment | Decrease Rate | Before the Experiment | After the Experiment | Growth Rate | |
| 1# | 7.5 | 7.5 | / | 22.97 | 23.1 | / | 1.43 | 1.42 | / |
| 2# | 7.5 | 8.3 | 10.6% | 22.98 | 22.21 | 3.3% | 1.43 | 1.48 | 3.5% |
| 3# | 9.0 | 12.1 | 34.4% | 23.1 | 22.14 | 4.2% | 1.43 | 1.54 | 7.7% |
| 4# | 10.0 | 13.5 | 35% | 23.2 | 22.06 | 4.9% | 1.43 | 1.58 | 10.5% |
Disclaimer/Publisher’s Note: The statements, opinions and data contained in all publications are solely those of the individual author(s) and contributor(s) and not of MDPI and/or the editor(s). MDPI and/or the editor(s) disclaim responsibility for any injury to people or property resulting from any ideas, methods, instructions or products referred to in the content. |
© 2024 by the authors. Licensee MDPI, Basel, Switzerland. This article is an open access article distributed under the terms and conditions of the Creative Commons Attribution (CC BY) license (https://creativecommons.org/licenses/by/4.0/).
Share and Cite
Ren, X.; He, T.; Yue, F.; He, P. Experimental Study on the Water Absorption, Compaction Effect, and Pull-Out Bearing Characteristics of Water-Absorbing and Compaction Anchoring Bolts. Appl. Sci. 2024, 14, 6960. https://doi.org/10.3390/app14166960
Ren X, He T, Yue F, He P. Experimental Study on the Water Absorption, Compaction Effect, and Pull-Out Bearing Characteristics of Water-Absorbing and Compaction Anchoring Bolts. Applied Sciences. 2024; 14(16):6960. https://doi.org/10.3390/app14166960
Chicago/Turabian StyleRen, Xin, Tianhu He, Feng Yue, and Pengfei He. 2024. "Experimental Study on the Water Absorption, Compaction Effect, and Pull-Out Bearing Characteristics of Water-Absorbing and Compaction Anchoring Bolts" Applied Sciences 14, no. 16: 6960. https://doi.org/10.3390/app14166960
APA StyleRen, X., He, T., Yue, F., & He, P. (2024). Experimental Study on the Water Absorption, Compaction Effect, and Pull-Out Bearing Characteristics of Water-Absorbing and Compaction Anchoring Bolts. Applied Sciences, 14(16), 6960. https://doi.org/10.3390/app14166960

