You are currently viewing a new version of our website. To view the old version click .
Applied Sciences
  • Article
  • Open Access

27 June 2024

Prototype Network for Few-Shot Hazard Assessment of Vehicle Lane Changes in Risk Field

,
and
College of Mechanical Engineering, Tianjin University of Science & Technology, Tianjin 300222, China
*
Author to whom correspondence should be addressed.

Abstract

It is well known that road traffic safety is one of the crucial topics in the field of automotive safety in assisted driving. In the face of complex traffic scenarios, there are still a large number of unsolved problems in the identification of vehicle risk levels. Given the difficulty of obtaining sufficient data for model training in many vehicle risk scenarios, it is important to correctly identify the vehicle risk posed through few-shot testing. The main idea of this method is to learn the class prototype of each risk state of a vehicle through encoding and mapping the vehicle’s characteristic parameters in the risk field and identifying the risk posed by few-shot vehicle lane changes through the application of the training of a prototype network. The latest results improve the efficiency of identifying risk in few-shot lane changes, which can provide practical guidance for risk identification and decision analysis in safe lane-change trigger scenarios based on the expected functional safety and provide theoretical support for the development of L3+ autonomous vehicles.

1. Introduction

In recent years, theories of information fusion and situational awareness have been introduced to the field of traffic safety to monitor the safety status of driving in complex road traffic environments. The Data Fusion Model maintained by the Joint Directors of Laboratories (JDL) Data Fusion Group is the most widely used method for categorizing data fusion-related functions. According to Polychronopoulos et al. [1], the JDL was applied to safety-assisted automotive driving. Based on the technical characteristics of vehicle-mounted multi-sensors, the JDL model was improved, including its structure and composition. Furthermore, the Pro Fusion2 model for situational awareness of driving safety has been proposed [1]. Rendon-Velez described the research status and development trend for methods to evaluate the traffic safety state and vehicle conflict risk prediction methods. A framework for a situational awareness model for traffic safety based on multi-source data from “human-vehicle-road” interactions has been proposed [2]. There are some studies on vehicle collision risk identification methods using multiple factors. Ref. [3] focused on the robustness and reliability of a future trajectory-based cooperative collision warning system. In more detail, the system enables collision decision-making by estimating and communicating vehicle positions and predicting and processing future collision trajectories. Ref. [4] proposed a new approach to real-time risk assessment for autonomous vehicles that combines real-time collision prediction studied by traffic engineers with an interaction-aware motion model. With the real-time collision prediction results of the random forest classifier serving as an example, the probability required for the Dynamic Bayesian Network (DBN) model was estimated. According to the findings, a well-calibrated collision prediction classifier can provide complementary cues to already developed interactive perception–motion models and enhance real-time risk assessment for autonomous vehicles.
Jaehwan Kim [5] screened safe trajectories by predicting the trajectories of surrounding vehicles and other traffic entities and performed collision analysis using clusters of trajectories of interest to the main vehicle driver. However, this risk quantification only considers the forward collision risk of the primary vehicle. In real traffic scenarios, collision risks can come from all directions. There are also risk assessment methods that have been applied to urban and complex scenarios, such as those in the literature [6,7]. Ref. [8] used a random forest classifier for risk assessment feature selection and risk prediction during the lane-change process in a highway scenario. Among the studied elements, the behavioral interaction between a vehicle during the lane-changing process and its surrounding vehicles in the target lane is crucial for risk assessment. Some researchers extracted the spatio-temporal relationship between traffic participants from the scenario as an evaluation feature, used unsupervised learning to cluster risk levels, and established risk classification models for risk assessment [9,10]. There are relatively few studies on few-shot vehicle risk assessment in complex traffic environments. Furthermore, it is difficult to collect enough data to train models for many vehicle risk scenarios in real-world settings. Therefore, it is of great significance to precisely identify the vehicle risk posed under few-shot circumstances.
Meta-learning is mostly used in learning and classification for few-shot situations. Depending on the type of meta-knowledge used, there are various ways in which meta-learning can be applied. These methods can be classified according to weights, optimizers, loss functions, metrics, attention mechanisms, hyperparameters, network topologies, and black box models. In the meta-learning process, the key part lies in the meta-learner, which undertakes two stages of meta-testing and meta-training. In recent years, metric-based meta-learning, optimization-based meta-learning, and model-based meta-learning have emerged as the key methodological models for constructing meta-learners. Few-shot meta-learning is frequently employed in applications including classification [11,12], target detection [13,14], face recognition [15], medical visualization [16], and video synthesis [17]. Depending on the annotated labels in these cases, the majority of samples in other categories may be inherently rare or difficult to obtain. For real-world events, the distributions of the tested data and the training set are not always constant, and sometimes, they are even more complex than the experimental setting. The actual collected data to be tested are changeable in nature. In [16], Nguyen et al. combined unsupervised denoising autoencoders with supervised meta-learning to overcome the data limitations of medical vision questions and answers. By using a few-shot set to train the proposed model, it was found that the model performed better than any existing medical vision question-and-answer methods. Wang et al. [17] proposed a meta-learning face recognition method with optimal performance in cross-ethnic and cross-scene tests that can significantly improve the generalization performance of the model.
Previous studies mainly focused on the role of image processing in the few-shot signaling pathway. According to some recent findings, the few-shot approach might be involved in another important pathway. Based on the knowledge prototype networks of radar working patterns, Li Qiang et al. [18] carried out multifunctional few-shot radar working pattern recognition and compared its performance with that of traditional machine learning algorithms. Prototypical networks are a metric-based few-shot learning method that aim to learn the prototype representation of each type of instance in a metric space. Wang et al. [19] analyzed fault diagnosis systems using prototype networks. Through the measurement of each type of prototype with query instances, query instances are classified into the closest category. For categorization, the distance between the query instances and the prototypes is compared, and the category closest to them is identified. As for the prototype network, there is no need to augment the dataset with random noise or unlabeled samples. Therefore, there is no model collapse, a problem for generator models and deep semi-supervised networks that exists in few-shot fault diagnosis methods for generative adversarial networks and deep semi-supervised networks. In light of the above ideas, the prototype network was applied to the field of vehicle risk identification, and data training and testing were carried out on the basis of identifying the strength of the vehicle risk field so as to realize the identification of the risk posed by vehicle lane changes.
In summary, the main contributions are as follows:
  • Utilizing features extracted from both the self-vehicle content and the surrounding vehicle-related content, we aimed to refine the representation and discriminability of risk discrimination features by sharing the vehicle risk threshold space with the vehicle risk field. This enhancement was achieved through univariate or multivariate combinations, enhancing the clarity of the risk assessment index.
  • We propose a risk classification mechanism that integrates the vehicle risk field and prototype network. This mechanism aims to match attributes from various risk fields to identify more crucial attribute features as input data for the prototype network. Extensive experiments conducted with few-shot data demonstrate that our proposed algorithm effectively enhances the accuracy of vehicle risk identification.
  • We employed a prototype network to predict vehicle risks and introduce a novel vehicle risk assessment method with few-shot capabilities.

2. Analysis of Lane-Change Behavior and Data Extraction

2.1. Analysis of Lane-Change Behavior

2.1.1. The Start Point of the Lane Change

As lane-changing behavior is continuous, identifying the lane-changing status requires selecting driving trajectory data from specific time periods as samples. To locate lane-change data, this study initially identified a vehicle’s lane change points by observing changes in the vehicle’s lane ID or the moment of the vehicle’s center crossed a lane line. Using a dynamic time window, this study specified the phase of lane change execution when both the vehicle’s lane ID and the vehicle’s lateral position changed continuously. Equation (1) demonstrates that vehicles with continuous changes in lateral displacement and a number of continuously changing data points greater than 100 are positioned as lane-change vehicles. Further data extraction was performed in accordance with the three phases of the lane-change perception phase, lane-change execution phase, and lane-change adjustment phase
l o c a l x i l o c a l x i 1 > l o c a l x i 1 l o c a l x i 2
where local x i represents the lateral displacement or position of the vehicle at time i, local x i 1 denotes the lateral displacement of the vehicle at the previous time step, and local x i 2 represents the lateral displacement of the vehicle two time steps ago. In order to eliminate the influence of continuous lane changes, lateral-motion constraints were added, and the expression is illustrated in Equation (2).
( l o c a l x 1 + l o c a l x 2 + w ) / 2 < x t a r g e t ( l o c a l x 1 + l o c a l x 2 w ) / 2 + V w > x t a r g e t ( l o c a l x 1 + l o c a l x 2 + w ) / 2 V w < x e g o ( l o c a l x 1 + l o c a l x 2 w ) / 2 > x e g o
where l o c a l x 1 , l o c a l x 2 is the lateral position of the vehicle at the moments before and after the vehicle’s lane ID has changed. V w is the vehicle width, x e g o is the lateral position of the start of the vehicle lane change, x t a r g e t is the lateral position of the end of the vehicle lane change, and w is the lane width.
The lane-change perception phase is the process from the driver’s lane-change intention to their lane-change decision. The driver has the subjective intention to change lanes, but the surrounding traffic environment does not meet the lane-change conditions. For example, when the speed of the vehicle is lower than the speed of the vehicle behind the target lane, and the distance between the vehicle and the target lane is lower than the minimum safety distance, the vehicle data at this stage cannot be extracted.
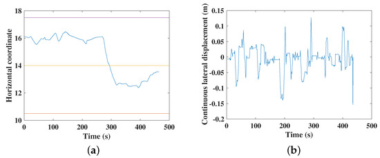
In this study, the complete lane-change data consisted of the instantaneous data from 5 s before and after the lane-change decision point. Therefore, the instantaneous data from 5 s before and after the lane-change decision point were selected as the total lane-change data [20,21,22]. The right lane-change process, single-vehicle lane-change process and lateral displacement trend are depicted in Figure 1. Figure 1a depicts the trajectory of the vehicle changing lanes to the right, which clearly shows the starting and ending points of the lane change. In addition, the points at which the lateral displacement changed continuously were taken as the data of the lane-change execution phase. Figure 1b shows the lateral displacement trend of a vehicle. It can be found that the lateral displacement varies continuously with the vehicle’s position. The data with a continuous change in lateral displacement and more than 100 data points were selected as valid data for lane changes.
Figure 1. Diagram of the trajectory of vehicle switching to the right (a). Diagram of the trajectory of a vehicle’s lateral displacement (b). The three horizontal lines represent schematic lane markings, while the blue line indicates the trajectory of a vehicle changing lanes to the right.

2.1.2. The Variables that Affect Lane-Changing Behavior

The development of lane-changing behavior is closely related to the traffic environment. Similar to the factors that affect other driving habits, the primary factors that influence lane-changing behavior are the drivers’ intention to change lanes and the traffic conditions on the side they intend to move to. Furthermore, the safety implications of nearby vehicles also affect the decision making of lane-changing vehicles during the process [23,24]. In lane-changing behavior, the ability to effectively judge the volume of traffic in the area is essential. The ability to change lanes freely depends mainly on the subjective will of the driver. When the current lane traffic conditions cannot meet the driver’s driving requirements, the lane-changing behavior must satisfy the following requirements. First, the target lane should ensure enough lane-changing space so that the vehicle will not cause any traffic safety problems when entering the lane. This mainly depends on the vehicle making the lane change and the target lane before and after the relationship between the vehicle’s speed and distance. Second, there should be enough space for the lane change to proceed smoothly. It depends on the speed and distance of the vehicle ahead in the same lane, as the lane-changing vehicle needs to enter the target lane before colliding with the vehicle in front.
In order to establish a lane-change model that is more in line with the actual lane-change situation, the mutual position relationship between the lane-change vehicle and the surrounding vehicles needed to be further studied [25,26]. As shown in Figure 2, the subject vehicle (SV) is the vehicle for which the lane-change occurs. Vehicle n 1 (preceding vehicle, PV) is the vehicle in front of the same lane, and vehicle n + 1 (following vehicle, FV) is the rear vehicle in the same lane. Vehicle n 2 (lead vehicle, LDV) is the vehicle ahead of the target lane, and vehicle n + 2 (lag vehicle, LGV) is the vehicle behind the target lane. Vehicles SV, PV, LDV, and LGV are separated by g E 1 , g T 2 , and g T + 2 , correspondingly [27].
Figure 2. Mutual position relationship between lane-changing vehicles and surrounding vehicles.
Vehicle SV may want to change lanes. If any of the following situations occur while the vehicle is in motion, it may change lanes. Here are three common reasons for a lane change.
  • The subject vehicle, SV, is faster than vehicle PV in front of the current lane. There is enough space in front of the target lane for a lane change ( g T 2 ), meeting the lane change requirement. The distance between the main vehicle, LGV, and the vehicle behind the target lane ( g T + 2 ) is greater than the minimum safe following distance.
  • Vehicle LDV in front of the target lane is faster than vehicle SV in the current lane. The distance ( g T + 2 ) between vehicle LGV and the vehicle behind the target lane is greater than the minimum safe following distance.
  • The FV behind the current lane is mostly to blame for safety problems between the SV and the FV behind it, such as tailgating. Studies on lane-shifting behavior do not consider the relationship between speed and distance from vehicle FV.
Based on the above analysis, vehicle SV must consider the headway relationship with the vehicle in front of the same lane, the vehicle in front of the target lane, and the vehicle behind the target lane [28].

2.2. Extracting Data on Lane Changes

The Next Generation Simulation (NGSIM) data set comprises vehicle traffic data collected through the NGSIM project that were acquired from the US Federal Highway Administration in 2002. It was used for training and testing in this study. Image processing technology was used to automatically identify and track most of the vehicles in the images to obtain the vehicles’ accurate location and corresponding driving data. Then, the motion information of the vehicles was output in 0.1-second steps. The role of high-definition cameras installed in high places was to record traffic videos in the study area.
The research of microscopic driving behavior relies heavily on the availability and high quality of traffic flow data. In order to collect vehicle data from different time periods, NGSIM detects a total of six segments of vehicle related data at US_101 and I80. Most previous articles have only analyzed the data for a certain time period of I80 or US_101 [29]. This paper integrates the states of vehicles and surrounding vehicles at different time periods, and it focuses on the free lane-change behavior in a highway environment during all six time periods of US-101 and I80. Based on the analysis of lane-change behavior, the driving data of the vehicles in the lane and the target lane were extracted.
The NGSIM dataset contains more complex vehicle types and vehicle behaviors. According to the results of a statistical analysis, cars accounted for more than 90% of the detection time. Therefore, this paper focuses on the risk assessment of single lane-change behavior of car drivers. Data on motorcycles and large trucks were excluded. Next, the collected data were converted into units, through which feet are converted to m. The ramp data, i.e., the data of lanes 6, 7, and 8, were deleted. The data in the first period of US-101 were selected for data preprocessing to obtain 307 vehicles for left lane changes and 164 vehicles for right lane changes, including single-lane changes, continuous lane changes, and multiple-lane changes. Due to the focus of this study on single-lane-change data, a total of 188 left single-lane-change instances and 78 right single-lane-change instances were extracted, excluding continuous lane changes and multiple-lane changes.
Vehicle location data derived from the video analysis resulted in the NGSIM dataset containing a large number of random errors. To address this issue, data filtering becomes necessary. Moving average filtering with low pass characteristics can effectively eliminate random interference signals that are mixed with measurement signals. Therefore, the moving average filtering approach was adopted in this study to smooth the data. The sliding window of the filter was set to 20 data points, for which “20” denotes the length of the moving sliding window. The relevant principle is shown in Equation (3).
y ( n ) = 1 WS ( x ( n ) + x ( n 1 ) + . . . + x ( n ( WS 1 ) )
where y ( n ) represents the output data processed at time point n, x ( n ) represents the input data at time point n, W S denotes the length of the sliding window, which is the number of data points used to compute the average, and x ( n 1 ) to x ( n ( W S 1 ) ) represent the input data points preceding time point n that were used to compute the moving average.
Figure 3 depicts a smooth graph of vehicle speed and time headway after a moving average filter was applied. This filtering process enhances the preservation of driving behavior characteristics while reducing large fluctuations caused by minor lateral movements. A comparison between the filtered and pre-filtered data is illustrated in Figure 3a,b.
Figure 3. Data comparison of vehicle speed (a) and time headway (b) before and after filtering.

2.3. Influencing Factors and Quantification of Indicators

The spatio temporal relationship between vehicles can be applied to judge the degree of danger and study the risk factors under different lane-change conditions. The element set of the hazard posed by vehicle collision can be divided into a conditional attribute set (including the driver factor {C1}, vehicle factor {C2}, surrounding vehicles of the vehicle SV factors {C3}, and decision attribute set (including the hazard posed by lane changes {d}). Among them, the driver factor {C1} includes the left lane change (LCL) and right lane change (LCR). Since the risk of LCL is lower than that of LCR during normal driving, the behavior was quantified as 1 for the LCL and 2 for the LCR. The vehicle factor {C2} includes variables such as the local vehicle speed, local vehicle acceleration, and transverse–longitudinal displacement. The factors for the vehicles surrounding vehicle SV {C3} include 1/TTC (the inverse of time to collision), Time_Hdwy (time headway), and Space_Hdwy (spacing headway), as shown in the Equation (4).
TTC a = l o c a l y a ( t ) l o c a l y b ( t ) v b ( t ) v a ( t ) , v b ( t ) > v a ( t ) , v b ( t ) v a ( t ) T i m e _ H d w y = l o c a l y a ( t ) l o c a l y b ( t ) v a ( t ) S p a c e _ H d w y = l o c a l y b ( t ) l o c a l y a ( t )
where v ( t ) represents the vehicle speed and l o c a l y ( t ) represents the distance of the longitudinal position of the vehicle at time ( t ) .
The hazard posed by lane changes {d} is divided into high risk, medium risk, and potential risk. In this study, data extraction was carried out using pre-processed data to obtain detailed information such as the speed and the acceleration of the current vehicle and the vehicles in front of, behind, and ahead of the target lane. The indexes related to the risk evaluation of lane changes were obtained.
First, the obtained data were analyzed using correlation to determine the most reliable indicators of the model. Through the above introduction, a total of nine variables related to vehicles were obtained. Then, Pearson’s correlation analysis was performed for the risk-free and at-risk datasets. The results are shown in Table 1. Six variables with a high correlation were selected based on correlation coefficients. In addition, all p-values were less than 0.05, indicating a significant correlation. After the elimination of the variable with a strong correlation, relative vehicle speed, only five vehicle parameters remained as inputs for the risk prediction model.
Table 1. Characteristic variable definition and correlation analysis.
TTC (time to collision) [30] can indicate the relative speed and distance between the lane-changing vehicle and the target vehicle, a metric often used in analyzing longitudinal collision safety in vehicles. According to Olsen et al. [31], TTC tends to infinity when the speed of the leading vehicle exceeds that of the following vehicle in the same lane. Both vehicles continue to drive in their current conditions with a minimal risk of collision. At this point, the TTC value can be consistently set to 30 s. This study utilized Olsen’s method to calculate the vehicle’s TTC value during driving. If the leading vehicle in the same lane was moving faster than the following vehicle, the TTC value was set to 30 s. When the speed of the vehicle ahead in the same lane was inferior to that of the vehicle behind, the relative distance and relative speed between the two vehicles were used to ascertain the TTC value. Furthermore, an analysis of the TTC value was conducted if the quotient exceeded 30 s. Minderhoud et al. [32] proposed classifying a time to collision (TTC) within 3 s as high risk and TTC exceeding 5.5 s as low risk. Ma Yanli et al. proposed using the median and the 85th percentile to categorize the risk thresholds, defining TTC under 2.1 s as low risk and TTC over 4 s as high risk [33]. In this study, a time to collision (TTC) below 3 s was categorized as a potential risk, and TTC exceeding 4.4 s was classified as high risk. Hence, a reciprocal of less than 0.333 s for TTC indicates low risk, while over 0.2273 s signifies high risk [34].
Traffic laws in different countries have different definitions of “safe headway”. Some driver training programs in the United States consider it unsafe to follow a vehicle for less than 2 s. In Germany, it is stipulated that the front distance must be more than half of the speed (1.8 s at 80 km/h [35]). According to a controlled experiment published in the literature [36], when the time headway is greater than 2 s, the probability of no traffic accident occurring is actually greater. On the contrary, the smaller the headway, and at less than 2 s, the more likely that there is no actual traffic accident. In accordance with the literature [37], when there is a risk of conflict between road vehicles, the headway time–distance between them is essentially distributed within 2 s. When the time gap between vehicles is greater than 5 s, the risk of collision is the least likely. Therefore, the risk threshold for headway time–distance in this work was set according to the above standards. More specifically, a headway greater than 5 s is low-risk, a headway less than 2 s is high-risk, and a headway between 2 s and 5 s is medium-risk. For the quantitative expression of the time–headway parameter, the headway time–distance of adjacent vehicles was set to T. When T > 5 s, it is quantified as 1. When 5 s > T > 2 s, it is quantified as 2. When T < 2 s, it is quantified as 3.
The degree of conflict between adjacent vehicles is reflected in the collision hazard posed by vehicles. According to the criteria in the literature [37] (100-vehicle naturalistic driving tests), a vehicle has a high collision risk of 3 if the driver must slow down the vehicle by more than 5 to avoid a collision. If the risk is 2, the vehicle needs to decelerate at a speed of [2, 5] since the driving state of the vehicle is in a critical safety state. If it is 1, the vehicle slows down when the speed is less than 2, and the current driving situation is safer.
This paper mainly evaluates the risk of lane changes by processing the NGSIM dataset. The characteristic parameters, such as 1/TTC, Space_Hdwy, v_Acc, Δ A c c , and others, for lane-changing vehicles were obtained. Through Pearson’s correlation analysis, strong correlation variables were eliminated, and five factors representing the vehicle collision risk situation were obtained. In addition, specific quantification and risk threshold divisions are shown in Table 2.
Table 2. Relationships between vehicle lane-change risk level and threshold quantification.

3. Risk Level Assessment of Vehicle Lane Change Based on Field Strength Theory

The driving risk field is a mathematical model analogous to a “physical field”, and it quantitatively describes the driving risk of a vehicle based on the dynamic traffic information of the vehicle’s surroundings. This research originated from the trajectory-planning method of mobile robots based on the concept of an artificial potential field proposed by Khatib [37]. Since then, the concept of a “field” has been widely concerned with the control and decision-making applications of mobile robots [38,39,40,41]. When a vehicle is in a driving state, the driver usually keeps a certain driving distance from the surrounding traffic participants. When the workshop distance is less than the driving safety threshold, the driver will take such measures such as braking deceleration or emergency obstacle avoidance to avoid collision with traffic participants. This is analogous to considering the presence of this virtual “field” in the traffic environment, just as particles with the same charge repel each other in the electric field.
As an effective means of traffic safety assessment, the field of traffic risk has the advantages of strong real-time performance and abundant traffic information, which can be used to describe, make decisions with, and control comprehensive traffic risks in complex scenarios. On the basis of identifying the vehicle lane-change risk, this paper describes the impact of each factor on traffic risk from the perspective of field strength. Moreover, the key factors of lane-change risk are studied and analyzed from the perspective of field strength.

3.1. Collision Risk Factor Assignment Based on the Entropy Method

The entropy method is an objective assignment theory that determines the weight of each index according to the information provided through the observation of each index. The more information is available, the less uncertainty and entropy. The less information is available, the greater the uncertainty and entropy. The entropy value can be used to assess the degree of dispersion of a specific indicator. The more information provided, the greater the impact of the indicator on the comprehensive evaluation. If the value of an index is equal, it has no effect on the comprehensive evaluation. The indicator‘s value is more dispersed when more information is provided. Information entropy can be used to calculate the weight of each index and conduct a comprehensive evaluation of multiple indexes.
Firstly, the selected five characteristic parameters were normalized. The higher the speed and deceleration, the higher the risk level. Therefore, v _ v e l and v _ A c c were used as negative indicators. The other three variables were included as positive indicators to be weighted via the entropy weight method. Through the entropy weight method, the vehicle risk assessment index was calculated. The calculation of objective weights is shown in Equation (5).
w j = 1 e j j = 1 n ( 1 e j )
where w j represents the weight assigned to each characteristic parameter j. e j represents the information entropy associated with characteristic parameter j. Information entropy is calculated as shown in Equations (6) and (7).
e j = 1 ln n i = 1 m p i j ln p i j
p i j = x i j i = 1 n x i j
where p i j represents the probability of an occurrence of interval i for characteristic parameter j. x i j denotes the frequency of an occurrence of interval i for characteristic parameter j after normalization. According to the difference between positive and negative indicators, the indicators are transformed differently, as shown in Equations (8) and (9).
If x is a positive indicator,
x = x min ( x ) max ( x ) min ( x )
If x is a negative indicator,
x = max ( x ) x max ( x ) min ( x )
After switching to the left and right channels to assign weights respectively, the weights of each variable are averaged as the weights of the final variables. In Figure 4, wU1 represents the data of the first time period of US-101, and wI1 represents the data of the first time period of I80, giving the weight results of variables in the leftward and rightward permutation channels.
Figure 4. Weights of the five feature variables for LCL and LCR. (a) represents the weight values of various indicators for all vehicles changing lanes to the left. (b) represents the weight values of various indicators for all vehicles changing lanes to the right.

3.2. Risk Field Theory-Based Assessment of the Risk Associated with a Lane Change

On the basis of identifying vehicle lane change hazards, this study took driving behavior, vehicle risk, and other factors into consideration, and it used field strength to define the influence of each factor on driving risk. In physics, a field refers to the distribution of physical quantities over a specific region of space. A field is a basic type of matter with attributes of energy, mass, and momentum. According to the literature [42,43], scenarios and risks have similar characteristics. Based on the basic concepts of field strength and vehicle risk, this paper studies and analyzes the main influencing factors for lane change risk from the perspective of field strength. The vehicle risk field E s was divided into kinetic field E v , behavioral field E d , enviormental field E e , and trajectory field E r , according to the characteristics of field strength. As this paper focuses on the NGSIM common dataset, only the kinetic field E v and trajectory field E r are considered. The influencing factors of collision risk include the driver, vehicle, road, and surrounding vehicles of the SV factors. Based on the collection of vehicle collision risk elements, the kinetic field elements were incorporated into risk field theory, thus obtaining the kinetic field as a combination of vehicle factors {C2}, factors for the vehicles surrounding the SV{C3}, including headway time–distance, acceleration, vehicle speed, and 1/TTC. The trajectory field elements include driver factor {C1}, which refers to LCL and LCR. Risk field theory can be used to establish a general mathematical model in the field of vehicle safety. The calculation formula for vehicle risk field is shown in Equation (10).
E s = σ 1 ( F E v ( v _ v e l i j , v _ A c c i j , T _ H d i j , S _ H d i j , 1 / T T C i j ) ) + σ 2 ( F E r ( T L , T R )
where σ 1 , σ 2 denoted the weight value of each field. The value of each element is quantified in accordance with the quantization criteria as the input to the risk field, including the speed, headway time distance, TTC inverse, vehicle acceleration, and headway spacing of vehicles in different lane-change directions. Equation (11) in this study provides various calculation techniques for various lane-change directions.
E s L = γ 1 v _ v e l i j + γ 2 v _ A c c i j + γ 3 T _ H d i j + γ 4 T _ H d i j + γ 5 1 / T T C i j E s R = ζ 1 v _ v e l i j + ζ 2 v _ A c c i j + ζ 3 T _ H d i j + ζ 4 T _ H d i j + ζ 5 1 / T T C i j
where γ is the weight of the variables of changing lanes to the left, and ζ is the weight for the various variables of changing lanes to the right. Section 3.1 describes the exact weight calculation method based on the entropy weight method’s distribution approach.
In the environment of the lane-change risk field, the driver is affected by the vehicles in this lane and the target lane. The above five related risk factor indicators are substituted into the risk field. x is the vehicle characteristic parameter for the lane changing to the right, y is the vehicle characteristic parameter for LCL, and z is the risk field strength distribution for the vehicle characteristic parameter for LCL and LCR.
The risk field formula was applied to the highway data of NGSIM US-101 and I80 in six periods. The mean and 85th percentile of the field strength were calculated as the risk field classification criteria. The low risk threshold E s was less than 1.769, the high risk threshold E s was greater than 2.1007, and the remaining periods were classified as medium risk. Figure 5 is a diagram of vehicle lane change risk field theory based on the risk-level assessment model, where x L 1 , x L 2 , , x L N indicates the leftward lane change of each indicator element. x R 1 , x R 2 , , x R N represents the leftward lane change of each indicator element, and E s indicates the action intensity of the output risk field. The higher the risk, the greater the intensity of the output risk field.
Figure 5. Vehicle lane change risk level assessment model.

4. A Prototype Network-Based Risk Level Identification Model for Lane Change

Metric learning is a notable example of a meta-learning algorithm that measures the degree of similarity between two instances through a distance-based method, such as a prototype network [44], a matching network [45], and a relation network [46]. The prototype network calculates each instance class prototype center by projecting instances into space, and it analyzes the category of objects by comparing the distance of objects to each instance-class prototype center during the classification process. As shown in Figure 6, the query set of the instances to be tested after embedding the network is represented in red. Furthermore, the class prototype centers for each class are represented as C n , and the distance between the sample under testing and each class prototype center is represented as D.
Figure 6. Prototype network for few-shot classification.

4.1. Theory

The proposed model applies all instances to a network that is similar to a typical prototype network, and it uses a neural network to generate feature vectors (class prototypes). The embeddings of the query instances are categorized in accordance with their distance from the relationship prototype.
By preprocessing the data, a new dataset is generated. According to the prototype network, the data set is separated. The support sets, S B , refer to distinct classes, each of which has labeled data. The query sets, Q B , have unlabeled data. It is important to note that each dataset contains support sets and query sets with the same classes. This issue is known as the “n-way k-shot”.
During the meta-testing process, new categories, N, with minimal diversification are added. The model test results are taken as input. With the set of support sampling S N , the model aims to classify each unmarked research data, Q N . It can be described such that D = { S B , Q B } = ( x 1 , E 1 ) , ( x 2 , E 2 ) , , ( x n , E n ) , where x is the input risk characteristic parameter, which constitutes the category of data set required for the test to add physiological data and scattered classification data as additional cases. For each category, the generated class prototype is shown in Equation (12).
c m = 1 S m ( x i , y i S m ) F ϕ ( x i )
Meanwhile, the distance formula between samples is the Euclidean distance formula, as shown in Equation (13). The probabilities of the relations for the query instance can be computed as x, as shown in Equation (14).
d = k = 1 n ( x 1 k x 2 k ) 2
P w ( y = m i x ) = e x p ( D ( F ϕ ) , c m i ) j e x p ( D ( F ϕ ) , c j )
where D is the Euclidean distance function used to calculate the distance between two given vectors. Finally, the prediction label y of the sample x to be measured is obtained, as shown in Equation (15).
y = m = 1 h P w ( F ϕ ( x ) , c m i ) , y m
The loss function L ( / ) is shown in Equation (16).
L ( / ) = l o g P w ( y = m i x )
The original feature map insertion network is optimized by maximizing the probability of the correct classification of cases and minimizing the loss function.

4.2. Experimental and Results

This study proposes a method combining a prototype network with risk field intensity. The prototype network is mainly composed of a distance metric model and a feature-embedding model. In metric learning, the feature-embedding model transforms the input into a high-dimensional feature space. In the high-dimensional space, instances from the same class are as close together as feasible, while samples from different classes are as separated as possible. The embedding model is intended to map the normalized vehicle feature parameters to a high-dimensional feature space, and it creates more features for each feature parameter, which is conducive to a data response. Five feature parameters characterizing vehicle risk are mapped to the two-dimensional polynomial term of v _ v e l , v _ A c c , S p a c e _ H d w y , T i m e _ H d w y , T T C and 1 / T T C . In addition, the feature vector changes from a 5-dimensional vector to a 21-dimensional vector, and the principle is shown in Equation (17).
v _ v e l 1 , v _ A c c 1 , S p a c e _ H d w y 1 , T i m e _ H d w y 1 , 1 / T T C 1 v _ v e l 2 , v _ A c c 2 , S p a c e _ H d w y 2 , T i m e _ H d w y 2 , 1 / T T C 2 v _ v e l n , v _ A c c n , S p a c e _ H d w y n , T i m e _ H d w y n , 1 / T T C n F ψ ( x ) 1 1 1 v _ v e l 1 v _ v e l 2 v _ v e l n v _ A c c 1 v _ A c c 2 v _ A c c n v _ A c c 1 2 v _ A c c 2 2 v _ A c c n 2 v _ v e l 1 v _ A c c 1 v _ v e l 2 v _ A c c 2 v _ v e l n v _ A c c n T i m e _ H d w y 1 2 T i m e _ H d w y 2 2 T i m e _ H d w y n 2 1 / T T C 1 2 1 / T T C 2 2 1 / T T C n 2
where n is the total number of samples. Through high-dimensional feature mapping, the vector of n 5 dimensions is mapped to the vector of n 21 dimensions, which is imported into the model as the input of the prototype network for processing and training. Among them, the distance between the center of each type of prototype and the feature vector of the sample to be tested in the feature-embedding model is the basis for classification in the recognition process. Combined with the above risk field model, the proposed prototype network architecture for identifying vehicle lane changes is illustrated in Figure 7.
Figure 7. Prototype network model based on vehicle lane change risk field.
In this paper, six categories of input data are applied to the specific cases, with 5, 10, and 20 input samples for each test. The class prototype center of the example is calculated. The six categories in the data include three risk level categories and the distraction data category based on physiological data as an additional three categories, which together constitute the required dataset for the experiment. Samples with marks or some unmarked ones are equipped with query sets, which should remain the same in testing and training. For instance, N-way M-shot in training means N-way M-shot in testing. The sample is substituted with P w ( y = m i x ) = e x p ( D ( F ϕ ) , c m i ) j e x p ( D ( F ϕ ) , c j ) to calculate its distance from each category. Moreover, the probability is obtained through homogenization, meaning x has fallen into the probability of category x. In the process, the distance function adopts a Euclidean function, and the objective function adopts the gradient descent method to find the minimum value. First, the test results are analyzed via different learning rates and iterations in the prototype network. Then, the original characteristic mapping insert network is optimized by maximizing the chance of correctly classifying cases and minimizing the loss function. The highest classification accuracy is obtained with the 6-way 5-shot, the 6-way 10-shot, and the 6-way 20-shot. Table 3 shows the details of the test results.
Table 3. Experimental results.
In order to achieve the classification and evaluation of the vehicle risk level under few-shot classification, this paper first maps the vehicle risk feature signals to the risk field feature metric space through a prototype network, learns the prototype measurement of each vehicle risk state, and evaluates the risk posture through the prototype network. The experimental results indicate that the highest classification accuracy is obtained in 6-way 5-shot for α = 0.00001 , i t e r s = 1000 , in 6-way 10-shot for α = 0.00001 , i t e r s = 100 , and in 6-way 20-shot for α = 0.001 , i t e r s = 100 . Based on sharing the vehicle risk threshold space with the vehicle risk field, based on features extracted from self-driving content and related contents of surrounding vehicles, univariate or multivariate characteristic risk posture evaluation indexes were improved, and the representativeness and discriminability of risk-level discrimination features were enhanced. The research field of few-shot recognition mainly focuses on image processing, but it seldom deals with the processing of vehicle driving data. This paper provides theoretical ideas for the processing of few-shot data for vehicles, especially the identification of risk data. The latest results can improve the efficiency of few-shot lane-change risk identification, which provides practical guidance for risk identification and decision analysis for future safe lane-change trigger scenarios based on expected functional safety, as well as certain theoretical support for the establishment of L3+ autonomous vehicles.
In the current industry, research combining lane-change risk with small sample models has not yet emerged, which gives this study unprecedented uniqueness and innovativeness. Typically, researchers analyze lane-change risk using large sample data or simulation-based data, but these approaches often fail to fully capture the individualized characteristics and variability present in actual driving situations. Therefore, the integration of lane-change risk with small sample models offers researchers a fresh perspective, aiding in a more precise understanding of risk factors and decision-making processes in driving behavior.
Despite the lack of previous research for comparison, this also signifies an opportunity for exploration in uncharted territories. By leveraging small sample models, researchers can delve deeper into the behavioral characteristics of individual drivers and propose more targeted strategies for managing driving risks. The widespread application of this research methodology could have profound implications for the field of traffic safety, providing more accurate and reliable tools and methods for risk assessment and prediction in real driving scenarios.

5. Conclusions and Future Work

The broad implication of this study is to solve the problem of the effective identification of vehicle risk and the monitoring of road vehicle safety under the condition of few-shot vehicle risk data in a complex traffic environment. On this basis, a vehicle lane-change risk situation identification model based on the combination of a prototype network and the risk field under few-shot classification was proposed for the identification of a vehicle lane-change risk situation under a few-shot approach. Through the prototype network, the vehicle risk characteristic signal is mapped to the risk field characteristic measurement space. The measurement prototype of each risk state of a vehicle is learned. Through the assessment of the risk status under the prototype network, the classification and evaluation of the vehicle risk level under few-shot classification can be realized. More research has focused on the role of image processing in a few-shot signaling pathway. According to some recent findings, a few-shot approach might be involved in another important pathway. In addition, this study has provided ideas for the processing of vehicle few-shot data, especially risk identification.
First of all, the features extracted from the subject vehicle content and the related content of surrounding vehicles were extracted, and the vehicle risk threshold space was shared with the vehicle risk field. In this way, univariate or multivariate risk posture evaluation indexes were enhanced, and the representativeness and discriminability of risk posture discriminant characteristics were refined. The lane-change data were extracted from a publicly available data set, and they include nine different variables: v _ v e l , v _ A c c , S p a c e _ H d w y , T i m e _ H d w y , x , y , a , T T C , and 1 / T T C . According to Pearson’s correlation analysis, the characteristic parameters of the driving risk field assessment were obtained. In addition, five characteristic parameters were selected as input variables in the risk-level assessment model.
Then, a risk classification mechanism combining the vehicle risk field and a prototype network was proposed, which obtained more important attribute features as the input data of the prototype network by matching the attributes of different risk fields, and a large number of experiments were conducted based on few-shot data. The risk field strength was computed using the risk field model. Based on various distributions of left and right channel changes, risk thresholds were generated. Thus, the weight of each variable was determined using the entropy approach. The prototype network was used to learn the prototype metric for each risk condition of a vehicle. Then, the vehicle risk feature signal was mapped to the risk field feature metric space. The prototype network evaluated the risk posed and completed the assessment and classification of vehicle risks for a few-shot approach.
Inevitably, there were drawbacks. In this paper, the following responsibilities for a lane were divided into following responsibilities that did not belong to the responsibility of the car driver. As the following car in this lane was not included in the analysis, only the data for the cars in front of the lane, the front, and the rear cars in the target lane were examined. In addition, this paper did not take into account more types of driving scenarios. Meanwhile, this paper only studied the risk scenario of lane changes in public data sets. This inquiry gathered data sets from the expected functional safety field and applied the few-shot algorithm to path following, which may cause related problems in the expected functional safety field. The above problems need further study.

Author Contributions

Conceptualization, D.W.; methodology, D.W.; software, D.W.; validation, D.W. and C.Z.; formal analysis, D.W. and C.Z.; investigation, D.W. and C.Z.; resources, Y.L.; data curation, D.W.; writing—original draft preparation, D.W.; writing—review and editing, C.Z. and Y.L.; visualization, D.W.; supervision, D.W.; project administration, Y.L. All authors have read and agreed to the published version of the manuscript.

Funding

This research received no external funding.

Institutional Review Board Statement

Not applicable.

Data Availability Statement

The data for this study are publicly available. Below is the link to access the dataset: https://catalog.data.gov/dataset/next-generation-simulation-ngsim-vehicle-trajectories-and-supporting-data (accessed on 1 January 2024).

Conflicts of Interest

The authors declare no conflicts of interest.

References

  1. Polychronopoulos, A.; Amditis, A.; Scheunert, U.; Scheunert, U.; Tatschke, T. Revisiting JDL model for automotive safety applications: The PF2 functional model. In Proceedings of the 2006 9th International Conference on Information Fusion, Florence, Italy, 10–13 July 2006; pp. 1–7. [Google Scholar]
  2. Rendon-Velez, E.; Horváth, I.; Opiyo, E.Z. Progress with situation assessment and risk prediction in advanced driver assistance systems: A survey. In Proceedings of the 16th ITS World Congress, Stockholm, Sweeden, 21–25 September 2009; pp. 21–25. [Google Scholar]
  3. Huang, J.; Tan, H.S. Error analysis and performance evaluation of a future-trajectory-based cooperative collision warning system. IEEE Trans. Intell. Transp. Syst. 2008, 10, 175–180. [Google Scholar] [CrossRef]
  4. Katrakazas, C.; Quddus, M.; Chen, W.H. A New Methodology for Collision Risk Assessment of Autonomous Vehicles. Ph.D. Thesis, Longhborough University, Longhborough, UK, 2017. [Google Scholar]
  5. Kim, J.; Kum, D. Collision risk assessment algorithm via lane-based probabilistic motion prediction of surrounding vehicles. IEEE Trans. Intell. Transp. Syst. 2007, 19, 2965–2976. [Google Scholar] [CrossRef]
  6. Yu, M.Y.; Vasudevan, R.; Johnson-Roberson, M. Occlusion-aware risk assessment for autonomous driving in urban environments. IEEE Robot. Autom. Lett. 2019, 4, 2235–2241. [Google Scholar] [CrossRef]
  7. Katrakazas, C.; Quddus, M.; Chen, W.H. A new integrated collision risk assessment methodology for autonomous vehicles. Accid. Anal. Prev. 2019, 127, 61–79. [Google Scholar] [CrossRef]
  8. Chen, T.; Shi, X.; Wong, Y.D. Key feature selection and risk prediction for lane-changing behaviors based on vehicles’ trajectory data. Accid. Anal. Prev. 2019, 129, 156–169. [Google Scholar] [CrossRef] [PubMed]
  9. Shi, X.; Wong, Y.D.; Li, Z.F. A functional style learning approach based on XGBoost for driving assessment and risk prediction. Accid. Anal. Prev. 2019, 129, 170–179. [Google Scholar] [CrossRef]
  10. Shi, X. Accident Risk Assessment and Prediction Using Surrogate Indicators and Machine Learning; Nanyang Technological University: Singapore, 2019; pp. 1–200. [Google Scholar]
  11. Gidaris, S.; Komodakis, N. Dynamic few-shot visual learning without forgetting. In Proceedings of the IEEE Conference on Computer Vision and Pattern Recognition, Salt Lake City, UT, USA, 18–22 June 2018; pp. 4367–4375. [Google Scholar]
  12. Ren, M.; Liao, R.; Fetaya, E.; Zemel, R. Incremental few-shot learning with attention attractor networks. Adv. Neural Inf. Process. Syst. 2019, 32, 5275–5285. [Google Scholar]
  13. Kang, B.; Liu, Z.; Wang, X.; Yu, F.; Feng, J.; Darrell, T. Few-shot object detection via feature reweighting. In Proceedings of the IEEE International Conference on Computer Visions, Seoul, Republic of Korea, 27 October–2 November 2019; pp. 8419–8428. [Google Scholar]
  14. Perez-Rua, J.M.; Zhu, X.; Hospedales, T.M.; Xiang, T. Incremental few-shot object detection. In Proceedings of the IEEE/CVF Conference on Computer Vision and Pattern Recognition, Virtual, 14–19 June 2020; pp. 13846–13855. [Google Scholar]
  15. Guo, J.; Zhu, X.; Zhao, C.; Cao, D.; Lei, Z.; Li, S.Z. Learning meta face recognition in unseen domains. In Proceedings of the IEEE/CVF Conference on Computer Vision and Pattern Recognition, Virtual, 14–19 June 2020; pp. 6163–6172. [Google Scholar]
  16. Nguyen, B.D.; Do, T.T.; Nguyen, B.X.; Do, T.; Tjiputra, E.; Tran, Q.D. Overcoming data limitation in medical visual question answering. In Medical Image Computing and Computer Assisted Intervention—MICCAI 2019: Proceedings of the 22nd International Conference, Shenzhen, China, 13–17 October 2019; Proceedings, Part IV 22; Springer International Publishing: Berlin/Heidelberg, Germany, 2019; pp. 522–530. [Google Scholar]
  17. Wang, T.C.; Liu, M.Y.; Tao, A.; Liu, G.; Kautz, J.; Catanzaro, B. Few-shot video-to-video synthesis. In Proceedings of the Annual Conference on Neural Information Processing Systems, Vancouver, BC, Canada, 8–14 December 2019; pp. 5014–5025. [Google Scholar]
  18. Li, Q.; Zhang, W.; Jin, Q.; Yao, X. Multi-Function Radar Working Mode Recognition with Few Samples Based on Knowledge Embedded Prototype Network. Acta Electron. Sin. 2022, 50, 1344–1350. [Google Scholar]
  19. Wang, D.; Zhang, M.; Xu, Y. Metric-based meta-learning model for few-shot fault diagnosis under multiple limited data conditions. Mech. Syst. Signal Process. 2021, 155, 107510. [Google Scholar] [CrossRef]
  20. Hou, H.; Jin, L.; Niu, Q.; Sun, Y.; Lu, M. Driver Intention Recognition Method Using Continuous Hidden Markov Model. Int. J. Comput. Intell. Syst. 2011, 4, 386–393. [Google Scholar]
  21. Ji, X.; Fei, C.; He, X.; Liu, Y.; Liu, Y. Intention recognition and trajectory prediction for vehicles using LSTM network. China J. Highw. Transp. 2019, 32, 34–42. [Google Scholar]
  22. Guo, Y.; Zhang, H.; Wang, C.; Sun, Q.; Li, W. Driver Lane Change Intention Recognition Based on Visual Characteristics. J. China Highw. Eng. 2013, 26, 7. [Google Scholar]
  23. Jalal, A.; Kim, S. Global security using human face understanding under vision ubiquitous architecture system. World Acad. Sci. Eng. Technol 2006, 13, 7. [Google Scholar]
  24. Farooq, A.; Jalal, A.; Kamal, S. Dense RGB-D map-based human tracking and activity recognition using skin joints features and self-organizing map. KSII Trans. Internet Inf. Syst. 2015, 9, 1856–1869. [Google Scholar]
  25. Yang, D.; Zhu, L.; Yang, F.; Pu, Y. Modeling and analysis of lateral driver behavior in lane-changing execution. Transp. Res. Rec. 2015, 2490, 127–137. [Google Scholar] [CrossRef]
  26. Choudhury, C.F.; Ramanujam, V.; Ben-Akiva, M.E. Modeling acceleration decisions for freeway merges. Transp. Res. Rec. 2009, 2124, 45–57. [Google Scholar] [CrossRef]
  27. Han, Z. A Microscopic Lane-Changing Model for Driver-Vehicle Agent. Master’s Thesis, University of Science and Technology of China, Hefei, China, 2011. [Google Scholar]
  28. Liu, Y.; Wang, X.; Li, L.; Cheng, S.; Chen, Z. A novel lane change decision-making model of autonomous vehicle based on support vector machine. IEEE Access 2019, 7, 26543–26550. [Google Scholar] [CrossRef]
  29. Zhang, Y.; Shao, C.; Li, H.; Ma, X. Microscopic Characteristics Analysis of Lane Changing Behavior Based on NGSIM Trajectory Data. J. Traffic Inf. Saf. 2015, 33, 19–24+32. [Google Scholar]
  30. Hayward, J.C. Near Miss Determination through Use of a Scale of Danger; The Pennsylvania State University: University Park, PA, USA, 1972. [Google Scholar]
  31. Olsen, E.C.B. Modeling Slow Lead Vehicle Lane Changing. Ph.D. Thesis, Virginia Polytechnic Institute and State University, Blacksburg, VA, USA, 2003. [Google Scholar]
  32. Minderhoud, M.M.; Bovy, P.H.L. Extended time-to-collision measures for road traffic safety assessment. Accid. Anal. Prev. 2001, 33, 89–97. [Google Scholar] [CrossRef]
  33. Ma, Y.; Qi, S.; Zhang, Y.; Lian, G.; Lu, W.; Chan, C.Y. Drivers’ Visual Attention Characteristics under Different Cognitive Workloads: An On-Road Driving Behavior Study. Int. J. Environ. Res. Public Health 2020, 17, 5366. [Google Scholar] [CrossRef]
  34. Niu, C.; Wu, K.; Zhou, X.; Su, Z.; Hu, X. Test and evaluation of AEB system based on different overlap-rate collision and different light scenario. J. Automot. Saf. Energy 2022, 13, 269. [Google Scholar]
  35. Zheng, X.L.; Li, M.D.; Zheng, H.R.; Chen, D.F. Optimization and Simulation of Portable Crane’s Arm System Based on MATLAB. Adv. Mater. Res. 2012, 479, 1955–1958. [Google Scholar] [CrossRef]
  36. Maurya, A.K.; Dey, S.; Das, S. Speed and time headway distribution under mixed traffic condition. J. East. Asia Soc. Transp. Stud. 2015, 11, 1774–1792. [Google Scholar]
  37. Neale, V.; Klauer, S.G.; Guo, F.; Ramsey, D.J. Naturalistic Driving Study: Phase 2; Final Report of ITS Center Project; Virginia Tech Transportation Institute (VTTI): Blacksburg, VA, USA, 2008. [Google Scholar]
  38. Khatib, O. Real-time obstacle avoidance system for manipulators and mobile robots. In Proceedings of the 1985 IEEE International Conference on Robotics and Automation, St. Louis, MO, USA, 25–28 March 1985; pp. 25–28. [Google Scholar]
  39. Orozco-Rosas, U.; Montiel, O.; Sepúlveda, R. Mobile robot path planning using membrane evolutionary artificial potential field. Appl. Soft Comput. 2019, 77, 236–251. [Google Scholar] [CrossRef]
  40. Kumar, P.B.; Rawat, H.; Parhi, D.R. Path planning of humanoids based on artificial potential field method in unknown environments. Expert Syst. 2019, 36, e12360. [Google Scholar] [CrossRef]
  41. Azzabi, A.; Nouri, K. An advanced potential field method proposed for mobile robot path planning. Trans. Inst. Meas. Control. 2019, 41, 3132–3144. [Google Scholar] [CrossRef]
  42. Wang, J.; Wu, J.; Li, Y. The driving safety field based on driver–vehicle–road interactions. IEEE Trans. Intell. Transp. Syst. 2015, 16, 2203–2214. [Google Scholar] [CrossRef]
  43. Wang, J. Driving safety field theory modeling and its application in pre-collision warning system. Transp. Res. Part C Emerg. Technol. 2016, 72, 306324. [Google Scholar] [CrossRef]
  44. Snell, J.; Swersky, K.; Zemel, R. Prototypical networks for few-shot learning. Adv. Neural Inf. Process. Syst. 2017, 30, 4077–4087. [Google Scholar]
  45. Vinyals, O.; Blundell, C.; Lillicrap, T.; Kavukcuoglu, K.; Wierstra, D. Matching networks for one shot learning. Adv. Neural Inf. Process. Syst. 2016, 36, 3630–3638. [Google Scholar]
  46. Sung, F.; Yang, Y.; Zhang, L.; Xiang, T.; Torr, P.H.S.; Hospedales, T.M. Learning to comapare: Relation network for few-shot learning. In Proceedings of the IEEE Conference on Computer Vision and Pattern Recognition, Salt Lake City, UT, USA, 18–22 June 2018; pp. 1199–1208. [Google Scholar]
Disclaimer/Publisher’s Note: The statements, opinions and data contained in all publications are solely those of the individual author(s) and contributor(s) and not of MDPI and/or the editor(s). MDPI and/or the editor(s) disclaim responsibility for any injury to people or property resulting from any ideas, methods, instructions or products referred to in the content.

Article Metrics

Citations

Article Access Statistics

Multiple requests from the same IP address are counted as one view.