You are currently viewing a new version of our website. To view the old version click .
Applied Sciences
  • Article
  • Open Access

24 June 2024

Stability Investigation of Fully Recycled Support System of Steel-Pipe-Anchored Sheet Pile in Soft Soil Excavation

,
,
and
1
Qingdao Surveying & Mapping Institute, Qingdao 266032, China
2
College of Environmental Science and Engineering, Ocean University of China, Qingdao 266100, China
3
Qingdao Innovation Center of Smart (Green) Geotechnical Technology, Qingdao 266032, China
4
The Key Laboratory of Marine Environment and Ecology of the Ministry of Education, Ocean University of China, Qingdao 266100, China
This article belongs to the Section Civil Engineering

Abstract

As a temporary project, the supporting system of excavation often encounters issues such as the waste of support components, environmental pollution, and high carbon emissions. This article presents a foundation pit support technology that utilizes steel tube anchorage sheet piles, which can be assembled and fully recycled. The composition of the support system is also introduced. Furthermore, a large-scale model test of steel-pipe-anchored sheet piles was designed and implemented. The displacement of each component of system and stability during excavation were investigated using 3D finite element modeling and analysis. The study results indicate that the deformation and failure mode of the model foundation under the steel-pipe-anchored sheet pile support system are closely related to the distance between the pipe pile and the sheet pile. When the distance is 10 cm, both the pipe pile and the sheet pile tilt simultaneously. When the distance is approximately 30–50 cm, the sliding surface becomes exposed from the position of the pipe pile. At distances up to 100 cm, the sliding surface is exposed between the pipe pile and the sheet pile. The anchoring effect of pipe piles and tie rods can effectively reduce the horizontal displacement of the sheet pile itself. The horizontal displacement at the top of both the pipe pile and sheet pile remains consistent throughout the excavation period of this model foundation. During excavation, measured earth pressure on the sheet pile is less with theoretical active earth pressure. After excavation, the maximum horizontal displacement of the top of the pipe pile exhibits a hyperbolic relationship with excavation depth.

1. Introduction

Traditional excavation support technology, which relies on concrete as the primary construction material, is plagued by issues such as resource wastage, environmental degradation or pollution, and geological pollution, as well as hindering subsequent underground projects stemming from the leftover sub-terranean support structures. In contrast, the utilization of assembled and recyclable technology is in line with the development principles of green energy conservation, low carbon emissions, and environmental stewardship. This represents a significant milestone in the advancement of excavation support technology [1,2].
At present, retaining structure is the main type of soft soil foundation pit support. Early research on recyclable technology mainly focuses on single structural members, such as recycled anchor bolts, structural steel bracing components, and composite structural steel retaining members [3,4,5,6]. Furthermore, scholars have synthesized the force-deformation characteristics of pertinent retrievable components through both modeling and field experimentation [7,8,9]. Building upon this foundation, the evolution of assembly and recyclable technology has progressively shifted from single-component applications to integrated spatial systems. With the increasing prominence of the comprehensive recovery paradigm in pit support, the China Engineering Construction Standardization Association has promulgated the Technical Specification for Fully Recycled Retaining and Protection of Foundation Excavations Engineering [10], complemented by corresponding local standards within China [11,12]. These initiatives collectively establish a novel developmental framework and practical trajectory for excavation support technology.
Bourne-Webb et al. [13] conducted centrifuge tests and numerical modeling to investigate the impact of plastic hinging on an anchored steel sheet pile, highlighting the necessity of incorporating realistic moment–plastic curvature characteristics into generic calculation models. Wang et al. [14] performed field tests to assess the vertical and lateral bearing capacity of anchored fiber-reinforced polymer composite sheet piles in soft soil, revealing that employing multiple anchor structures can significantly enhance engineering safety. Sugimoto et al. [15] investigated the interaction between double sheet piles and inner soil using an X-ray CT system, revealing that soil–structure interaction plays a pivotal role in designing support systems, with sufficient friction improving reinforcement of the inner soil. Kim et al. [16] conducted laboratory experiments to explore the potential reusability of steel sheet piles, and found that the strength of interpenetrated sheet pile was higher when using coupling mating joint specimens compared to single pile sheets. Zhao et al. [17] performed long-term field monitoring and measurements throughout the entire construction period including excavation and backfilling of anchored sheet pile walls, along with corresponding numerical simulations. The results showed that the deflection of anchored sheet piles was more susceptible to soil excavation than backfilling procedures, with earth pressures being lower than those predicted by classic Rankine earth pressure theory. Sarshar and Derakhshani [18] proposed an approach to investigate the stability of anchored sheet pile walls under uncertainties in soil and structure using a novel fuzzy logic method. They emphasized that uncertainties and variability in soil parameters are crucial for stability analysis utilizing this method. Debnath and Pal [19] conducted a numerical analysis on an anchored sheet pile using ABAQUS to determine the effect of variation in the properties of the anchor, sheet pile, surcharge load magnitude, and foundation soils on the performance of the anchor and sheet pile. They found that these parameters considerably affected the behavior of the anchor and sheet pile. Chen et al. [20] performed centrifugal tests and numerical simulations to understand excavation-induced soil–structure interaction mechanisms in the behavior of an anchored sheet pile quay stabilized by deep cement mixing. Wittekoek et al. [21] carried out model tests and numerical simulations to investigate the behavior of geogrid anchored sheet piles subjected to strip footing surcharge loading. The results showed that geogrids can provide resistance in the active zone under strip footing surcharge loading. Gao et al. [22] developed a snowflake-shaped steel sheet pile and conducted model tests based on optical frequency-domain reflector distributed optical fiber sensor technology. The results indicated that due to the complex cross-section shape, strain varies with position. Doubrovsky and Meshcheryakov [23] studied dependencies between applied forces and friction in interlocks using field tests. Based on their results, they proposed an improved calculation model for designing sheet piles. Gajan [24] presented normalized relationships for calculating embedment depths of sheet pile walls and soldier pile walls in cohesionless soils. Sawwaf and Nazir [25] conducted model tests to investigate the behavior of vertical anchor plates embedded in reinforced and non-reinforced cohesionless soil. Their results indicated an increase in soil stiffness as well as pullout resistance for shallow anchor plates.
The present study presents a full recycled support technology of steel-pipe-anchored sheet pile in soft soil excavation, and investigates the impact of technical parameters on the stability of the foundation pit supporting system through model testing and numerical simulation. These findings offer a scientific basis for developing its design methodology.

2. Full Recycled Support Technology of Steel-Pipe-Anchored Sheet Pile

The full recycled support system of steel-pipe-anchored sheet pile consists of various components, including steel sheet piles, steel pipe piles, steel tie rods, and steel waist beams. As depicted in Figure 1, all these elements can be retrieved after the pit is backfilled.
Figure 1. The full recycled support system of steel-pipe-anchored sheet pile.
The sheet piles are composed of cap sections with locking openings, which facilitate their interconnection to form a continuous and tightly integrated sheet pile wall (Figure 2a). The steel pipe piles serve as anchor members, consisting of large-diameter circular steel pipes (Figure 2b). Steel tie rods function as the connecting elements between the retaining member (steel sheet pile) and the anchor ingot member (steel pipe pile). These tie rods are configured on a one-to-one basis with the steel pipe piles, utilizing thick-walled steel pipes or hollow anchor rods (Figure 2c). Threaded anchor heads are positioned at both ends of the tie rods, which are then secured to the steel sheet pile and steel pipe pile using nuts, respectively. The steel girdle beam serves as the force-transmitting component between the steel tie rod and the steel sheet pile. It facilitates the uniform distribution of force across the steel sheet pile and is constructed from two-piece H-shaped steel (Figure 2d).
Figure 2. Component part of the excavation supporting using fully recyclable steel-pipe-anchored sheet piling.
The construction and recycling procedure follows the following steps: first of all, drive the sheet piles and steel pipe piles. Then, excavate the foundation pit to 1 m from the top of the excavation. Place the anchor rod and tighten both ends with an internal and external anchor. Finally, install the wale beam. When backfilling the foundation pit, the recycling procedure follows the previous steps in reverse to complete the operation.

3. Stability Model Test of the Support System

The design of the fully recycled steel-pipe-anchored sheet pile system assumes consistent deformation at the anchorage points of the steel pipe piles and sheet piles, under the assumption of rigid ties. Consequently, factors influencing the stability of the support system, besides soil characteristics, primarily include the spacing between the steel pipe piles and sheet piles, as well as the specifications of the steel pipe piles (length, stiffness, spacing, etc.), and the specifications of the sheet piles (length, stiffness, etc.). Due to space constraints, this paper predominantly investigates the impact of varying spacing between steel pipe piles and sheet piles on the deformation of the supporting structure.

3.1. Test Soil

The soil for the model test was obtained from the marine soft soil in the core area of the Shanghai Cooperation Organization demonstration in Qingdao City. It has an average natural density of 1.85 g/cm3, an average water content of 34.5%, an average plastic limit and liquid limit of 16.6% and 32.4%, respectively, and a plasticity index of 15.8. The soil can be classified as silty chalky clay.

3.2. Model Components

The materials chosen for the model sheet piles and pipe piles are nylon sheets and nylon tubes, respectively. The size of the model is determined according to similarity theory. In this test, geometric similarity determines the length similarity ratio between the prototype and the model, Cl = lp/lm = 10, with the subscript p denoting the prototype and the subscript m denoting the model in each symbol. From this, it can be concluded that
C E = E p / E m = C γ C l
C I = I p / I m = C l 4
where CE, Cγ, CI and Cl represent the similarity ratios of elastic modulus E, unit weight γ, moment of inertia I, and length l, respectively; Ep, Em, Ip and Im denote the elastic modulus and moment of inertia of the prototype and model.
This model test focuses on investigating the bending deformation and displacement characteristics of pipe piles and sheet piles after being subjected to stress. Therefore, the model is designed to match the bending stiffness of the prototype, with EpIp and EmIm being approximately equal. Utilizing Equations (1) and (2), we derive the following:
E m I m = E p I p / C γ C l 5 = E p I p / 10 5 C γ
The Larsen IV steel sheet pile, as a prototype sheet pile, has a unit weight (γp) of 78.5 × 103 kN/m3, a moment of inertia Ip = 38,600 cm4 per linear meter of plane (i.e., with a plane width of the steel sheet pile bp = 1 m), and a modulus of elasticity (Ep) of 206 GPa. The model is equivalent to a rectangular plate, which has the moment of inertia I = bh3/12, the capacity of nylon γm = 11.5 × 103 kN/m3, and the modulus of elasticity (Em) equal to 2.83 GPa. When the plane width of the model sheet pile bm = 1 m, the thickness of the model sheet pile, hm ≈ 17.0 mm, can be calculated according to Equation (3).
The steel pipe pile, serving as the prototype pipe pile, has a unit weight γp = 78.5 × 103 kN/m3. The moment of inertia Ip = 910,540 cm4 is calculated based on the formula I = π(D4-d4), with an outer diameter Dp = 1 m, thickness tp = 25 mm, and inner diameter dp = 0.95 m. When the diameter of the modeled pile Dm = 0.1 m, the thickness of the modeled pile is approximately tm ≈ 2.7 mm, as calculated from Equation (3). The tie rods were made of stainless steel rods with a 4 mm diameter, bolted to nylon plates and nylon tubes at both ends.

3.3. Test Equipment

The testing apparatus consists of three main components: the model box, loading system, and monitoring system. The model box has internal dimensions of 3 m in length, 1 m in width, and 1.5 m in height. Plexiglass panels are located on both sides of the front of the model box, allowing for convenient observation of foundation deformation. The loading system includes a cylinder, loading plate, reaction frame, and air compressor, as shown in Figure 3.
Figure 3. Model box and loading system.
The monitoring system includes pore water pressure sensors embedded within the model foundation, displacement sensors for the load plate, miniature thin-film earth pressure gauges, and a digital image correlation (DIC) system and digital photogrammetry analysis (DPA) equipment, as shown in Figure 4.
Figure 4. DIC system and DPA facility.

3.4. Test Program

The spacing, referred to as L, between the pipe piles and sheet piles is detailed in Table 1. When a single pipe pile is used, it is positioned along the centerline of the model box’s long axis. In cases where two pipe piles are utilized with a spacing of 300 mm, they are symmetrically arranged on both sides of the long-axis centerline of the model box. To adhere to test boundary conditions and streamline the test procedure, one pit excavation test is conducted at each end of the model box for identical model foundations. Specifically, A1 and A4, A2 and A3, and B1 and B2 represent identical model foundations, with the test arrangement depicted in Figure 5 and Figure 6.
Table 1. Test program scheme.
Figure 5. Layout of model test for case A1 and A4 as well as case A2 and A3 (unit of figure: mm).
Figure 6. Top view of model test for case B1 and B2 (unit of figure: mm).

3.5. Model Foundations

3.5.1. Methods of Making Model Foundations

The model foundation is constructed using the consolidation method with step-by-step loading. In this process, the subsequent load is applied after the soil consolidation under the preceding load is completed. The criterion for determining soil consolidation completion is when the vertical deformation rate of the soil body falls below 2 mm/day and the excess pore water pressure is almost dissipated. Based on the in situ soil’s natural density (1850 kg/m3) as the target value, the initial load of 2 kPa followed by subsequent increments of 10 kPa for each step, leading up to the final load of 70 kPa, were determined through preliminary testing.
Figure 7 illustrates the load–settlement–time (Q-s-t) relationship curves during the construction of the model foundations for groups A1 and A4. The settlements observed across the left, center, and right loading plates are predominantly consistent, indicating uniform horizontal consolidation of the model foundations.
Figure 7. Q-s-t relationship during preparation of model ground for case A1 and A4.

3.5.2. Physical and Mechanical Properties of Model Foundation Soils

After conducting excavation tests, samples were extracted from the model foundation at depths of 20 cm, 50 cm, and 90 cm near the junction of the two test areas. These samples were then subjected to density, moisture content, direct shear, triaxial unconsolidated undrained shear (UU), and consolidated undrained triaxial shear (CU) testing. Figure 8 illustrates the distribution of density and water content along the depth of the model foundation soil.
Figure 8. Distribution of (a) soil density and (b) water content along depth in model foundation.
The average density of the model foundation soil exhibited a slightly increasing trend from top to bottom, which was 1840, 1860, and 1870 kg/m3, respectively; the average water content showed a “C” pattern distribution from top to bottom, indicating better drainage conditions in the upper and lower parts of the soil, with slightly lower water content than the middle part. The average value of the middle part of the soil (32.9%) was similar to both the liquid limit of the original soil (32.4%) and its natural water content (34.5%) numerically. It is noteworthy that the liquid limit (32.4%) and natural water content (34.5%) of the original soil are comparable in numerical value.
The average shear strength indicators suggest that the cohesion ranges from 3.0 to 4.8 kPa and the internal friction angle ranges from 5.6 to 6.0° when utilizing a direct shear test. Alternatively, adopting the unconsolidated–unconfined triaxial test yields a cohesion range of 5.5–6.2 kPa and an internal friction angle range of 2.3–3.9°. The coefficient of variation for the shear strength index is small, indicating good homogeneity and proximity to in situ soil test results.

3.6. Pit Excavation Test Methods

After the model foundation is constructed, manual excavation is conducted within the predetermined layers of the excavation area. The depth of each layer’s excavation is 10 cm, until noticeable deformation, cracking, or damage occurs on the top surface of the foundation pit, or until the excavation depth reaches 50 cm.

4. Numerical Simulation

The three-dimensional numerical models are established using the finite element method (FEM) with Plaxis 3D software (version 2024.1.0.1060). The geometry of the numerical model aligns with the model test (Figure 9). The numerical models have dimensions of 3 m in length, 1 m in width and 1.5 m in depth. Over 38,000 elements are utilized, ensuring that the model responses are mesh-independent. The soil consists of 10-node units, and the modified cam-clay model is used as constitutive model. The unit weight of soil is set at 18.5 kN/m3. The parameters M, λ and κ are assigned to the values of 1.385, 0.052 and 0.022, respectively, according to the consolidated undrained triaxial shear testing data. The sheet piles are modeled by the equivalent stiffness method as a rectangular plate employing a 2D plate unit. The pipe piles and the anchor rod are modeled by a 1D embedded beam unit and a 1D beam unit.
Figure 9. Mesh discretization of the numerical model.

5. Results and Discussion

5.1. Failure Mode

The failure patterns observed on the top surface of the footings from each test group exhibited similarities, with specific failures documented in Figure 10. In the tests conducted for Group A (utilizing a single pipe pile), the model’s failure pattern varied with changes in the spacing between the pipe pile and the sheet pile.
Figure 10. The failure state of the model foundation on the top surface of the model excavation.
When the distance between them was 10 cm (Figure 10a), although a visible through-slip failure surface did not manifest, significant deformation of both the sheet pile and pipe pile occurred. The failure surface was located on the outer side of the pipe pile. As the spacing increased to 30 cm (Figure 10b) and 50 cm (Figure 10c), a through-slip failure surface became evident near the pipe pile’s vicinity, indicating that the pipe pile’s deformation induced the formation of a localized plastic zone in the soil between the piles, eventually leading to the development of a through-slip failure surface. When the spacing reached 100 cm (Figure 10d), the through-slip failure surface appeared between the sheet pile and the pipe pile, approximately 0.7 to 0.8 m away from the sheet pile. Notably, this distance closely aligned with the width of the Rankine active soil pressure zone behind the sheet pile. In Group B (employing double tubular piles), the overall failure pattern resembled that of Group A tests, where tubular piles and sheet piles shared identical spacing configurations.

5.2. Changing Law of Earth Pressure

Figure 11 illustrates the variation in earth pressure acting on the sheet pile in the tests The earth pressure values recorded by the two earth pressure gauges at a depth of 0.3 m exhibit close alignment, while slight deviation is observed in the earth pressure values at a depth of 0.7 m as the excavation depth gradually increases. This deviation primarily stems from horizontal torsion within the slab.
Figure 11. The variation in earth pressure.
At a depth of 0.3 m, situated within the excavation depth range, the initial earth pressure value closely resembles the statically calculated earth pressure value according to Rankine’s theory. As the excavation depth increases, the earth pressure value decreases, corresponding to the transition from static earth pressure prior to excavation to active earth pressure post-excavation. During the excavation, the measured earth pressures were less than those calculated using the Rankine earth pressures, which is consistent with the results from reference [17]. Conversely, at a depth of 0.7 m, positioned below the excavation depth range, the initial earth pressure value also approximates the statically calculated earth pressure value. However, as the excavation depth increases, the earth pressure value rises, primarily attributed to the relatively low stiffness of the sheet piles and the vertical bending deformation exerted on the soil.

5.3. Change Rule of Horizontal Displacement of Pipe Pile

Figure 12 gives the horizontal displacements of the top of the pipe pile obtained using DIC. Although DIC monitoring provides real-time and continuous data, the accuracy of the excavation process for the model foundation may not be consistent at every depth, resulting in scattered results.
Figure 12. Measurement of displacement at the top of the tubular pile.
The displacement at the top of the pile increases gradually as excavation deepens. Initially, with a shallow excavation depth, the displacement shows almost linear progression. Subsequently, despite a sudden change in horizontal displacement, there is still a certain level of bearing capacity and deformation resistance. This behavior generally follows the hyperbolic rule of change, with a correlation coefficient (R2) exceeding 0.9. The fitting parameters in the numerator of the hyperbolic equation represent the limit excavation depth, while those in the denominator indicate the rate of hyperbolic convergence towards the asymptote.
The test findings reveal that the ultimate excavation depths are largely consistent within groups A1 and A4 as well as A2 and A3, respectively. Similarly, the ultimate excavation depths within groups B1 and B2 exhibit consistency and surpass those of single pipe piles (groups A2 and A3) under identical pipe pile and sheet pile spacing conditions. This suggests a correlation between ultimate excavation depths and the spacing of pipe piles and sheet piles. When the spacing between the two exceeds a certain threshold, the ultimate excavation depth diminishes. Moreover, under identical excavation depth conditions, greater spacing leads to reduced deformation of the support system. Furthermore, it is found that the ultimate excavation depth is inversely proportional to the spacing of tubular piles; smaller spacing results in larger ultimate excavation depths under equivalent conditions.
Additionally, the horizontal displacement monitoring data at the top of the pipe pile indicate that the pipe pile tilts as a whole once the soil deforms to the point of failure.
Figure 13 gives the comparison between the measured and numerical simulation values of the horizontal displacement of the top of the pipe pile in each group of tests. The displacement pattern during excavation is consistent across all groups of model tests. When the excavation depth falls within a certain range, the displacement of the top of the pipe pile changes slowly. However, when the excavation depth exceeds a certain range, the displacement of the top of the pile increases rapidly, indicating instability in the support system. The numerical simulation results align with the overall trend of the test results. It is noted that simulated values before instability are slightly larger than actual test values. Additionally, simulations for Group B (double tubular piles) are more closely aligned with the test results compared to those for Group A (single tubular piles). Nevertheless, it is important to note that existing model simulations do not effectively capture sudden changes in displacement after instability occurs.
Figure 13. Comparison between test results and numerical simulation results of horizontal displacement at the top of pipe pile.
Figure 14 gives the overall horizontal displacement curves of each group of test piles obtained by numerical simulation. It is evident that the maximum displacement of the pile occurs at the top and gradually decreases towards the bottom. With increasing excavation depth, the pipe pile bends, and the bending position is correlated with the excavation depth. The minimum displacement is observed at the bottom of tubular piles, with overall variation being minimal, particularly when there is a large spacing between tubular piles and sheet piles. Additionally, it is noticeable that Groups B1 and B2 (double tubular piles) exhibit slightly smaller overall displacement compared to Group A2 and A3 (single tubular piles) with identical spacing of tubular piles and sheet piles. This suggests that specifications such as length, stiffness, and spacing of tubular piles also impact the stability of the support system.
Figure 14. Numerical simulation results of overall horizontal displacement of pipe pile.

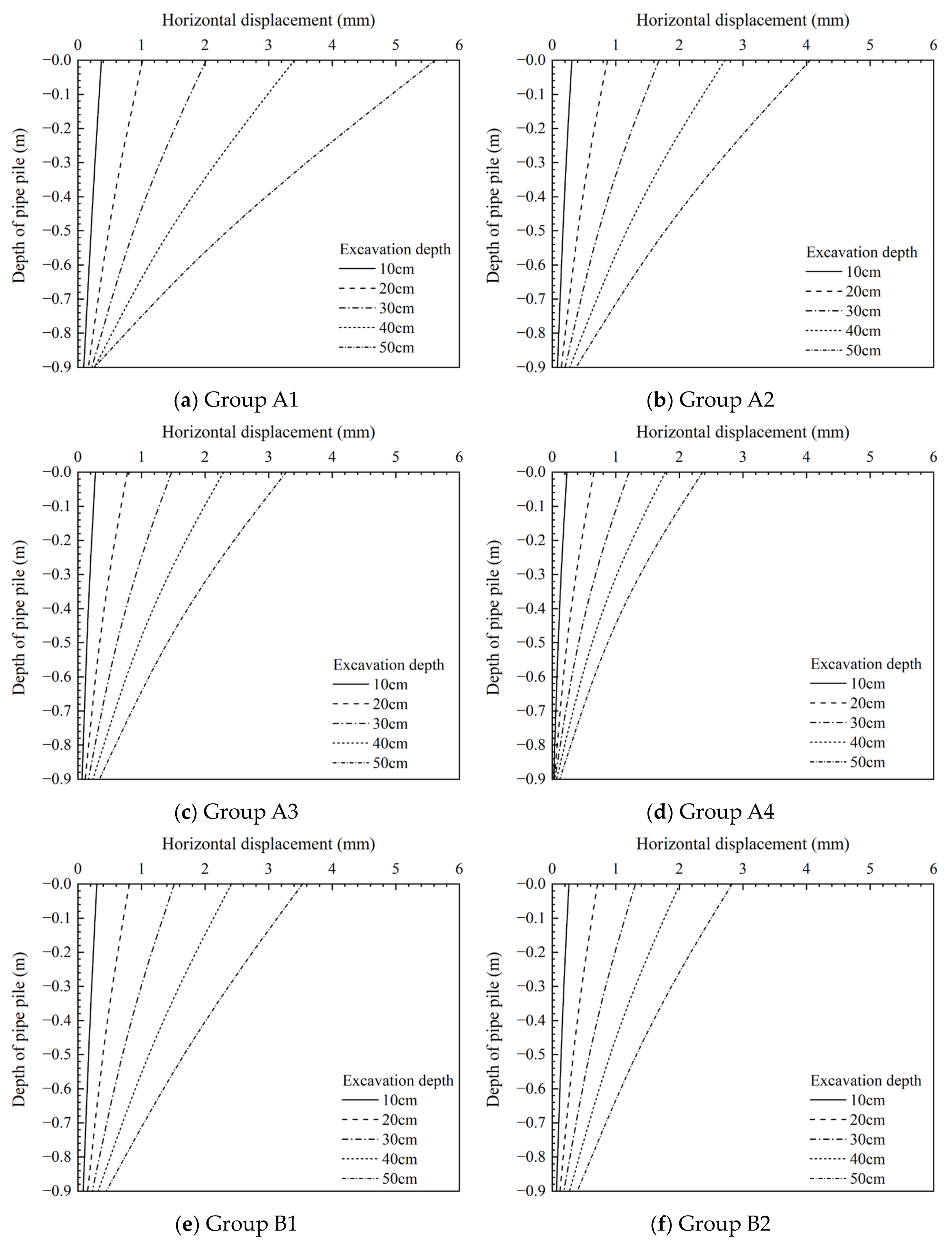
5.4. Change Rule of Horizontal Displacement of Sheet Pile

Figure 15 presents the comparison between the implemented values of horizontal displacement at the top of the sheet pile in each group of model tests and the numerical simulation. The test outcomes reveal a gradual increase in horizontal displacement of the top of the sheet pile with the deepening of excavation. In Group A (single pipe pile), the displacement values are distributed approximately symmetrically in the horizontal direction, with the centerline of the tie rod serving as the axis of symmetry. Furthermore, displacement magnitudes increase further away from the tie rod, forming a “V” distribution pattern that becomes more pronounced with increasing excavation depth. On the other hand, in Group B (double pipe pile), the displacement values are symmetrically distributed, with the centerline of two tie rods acting as the axis of symmetry.
Figure 15. Comparison between test results and numerical simulation results of horizontal displacement at top of sheet pile.
In Group A (single pipe pile), the anchoring action of the pipe pile leads to a significant reduction in displacement at the tie rod junction compared to peripheral displacement. Furthermore, positioning the pipe pile closer to the sheet pile diminishes the pressure exerted by the soil on the sheet pile due to the presence of the pipe pile, resulting in slightly smaller displacements of the sheet pile compared to the outer soil at the same height. On the contrary, in Group B (double tubular piles), it is notable that there is a smaller displacement of the sheet pile than in Group A. When within its influence range, spacing of tubular piles directly affects soil pressure acting on the sheet pile, and the overall increase in stiffness contributes positively to displacement control.
The numerical simulation results exhibit a similar trend to the test results, although they are slightly larger. The displacement of the top pile in the horizontal direction of the sheet pile displays a centrosymmetric distribution, with the minimum displacement occurring at the position of the tie rods. The tie rods and tubular piles effectively constrain the deformation of the sheet pile. The displacement of the sheet pile between Group B’s tubular piles (double tubular piles) is essentially identical due to superposition effects, further confirming that tubular pile spacing affects the support system. It also suggests a potential solution to minimize differences in displacement between tie rods and overall sheet pile deformation.
Figure 16 illustrates the cloud diagrams depicting the overall horizontal displacement of test sheet piles for Groups A3 and B2 obtained through numerical simulation at an excavation depth of 50 cm. The overall horizontal displacement patterns of the sheet piles for Group A (single pipe pile) and Group B (double pipe pile) are found to be essentially identical. Upon comparing the displacement change of sheet piles at the tie rod node, it is observed that the displacement at the top of sheet piles is greatest at the beginning of excavation, while that at the bottom is minimal. With increasing excavation depth, it is noted that the sheet piles undergo bending, with their maximum displacement point gradually shifting downward to approximately 1/2~1/3 of the excavation depth. This observation indicates that factors such as length, stiffness, and other specifications of sheet piles also influence stability within this support system.
Figure 16. Horizontal displacement of sheet piles at excavation depth of 50 cm.

5.5. Deformation Coordination of Tubular Piles and Sheet Piles

As depicted in Figure 17, the horizontal displacements at the tie rods of pipe piles and sheet piles in each group are summarized to generate a comparative diagram. The correlation coefficient between the horizontal displacements of pipe piles and sheet piles is calculated to be 0.96, indicating a significant correlation.
Figure 17. Comparison of displacement between pipe piles and sheet piles.
Based on the observed deformation in both the pipe pile and sheet pile of each test group, it is evident that while both are influenced by the excavation depth and construction processes, the deformation of the sheet pile tends to be slightly larger than that of the pipe pile when the excavation depth is relatively shallow. Conversely, as the excavation depth increases, the deformation of the pipe pile tends to exceed that of the sheet pile. The measured displacements at the ends of the tie rods, influenced by tie rod action, are generally minimal, demonstrating consistency in the deformation patterns of the pipe pile and sheet pile.

6. Conclusions

This paper introduces a new technology for providing a fully recycled foundation support system in shallow-depth foundation pits located in soft soil areas, using steel-pipe-pile-anchored sheet piles. It investigates the impact of relevant factors on the stability of the support system through model testing.
(1)
The anchoring and pulling effect of the pipe pile significantly restricts structural displacement. The larger the spacing, the smaller the horizontal displacement of the top of the sheet pile.
(2)
Under conditions of double pipe piles, the displacement of the sheet pile is notably reduced compared to single-pipe-pile configurations. Therefore, increasing the number of pipe piles per unit width of sheet pile effectively mitigates support system displacement.
(3)
The failure pattern of the model foundation is influenced by the spacing between the pipe pile and sheet pile. A closer spacing restricts the active slip failure surface by the pipe pile, causing changes in its morphology near the pipe and exposing the top surface of the pit. On the other hand, natural slip failure surfaces appear when there is sufficient spacing between the two piles.
(4)
The maximum horizontal displacement of the top of the pipe pile exhibits a hyperbolic relationship with excavation depth.
(5)
Displacements measured at both ends of the tie rods show minimal overall variation, indicating consistent deformation of the pipe pile and sheet pile. This parameter is considered crucial in design considerations.

Author Contributions

Conceptualization, P.L. and G.W.; validation, Q.L., J.Y. and P.L.; formal analysis, G.W.; data curation, Q.L.; writing—original draft preparation, P.L., J.Y. and Q.L.; funding acquisition, J.Y. All authors have read and agreed to the published version of the manuscript.

Funding

This research was funded by the National Natural Science Foundation of China (No. 52378380, No. 52078474, No. 51779235).

Institutional Review Board Statement

Not applicable.

Data Availability Statement

The raw data supporting the conclusions of this article will be made available by the authors on request.

Acknowledgments

We gratefully acknowledge the financial support of the above funds and the researchers of all reports cited in our paper.

Conflicts of Interest

The authors declare no conflicts of interest.

References

  1. Gong, X.N.; Hou, W.S. Design and Construction Manual for Deep Excavation Engineering, 2nd ed.; China Architecture & Building Press: Beijing, China, 2018. [Google Scholar]
  2. Li, L.X.; Zhao, S.L.; Zhang, J.L.; Qiu, Y.F.; Che, X.X.; Kong, L.Z. Development and thinking prospect of full recycled retaining and protection of foundation excavations engineering. Ind. Constr. 2023; accepted. [Google Scholar] [CrossRef]
  3. Gong, X.N.; Yu, J.L. Development and prospect of removable anchor technology. China Civ. Eng. J. 2021, 54, 90–96. [Google Scholar] [CrossRef]
  4. Fu, W.G.; Zou, J.F.; Huang, K. Overview of research on recycled anchor technology. Chin. J. Undergr. Space Eng. 2021, 17, 512–522+828. [Google Scholar]
  5. Wang, W.D.; Ding, Q.W.; Yang, X.R.; Zheng, G.; Xu, Z.H. Deep excavation engineering and underground engineering-new techniques of high-efficiency and energy-saving, low environmental impact, and sustainable development. China Civ. Eng. J. 2020, 53, 78–98. [Google Scholar] [CrossRef]
  6. Zhang, C.Z.; Liu, S.Y. A review on the research of prefabricated structures in underground space. J. Basic Sci. Eng. 2022, 30, 236–245. [Google Scholar] [CrossRef]
  7. Wang, R.S.; Guo, C.L.; Lin, P.Y.; Wang, F.M. Excavation response analysis of prefabricated recyclable support structure for water-rich silt for foundation pit. Rock Soil Mech. 2023, 44, 843–853. [Google Scholar]
  8. Zhou, S.Q.; Dai, C.; Feng, S.T.; Xu, Q.W.; Ke, Z.B. Model test and numerical simulation of recoverable pile-anchor supported foundation pit. J. Wuhan Univ. Technol. 2023, 45, 92–98. [Google Scholar]
  9. Li, P.; Qu, L.Q.; Wang, Y.; Wang, D.F.; Nie, N. In-situ test study on pressured anchor through soft soil in coastal foundation pit. Geotech. Eng. Tech. 2023, 37, 89–94. [Google Scholar]
  10. T/CECS1208-2022; Technical Specification for Fully Recycled Retaining and Protection of Foundation Excavations Engineering. China Engineering Construction Standardization Association: Beijing, China, 2022.
  11. DB13(J)/T8425-2021; Technical Specification for Recyclable and Assembled Retaining System of Foundation Excavations. Hebei Provincial Department of Housing and Urban Rural Development: Beijing, China, 2021.
  12. DBJ/T13-437-2023; Technical Standard for Retaining and Protection Assembled Steel Structure of Foundation Excavation. Fujian Provincial Department of Housing and Urban Rural Development: Beijing, China, 2023.
  13. Bourne-Webb, P.; Potts, D.; König, D.; Rowbottom, D. Analysis of model sheet pile walls with plastic hinges. Géotechnique 2011, 61, 487–499. [Google Scholar] [CrossRef]
  14. Wang, Z.; Wu, S.; Weng, K.; Yao, W.; Xu, S.; Ding, Z. Vertical and lateral bearing capacity of FRP composite sheet piles in soft soil. Adv. Civ. Eng. 2020, 2020, 8957893. [Google Scholar] [CrossRef]
  15. Sugimoto, H.; Akagi, S.; Nasu, A.; Nagatani, H.; Sato, T.; Mukunoki, T.; Otani, J. Observation of soil-structure interaction in double sheet pile method using X-ray CT. Soils Found. 2023, 63, 101296. [Google Scholar] [CrossRef]
  16. Kim, J.W.; Kim, T.H.; Park, H.Y.; Kim, T.S. Experimental Study on Indentation Behavior of U-Type Section Steel Piling. Int. J. Steel Struct. 2024, 24, 33–43. [Google Scholar] [CrossRef]
  17. Zhao, W.; Du, C.; Sun, L.; Chen, X. Field measurements and numerical studies of the behavior of anchored sheet pile walls constructed with excavating and backfilling procedures. Eng. Geol. 2019, 259, 105165. [Google Scholar] [CrossRef]
  18. Sarshar, N.; Derakhshani, A. Stability analysis of anchored sheet pile wall considering soil spatial variability based on fuzzy logic. Ocean. Eng. 2024, 308, 118351. [Google Scholar] [CrossRef]
  19. Debnath, A.; Pal, S.K. A numerical analysis on anchored sheet pile wall subjected to surcharge strip loading. J. Eng. Res. 2023, 11, 62–74. [Google Scholar] [CrossRef]
  20. Chen, S.; Guan, Y.; Dai, J. Behaviour of anchored sheet pile quay stabilized with deep cement mixing columns in soft soil: Centrifuge and numerical modelling. Comput. Geotech. 2023, 160, 105504. [Google Scholar] [CrossRef]
  21. Wittekoek, B.; van Eekelen, S.J.M.; Terwindt, J.; Korff, M.; van Duijnen, P.G.; Detert, O.; Bezuijen, A. Geogrid-anchored sheet pile walls: A small-scale experimental and numerical study. Geosynth. Int. 2022, 30, 561–583. [Google Scholar] [CrossRef]
  22. Gao, L.; Xu, Z.; Wang, Q.; Zhang, Z.; Li, P. Model Test Study on Deformation of Snowflake Shaped Steel Sheet Pile Based on OFDR. Sensors 2021, 21, 7062. [Google Scholar] [CrossRef] [PubMed]
  23. Doubrovsky, M.P.; Meshcheryakov, G.N. Physical modeling of sheet piles behavior to improve their numerical modeling and design. Soils Found. 2015, 55, 691–702. [Google Scholar] [CrossRef]
  24. Gajan, S. Normalized Relationships for Depth of Embedment of Sheet Pile Walls and Soldier Pile Walls in Cohesionless Soils. Soils Found. 2011, 51, 559–564. [Google Scholar] [CrossRef][Green Version]
  25. El Sawwaf, M.; Nazir, A. The effect of soil reinforcement on pullout resistance of an existing vertical anchor plate in sand. Comput. Geotech. 2006, 33, 167–176. [Google Scholar] [CrossRef]
Disclaimer/Publisher’s Note: The statements, opinions and data contained in all publications are solely those of the individual author(s) and contributor(s) and not of MDPI and/or the editor(s). MDPI and/or the editor(s) disclaim responsibility for any injury to people or property resulting from any ideas, methods, instructions or products referred to in the content.

Article Metrics

Citations

Article Access Statistics

Multiple requests from the same IP address are counted as one view.